Impact of Non-Timber Forest Product Use on the Tree Community in North-Western Vietnam
Abstract
1. Introduction
2. Materials and Methods
2.1. Study Area
2.2. Sampling Design
2.3. Data Collection
2.4. Statistical Analysis
3. Results
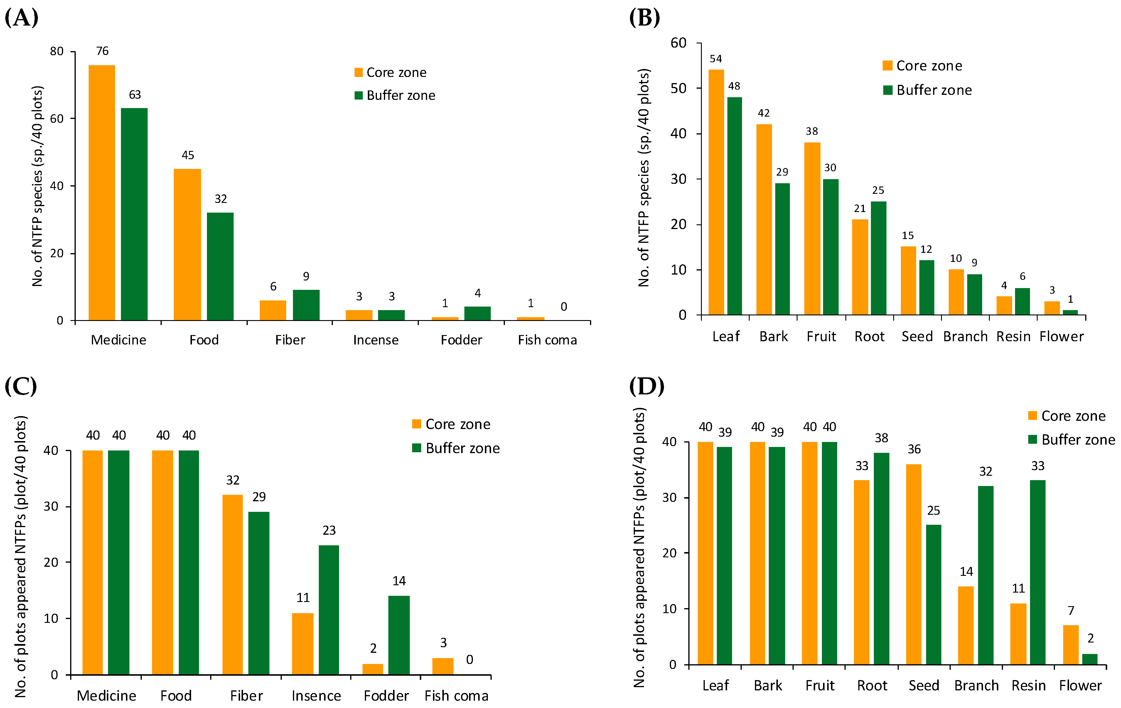
3.1. NTFP Tree Species
3.2. NTFP Tree Species Abundance on Human Interference
3.3. NTFP Tree Species: Probability of Absence
3.4. NTFP vs. Timber Use
4. Discussion
4.1. NTFP Tree Species
4.2. NTFP Tree Species Abundance in Relation to Human Interference
4.3. Variables Related to the Probability of NTFP Tree Absence
4.4. Impacts of NTFP vs. Timber Use on Tree Community
4.5. Critical Evaluation and Outlook
5. Conclusions
Author Contributions
Funding
Acknowledgments
Conflicts of Interest
Appendix A



| Core Zone | Buffer Zone | |
|---|---|---|
| Total study area (ha) | 72.8 | 115.1 |
| Mean of elevation (m a.s.l.) | 1449.1 ± 62.6 a | 1363.3 ± 86.7 b |
| Lowest and highest elevation (m a.s.l) | 1326; 1587 | 1248; 1557 |
| Slope inclination (degree) | 39.5 ± 7.7 a | 35.9 ± 5.4 b |
| Northern aspect (degree) | 47.7 ± 44.8 a | 92.1 ± 56.7 b |
| Soil pH | 4.7 ± 0.4 a | 4.7 ± 0.4 a |
| Sand (%) | 18.6 ± 6.4 a | 21.3 ± 6.6 ab |
| Silt (%) | 43.2 ± 6.4 a | 42.9 ± 7.4 ab |
| Clay (%) | 38.2 ± 7.3 a | 35.8 ± 9.3 a |
| Organic matter (%) | 3.0 ± 1.5 a | 4.3 ± 1.2 b |
| Litter thickness (cm) | 4.7 ± 2.0 a | 3.4 ± 1.5 b |
| Species richness (sp./40 plots) | 193 | 173 |
| No. of species (sp./plot) | 22.1 ± 5.1 a | 19.3 ± 5.9 b |
| Density (tree/plot) | 37.0 ± 10.0 a | 40.3 ± 14.3 a |
| Diameter (cm) | 21.4 ± 3.4 a | 16.6 ± 3.0 b |
| Basal area (m2/ha) | 52.9 ± 21.4 a | 30.4 ± 15.4 a |
| Canopy closure (%) | 88.4 ± 7.2 a | 84.5 ± 9.4 b |
| Stump (no./plot) | 0.6 ± 0.8 a | 1.6 ± 1.6 b |
| Footpath (no./plot) | 0.9 ± 0.6 a | 1.5 ± 0.8 b |
References
- Arnold, J.E.M.; Pérez, M.R. The role of non-timber forest products in conservation and development. In Incomes from the Forest: Methods for the Development and Conservation of Forest Products for Local Communities; Wollenberg, E., Ingles, A., Eds.; Center for International Forestry Research: Bogor, Indonesia, 1998; pp. 17–42. [Google Scholar]
- Carpentier, C.L.; Vosti, S.A.; Witcover, J. Intensified production systems on western Brazilian Amazon settlement farms: Could they save the forest? Agric. Ecosyst. Environ. 2000, 82, 73–88. [Google Scholar] [CrossRef]
- Dovie, D.B. Rural economy and livelihoods from the non-timber forest products trade. Compromising sustainability in southern Africa? Int. J. Sustain. Dev. World Ecol. 2003, 10, 247–262. [Google Scholar] [CrossRef]
- Ticktin, T. Applying a metapopulation framework to the management and conservation of a non-timber forest species. For. Ecol. Manag. 2005, 206, 249–261. [Google Scholar] [CrossRef]
- Cummings, A.R.; Read, J.M. Drawing on traditional knowledge to identify and describe ecosystem services associated with Northern Amazon’s multiple-use plants. Int. J. Biodivers. Sci. Ecosyst. Serv. Manag. 2016, 12, 39–56. [Google Scholar] [CrossRef]
- Shackleton, C.M.; Pandey, A.K.; Ticktin, T. (Eds.) Ecological Sustainability for Non-Timber Forest Products: Dynamics and Case Studies of Harvesting; Routledge: New York, NY, USA, 2015; ISBN 1-317-91613-1. [Google Scholar]
- Pandey, A.; Tripathi, Y.; Kumar, A. Non timber forest products (NTFPs) for sustained livelihood: Challenges and strategies. Res. J. For. 2016, 10, 1–7. [Google Scholar] [CrossRef]
- Ros-Tonen, M.A.F.; Wiersum, K.F. The importance of non-timber forest products for forest-based rural livelihoods: An evolving research agenda. Presented at the International Conference on Rural Livelihoods, Forests and Biodiversity, Bonn, Germany, 19–23 May 2003. [Google Scholar]
- Ticktin, T. The ecological implications of harvesting non-timber forest products. J. Appl. Ecol. 2004, 41, 11–21. [Google Scholar] [CrossRef]
- Gibson, L.; Lee, T.M.; Koh, L.P.; Brook, B.W.; Gardner, T.A.; Barlow, J.; Peres, C.A.; Bradshaw, C.J.; Laurance, W.F.; Lovejoy, T.E. Primary forests are irreplaceable for sustaining tropical biodiversity. Nature 2011, 478, 378. [Google Scholar] [CrossRef] [PubMed]
- Watson, J.E.; Evans, T.; Venter, O.; Williams, B.; Tulloch, A.; Stewart, C.; Thompson, I.; Ray, J.C.; Murray, K.; Salazar, A. The exceptional value of intact forest ecosystems. Nat. Ecol. Evol. 2018, 1. [Google Scholar] [CrossRef] [PubMed]
- Bruner, A.G.; Gullison, R.E.; Rice, R.E.; Da Fonseca, G.A. Effectiveness of parks in protecting tropical biodiversity. Science 2001, 291, 125–128. [Google Scholar] [CrossRef] [PubMed]
- Joppa, L.N.; Pfaff, A. Global protected area impacts. Proc. R. Soc. Lond. B Biol. Sci. 2011, 278, 1633–1638. [Google Scholar] [CrossRef] [PubMed]
- DeFries, R.; Hansen, A.; Newton, A.C.; Hansen, M.C. Increasing isolation of protected areas in tropical forests over the past twenty years. Ecol. Appl. 2005, 15, 19–26. [Google Scholar] [CrossRef]
- Chape, S.; Harrison, J.; Spalding, M.; Lysenko, I. Measuring the extent and effectiveness of protected areas as an indicator for meeting global biodiversity targets. Philos. Trans. R. Soc. B Biol. Sci. 2005, 360, 443–455. [Google Scholar] [CrossRef] [PubMed]
- Sayer, J. Rainforest Buffer Zones: Guidelines for Protected Area Managers; International Union for Conservation of Nature and Natural Resources: Gland, Switzerland, 1991; ISBN 2-8317-0072-8. [Google Scholar]
- Martino, D. Buffer zones around protected areas: A brief literature review. Electron. Green J. 2001, 1, 15. [Google Scholar]
- Neumann, R.P.; Hirsch, E. Commercialisation of Non-Timber Forest Products: Review and Analysis of Research; The Center for International Forestry Research: Bogor, Indonesia, 2000; ISBN 979-8764-51-X. [Google Scholar]
- Arnold, J.M.; Pérez, M.R. Can non-timber forest products match tropical forest conservation and development objectives? Ecol. Econ. 2001, 39, 437–447. [Google Scholar] [CrossRef]
- Belcher, B.; Schreckenberg, K. Commercialisation of non-timber forest products: A reality check. Dev. Policy Rev. 2007, 25, 355–377. [Google Scholar] [CrossRef]
- Boot, R.G.; Gullison, R. Approaches to developing sustainable extraction systems for tropical forest products. Ecol. Appl. 1995, 5, 896–903. [Google Scholar] [CrossRef]
- Vasquez, R.; Gentry, A.H. Use and misuse of forest-harvested fruits in the Iquitos Area. Conserv. Biol. 1989, 3, 350–361. [Google Scholar] [CrossRef] [PubMed]
- Witkowski, E.; Lamont, B.B.; Obbens, F. Commercial picking of Banksia hookeriana in the wild reduces subsequent shoot, flower and seed production. J. Appl. Ecol. 1994, 508–520. [Google Scholar] [CrossRef]
- Peters, C.M. Ecological research for sustainable non-wood forest product exploitation: An overview. In Current Research Issues and Prospects for Conservation and Evelopment, Proceedings of the International Expert Meeting on Non-Wood Forest Products in Central Africa, Limbe, Cameroon, 10–15 May 1998; Food and Agriculture Organization of the United Nations: Rome, Italy, 1999; pp. 19–363. [Google Scholar]
- Botha, J.; Witkowski, E.; Shackleton, C. The impact of commercial harvesting on Warburgia salutaris (“pepper-bark tree”) in Mpumalanga, South Africa. Biodivers. Conserv. 2004, 13, 1675–1698. [Google Scholar] [CrossRef]
- Peters, C.M. Sustainable Harvest of Non-Timber Plant Resources in Tropical Moist Forest: An Ecological Primer; New York Botanical Garden: New York, NY, USA, 1994. [Google Scholar]
- Schumann, K.; Wittig, R.; Thiombiano, A.; Becker, U.; Hahn, K. Impact of land-use type and bark-and leaf-harvesting on population structure and fruit production of the baobab tree (Adansonia digitata L.) in a semi-arid savanna, West Africa. For. Ecol. Manag. 2010, 260, 2035–2044. [Google Scholar] [CrossRef]
- Van Valkenburg, L. Non-timber forest products in a changing environment. In Proceedings of The Balance Between Biodiversity Conservation and Sustainable Use of Tropical Rain Forests; Hillegers, P.J.M., Iongh, H.H., Eds.; Tropenbos International: Wageningen, The Netherlands, 1999; pp. 117–129. [Google Scholar]
- Cannon, C.H.; Peart, D.R.; Leighton, M.; Kartawinata, K. The structure of lowland rainforest after selective logging in West Kalimantan, Indonesia. For. Ecol. Manag. 1994, 67, 49–68. [Google Scholar] [CrossRef]
- Johns, A.G. Timber Production and Biodiversity Conservation in Tropical Rain Forests; Cambridge University Press: Cambridge, UK, 1997; ISBN 0-521-57282-7. [Google Scholar]
- Kesenene, J. The influence of selective logging on rodent populations and the regeneration of selected tree species in Kibale Forest, Uganda. Trop. Ecol. 1984, 25, 179–195. [Google Scholar]
- Pinard, M.A.; Putz, F.E. Retaining forest biomass by reducing logging damage. Biotropica 1996, 278–295. [Google Scholar] [CrossRef]
- Hernández-Barrios, J.C.; Anten, N.P.; Martínez-Ramos, M. Sustainable harvesting of non-timber forest products based on ecological and economic criteria. J. Appl. Ecol. 2015, 52, 389–401. [Google Scholar] [CrossRef]
- Chediack, S.E. The effect of forest exploitation on structure, diversity, and floristic composition of palmito-dominated Atlantic forests at Misiones, Argentina. Rev. Biol. Trop. 2008, 56, 721–738. [Google Scholar] [PubMed]
- Sobey, R.T. (Ed.) Biodiversity Value of Hoang Lien Mountains & Strategies for Conservation. Proceedings of Seminar & Workshop, Sa Pa, Vietnam, 7–9 December 1997; Society for Environmental Exploration: London, UK, 1998. [Google Scholar]
- Sterling, E.J.; Hurley, M.M. Conserving biodiversity in Vietnam: Applying biogeography to conservation research. Proc.-Calif. Acad. Sci. 2005, 56, 98. [Google Scholar]
- Forest Inventory and Planning Institute (FIPI). Project of Conservation and Development Forest Resources of Ta Xua Nature Reserve; Agricultural Publishing House: Hanoi, Vietnam, 2002. [Google Scholar]
- The National Assembly of the Socialist Republic of Vietnam. Protection and Development of Forest; Law No.29/2004/QH11; The Socialist Republic of Vietnam: Hanoi, Vietnam, 2004.
- Dao, T.H.H.; Saborowski, J.; Hölscher, D. Patterns of tree community differences in the core and buffer zones of a nature reserve in north-western Vietnam. Glob. Ecol. Conserv. 2016, 8, 220–229. [Google Scholar] [CrossRef]
- Dao, T.H.H.; Hölscher, D. Red-listed tree species abundance in montane forest areas with differing levels of statutory protection in north-western Vietnam. Trop. Conserv. Sci. 2015, 8, 479–490. [Google Scholar]
- Tran, H.; Nguyen, B. Vietnam Economic Forest Trees; Agricultural Publishing House: Hanoi, Vietnam, 1993. [Google Scholar]
- Nguyen, N.; Cao, T.; Vu, V.; Nguyen, X.; Vu, V.; Nguyen, K.; Tran, H.; Tran, T.; Nguyen, B.; Nguyen, N. Vietnam Forest Trees; Agricultural Publishing House: Hanoi, Vietnam, 1996. [Google Scholar]
- Hosmer, D.W., Jr.; Lemeshow, S.; Sturdivant, R.X. Applied Logistic Regression; John Wiley & Sons: New York, NY, USA, 2013; Volume 398, ISBN 0-470-58247-2. [Google Scholar]
- RStudio Team. RStudio Integrated Development Environment for R; R Studio Inc.: Boston, MA, USA, 2015. [Google Scholar]
- McCune, B.; Mefford, M.J. PC-ORD: Multivariate Analysis of Ecological Data; Gleneden Beach: Lincoln, OR, USA, 2006. [Google Scholar]
- Herrero-Jáuregui, C.; García-Fernández, C.; Sist, P.L.; Casado, M.A. Conflict of use for multi-purpose tree species in the state of Pará, eastern Amazonia, Brazil. Biodivers. Conserv. 2009, 18, 1019–1044. [Google Scholar] [CrossRef]
- Fetene, A.; Bekele, T.; Lemeneh, M. Diversity of non-timber forest products (NTFPs) and their source species in Menagesha-Suba Forest. Ethiop J. Biol. Sci. 2010, 9, 11–34. [Google Scholar]
- Uprety, Y.; Poudel, R.C.; Gurung, J.; Chettri, N.; Chaudhary, R.P. Traditional use and management of NTFPs in Kangchenjunga Landscape: Implications for conservation and livelihoods. J. Ethnobiol. Ethnomed. 2016, 12, 19. [Google Scholar] [CrossRef] [PubMed]
- Botha, J.; Witkowski, E.; Shackleton, C. Harvesting impacts on commonly used medicinal tree species (Catha edulis and Rapanea melanophloeos) under different land management regimes in the Mpumalanga Lowveld, South Africa. Koedoe 2004, 47, 1–18. [Google Scholar] [CrossRef]
- Kamatenesi-Mugisha, M.; Bukenya-Ziraba, R.; Hoeft, R. Ethnomedical use of Rytigynia (nyakibasi) in Bwindi Impenetrable National Park, SW Uganda. Nor. J. Bot. 2000, 5, 97–108. [Google Scholar]
- Kamatenesi-Mugisha, M.; Bukenya-Ziraba, R. Ethnobotanical survey methods to monitor and assess the sustainable harvesting of medicinal plants in Uganda. In Plant Conservation in the Tropics: Perspectives and Practice; The Cromwell Press Ltd.: Wiltshire, UK, 2002; pp. 467–482. [Google Scholar]
- Hall, P.; Bawa, K. Methods to assess the impact of extraction of non-timber tropical forest products on plant populations. Econ. Bot. 1993, 47, 234–247. [Google Scholar] [CrossRef]
- Herrero-Jáuregui, C.; García-Fernández, C.; Sist, P.L.; Casado, M.A. Recruitment dynamics of two low-density neotropical multiple-use tree species. Plant. Ecol. 2011, 212, 1501. [Google Scholar] [CrossRef]
- Gaoue, O.G.; Ticktin, T. Patterns of harvesting foliage and bark from the multipurpose tree Khaya senegalensis in Benin: Variation across ecological regions and its impacts on population structure. Biol. Conserv. 2007, 137, 424–436. [Google Scholar] [CrossRef]
- Brites, A.D.; Morsello, C. The ecological effects of harvesting non-timber forest products from natural forests: A review of the evidence. Presented at VI Encontro Nacional da Anppas, Belém, Brazil, 18–21 September 2012. [Google Scholar]
- Gaoue, O.G.; Natta, A.K.; Gado, C. Response of a tropical tree to non-timber forest products harvest and reduction in habitat size. PLoS ONE 2017, 12, e0183964. [Google Scholar] [CrossRef] [PubMed]
- Gerwing, J.J. Degradation of forests through logging and fire in the eastern Brazilian Amazon. For. Ecol. Manag. 2002, 157, 131–141. [Google Scholar] [CrossRef]
- Asner, G.P.; Broadbent, E.N.; Oliveira, P.J.; Keller, M.; Knapp, D.E.; Silva, J.N. Condition and fate of logged forests in the Brazilian Amazon. Proc. Natl. Acad. Sci. USA 2006, 103, 12947–12950. [Google Scholar] [CrossRef] [PubMed]
- Foley, J.A.; Asner, G.P.; Costa, M.H.; Coe, M.T.; DeFries, R.; Gibbs, H.K.; Howard, E.A.; Olson, S.; Patz, J.; Ramankutty, N. Amazonia revealed: Forest degradation and loss of ecosystem goods and services in the Amazon Basin. Front. Ecol. Environ. 2007, 5, 25–32. [Google Scholar] [CrossRef]




| Characteristics of Tree Species | Zone | NTFP Species (Mean ± SD) | NTFP Species in Relation to All Species (%) |
|---|---|---|---|
| Species richness (sp./1600 m2) | Core zone | 99 | 51.3 |
| Buffer zone | 81 | 46.8 | |
| No. of trees (tree/400 m2) | Core zone | 17.2 ± 5.9 a | 46.4 |
| Buffer zone | 24.5 ± 12.0 b | 60.9 | |
| Diameter (cm) | Core zone | 20.5 ± 4.4 a | - |
| Buffer zone | 16.6 ± 3.3 b | - | |
| Basal area (m2/ha) | Core zone | 22.0 ± 12.6 a | 42.9 |
| Buffer zone | 18.2 ± 11.2 a | 59.8 |
| Predictor Variable | Parameter Estimate | Standard Errors | p (z-test) | Odds Ratios | 95% CIs | Type of Variable |
|---|---|---|---|---|---|---|
| Density of species (n/ha) | −0.03 | 0.006 | <0.0001 | 0.97 | 0.96–0.99 | continuous |
| Food | 1.11 | 0.33 | 0.0007 | 3.04 | 1.59–5.82 | 0/1 |
| Medicine | 0.83 | 0.27 | 0.0020 | 2.30 | 1.35–3.94 | 0/1 |
| Fruit | −1.15 | 0.28 | <0.0001 | 0.32 | 0.18–0.55 | 0/1 |
| Leaf | −1.82 | 0.24 | <0.0001 | 0.16 | 0.10–0.26 | 0/1 |
| Root | 1.04 | 0.23 | <0.0001 | 2.82 | 1.81–4.41 | 0/1 |
| Resin | −2.21 | 0.77 | 0.0043 | 0.11 | 0.02–0.50 | 0/1 |
| DBH (cm) | - | 0.1139 | ||||
| Fish coma | - | 0.9822 | ||||
| Seed | - | 0.0868 | ||||
| Flower | - | 0.9821 |
| Predictor Variable | Parameter Estimate | Standard Errors | p (z-test) | Odds Ratios | 95% CIs | Type of Variable |
|---|---|---|---|---|---|---|
| Density of species (n/ha) | −0.008 | 0.0032 | 0.01 | 0.99 | 0.98–1.0 | continuous |
| DBH (cm) | 0.011 | 0.0035 | 0.0016 | 1.01 | 1.00–1.02 | continuous |
| Valued timber | 0.471 | 0.1415 | 0.0008 | 1.60 | 1.21–2.11 | 0/1 |
| NTFP | −0.546 | 0.1146 | 0.0000 | 0.58 | 0.46–0.73 | 0/1 |
© 2018 by the authors. Licensee MDPI, Basel, Switzerland. This article is an open access article distributed under the terms and conditions of the Creative Commons Attribution (CC BY) license (http://creativecommons.org/licenses/by/4.0/).
Share and Cite
Dao, T.H.H.; Hölscher, D. Impact of Non-Timber Forest Product Use on the Tree Community in North-Western Vietnam. Forests 2018, 9, 431. https://doi.org/10.3390/f9070431
Dao THH, Hölscher D. Impact of Non-Timber Forest Product Use on the Tree Community in North-Western Vietnam. Forests. 2018; 9(7):431. https://doi.org/10.3390/f9070431
Chicago/Turabian StyleDao, Thi Hoa Hong, and Dirk Hölscher. 2018. "Impact of Non-Timber Forest Product Use on the Tree Community in North-Western Vietnam" Forests 9, no. 7: 431. https://doi.org/10.3390/f9070431
APA StyleDao, T. H. H., & Hölscher, D. (2018). Impact of Non-Timber Forest Product Use on the Tree Community in North-Western Vietnam. Forests, 9(7), 431. https://doi.org/10.3390/f9070431
