Growth and Physicochemical Changes of Carpinus betulus L. Influenced by Salinity Treatments
Abstract
:1. Introduction
2. Materials and Methods
2.1. Plant Material and Growth Conditions
2.2. Salt Treatments and Experimental Design
2.3. Growth Parameters
2.4. Leaf Stomatal and Section Characteristics
2.5. Leaf Gas Exchanges and Chlorophyll Fluorescence Parameters
2.6. Chlorophyll Content and Relative Water Content (RWC)
2.7. Malondialdehyde Concentration (MDA) and Cell Membrane Stability
2.8. Soluble Sugars, Soluble Proteins, and Proline
2.9. Measurement of Antioxidant Enzyme Activities
2.10. Measurements of the Sodium (Na), Potassium (K), Calcium (Ca), and Magnesium (Mg) Content
2.11. Statistical Analysis
3. Results
3.1. Changes in Growth under Increasing Levels of Soil Salinity
3.2. Stomata Density, Size, and Leaf Section Characteristics
3.3. Leaf Gas Exchanges, and Chlorophyll Fluorescence Parameters
3.4. Chlorophyll Content, and Relative Water Content (RWC)
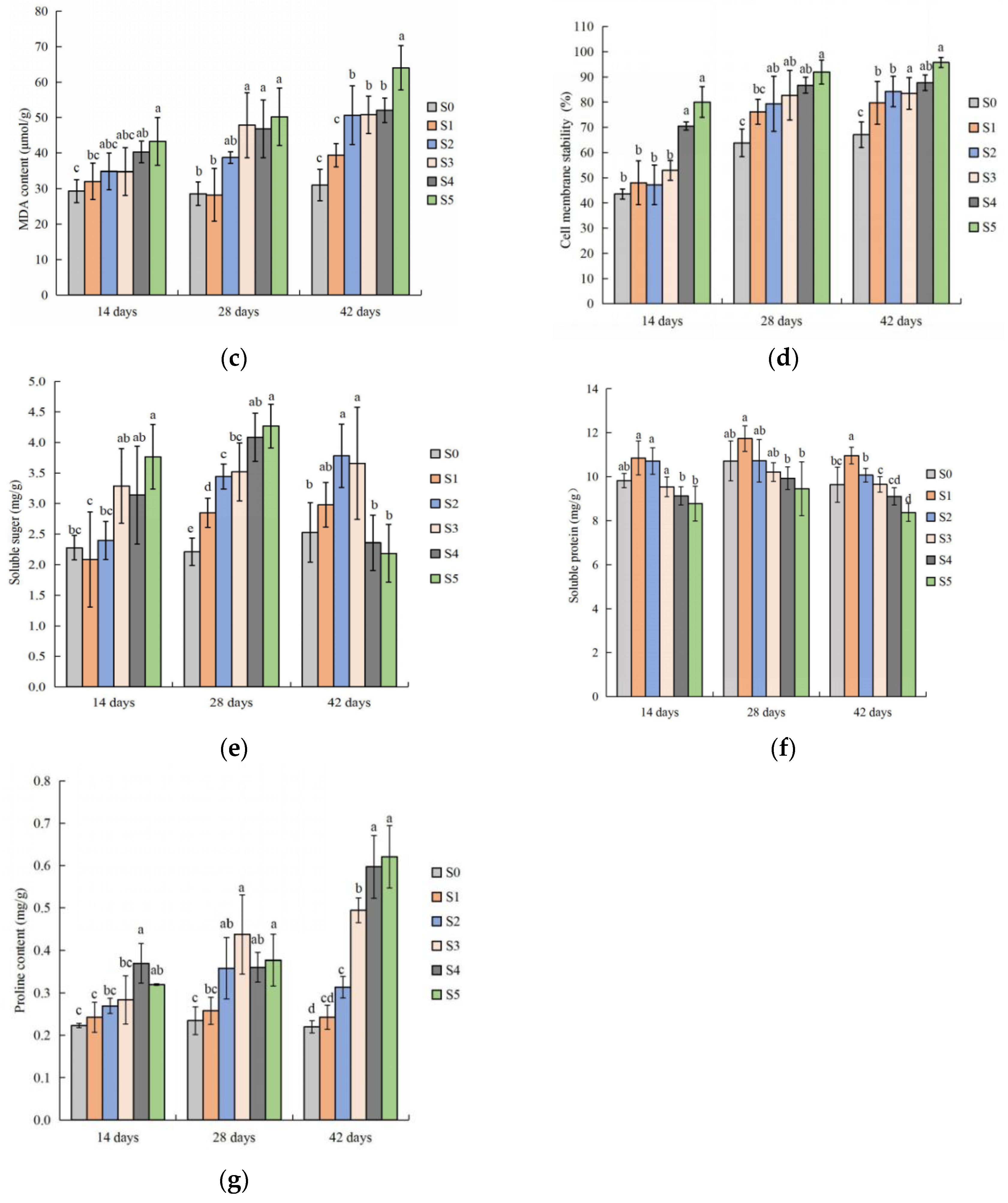
3.5. Malondialdehyde Concentration (MDA) and Cell Membrane Stability
3.6. Soluble Sugars, Soluble Proteins, and Proline
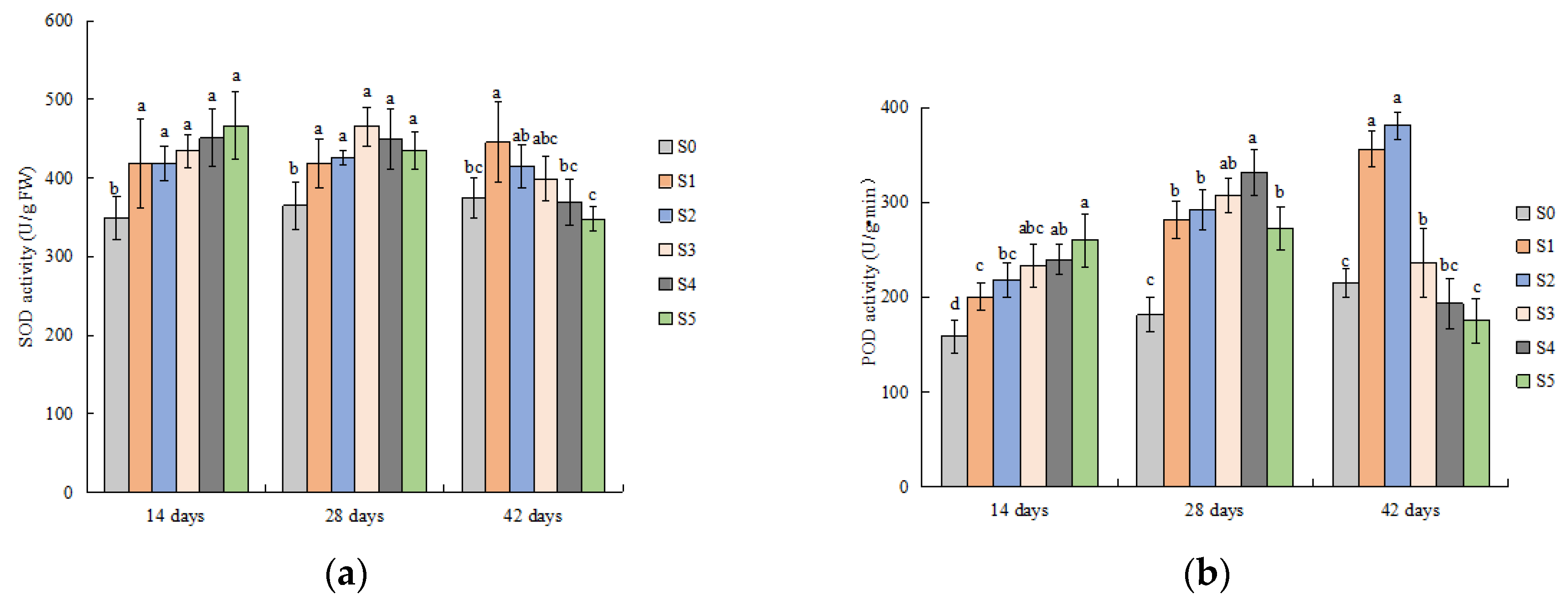
3.7. Antioxidant Enzyme Activities
3.8. Sodium (Na), Potassium (K), Calcium (Ca), and Magnesium (Mg) Content of Various Organs
4. Discussion
5. Conclusions
Author Contributions
Funding
Acknowledgments
Conflicts of Interest
References
- Zhang, J.F.; Zhang, X.D.; Zhou, J.X. World resources of saline soil and main amelioration measures. Res. Soil Water Conserv. 2005, 12, 32–34. (In Chinese) [Google Scholar]
- Bhatnagarmathur, P.; Vadez, V.; Sharma, K.K. Transgenic approaches for abiotic stress tolerance in plants: Retrospect and prospects. Plant Cell Rep. 2007, 27, 411–424. [Google Scholar] [CrossRef] [PubMed]
- Wang, B.S.; Zhao, K.F.; Zou, Q. Advances in mechanism of crop salt tolerance and strategies for raising crop salt tolerance. Chin. Bull Bot. 1997, 14, 26–31. (In Chinese) [Google Scholar]
- Beckerman, J.; Lerner, B. Salt Damage in Landscape Plants; Purdue Extension: West Lafayette, IN, USA, 2009; pp. 1–11. [Google Scholar]
- Cristiano, G.; Camposeo, S.; Fracchiolla, M.; Vivaldi, G.A.; De Lucia, B.; Cazzato, E. Salinity differentially affects growth and ecophysiology of two mastic tree (Pistacia lentiscus L.) accessions. Forests 2016, 7, 156. [Google Scholar] [CrossRef]
- Devitt, D.A.; Morris, R.L.; Fenstermaker, L.K. Foliar damage, spectral reflectance, and tissue ion concentrations of trees sprinkle irrigated with waters of similar salinity but different chemical composition. HortScience 2005, 40, 819–826. [Google Scholar]
- Gupta, B.; Huang, B. Mechanism of salinity tolerance in plants: Physiological, biochemical, and molecular characterization. Int. J. Genom. 2014, 1–18. [Google Scholar] [CrossRef] [PubMed]
- Hakim, M.A.; Juraimi, A.S.; Hanafi, M.M.; Mohd, R.I.; Ahmad, S.; Rafii, M.Y.; Latif, M.A. Biochemical and anatomical changes and yield reduction in rice (Oryza sativa L.) under varied salinity regimes. Biomed. Res. Int. 2014, 1–11. [Google Scholar] [CrossRef]
- Giuseppe, C.; Giuseppe, D.M.; Mariano, F.; Cesare, L.; Vincenzo, T.; Barbara, D.L.; Eugenio, C. Morphological characteristics of different Mastic tree (Pistacia lentiscus L.) accessions in response to salt stress under nursery conditions. J. Plant Sci. 2016, 11, 75–80. [Google Scholar] [CrossRef]
- Cassaniti, C.; Romano, D.; Flowers, T.J. The response of ornamental plants to saline irrigation water. In Irrigation-Water Management, Pollution and Alternative Strategies; InTech: London, UK, 2012; pp. 131–150. [Google Scholar] [CrossRef]
- Hajiboland, R.; Norouzi, F.; Poschenrieder, C. Growth, physiological, biochemical and ionic responses of pistachio seedlings to mild and high salinity. Trees 2014, 28, 1065–1078. [Google Scholar] [CrossRef]
- Shi, M.; Zhou, Q.; Zhu, Z.L. Nutrition physiology of Carpinus betulus in different regions. J. Northwest For. Univ. 2017, 32, 41–45. (In Chinese) [Google Scholar] [CrossRef]
- Dirr, M.A. Hornbeams choice plants for American gardens. Am. Nurserym. 1978, 148, 10–11. [Google Scholar]
- Sikkema, R.; Caudullo, G.; Rigo, D.D. Carpinus betulus in Europe: Distribution, habitat, usage and threats. In European Atlas of Forest Tree Species; Publications Office of the European Union: Luxembourg, 2016; pp. 73–75. [Google Scholar]
- Prinz, K.; Finkeldey, R. Characterization and transferability of microsatellite markers developed for Carpinus betulus (Betulaceae). Appl. Plant Sci. 2015, 3, 1500053. [Google Scholar] [CrossRef] [PubMed]
- Rocchi, F.; Quaroni, S.; Sardi, P.; Saracchi, M. Studies on anthostoma decipiens involved in Carpinus betulus decline. J. Plant Pathol. 2010, 92, 637–644. [Google Scholar]
- Hofmann, T.; Nebehaj, E.; Albert, L. Antioxidant properties and detailed polyphenol profiling of European hornbeam (Carpinus betulus L.) leaves by multiple antioxidant capacity assays and high-performance liquid chromatography/multistage electrospray mass spectrometry. Ind. Crops Prod. 2016, 87, 340–349. [Google Scholar] [CrossRef]
- Chalupa, V. Micropropagation of hornbeam (Carpinus betulus L.) and ash (Fraxinus excelsior L.). Biol. Plant. 1990, 32, 332–338. [Google Scholar] [CrossRef]
- Zhu, Z.L.; Xu, Y.Y.; Wang, S. Structure changes of Carpinus betulus seed under fluctuating temperature stratification. J. Northeast For. Univ. 2013, 41, 1–5. (In Chinese) [Google Scholar] [CrossRef]
- Santamour, S.F. Interspecific hybridization in Carpinus. In Proceedings of the First Conference of the Metropolitan Tree Improvement Alliance (METRIA), Lanham, MD, USA, 27 July 1976 (1978); US Forest Service, Northeastern Area, State & Private Forestry: Newtown Square, PA, USA, 1978; pp. 73–79. [Google Scholar]
- Shi, M.; Zhu, Z.L. Heat resistance evaluation of different cultivars of Carpinus betulus over summering. J. Northwest For. Univ. 2015, 30, 59–64. (In Chinese) [Google Scholar] [CrossRef]
- Stojnić, S.; Pekeč, S.; Kebert, M.; Pilipović, A.; Stojanović, D.; Stojanović, M.; Orlović, S. Drought effects on physiology and biochemistry of Pedunculate Oak (Quercus robur L.) and Hornbeam (Carpinus betulus L.) saplings grown in urban area of Novi Sad, Serbia. Southeast Eur. For. 2016, 7, 57–63. [Google Scholar] [CrossRef]
- Wang, S.; Zhou, Q.; Zhu, Z.L. Physiological and biochemical characteristics of Carpinus betulus seedlings under drought stress. Acta Bot. Boreal. Occident. Sin. 2013, 33, 2459–2466. (In Chinese) [Google Scholar]
- Zhu, Z.L.; Shi, M.; Zhou, Q.; Wu, Y.F.; Yu, W.W.; Zhong, X.L.; Xu, H.Q. Regional adaptability trials for Carpinus betulus in China. J. Zhejiang A F Univ. 2016, 33, 834–840. (In Chinese) [Google Scholar] [CrossRef]
- Porr, R.J.; Thompson, W.A.; Kriedemann, P.E. Determination of accurate extinction coefficients and simultaneous equations for assaying chlorophylls a and b extracted with four different solvents: Verification of the concentration of chlorophyll standards by atomic absorption spectroscopy. Biochim. Biophys. Acta 1989, 975, 384–394. [Google Scholar] [CrossRef]
- Vivekanandan, M. Drought-induced responses of photosynthesis and antioxidant metabolism in higher plants. J. Plant Physiol. 2004, 161, 1189–1202. [Google Scholar] [CrossRef]
- Hodges, D.M.; Delong, J.M.; Forney, C.F.; Prange, P.K. Improving the thiobarbituric acid-reactive-substances assay for estimating lipid peroxidation in plant tissues containing anthocyanin and other interfering compounds. Planta 1999, 207, 604–611. [Google Scholar] [CrossRef]
- Dionisio-Sese, M.L.; Tobita, S. Antioxidant responses of rice seedlings to salinity stress. Plant Sci. 1998, 135, 1–9. [Google Scholar] [CrossRef]
- Magné, C.; Saladin, G.; Clément, C. Transient effect of the herbicide flazasulfuron on carbohydrate physiology in Vitis vinifera L. Chemosphere 2006, 62, 650–657. [Google Scholar] [CrossRef] [PubMed]
- Bradford, M.M. A rapid and sensitive method for the quantitation of microgram quantities of protein utilizing the principle of protein-dye binding. Anal. Biochem. 1976, 72, 248–254. [Google Scholar] [CrossRef]
- Steinert, A.; Bielka, S. Determination of free proline in stressed plants. Arch. Züchtungsforsch. 1990, 20, 199–204. [Google Scholar]
- Beyer, W.F.; Fridovich, I. Assaying for superoxide dismutase activity: Some large consequences of minor changes in conditions. Anal. Biochem. 1987, 161, 559–566. [Google Scholar] [CrossRef]
- Civello, P.M.; Martinez, G.A.; Chaves, A.R.; Anon, M.C. Peroxidase from strawberry fruit (Fragaria ananassa Duch.): Partial purification and determination of some properties. J. Agric. Food Chem. 1995, 43, 2596–2601. [Google Scholar] [CrossRef]
- Hosseini, T.; Shekari, F.; Ghorbanli, M. Effect of salt stress on ion content, proline and antioxidative enzymes of two safflower cultivars (Carthamus tinctorius L.). Lang. Teach. Res. 2013, 17, 282–302. [Google Scholar]
- Lu, N.; Luo, Z.; Ke, Y.; Dai, L.; Duan, H.D.; Hou, R.X.; Cui, B.B.; Dou, S.H.; Zhang, Y.D.; Sun, Y.H.; et al. Growth, physiological, biochemical, and ionic responses of Morus alba L. seedlings to various salinity levels. Forests 2017, 8, 488. [Google Scholar] [CrossRef]
- Rao, G.G.; Rose, B.V.; Rao, G.R. Salt induced anatomical changes in the leaves of pigeon pea (Cajanus indicus Spreng.) and cluster bean (Cyamopsis tetragonoloba (L.) Taub.). Proc. Indian Acad. Sci. 1979, 88, 293–301. [Google Scholar]
- Ren, A.X.; Wang, Y.M. Effects of salt stress on stomatal differentiation and movements of amaranth (Amaranthus tricolor L.) leaves. Acta Hortic. Sin. 2010, 37, 479–484. (In Chinese) [Google Scholar]
- Richards, L.A. Diagnosis and improvement of saline and alkaline soils. Soil Sci. 1954, 78, 154. [Google Scholar] [CrossRef]
- Wang, B.X.; Zeng, Y.H.; Wang, D.Y.; Zhao, R.; Xu, X. Responses of leaf stomata to environmental stresses in distribution and physiological characteristics. Agric. Res. Arid Areas 2010, 28, 112–122. (In Chinese) [Google Scholar]
- Turhan. Growth and stomatal behaviour of two strawberry cultivars under long-term salinity stress. Turk. J. Agric. For. 2007, 31, 55–61. [Google Scholar]
- Parida, A.K.; Das, A.B.; Mittra, B. Effects of salt on growth, ion accumulation, photosynthesis and leaf anatomy of the mangrove, Bruguiera parviflora. Trees 2004, 18, 167–174. [Google Scholar] [CrossRef]
- Hetherington, A.M.; Woodward, F.I. The role of stomata in sensing and driving environmental change. Nature 2003, 424, 901–908. [Google Scholar] [CrossRef] [PubMed]
- Turhan, E.; Eris, A. Changes of growth, amino acids, and ionic composition in strawberry plants under salt stress conditions. Commun. Soil Sci. Plant Anal. 2009, 40, 3308–3322. [Google Scholar] [CrossRef]
- Akram, M.S.; Ashraf, M. Exogenous application of potassium dihydrogen phosphate can alleviate the adverse effects of salt stress on sunflower. J. Plant Nutr. 2011, 34, 1041–1057. [Google Scholar] [CrossRef]
- Ning, D.; Guo, W.H.; Zhang, X.R.; Wang, R.Q. Morphological and physiological responses of Vitex negundo L. var. heterophylla (Franch.) Rehd. to drought stress. Acta Physiol. Plant. 2010, 32, 839–848. [Google Scholar]
- Müller, P.; Li, X.P.; Niyogi, K.K. Non-photochemical quenching. A response to excess light energy. Plant Physiol. 2001, 125, 1558–1566. [Google Scholar] [CrossRef] [PubMed]
- Ellouzi, H.; Ben, H.K.; Cela, J.; Munné-Bosch, S.; Abdelly, C. Early effects of salt stress on the physiological and oxidative status of Cakile maritima (halophyte) and Arabidopsis thaliana (glycophyte). Physiol. Plant. 2011, 142, 128–143. [Google Scholar] [CrossRef] [PubMed]
- Ashraf, M.; Ali, Q. Relative membrane permeability and activities of some antioxidant enzymes as the key determinants of salt tolerance in canola (Brassica napus L.). Environ. Exp. Bot. 2008, 63, 266–273. [Google Scholar] [CrossRef]
- Sreenivasulu, N.; Grimm, B.; Wobus, U.; Weschke, W. Differential response of antioxidant compounds to salinity stress in salt-tolerant and salt-sensitive seedlings of foxtail millet (Setaria italica). Physiol. Plant. 2000, 109, 435–442. [Google Scholar] [CrossRef]
- Li, Z.P.; Zhang, W.H. Growth and physiological response of Quercus variabilis seedlings under NaCl stress. Acta Bot. Boreal. Occident. Sin. 2013, 33, 1630–1637. (In Chinese) [Google Scholar]
- Hamouda, I.; Badri, M.; Mejri, M.; Cruz, C.; Siddique, K.H.M.; Hessini, K. Salt tolerance of Beta macrocarpa is associated with efficient osmotic adjustment and increased apoplastic water content. Plant Biol. 2015, 18, 369–375. [Google Scholar] [CrossRef] [PubMed]
- Flowers, T.J.; Colmer, T.D. Salinity tolerance in halophytes. New Phytol. 2008, 179, 945–963. [Google Scholar] [CrossRef] [PubMed]
- Azooz, M.M.; Shaddad, M.A.; Abdel-Latef, A.A.A. The accumulation and compartmentation of proline in relation to salt tolerance of three sorghum cultivars. Indian J. Plant Physiol. 2004, 9, 1–8. [Google Scholar]
- Flowers, T.J.; Munns, R.; Colmer, T.D. Sodium chloride toxicity and the cellular basis of salt tolerance in halophytes. Ann. Bot. 2015, 115, 419–431. [Google Scholar] [CrossRef] [PubMed]




| Treatment | Height Growth (cm) | Diameter Growth (cm) | Root Length (cm) | Leaf Area (cm2) | Leaf Number Increment |
| S0 | 4.89 ± 0.40 a | 0.07 ± 0.008 a | 18.55 ± 1.90 ab | 10.48 ± 0.57 a | 16.33 ± 3.06 a |
| S1 | 4.10 ± 0.72 ab | 0.068 ± 0.004 a | 20.04 ± 1.11 a | 11.00 ± 0.98 a | 14.33 ± 2.08 ab |
| S2 | 3.80 ± 0.60 b | 0.058 ± 0.005 b | 16.79 ± 0.80 bc | 9.64 ± 1.52 ab | 11.00 ± 2.65 bc |
| S3 | 2.50 ± 0.44 c | 0.047 ± 0.005 c | 15.23 ± 1.18 c | 8.74 ± 1.08 abc | 9.00 ± 2.00 cd |
| S4 | 1.97 ± 0.25 c | 0.043 ± 0.006 cd | 12.35 ± 1.16 d | 7.52 ± 1.45 bc | 7.67 ± 2.08 cd |
| S5 | 1.73 ± 0.25 c | 0.037 ± 0.004 d | 10.29 ± 1.56 d | 6.81 ± 1.55 c | 6.00 ± 1.00 d |
| Treatment | Root (DW, g) | Stem (DW, g) | Leaf (DW, g) | Root/Shoot Ratio (R/S) | Total Biomass (DW, g) |
| S0 | 0.16 ± 0.006 a | 0.23 ± 0.008 a | 0.27 ± 0.008 a | 0.314 ± 0.002 e | 0.66 ± 0.02 a |
| S1 | 0.16 ± 0.007 a | 0.18 ± 0.012 b | 0.28 ± 0.007 a | 0.363 ± 0.005 d | 0.62 ± 0.03 b |
| S2 | 0.14 ± 0.005 b | 0.16 ± 0.007 c | 0.21 ± 0.006 b | 0.383 ± 0.002 c | 0.52 ± 0.02 c |
| S3 | 0.13 ± 0.007 c | 0.15 ± 0.010 c | 0.16 ± 0.011 c | 0.423 ± 0.006 b | 0.43 ± 0.03 d |
| S4 | 0.12 ± 0.005 cd | 0.13 ± 0.006 d | 0.12 ± 0.008 d | 0.476 ± 0.008 a | 0.37 ± 0.02 e |
| S5 | 0.11 ± 0.006 d | 0.11 ± 0.007 e | 0.11 ± 0.007 d | 0.482 ± 0.003 a | 0.33 ± 0.02 e |
| Treatment | Stomata Density (Number mm−2) | Stomata Length (μm) | Opened Stomata (%) | Leaf Thickness (μm) | Palisade Tissue Thickness (μm) | Palisade Tissue Thickness/Leaf Thickness (%) |
|---|---|---|---|---|---|---|
| S0 | 193.33 ± 16.04 ab | 14.87 ± 1.70 a | 98.04 ± 2.49 a | 69.33 ± 4.21 a | 19.30 ± 19.30 ab | 27.79 ± 1.28 ab |
| S1 | 215.00 ± 15.00 a | 15.70 ± 1.75 a | 90.66 ± 2.14 a | 67.89 ± 6.52 ab | 20.32 ± 2.93 a | 29.85 ± 2.01 a |
| S2 | 184.67 ± 19.43 bc | 13.50 ± 1.70 ab | 80.70 ± 1.66 b | 64.26 ± 6.00 ab | 19.10 ± 2.07 ab | 29.70 ± 0.59 a |
| S3 | 158.67 ± 13.01 cd | 11.60 ± 1.28 bc | 68.57 ± 5.42 c | 59.47 ± 5.39 b | 16.13 ± 1.59 bc | 27.12 ± 0.43 bc |
| S4 | 147.33 ± 13.01 de | 10.57 ± 1.66 c | 42.87 ± 2.00 d | 57.75 ± 4.06 b | 15.63 ± 1.95 bc | 27.00 ± 1.52 bc |
| S5 | 125.67 ± 15.63 e | 9.17 ± 1.25 c | 17.66 ± 1.45 e | 56.73 ± 7.91 b | 14.13 ± 1.88 c | 24.92 ± 0.20 c |
| Treatment | Pn (μmol m−2 s−1) | Tr (mmol m−2 s−1) | WUEi | Gs (μmol m−2 s−1) | Ci (μmol m−2 s−1) |
| S0 | 6.47 ± 0.81 a | 1.13 ± 0.09 bc | 5.77 ± 1.02 a | 76.67 ± 9.87 a | 243.67 ± 9.45 e |
| S1 | 6.97 ± 1.12 a | 1.38 ± 0.08 a | 5.08 ± 1.07 ab | 70.33 ± 8.02 ab | 234.00 ± 20.66 e |
| S2 | 5.50 ± 0.70 b | 1.28 ± 0.07 a | 4.31 ± 0.52 bc | 60.00 ± 5.00 bc | 268.00 ± 11.79 d |
| S3 | 3.50 ± 0.30 c | 1.11 ± 0.11 bc | 3.16 ± 0.27 c | 52.33 ± 8.39 cd | 296.33 ± 4.04 c |
| S4 | 1.53 ± 0.50 d | 1.00 ± 0.11 cd | 1.52 ± 0.43 d | 51.33 ± 7.57 cd | 355.00 ± 14.53 b |
| S5 | 0.50 ± 0.20 d | 0.88 ± 0.13 d | 0.57 ± 0.25 d | 44.67 ± 5.13 d | 380.00 ± 13.53 a |
| Treatment | ΦPSII | Fv/Fm | qP | NPQ | ETR (μmol m−2 s−1) |
| S0 | 0.49 ± 0.02 a | 0.63 ± 0.03 a | 1.03 ± 0.13 a | 0.67 ± 0.04 f | 255.48 ± 17.60 ab |
| S1 | 0.53 ± 0.07 a | 0.59 ± 0.06 ab | 0.97 ± 0.04 ab | 0.77 ± 0.03 e | 260.78 ± 25.76 a |
| S2 | 0.51 ± 0.03 a | 0.54 ± 0.04 abc | 0.90 ± 0.07 abc | 0.88 ± 03 d | 254.48 ± 12.81 ab |
| S3 | 0.47 ± 0.04 a | 0.49 ± 0.09 abc | 0.85 ± 0.10 bc | 1.12 ± 0.04 c | 226.42 ± 13.22 bc |
| S4 | 0.39 ± 0.05 b | 0.45 ± 0.11 c | 0.75 ± 0.10 cd | 1.21 ± 0.03 b | 206.02 ± 15.70 c |
| S5 | 0.36 ± 0.04 b | 0.41 ± 0.06 c | 0.60 ± 0.08 d | 1.33 ± 0.03 a | 200.28 ± 17.71 c |
| Treatment | Na (mg g−1) | K (mg g−1) | Ca (mg g−1) | Mg (mg g−1) | K/Na | Ca/Na | Mg/Na | |
|---|---|---|---|---|---|---|---|---|
| Root | S0 | 1.61 ± 0.05 e | 7.92 ± 0.23 a | 12.78 ± 0.36 b | 4.18 ± 0.14 a | 4.92 ± 0.04 a | 7.59 ± 0.24 a | 2.60 ± 0.11 a |
| S1 | 3.61 ± 0.20 d | 6.15 ± 0.28 b | 12.43 ± 0.54 b | 3.24 ± 0.24 bc | 1.71 ± 0.15 b | 3.45 ± 0.09 b | 0.90 ± 0.02 b | |
| S2 | 4.75 ± 0.19 c | 4.09 ± 0.16 cd | 12.88 ± 0.40 b | 2.89 ± 0.13 bc | 0.86 ± 0.07 c | 2.71 ± 0.07 d | 0.61 ± 0.03 c | |
| S3 | 6.48 ± 0.27 a | 3.85 ± 0.12 d | 13.28 ± 0.60 b | 2.77 ± 0.31 c | 0.59 ± 0.01 d | 2.05 ± 0.03 e | 0.43 ± 0.05 d | |
| S4 | 5.44 ± 0.22 b | 4.23 ± 0.08 c | 16.29 ± 0.28 a | 3.25 ± 0.38 bc | 0.78 ± 0.05 c | 3.00 ± 0.08 cd | 0.60 ± 0.10 c | |
| S5 | 4.93 ± 0.25 c | 4.39 ± 0.12 c | 15.59 ± 1.11 a | 3.32 ± 0.30 b | 0.89 ± 0.06 c | 3.17 ± 0.34 ab | 0.67 ± 0.05 c | |
| Stem | S0 | 0.85 ± 0.06 e | 6.14 ± 0.24 b | 30.22 ± 0.29 bc | 2.18 ± 0.11 b | 7.26 ± 0.71 a | 35.68 ± 2.65 a | 2.57 ± 0.22 a |
| S1 | 1.75 ± 0.04 e | 6.22 ± 0.17 b | 25.17 ± 1.56 de | 2.03 ± 0.09 b | 3.56 ± 0.16 b | 14.40 ± 1.22 b | 1.16 ± 0.03 b | |
| S2 | 6.83 ± 0.12 d | 3.83 ± 0.04 c | 26.97 ± 0.35 de | 2.01 ± 0.18 b | 0.56 ± 0.01 c | 3.95 ± 0.03 c | 0.30 ± 0.03 c | |
| S3 | 9.83 ± 0.35 c | 5.65 ± 0.17 b | 33.30 ± 1.04 a | 2.80 ± 0.09 a | 0.58 ± 0.01 c | 3.39 ± 0.04 dc | 0.29 ± 0.01 c | |
| S4 | 15.87 ± 1.15 b | 4.68 ± 1.24 c | 31.16 ± 2.03 ab | 3.01 ± 0.29 a | 0.29 ± 0.06 c | 1.96 ± 0.04 dc | 0.19 ± 0.02 c | |
| S5 | 17.21 ± 0.40 a | 7.30 ± 0.24 a | 28.15 ± 1.43 cd | 3.08 ± 0.18 a | 0.42 ± 0.01 c | 1.64 ± 0.07 d | 0.18 ± 0.01 c | |
| Leaf | S0 | 0.27 ± 0.03 e | 7.25 ± 0.41 c | 19.55 ± 0.50 d | 3.47 ± 0.09 d | 26.79 ± 2.52 a | 72.30 ± 7.43 a | 12.85 ± 1.35 a |
| S1 | 0.45 ± 0.07 e | 11.36 ± 0.22 a | 22.01 ± 0.52 de | 3.75 ± 0.11 bcd | 25.49 ± 3.63 b | 49.31 ± 6.25 b | 8.38 ± 0.98 b | |
| S2 | 3.31 ± 0.64 d | 9.22 ± 0.56 b | 20.56 ± 1.94 cd | 3.68 ± 0.30 cd | 2.86 ± 0.57 c | 6.36 ± 1.25 c | 1.14 ± 0.23 c | |
| S3 | 9.08 ± 0.33 a | 9.02 ± 0.30 b | 24.29 ± 1.01 a | 4.63 ± 0.20 a | 0.99 ± 0.01 c | 2.67 ± 0.02 c | 0.51 ± 0.01 c | |
| S4 | 6.33 ± 0.07 b | 8.60 ± 0.27 b | 23.86 ± 0.94 ab | 4.01 ± 0.23 bc | 1.36 ± 0.04 c | 3.77 ± 0.17 c | 0.63 ± 0.04 c | |
| S5 | 5.92 ± 0.18 b | 9.06 ± 0.21 b | 24.32 ± 1.37 a | 4.12 ± 0.26 b | 1.53 ± 0.01 c | 4.10 ± 0.11 c | 0.70 ± 0.02 c | |
| Whole plant | S0 | 2.73 ± 0.09 e | 21.31 ± 0.55 b | 62.54 ± 0.84 b | 9.83 ± 0.25 ab | 38.97 ± 2.81 a | 115.93 ± 3.06 a | 18.02 ± 1.19 a |
| S1 | 5.81 ± 0.29 d | 23.73 ± 0.54 a | 59.61 ± 2.22 b | 9.02 ± 0.42 bc | 30.76 ± 3.93 b | 67.16 ± 4.08 b | 10.44 ± 0.94 b | |
| S2 | 14.89 ± 0.68 c | 17.14 ± 0.70 d | 60.41 ± 1.69 b | 8.58 ± 0.26 c | 4.28 ± 0.58 c | 13.02 ± 2.04 d | 2.04 ± 0.24 c | |
| S3 | 25.39 ± 0.25 b | 18.52 ± 0.23 c | 70.87 ± 0.58 a | 10.21 ± 0.37 a | 2.16 ± 0.01 c | 8.11 ± 0.87 c | 1.22 ± 0.05 c | |
| S4 | 27.64 ± 1.17 a | 17.51 ± 1.13 cd | 71.30 ± 2.72 a | 10.27 ± 0.85 a | 2.43 ± 0.10 c | 8.73 ± 2.89 c | 1.42 ± 0.15 c | |
| S5 | 28.07 ± 0.53 a | 20.75 ± 0.52 b | 68.06 ± 3.48 a | 10.52 ± 0.53 a | 2.85 ± 0.04 c | 8.91 ± 3.96 c | 1.55 ± 0.08 c |
© 2018 by the authors. Licensee MDPI, Basel, Switzerland. This article is an open access article distributed under the terms and conditions of the Creative Commons Attribution (CC BY) license (http://creativecommons.org/licenses/by/4.0/).
Share and Cite
Zhou, Q.; Zhu, Z.; Shi, M.; Cheng, L. Growth and Physicochemical Changes of Carpinus betulus L. Influenced by Salinity Treatments. Forests 2018, 9, 354. https://doi.org/10.3390/f9060354
Zhou Q, Zhu Z, Shi M, Cheng L. Growth and Physicochemical Changes of Carpinus betulus L. Influenced by Salinity Treatments. Forests. 2018; 9(6):354. https://doi.org/10.3390/f9060354
Chicago/Turabian StyleZhou, Qi, Zunling Zhu, Man Shi, and Longxia Cheng. 2018. "Growth and Physicochemical Changes of Carpinus betulus L. Influenced by Salinity Treatments" Forests 9, no. 6: 354. https://doi.org/10.3390/f9060354
APA StyleZhou, Q., Zhu, Z., Shi, M., & Cheng, L. (2018). Growth and Physicochemical Changes of Carpinus betulus L. Influenced by Salinity Treatments. Forests, 9(6), 354. https://doi.org/10.3390/f9060354
