Abstract
This paper deals with the impact of heat treatment on the elastic and strength properties of two diffuse porous hardwoods, namely Fagus sylvatica and Betula pendula. Two degrees of the heat treatment were used at temperatures of 165 °C and 210 °C. The dynamic and static elasticity modulus, bending strength, impact toughness, hardness, and density were tested. It is already known that an increase in treatment temperature decreases the mechanical properties and, on the other hand, leads to a better shape and dimensional stability. Higher temperatures of the heat treatment correlated with lower elastic and strength properties. In the case of higher temperature treatments, the decline of tested properties was noticeable as a result of serious changes in the chemical composition of wood. It was confirmed that at higher temperature stages of treatment, there was a more pronounced decrease in beech properties compared to those of the birch, which was the most evident in their bending strength and hardness. Our research confirmed that there is no reason to consider birch wood to be of a lesser quality, although it is regarded by foresters as an inferior tree species. After the heat treatment, the wood properties are almost the same as in the case of beech wood.
Keywords:
heat treatment; beech; birch; thermowood; density; moisture content; mechanical properties; specific strength 1. Introduction
Beech (Fagus sylvatica L.) ranks among the most important European hardwoods and the most important deciduous species for Czech forestry, occupying 8.3% of total forest area [1]. It plays an important role in industry. In contrast, birch (Betula pendula Roth) is regarded as an inferior species in this region and its wood is mostly used as fuel. One of the reasons for this is its low durability and low resistance against biological agents. One of the ways to improve wood properties is thermal treatment, a natural and an environmentally friendly method of wood modification.
In many kinds of processing, wood is exposed to a treatment at elevated temperatures, e.g., drying, pulping, size stabilization, and production of particle- and fiberboard. Due to the fact that temperature influences the physical, structural, and chemical properties of wood, a number of publications are devoted to this topic [2,3,4,5,6,7,8,9,10,11,12,13,14,15,16,17,18,19,20,21,22,23,24], etc. The above mentioned processes are carried out at temperatures that usually do not exceed 200 °C because thermal degradation is undesirable.
Wood heating will lead to different processes that always depend on the heating mode used. It is recognized that hemicelluloses are degraded to a greater extent than other macromolecular components, but the relative stability of cellulose and lignin is much more difficult to determine. As is not the case above, when the wood is heated, heat-labile wood polymeric components (hemicelluloses) begin to decompose, resulting in the production of methanol, acid, and various volatile heterocyclic compounds (furans, etc.). In general, the loss of polysaccharide material becomes particularly important at temperatures above 180 °C, which largely depends on the processing conditions. However, changes in the degree of polymerization may appear at lower temperatures (above approx. 150 °C), depending on the heat treatment conditions. The total polyoses (hemicelluloses) containing a large proportion of xylan are oxidized more slowly and consume less oxygen than pure xylan. According to some studies, the decomposition of hardwood xylan begins at a temperature close to 200 °C in a normal atmosphere. Even though lignin is considered to be the thermally most stable component of wood, various changes have been observed even at temperatures below 200 °C. Assessment of lignin content in thermally treated woods indicated the increase of non-hydrolyzable residue with increasing temperature up to 200 °C [9,11].
There are a number of thermal modification methods that can be applied to wood, and the exact method of treatment can have a significant effect on the properties of the thermally modified wood. Major process variables are the following: time and temperature of treatment, treatment atmosphere, pressure, closed vs. open systems, wood species, wet and dry systems, sample dimensions, and use of catalysts. Also, under certain conditions, changes in wood can be observed even at 100 °C [11].
Thermally modified wood has been produced for more than 20 years, mostly in Finland and other countries of Western Europe. It is made of non-durable and less-durable wood species, such as beech, birch, pine, and spruce, etc. ThermoWood® is produced by a heat treatment process in the presence of steam and is therefore typical hygrothermal treatment. The steam acts as a blanket to reduce the oxidative degradation of wood and there are also further reactions that occur due to the presence of moisture. Because of the presence of steam, the air content in the kiln is limited from 3 to 5% during the heat treatment process [25].
ThermoWood has a lower density and has a reduced bending strength compared to unmodified wood [26,27,28]. The modulus of elasticity does not change significantly by the thermal treatment [29,30]. ThermoWood is not desirable to use for load-bearing applications. Toughness and abrasion resistance are reduced and wood tends to split more [31]. The equilibrium moisture content is about 40–50% lower at a given relative humidity compared to unmodified wood [11]. This wood also exhibits reduced permeability to moisture and greater dimensional stability [32]. There are more positive results due to heat treatment of wood, i.e., reduced thermal conductivity, increased sound absorption coefficient [33], improved fire resistance [34], reduced susceptibility to insect attack [35], and increased durability [36], etc.
Thermally modified wood is an ideal material for interior products such as parquet, tile, panels, kitchen furniture, sauna walls or floors, and some musical instruments. Also, it can be used for entrance doors, windows, exterior cladding, garden furniture, children’s playgrounds, fencing, and so on. This wood has the potential to replace tropical wood species and also to gradually replace wood chemically protected with biocides. However, it should be emphasized that the types of thermally modified wood that have been produced so far have not always been the most suitable material for permanently wet exposures in contact with terrain or water [15,16].
The aim of this study is to compare properties of beech and birch wood and to better explain the effect of thermal treatment on their wood. The results should broaden the information about stiffness and strength characteristics for the thermally modified wood of European beech and European birch, and their mutual comparison, as well as present a comparison with research of Douglas fir and alder woods (see research Borůvka [37]). The aim of this paper is therefore also to verify the negativity of the higher level of heat treatment of deciduous woods against conifers. From the perspective of wood utilization, these characteristics are important to find limiting conditions for the proper application and protection of individual timbers, including the appropriate degree of thermal treatment to guarantee required properties.
2. Materials and Methods
2.1. Materials
The testing material comes from tree stems from the Školní Lesní Podnik (Forest Establishment) of the Czech University of Life Sciences in Kostelec nad Černými Lesy, Czech Republic. For each species, we used wood from the basal part of three trees with diameters of about 40 cm. European beech (Fagus sylvatica L.) and European birch (Betula pendula Roth.) wood were cut into prisms with dimensions of 25 mm × 50 mm × 1000 mm (R × T × L). Six test pieces with dimensions of 20 mm × 20 mm × 300 mm were prepared from each prism to ensure the longitudinal parallelism of the testing samples with the samples prepared for two degrees of the thermal treatment.
Transversal parallelism should make the mutual comparison of two sets of tests possible (always a sample designed for the determination of density, toughness, and hardness, beneath a sample on dynamic elasticity modulus, static elasticity modulus, and bending strength). For more details, see the sampling scheme in Figure 1.
Figure 1.
Cutting diagram for testing samples preparation. Green coloring = reference, with no treatment; yellow coloring = heat treatment at 165 °C; red coloring = heat treatment at 210 °C; upper set of samples = for the determination toughness; slanted hatching = for determination density, hardness, and moisture content; bottom set of samples = for the determination dynamic elasticity modulus, static elasticity modulus, and bending strength.
In total, 360 testing samples were used (180 for beech and 180 for birch). The set of samples for each species was divided into thirds (reference, first degree of the treatment, second degree of the treatment). The following defects and irregularities were not allowed for the testing samples: knots, cracks, or reaction wood, as well as an angle of fiber declination in the bending plane larger than 5°.
The testing samples were conditioned to reach the equilibrium moisture content (approx. 12%). We used the Climacell 707 conditioning chamber (BMT Medical Technology Ltd., Brno, Czech Republic) at 20 ± 2 °C and a relative humidity of 65 ± 5%.
One third of the testing samples were subsequently exposed to the first degree of thermal treatment (an air atmosphere at 165 °C), and the second third of the testing samples were heat-treated at 210 °C, following the Finnish technology for the wood heat treatment (Pat. EP-0759137 [25]). The lab high-temperature chamber A type KHT (Katres Ltd., Jihlava, Czech Republic) (Figure 2, Table 1) was employed to modify both sets of the testing samples.
Figure 2.
The photograph of the thermal chamber used for the treatment including the arrangement of the samples inside (a) and the photograph of the conditioning chamber used for the conditioning after heat treatment including the arrangement of the samples inside (b).
Table 1.
Parameters of the Thermal Chamber.
Figure 3 describes the process of the heat treatment. During the treatment, we used sprinkling, in contrast to the steam used in Finnish technology. We exposed the testing samples to a temperature of 20 ± 2 °C and a relative humidity of 65 ± 5% to stabilize the equilibrium moisture content (Figure 2).
Figure 3.
Diagram of the heat treatment procedure at 165 °C (a) and 210 °C (b).
For the purpose of this study, beech and birch woods were chosen deliberately. Both species represent diffuse porous hardwoods with similar densities (Table 2).
Table 2.
Properties of Beech and Birch Woods.
2.2. Methods
The impact toughness (breaking power) is defined as the ability of wood to absorb the power of impact bending. The aim of this test was to determine the power consumed for the wood rupture (breaking point) under controlled conditions. Charpy’s hammer (CULS, Prague, Czech Republic) was used for this determination. The hammer impact direction was tangential.
The Equation (1) was used to calculate the impact toughness:
where Aw is the impact toughness at the moisture content during the test time in J·cm−2, W is the power consumed for the wood rupture in J, and b and h are the wood transversal dimensions in cm.
The wood bending strength is the stress corresponding to the test sample rupture caused by the combined forces with momentum at the plane perpendicular to the cross section. For the action of a single force in the center of the supports, the bending strength was calculated according to the Equation (2):
where σpohw is the bending strength at the moisture content during the test time in MPa; Fmax is the force corresponding to the breaking strength in N; l0 is the distance between supports in mm; and b and h are the width and height dimensions, respectively, in mm. The static bending tests were carried out on a Tira 50 kN testing machine (Tira GmbH, Schalkau, Germany) (Figure 4) with support distances of 240 mm, i.e., 12-fold greater than the sample height.
Figure 4.
TIRA 50 kN testing machine (a), Fakopp Ultrasonic Timer instrument (b), Charpy’s hammer (c), and DuraVision-30 hardness tester (d).
A theoretical basis for the determination of the bend elasticity modulus is the differential equation of the bending curve, as Equation (3) [39]:
where M is the bending momentum, E is the elasticity modulus, and I is the inertia moment.
For the action of a single force in the center of the supports, the static elasticity modulus was calculated according to the Equation (4):
where Eohw is the elasticity modulus at the moisture content during the test time in MPa; ∆F is the difference between the forces at maximum and minimum load limits in N; l0 is the distance between the supports in mm; b and h are the width and height dimensions, respectively, in mm; and ∆y is the test sample deflection in the area of pure bending, equal to the difference between the bending values corresponding to maximum and minimum load limits, in mm.
The dynamic elasticity modulus was calculated Equation (5) [39]:
where Ed is the dynamic elasticity modulus in MPa, c is the speed of sound in m·s−1, and ρ is the wood density in kg·m−3. We used a Fakopp Ultrasonic Timer instrument (Fakopp Enterprise Bt., Ágfalva, Hungary) (Figure 4).
Brinell hardness (BH) was calculated using a hardness tester DuraVision-30 (Struers GmbH, Willich, Germany) according to the Equation (6):
where HBw is the BH of wood (MPa), F is the maximum load force (N), D is the diameter of the carbide ball (mm), and d is the diameter of the residual indentation (mm). The force of 500 N was applied.
A reading for the wood density determination was taken from each test sample after the experiment (see Figure 1). The density was calculated as Equation (7):
where ρw is the wood density at the moisture content during the testing time in g·cm−3, mw is the wood mass at the moisture content during the testing time in g, and Vw is the wood volume at the moisture content during the testing time in cm3.
After the tests on density were carried out, the average width of the annual rings was measured on the samples. The cross sections on samples were scanned and evaluated using image analysis software NIS Elements AR (Laboratory Imaging, Prague, Czech Republic). The average width of annual rings was measured for each individual sample in pixels, which was then recalculated to dimensions in millimeters.
After the samples were dried to zero percent moisture in a Binder FD 115 lab kiln (Binder Inc., Tuttlingen, Germany) at 103 ± 2 °C, the wood moisture content was calculated according to the following formula:
where wa is the sample’s moisture content in %, mw is the sample’s mass at a certain moisture content in g, and m0 is the sample’s dry mass in g.
A so-called specific strength [39,40] was used as another indicator of the effect of the treatment on the quality of the testing material. The specific strength represents the proportion of adequate strength and density (SI unit for specific strength is N·m/kg). This indicator is a better way of informing about the impact of the modification on the practical usability of the material.
The initial equilibrium moisture content for the testing samples of the untreated wood was 12% (standardized conditions with a relative humidity of 65 ± 5% and a temperature of 20 ± 2 °C [19,22]). The heat-treated wood exhibited a lower moisture content under these conditions depending on the degree of the heat treatment. All tests were carried out completely with the testing standards according to the Czech national standardization [41,42,43,44,45,46,47], and the determination of the dynamic elasticity modulus was based on the methodology specified in the Fakopp instrumentation manual [48].
For statistical analysis, analysis of variance ANOVA (two-factors) was used to evaluate the significance of individual factors. The Duncan’s Multiple Range Test was used to compare the properties among the different treatments and species. A linear regression model was used to set the degree of correlation of selected factors. For all analyses, the same significance level of α = 0.01 (alternatively α = 0.05) was used.
3. Results
Table 3 and Table 4 show the basic statistical characteristics of all tested properties of untreated and heat-treated beech and birch wood.
Table 3.
Basic Statistical Analyses of the Properties for Untreated and Heat-Treated Beech Wood.
Table 4.
Basic Statistical Analyses of the Properties for Untreated and Heat-Treated Birch Wood.
The influence of wood species on a specific property (quantity), at a particular level of treatment (REF = reference, with no treatment, 165 = heat treatment at 165 °C, 210 = heat treatment at 210 °C), is almost always statistically significant (p < 0.01) (see Table A1, Table A2, Table A3, Table A4, Table A5, Table A6, Table A7, Table A8 and Table A9). This is not only the logical reason for moisture content in untreated wood (hereinafter REF) and also in treated at a temperature of 165 °C (hereinafter 165). For wood treated at a temperature of 210 °C (hereinafter 210), this difference is significant. Furthermore, there is a statistically insignificant influence of wood on the bending strength “210” and the impact bending strength “REF” and “210”.
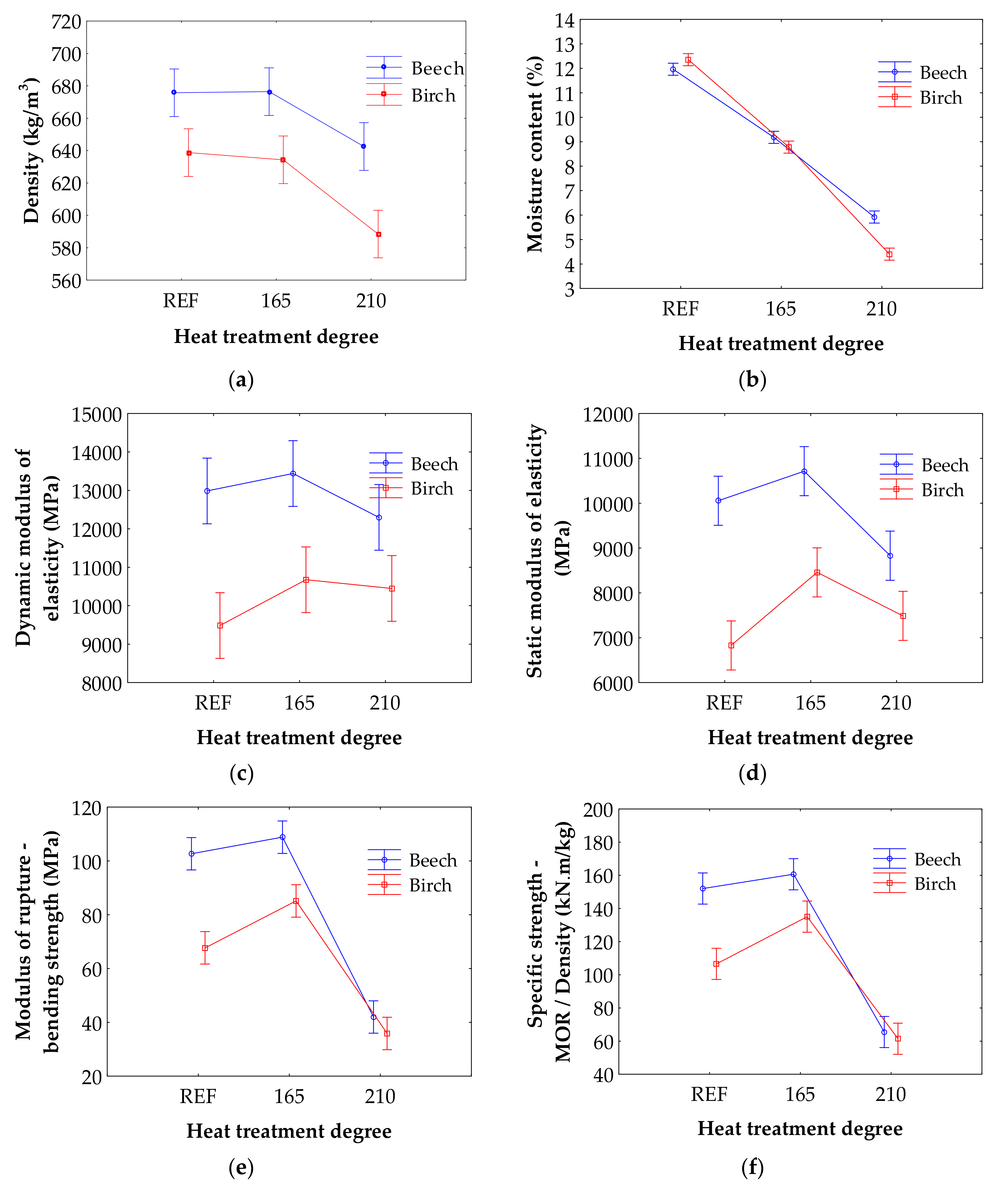
Clearly, the resilience of both woods was proved to be particularly evident against dynamic strain (impact bending strength), even at a lower level of heat treatment (decrease towards “REF” by 28% or beech and 56% for birch) and at a higher level by 81% for beech and by 86% for birch (see Table 5). On the other hand, the statistical method of this type of load (MOR = bending strength) at a lower level of heat treatment showed an increase of 6% for beech and up to 26% for birch at a lower heat treatment, and there was only a significant decrease at a higher degree of heat treatment, namely 59% for beech and 47% for birch. Regarding the elastic properties (MOE) and hardness, there was only a slight decrease for the beech and an increase for the birch (see Table 5 or Figure 5c,d). Respectively, the above mentioned practically means that the deformation potential in the plastic zone is significantly limited, particularly at a higher degree of heat treatment (above 200 °C).
Table 5.
Changes in Wood Property of Heat-treated Wood in Comparison to the Reference (untreated) Wood in %.
Figure 5.
Graphic visualization of the effect of wood species and heat treatment temperature on (a) wood density; (b) moisture content; (c) dynamic elasticity modulus; (d) static elasticity modulus; (e) bending strength; and (f) specific strength for MOR, at a 95% significance level. MOE = Modulus of elasticity.
Expected correlation (as stated Dinwoodie [49]) between statistical and dynamical MOEs has proved to be not very significant for possible predictions, especially for heat-treated wood (see Figure 6e,f). The explanation has already been described in detail in research by Borůvka [37], i.e., the different influence of moisture content during the measurement of dynamic and static moduli, as well as the existence of shear stress during the static three-point bending test.
Figure 6.
Graphic visualization of the effect of wood species and heat treatment temperature on (a) impact bending strength; (b) hardness LR; (c) hardness LT; (d) specific strength for hardness LT, at a 95% significance level. The relationship between static and dynamic elasticity moduli is shown in (e)-beech, 210 °C and (f)-birch, 165 °C. MOE = Modulus of elasticity.
Interestingly, there is a considerable difference in the width of the annual rings between the two trees, with the birch having more than three times the width of the beech, but the density of both trees was more or less standard, within the limits indicated in the literature (Table 2). Specific strength is a part of the results only for a simple material comparison, i.e., the quasi-removal of the effects caused by the density. This characteristic is better for comparison on a different basis, such as wood with metals. In our case, the development trend of the compared properties with the temperature increase proved to be logically similar, without taking into account the density.
4. Discussion
The aim of this study was to compare beech and birch wood and to better explain the effect of thermal treatment on their physical and mechanical properties. The related objective of this paper was primarily to verify the negativity of the higher level of treatment of deciduous woods (“210”) against conifers (see [37]). This hypothesis has been completely confirmed and it is clear that for the mentioned species, the maximum temperature is about 200 °C. Above this temperature, there are already significant changes in the chemical structure, especially the hemicellulose components (see more information in Introduction). Higher values of some properties (e.g., MOE) at the lower level of treatment, i.e., “165”, are more or less related to the fact that the changes in the wood structure are negligible and only the positive effect of the lower moisture is manifested, which at the higher stage “210” is important due to significant changes in the chemical structure, especially the hemicellulose components of the polysaccharide complex [9,10,11,13]. The general trend corresponds with the results specified for the example in the handbook of the International Thermowood Association [50], etc. [28,30,51].
Pentosans prevail among hardwood hemicelluloses, whereas hexosans are predominant in coniferous species. However, hemicelluloses are mainly copolymers of different carbohydrates. Xylans predominate among hemicelluloses in all deciduous species, in particular, glucuronoxylans. Mannane fractions are more skeleton than filling material of wood, having good links with the cellulose (see the representation of selected types of wood in the Table 6), mainly galactoglucomannans. Following on from this, the results of a comparison of the values of the selected properties of deciduous woods compared to representative of coniferous woods, which are much more resistant, are emerging. This is the same for static and dynamic mechanical loading (see Table 7). The decrease of properties in hardwoods is higher for beech and birch, which have a higher value of reference properties than the alder, but the values at “210”, especially in toughness, are almost identical, which means that the decrease is ultimately stronger.
Table 6.
Percentage Representation of the Major Non-glucosic Units in Hemicelluloses of Selected Wood Species (according to Fengel and Wegener [9]).
Table 7.
Percentage Decrease in Wood Property of Heat-treated Wood in Comparison to the Reference (untreated) Wood.
It is necessary to realize that the variability of most properties [52,53] is not eliminated by the heat treatment, often on the contrary.
From the above mentioned, at the finale, eventually limiting conditions are developed so as to guarantee the appropriate and safe utilization of the relevant type and degree of treatment of the modified wood in terms of its required utility properties. From the achieved results, it is clearly seen that usage of wood, treated with high temperatures, especially wood of deciduous species (i.e., beech and birch), is not suitable for construction purposes, because of the significant decrease of bending strength and toughness.
5. Conclusions
There is a partial increase in the values of most properties at a lower treatment temperature, eventually leading to the preservation of values at the level of untreated wood, for example, for birch, the modulus of rupture increased by 26%, the modulus of elasticity by 24%, and the hardness in the radial plane by 34%. This is related to the fact that chemical changes are not yet significant, and they only case the restriction of the wood’s ability to absorb bound water.
With higher treatment temperatures, there is a decrease in the elastic and especially the strength properties of the heat-treated wood. At higher treatment temperatures, more markedly right above 200 °C, the significant reduction of equilibrium moisture has no such effect as the consequence of more significant changes in the chemical structure of wood and the decrease in properties is significant.
Apparently, wood with a higher hemicellulose content, i.e., a lower overall resistance, exhibits a lower density, static bending strength, and toughness. Therefore, a more significant decrease was observed for the beech and birch woods than for the softwoods at higher treatment temperatures. The decrease of toughness by about 81% for beech wood with treated temperatures of 210 °C was observed in comparison to untreated wood (respectively 86% at birch). Static bending strength at heat treated birch wood decreased by 47% (respectively 59% at beech).
The higher strength resistance (respectively mainly hardness) of birch wood compared to beech in relation to heat treatment has been demonstrated, which is probably due to the higher content of mannan fractions of hemicelluloses.
The existing correlation between static and dynamic modules of elasticity was confirmed, but it was not statistically significant in all cases.
Our research confirmed that although untreated birch wood is not equal to beech wood from the view of wood properties, the heat treatment provides wood of similar properties. The impact of the heat treatment on the wood properties is less pronounced in the case of birch than beech, and the birch is thus more suitable for thermal modification. This simple and environmentally friendly method provides one of the ways to increase the utilization of birch wood in the industry for more valuable products than fuelwood.
Acknowledgments
The authors are grateful for the grant was supported by the National Agency for Agricultural Research of the Ministry of Agriculture of the Czech Republic (projects No. QJ1530032) and by the Grant service Forests of the Czech Republic, state enterprise (projects No. 3/2016, internal No. 43170/9010/9017).
Author Contributions
Vlastimil Borůvka conceived and designed the experiments; Vlastimil Borůvka and Roman Dudík were responsible for field data and the testing material collection; Tomáš Holeček performed the heat treatment of the testing material; Vlastimil Borůvka and Tomáš Holeček performed the tests and analyzed the data; Vlastimil Borůvka performed statistical analyses and wrote the first draft of Results; Vlastimil Borůvka and Aleš Zeidler finalized the data analyses and their interpreting and completed the manuscript.
Conflicts of Interest
The authors declare no conflict of interest.
Appendix A
Table A1.
Duncan’s Multiple Range Test for Wood Density.
Table A1.
Duncan’s Multiple Range Test for Wood Density.
| MS = 1663.7 | Beech | Beech | Beech | Birch | Birch | Birch | |
|---|---|---|---|---|---|---|---|
| DF = 174 | REF | 165 | 210 | REF | 165 | 210 | |
| Beech | REF | ||||||
| Beech | 165 | 0.947 | |||||
| Beech | 210 | 0.002 * | 0.002 * | ||||
| Birch | REF | 0.001 * | 0.001 * | 0.720 | |||
| Birch | 165 | 0.000 * | 0.000 * | 0.466 | 0.673 | ||
| Birch | 210 | 0.000 * | 0.000 * | 0.000 * | 0.000 * | 0.000 * | |
* Significant at p < 0.01; Error: Between MS = mean squares, DF = degrees of freedom.
Table A2.
Duncan’s Multiple Range Test for Annual Ring Width.
Table A2.
Duncan’s Multiple Range Test for Annual Ring Width.
| MS = 3.0963 | Beech | Beech | Beech | Birch | Birch | Birch | |
|---|---|---|---|---|---|---|---|
| DF = 174 | REF | 165 | 210 | REF | 165 | 210 | |
| Beech | REF | ||||||
| Beech | 165 | 0.705 | |||||
| Beech | 210 | 0.746 | 0.934 | ||||
| Birch | REF | 0.000 * | 0.000 * | 0.000 * | |||
| Birch | 165 | 0.000 * | 0.000 * | 0.000 * | 0.965 | ||
| Birch | 210 | 0.000 * | 0.000 * | 0.000 * | 0.037 | 0.043 | |
* Significant at p < 0.01.
Table A3.
Duncan’s Multiple Range Test for Dynamic Modulus of Elasticity.
Table A3.
Duncan’s Multiple Range Test for Dynamic Modulus of Elasticity.
| MS = 5,622,000 | Beech | Beech | Beech | Birch | Birch | Birch | |
|---|---|---|---|---|---|---|---|
| DF = 174 | REF | 165 | 210 | REF | 165 | 210 | |
| Beech | REF | ||||||
| Beech | 165 | 0.459 | |||||
| Beech | 210 | 0.261 | 0.077 | ||||
| Birch | REF | 0.000 * | 0.000 * | 0.000 * | |||
| Birch | 165 | 0.000 * | 0.000 * | 0.008 * | 0.065 | ||
| Birch | 210 | 0.000 * | 0.000 * | 0.004 * | 0.115 | 0.711 | |
* Significant at p < 0.01.
Table A4.
Duncan’s Multiple Range Test for Static Modulus of Elasticity.
Table A4.
Duncan’s Multiple Range Test for Static Modulus of Elasticity.
| MS = 2,308,000 | Beech | Beech | Beech | Birch | Birch | Birch | |
|---|---|---|---|---|---|---|---|
| DF = 174 | REF | 165 | 210 | REF | 165 | 210 | |
| Beech | REF | ||||||
| Beech | 165 | 0.093 | |||||
| Beech | 210 | 0.002 * | 0.000 * | ||||
| Birch | REF | 0.000 * | 0.000 * | 0.000 * | |||
| Birch | 165 | 0.000 * | 0.000 * | 0.343 | 0.000 * | ||
| Birch | 210 | 0.000 * | 0.000 * | 0.001 * | 0.093 | 0.013 | |
* Significant at p < 0.01.
Table A5.
Duncan’s Multiple Range Test for Modulus of Rupture.
Table A5.
Duncan’s Multiple Range Test for Modulus of Rupture.
| MS = 279.08 | Beech | Beech | Beech | Birch | Birch | Birch | |
|---|---|---|---|---|---|---|---|
| DF = 174 | REF | 165 | 210 | REF | 165 | 210 | |
| Beech | REF | ||||||
| Beech | 165 | 0.154 | |||||
| Beech | 210 | 0.000 * | 0.000 * | ||||
| Birch | REF | 0.000 * | 0.000 * | 0.000 * | |||
| Birch | 165 | 0.000 * | 0.000 * | 0.000 * | 0.000 * | ||
| Birch | 210 | 0.000 * | 0.000 * | 0.157 | 0.000 * | 0.000 * | |
* Significant at p < 0.01.
Table A6.
Duncan’s Multiple Range Test for Toughness.
Table A6.
Duncan’s Multiple Range Test for Toughness.
| MS = 4.7429 | Beech | Beech | Beech | Birch | Birch | Birch | |
|---|---|---|---|---|---|---|---|
| DF = 174 | REF | 165 | 210 | REF | 165 | 210 | |
| Beech | REF | ||||||
| Beech | 165 | 0.000 * | |||||
| Beech | 210 | 0.000 * | 0.000 * | ||||
| Birch | REF | 0.386 | 0.001 * | 0.000 * | |||
| Birch | 165 | 0.000 * | 0.000 * | 0.001 * | 0.000 * | ||
| Birch | 210 | 0.000 * | 0.000 * | 0.444 | 0.000 * | 0.000 * | |
* Significant at p < 0.01.
Table A7.
Duncan’s Multiple Range Test for Hardness LR.
Table A7.
Duncan’s Multiple Range Test for Hardness LR.
| MS = 101.28 | Beech | Beech | Beech | Birch | Birch | Birch | |
|---|---|---|---|---|---|---|---|
| DF = 174 | REF | 165 | 210 | REF | 165 | 210 | |
| Beech | REF | ||||||
| Beech | 165 | 0.780 | |||||
| Beech | 210 | 0.000 * | 0.000 * | ||||
| Birch | REF | 0.000 * | 0.000 * | 0.074 | |||
| Birch | 165 | 0.000 * | 0.000 * | 0.383 | 0.010 * | ||
| Birch | 210 | 0.000 * | 0.000 * | 0.243 | 0.470 | 0.053 | |
* Significant at p < 0.01.
Table A8.
Duncan’s Multiple Range Test for Hardness LT.
Table A8.
Duncan’s Multiple Range Test for Hardness LT.
| MS = 127.42 | Beech | Beech | Beech | Birch | Birch | Birch | |
|---|---|---|---|---|---|---|---|
| DF = 174 | REF | 165 | 210 | REF | 165 | 210 | |
| Beech | REF | ||||||
| Beech | 165 | 0.629 | |||||
| Beech | 210 | 0.000 * | 0.000 * | ||||
| Birch | REF | 0.000 * | 0.000 * | 0.009 * | |||
| Birch | 165 | 0.000 * | 0.000 * | 0.121 | 0.245 | ||
| Birch | 210 | 0.000 * | 0.000 * | 0.036 | 0.558 | 0.513 | |
* Significant at p < 0.01.
Table A9.
Duncan’s Multiple Range Test for Moisture Content.
Table A9.
Duncan’s Multiple Range Test for Moisture Content.
| MS = 0.46655 | Beech | Beech | Beech | Birch | Birch | Birch | |
|---|---|---|---|---|---|---|---|
| DF = 174 | REF | 165 | 210 | REF | 165 | 210 | |
| Beech | REF | ||||||
| Beech | 165 | 0.000 * | |||||
| Beech | 210 | 0.000 * | 0.000 * | ||||
| Birch | REF | 0.026 | 0.000 * | 0.000 * | |||
| Birch | 165 | 0.000 * | 0.024 | 0.000 * | 0.000 * | ||
| Birch | 210 | 0.000 * | 0.000 * | 0.000 * | 0.000 * | 0.000 * | |
* Significant at p < 0.01.
References
- Ministry of Agriculture. Zpráva o Stavu Lesa a Lesního Hospodářství ČR v Roce 2016; Report on the State of Forest and Forestry in the Czech Republic 2014; Ministry of Agriculture: Prague, Czech Republic, 2017.
- Bhuiyan, M.T.R.; Hirai, N.; Sobue, N. Changes of crystallinity in wood cellulose by heat treatment under dried and moist conditions. J. Wood Sci. 2000, 46, 431–436. [Google Scholar] [CrossRef]
- Bhuiyan, M.T.R.; Hirai, N.; Sobue, N. Effect of intermittent heat treatment on crystallinity in wood cellulose. J. Wood Sci. 2001, 47, 336–341. [Google Scholar] [CrossRef]
- Bhuiyan, M.T.R.; Hirai, N.; Sobue, N. Behavior of piezoelectric, dielectric, and elastic constants of wood during about 40 repeated measurements between 100 °C and 220 °C. J. Wood Sci. 2002, 48, 1–7. [Google Scholar] [CrossRef]
- Bhuiyan, M.T.R.; Hirai, N.; Sobue, N. Study of crystalline behavior of heat-treated wood cellulose during treatments in water. J. Wood Sci. 2005, 51, 42–47. [Google Scholar] [CrossRef]
- Bourgois, J.; Bartholin, M.C.; Guyonnet, R. Thermal treatment of wood: analysis of the obtained product. Wood Sci. Technol. 1989, 23, 303–310. [Google Scholar] [CrossRef]
- Cousins, W.J. Young’s modulus of hemicellulose as related to moisture content. Wood Sci. Technol. 1978, 12, 161–167. [Google Scholar] [CrossRef]
- Esteves, B.M.; Pereira, H.M. Wood modification by heat treatment: A review. BioResources 2009, 4, 370–404. [Google Scholar]
- Fengel, D.; Wegener, G. Wood: Chemistry, Ultrastructure, Reactions, 2nd ed.; Walter de Gruyter: Berlin, Germany, 1989; p. 613. ISBN 978-0899255934. [Google Scholar]
- Garrote, G.; Domínguez, H.; Parajó, J.C. Hydrothermal processing of lignocellulosic materials. Holz als Roh- und Werkstoff 1999, 57, 191–202. [Google Scholar] [CrossRef]
- Hill, C.A.S. Wood Modification: Chemical, Thermal and Other Processes; John Wiley & Sons: London, UK, 2006; p. 260. ISBN 978-0-470-02172-9. [Google Scholar]
- Hon, D.N.-S.; Shiraishi, N. Wood and Cellulosic Chemistry—Second Edition, Revised, and Expanded; Marcel Dekker: New York, NY, USA, 2001; p. 928. ISBN 978-0824700249. [Google Scholar]
- Kačíková, D.; Kačík, F. Chemické a Mechanické Zmeny Dreva pri Termickej Úprave (Chemical and Mechanical Changes of Wood Due to the Thermal Modification); Technical University in Zvolen: Zvolen, Slovakia, 2011. [Google Scholar]
- Kvietková, M.; Gašparík, M.; Gaff, M. Effect of thermal treatment on surface quality of beech wood after plane milling. BioResources 2015, 10, 4226–4238. [Google Scholar] [CrossRef]
- Navi, P.; Sandberg, D. Thermo-Hydro-Mechanical Wood Processing, 1st ed.; CRC Press: Lausanne, Switzerland, 2012; p. 280. ISBN 978-1439860427. [Google Scholar]
- Reinprecht, L.; Vidholdová, Z. Termodrevo—Príprava, Vlastnosti a Aplikácie (ThermoWood—Preparation, Properties and Applications); Technical University in Zvolen: Zvolen, Slovakia, 2008. [Google Scholar]
- Richardson, B.A. Wood Preservation, 2nd ed.; Taylor & Francis: London, UK; New York, NY, USA, 1993; p. 240. ISBN 978-0419174905. [Google Scholar]
- Sandberg, D.; Kutnar, A.; Mantanis, G. Wood modification technologies—A review. iForest 2017, 10, 895–908. [Google Scholar] [CrossRef]
- Shmulsky, R.; Jones, P.D. Forest Products and Wood Science, 6th ed.; Wiley-Blackwell: Hoboken, NJ, USA, 2011; p. 496. ISBN 978-0813820743. [Google Scholar]
- Smith, I.; Landis, E.; Gong, M. Fracture and Fatigue in Wood, 1st ed.; John Wiley & Sons: Chichester, UK, 2003; p. 242. ISBN 978-0471487081. [Google Scholar]
- Stamm, J.A. Wood and Cellulose Science; Ronald Press Co.: New York, NY, USA, 1964; p. 549. ISBN 978-0826084958. [Google Scholar]
- Tsoumis, G.T. Science and Technology of Wood—Structure, Properties, Utilization, 1st ed.; Van Nostrand Reinhold: New York, NY, USA, 1991; p. 494. ISBN 9780442239855. [Google Scholar]
- Ugolev, B.; Gorbacheva, G.; Belkovskiy, S. Quantification of wood memory effect. In Wood the Best Material for Mankind; Arbora Publishers: Zvolen, Slovakia, 2013; pp. 31–37. ISBN 978-80-968868-6-9. [Google Scholar]
- Windeisen, E.; Strobel, C.; Wegener, G. Chemical changes during the production of thermo-treated beech wood. Wood Sci. Technol. 2007, 41, 523–536. [Google Scholar] [CrossRef]
- Viitaniemi, P.; Ranta-Maunus, A.; Jämsä, S.; Ek, P. Method for Processing of Wood at Elevated Temperatures. Patent EP-0759137 VTT, 11 May 1995. [Google Scholar]
- Kubojima, Y.; Okano, T.; Ohta, M. Bending strength and toughness of heat-treated wood. J. Wood Sci. 2000, 46, 8–15. [Google Scholar] [CrossRef]
- Kubojima, Y.; Okano, T.; Ohta, M. Vibrational properties of heat-treated green wood. J. Wood Sci. 2000, 46, 63–67. [Google Scholar] [CrossRef]
- Tiryaki, S. Investigating The Relationship Between Some Mechanical Properties and Weight Loss in Heat Treated Woods. J. Polytech. 2015, 18, 149–154. [Google Scholar] [CrossRef]
- Holeček, T.; Gašparík, M.; Lagaňa, R.; Borůvka, V.; Oberhofnerová, E. Measuring the modulus of elasticity of thermally treated spruce wood using the ultrasound and resonance methods. BioResources 2017, 12, 819–838. [Google Scholar] [CrossRef]
- Poncsak, S.; Kocaefe, D.; Bouazara, M.; Pichette, A. Effect of high temperature treatment on the mechanical properties of birch (Betula papyrifera). Wood Sci. Technol. 2006, 40, 647–663. [Google Scholar] [CrossRef]
- Candelier, K.; Thevenon, M.-F.; Petrissans, A.; Dumarcay, S.; Gerardin, P.; Petrissans, M. Control of wood thermal treatment and its effects on decay resistance: A review. Ann. For. Sci. 2016, 73, 571–583. [Google Scholar] [CrossRef]
- Xie, Y.; Liu, Y.; Sun, Y. Heat-treated wood and its development in Europe. J. For. Res. 2002, 13, 224–230. [Google Scholar] [CrossRef]
- Chung, H.; Park, Y.; Yang, S.-Y.; Kim, H.; Han, Y.; Chang, Y.-S.; Yeo, H. Effect of heat treatment temperature and time on sound absorption coefficient of Larix kaempferi wood. J. Wood Sci. 2017, 63, 575–579. [Google Scholar] [CrossRef]
- Asseva, R.; Serkov, B.; Sivenkov, A. Fire Behavior and Fire Protection in Timber Buildings, 1st ed.; Springer: Dordrecht, The Netherlands, 2014; p. 290. ISBN 978-94-007-7459-9. [Google Scholar]
- Reinprecht, L. Wood Deterioration, Protection and Maintenance, 1st ed.; John Wiley & Sons: Oxford, UK, 2016; p. 376. ISBN 978-1119106531. [Google Scholar]
- Reinprecht, L.; Vidholdová, Z. Termodrevo (ThermoWood); Šmíra-Print: Ostrava, Czech Republic, 2011; p. 290. ISBN 978-80-87427-05-7. [Google Scholar]
- Borůvka, V.; Zeidler, A.; Holeček, T. Comparison of Stiffness and Strength Properties of Untreated and Heat-Treated Wood of Douglas Fir and Alder. BioResources 2015, 10, 8281–8294. [Google Scholar] [CrossRef]
- Wagenführ, R. Holzatlas, 5th ed.; Fachbuchverlag: Leipzig, Germany, 2000; p. 707. ISBN 978-3446213906. [Google Scholar]
- Požgaj, A.; Chovanec, D.; Kurjatko, S.; Babiak, M. Štruktúra a Vlastnosti Dreva (Structure and Properties of Wood), 1st ed.; Príroda: Bratislava, Slovakia, 1993; p. 485. ISBN 80-07-00600-1. [Google Scholar]
- Bodig, J.; Jayne, B.A. Mechanics of Wood and Wood Composites, 1st ed.; Van Nostrand Reinhold: New York, NY, USA, 1982; p. 712. ISBN 0442008228. [Google Scholar]
- ČSN 49 0103. Drevo. Zisťovanie Vlhkosti pri Fyzikálnych a Mechanických Skúškach (Wood. Determination of Moisture Content at Physical and Mechanical Testing); Office for Standardization and Measurement: Prague, Czech Republic, 1 December 1979. [Google Scholar]
- ČSN 49 0108. Drevo. Zisťovanie Hustoty (Wood. Determination of the Density); Czech Standards Institute: Prague, Czech Republic, 1 March 1993. [Google Scholar]
- ČSN 49 0115. Drevo. Zisťovanie Medze Pevnosti v Statickom Ohybe (Wood. Determination of Ultimate Strength in Flexure Tests); Office for Standardization and Measurement: Prague, Czech Republic, 1 December 1979. [Google Scholar]
- ČSN 49 0116. Drevo. Metóda Zisťovania Modulu Pružnosti pri Statickom Ohybe (Wood. Determination of the Modulus of Elasticity in Static Bending); Office for Standardization and Measurement: Prague, Czech Republic, 1 January 1982. [Google Scholar]
- ČSN 49 0117. Drevo. Rázová Húževnatosť v Ohybe (Wood. Impact Strength in Flexure); Office for Standardization and Measurement: Prague, Czech Republic, 1 January 1980. [Google Scholar]
- ČSN 64 0128. Zkoušky Tuhých Nekovových Materiálů. Tvrdost Podle Brinella (Testing of Rigid Non-Metallic Materials. Hardness According to Brinell); Czech Office for Standardization: Prague, Czech Republic, 1 May 1953. [Google Scholar]
- ČSN EN 1534 (492124). Dřevěné podlahoviny—Stanovení Odolnosti Proti Vtisku—Metoda zkoušení (Wood Flooring—Determination of Resistence to Indentation—Test Method); Czech Office for Standards, Metrology and Testing: Prague, Czech Republic, 1 May 2011. [Google Scholar]
- FAKOPP Ultrasonic Timer User’s Guide. Available online: http://fakopp.com/docs/products/ultrasonic/UltrasonicGuide.pdf (accessed on 19 February 2018).
- Dinwoodie, J.M. Timber: Its Nature and Behavior, 2nd ed.; CRC Press: New York, NY, USA, 2000; p. 272. ISBN 978-0419235804. [Google Scholar]
- ITA (International Thermowood Association). Thermowood Handbook; International Thermowood Association: Helsinki, Finland, 2003; Available online: http://vanhoorebeke.com/docs/Thermowood handboek.pdf (accessed on 19 February 2018).
- Johansson, D. Heat Treatment of Solid Wood (Effects on Absorption, Strength and Colour). Ph.D. Thesis, Luleå University of Technology, Luleå, Sweden, 2008. [Google Scholar]
- Zobel, B.J.; Buijtenen, J.P. Wood Variation: Its Causes and Control, 1st ed.; Springer: Berlin/Heidelberg, Germany, 1989; p. 363. ISBN 978-3-642-74071-8. [Google Scholar]
- Zobel, B.J.; Sprague, J.R. Juvenile Wood in Forest Trees, 1st ed.; Springer: Berlin/Heidelberg, Germany, 1998; p. 304. ISBN 978-3-642-72128-1. [Google Scholar]
© 2018 by the authors. Licensee MDPI, Basel, Switzerland. This article is an open access article distributed under the terms and conditions of the Creative Commons Attribution (CC BY) license (http://creativecommons.org/licenses/by/4.0/).





