Abstract
The knowledge about the impact of selection silviculture on deadwood components is fairly scarce. This study compared two Dinaric old-growth forests (OGFs) with adjacent managed forests (MFs) in which the single-tree selection system has been applied for a century. The comparisons were made in terms of the current amounts of coarse woody debris (CWD), distribution of its decay stages, and diameter structure of different CWD types (snags, logs, stumps). The relationship between the volume of live and dead trees was also examined. In both OGFs and MFs, the most snags were found in the third decay stage, while the volume of logs and stumps increased from the first to fifth decay class. The study showed the clear advantage of OGFs over adjacent selection MFs in terms of CWD volume, whereas the basal area of live trees and growing stock were not always reliable indicators for distinguishing between MFs and OGFs. The diameter distribution of individual CWD types (snags, logs, stumps) also differed significantly between selection MFs and OGFs in all tested pairs. This fact, along with the significant differences in CWD volume, indicates that selection silviculture should be amended to incorporate practices that ensure more natural management of deadwood components.
1. Introduction
The last several decades have seen a significant increase in scientific interest in deadwood and its ecological role in forest ecosystems [1]. As scientific knowledge surrounding deadwood has increased, so too has awareness of its importance as a structural element, with many countries now regarding deadwood as an important structural and functional component of forest ecosystems [2]. Moreover, the perception of forest managers has changed considerably towards higher acceptance of deadwood in managed forests [3,4]. Deadwood is often referred to as coarse woody debris (CWD), which is typically defined as having a diameter > 7.5 cm [5]. Because CWD takes much longer to decompose than fine woody debris [6], it serves as a carbon (C) pool [7,8] and it also increases the C content in the soil [9,10]. In addition to regulating nutrient cycling [11], CWD is an important source of water, especially during drought periods [12].
Paramount benefit of deadwood is that it serves as essential habitat for many (often endangered) organisms and may thus serve as reliable indicator of naturalness in forest ecosystems [1,13,14]. This is of practical importance since the collection of data on threatened species is very time-consuming and expensive [15]. Since CWD was found to be strongly correlated with the presence of saproxylic beetles and fungal species [1] and likewise with bird diversity [16], it is often necessary to acquire reliable information about CWD volume. In fact, the amount of deadwood is a critical environmental variable [17] for two reasons: first, a higher volume of available deadwood corresponds to a larger deadwood area and thus to greater resource availability [18], and second, it provides a greater diversity of available habitats [19]. In addition, deadwood amount can be used as an indicator of forest naturalness when comparing managed forests (MFs) with unmanaged references [20,21,22,23].
While a number of studies on deadwood have been carried out in North America (e.g., [24,25,26]), Northern Europe (e.g., [13,22,27], and Central Europe (e.g., [2,4,21]), there is less information on deadwood attributes in Southern Europe (but see [20,23,28]) and South-East Europe (e.g., [29]). Unfortunately, very small areas of old-growth forests (OGFs) have been preserved in Europe [30], and this is the major reason for the lack of quantitative information on differences in CWD amounts between MFs and neighboring OGFs [31]. Winter et al. [21] indicated that without knowing nature’s reference values for OGFs, the challenging task of preserving or restoring habitats is only partially feasible. Moreover, the authors found that OGFs located far away from MFs may not serve as adequate references due to differences in climatic and site conditions.
Another important issue concerning CWD in natural references is that most European studies were conducted in beech-dominated OGFs where conifers were either absent or comprised only a small share of the tree species composition. However, the deadwood quantities recorded in mixed beech-fir-spruce forests are not directly comparable with beech forests, as the decomposition of spruce and fir takes some decades longer than that of beech under similar climatic conditions [32]. It is hence important to distinguish between forest types, especially because mixed forests composed of beech and conifers (fir, spruce) play a very important ecological role in European montane forest ecosystems despite their history of intense anthropogenic disturbance in most parts of Europe. In South-East Europe, such mixed forests have been preserved to a somewhat greater extent; yet, they have received less scientific attention regarding CWD [29]. Besides total CWD volume, some authors (e.g., [13,33]) indicated that decay classes and the diameter of CWD are also important biodiversity attributes, as the majority of species colonizing CWD respond to the values of these attributes. In fact, for biodiversity conservation it is crucial to examine the balance between the proportions of different CWD diameters and decay stages [34], as each size category represents a different habitat suitable for different species [3]. Nevertheless, there have been few studies on the size class distribution of different types of CWD.
In OGFs, the accretion of deadwood depends on the disturbance regime and decay rates of deadwood [20], while in MFs, the silvicultural approach plays the major role. Although comparisons between OGFs and MFs are rare, it is clear that in MFs the amount of deadwood is influenced by the extraction of timber and woody biomass. Fridman and Walheim [35] reported that in general the quantity of CWD in MFs ranges between 2% and 30% of that in unmanaged forest. Some authors (e.g., [36,37]) have indicated that in forests managed in accordance with “close-to-nature” principles, the amount of deadwood is significantly greater than that in intensively managed forest. In forestry practice, however, usually a specific silvicultural system is prescribed and applied on the level of forest type or other management unit. The selection management system is generally considered to be consistent with “close-to-nature” principles regarding stand structural characteristics based on living trees [38,39,40]; however, little is known about how this system actually affects deadwood.
The major goals of this study were therefore to compare selection Piceo-Abieti-Fagetum MFs with neighboring OGFs in the Bosnian Dinaric Mountains in terms of (i) the current amounts of CWD, (ii) distribution of its decay stages, and (iii) diameter structure of different CWD types. Additional information is provided on the relationship between the volume of living and dead trees.
2. Materials and Methods
2.1. Study Site
The study was carried out in ten selection-managed forest stands and two neighboring OGFs, Janj and Lom, in the Dinaric Mountains in central and western Bosnia. Five managed stands in close proximity to each OGF were chosen for comparison. The geographic center of the core area of OGF Janj (57.2 ha) is located at 44°08′ N, 17°17′ E, and the core area of OGF Lom (55.8 ha) is located at 44°27′ N, 16°27′ E. OGF Janj and OGF Lom are surrounded by buffer zones of 237.8 ha and 297.8 ha, respectively. All studied stands were classified as forest association Piceo-Abieti-Fagetum dinaricum, as they were composed of European beech (Fagus sylvatica L.), silver fir (Abies alba Mill.), and Norway spruce (Picea abies (L.) H. Karst.), with small share of sycamore maple (Acer pseudoplatanus L.). The Janj area has a mean annual rainfall of 1200 mm and mean annual temperature around 5 °C, while for the Lom area the mean precipitation and temperature are 1600 mm and 7.8 °C, respectively (Drinic Station, 730 m above sea level). The managed stands were chosen based on the fact that their environmental characteristics were similar to those in the neighboring OGF. Dolomite bedrock was mostly present in the Janj area and limestone in the Lom area, with brown soil being the dominant soil type in both areas. All study stands were located at an altitudinal range of 1010–1460 m, and their inclination ranged from 0–12°. The presence of rocky outcrops was also similar in the OGF and MF (0–10% in the Janj area and 0–15% in the Lom area). Therefore, the OGFs were directly related and climatically comparable to neighboring selection MFs.
The cutting intensity in MFs was typical for the single-tree selection system without exceeding 20% of growing stock (GS) in a 10-year cutting cycle. In addition, the last cut was performed at least four years before the fieldwork (nine years in most stands). It is important to note that the selection management system has had a long tradition in the study area and has been applied continuously since the early 20th century. However, the prescriptions for CWD within this system do not exist, so the managers in Bosnia have freedom to leave a certain amount of CWD as long as it does not endanger forest health and tree-size demographic equilibrium. Sanitary cuttings within this system are conducted every year; nonetheless, the extraction of CWD is in some cases considered too expensive, for instance, if only single trees are killed or they are located far from the road. Consequently, CWD of such origin is observed once a year and if it does not pose a threat to forest health, it is usually left in the forest.
2.2. Data Collection
For measurement of CWD, a regular 100 × 100 m grid of sampling points was superimposed with 80 points in the OGFs (40 in each OGF) and 120 points in the MFs (60 in each MF). On two 50 m line transects oriented northward (the first) and eastward (the second) from each sampling point, the diameter of logs was measured at the points where they crossed the transect lines (for details, see [41]). In addition, in two 50 × 8 m rectangular plots centered on the line transects, the diameters of stumps were measured at the ground and at the top, whereas the diameters of snags were measured at 1.30 m above the ground (DBH). Thus, the area measured around each single point was 736 m2, which is larger than the minimum plot area for CWD sampling (500 m2) proposed by Lombardi et al. [42]. In addition to size measurements, for each element of CWD, decay classes were also recorded, where the first class stands for fresh CWD and the fifth class represents very old, nearly decomposed CWD (for details, see [43]). CWD was categorized into snags (standing dead trees, DBH ≥ 7.5 cm and height ≥ 1.30 m), downed logs (fallen stems or branches ≥ 7.5 cm diameter and length > 1 m) and stumps (short, vertical remains from cutting or windthrow, top diameter ≥ 7.5 cm and height < 1.30 m). The distinction between snags and logs was established at a 45° leaning angle. The data from OGF Lom originated from previous studies (e.g., [44,45]), whereas the data for OGF Janj, MF Janj, and MF Lom were collected from 2012 to 2014. Details related to the inventory of live trees were described by Keren et al. [40]. It should be noted that the plots for the measurement of live trees were centered exactly on the same points as the plots for the sampling of CWD.
2.3. Data Analyses
All CWD was grouped into three types or categories: logs, snags, and stumps. In the first phase, descriptive statistics for total CWD as well as individual CWD types were calculated and presented for OGFs and MFs. In graphical presentations, raw data for diameter distributions of snags, logs, and stumps were smoothed with cubic splines. Differences in the total volume of CWD and volume of different CWD types were tested for MFs and OGFs with the non-parametric Mann-Whitney test. Both the whole MF as well as individual managed stands were compared to OGFs. Since the CWD volume of the tested groups (forest stands) in the study area did not have a normal distribution and/or homogeneous variances, the appropriate non-parametric test (Kruskal-Wallis) was applied. In case of significant results of the Kruskal-Wallis test, the multiple Mann-Whitney test was used for post-hoc analysis of individual managed stands and OGFs. Due to normal distributions and homogeneous variances regarding structural characteristics of living trees, such as basal area (BA) and growing stock (GS), for these characteristics MFs and OGFs were compared by applying the independent t-test, and the results were compared and concisely discussed with the outcomes related to CWD.
The diameter distributions of individual CWD types (logs, snags, stumps) were compared between OGFs and MFs with χ2 tests, whereas the width of each diameter class equaled 10 cm. All statistical tests were conducted at α = 0.05. The analyses were performed with the software package STATISTICA 12 (StatSoft, Inc., Tulsa, OK, USA). Additionally, the density of logs, snags, and stumps was presented in three size groups: small, with diameters 7.5–27.5 cm; medium-sized, with diameters 27.6–50.0 cm; and large CWD, with diameters > 50.0 cm for the purpose of comparison of selection MFs with OGFs, but also for comparisons with other relevant studies that used a similar size classification. Volumes of logs, stumps, and broken snags were calculated according to the methods described by Motta et al. [41].
3. Results
3.1. Growing Stock and Deadwood Quantities
Both OGFs and MFs in the study area were characterized by high values of basal area (BA) and volume or growing stock (GS) of living trees. The mean BA in OGF Janj and OGF Lom was 66.7 m2·ha−1 and 47.1 m2·ha−1, respectively, while MF Janj and MF Lom followed with 35.5 m2·ha−1 and 41.5 m2·ha−1 and, respectively. The mean GS in OGF Janj and OGF Lom was 1215 m3·ha−1 and 763 m3·ha−1, respectively, whereas the values in MF Janj and MF Lom amounted to 500 m3·ha−1 and 664 m3·ha−1, respectively. Tree species composition considering GS is shown in Table 1.
Table 1.
Tree species composition by volume of live trees in old-growth forests (OGFs) and managed forests (MFs) in the study area.
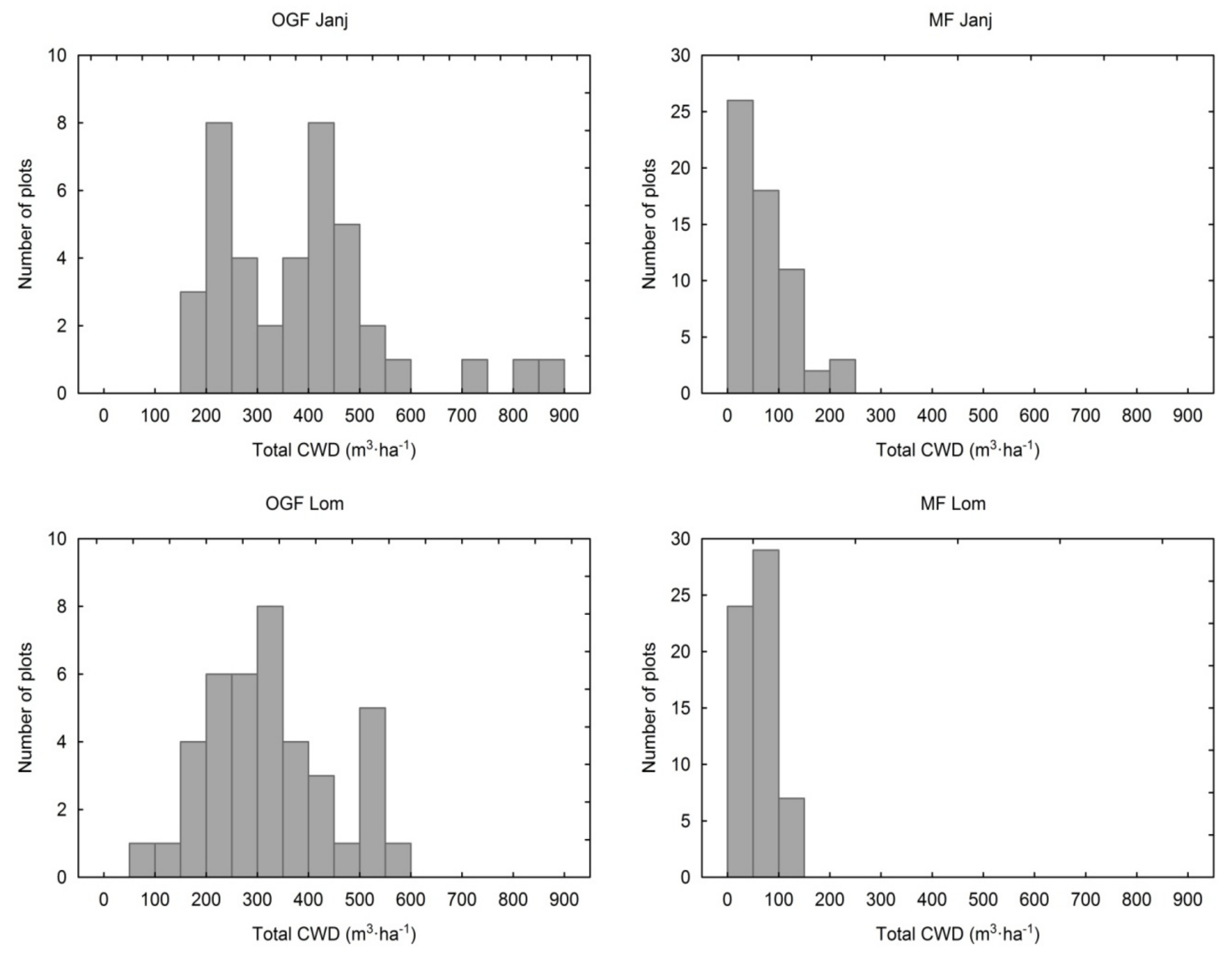
According to the results from Table 2, the highest mean volume of CWD was determined in OGF Janj, which had 387 m3·ha−1 in different forms and decay stages, whereas the second highest mean amount of CWD was found in OGF Lom (327 m3·ha−1). MF Janj and MF Lom followed with 63 m3·ha−1 and 75 m3·ha−1, respectively (Table 2). It was noticeable that in the case of both OGFs, the higher the GS, the higher the amount of CWD. However, the results from the two MFs were not consistent, as MF Janj had a smaller amount of GS but a greater amount of deadwood, in contrast to MF Lom. The ratio CWD/GS in OGF Janj was 0.32, whereas in MF Janj, OGF Lom, and MF Lom, this ratio amounted to 0.15, 0.43, and 0.09, respectively. Distributions of total CWD volume were non-normal (except OGF Lom). Most plots in OGF Janj had between 200–450 m3·ha−1 of CWD. The maximum in this OGF was 893 m3·ha−1 and the minimum was 162 m3·ha−1. In MF Janj, one peak on the histogram was distinguishable (up to 50 m3·ha−1), indicating that most plots in this forest had much lower quantities of CWD than OGF Janj. In MF Lom, the amounts were lower, with peak values between 40–60 m3·ha−1. Besides the mean value, the minimum and maximum values in this forest were also conspicuously lower than in the adjacent OGF Lom. Most plots in OGF Lom were characterized by 300–350 m3·ha−1 of CWD, whereas the minimum was 88 m3·ha−1 and the maximum amounted to 578 m3·ha−1 (Table 2, Figure 1).
Table 2.
Mean, standard deviation (SD), and range values for coarse woody debris in old-growth forests (OGFs) and managed forests (MFs) in Janj and Lom.
Figure 1.
Frequency distribution of total coarse woody debris (CWD) volume in old-growth forests (OGFs) and managed forests (MFs) in Janj and Lom.
Logs and snags had non-normal distributions on plots in all four sites as did stumps in OGF Lom and MF Lom. Only stumps in OGF Janj and MF Janj were characterized by a normal distribution; yet, their variances were unequal. When individual CWD categories (logs, snags, and stumps) as well as total CWD amounts were compared between MFs and OGFs, the Mann-Whitney test showed significant differences for all tested pairs (in all cases calculated p < 0.00001). Moreover, the Kruskal-Wallis test indicated significant differences between individual managed stands and OGFs in both study areas. Finally, multiple pair-wise Mann-Whitney post-hoc analysis showed that the differences between individual managed stands and corresponding adjacent OGFs were also highly significant for all tested pairs (calculated p < 0.00001).
In contrast to the tested CWD volumes, the comparisons between OGFs and MFs that included BA and GS of living trees yielded varied outcomes. Namely, there was a significant difference between OGF Janj and MF Janj with respect to BA (t = 9.83, p < 0.00001) and GS (t = 11.93, p < 0.00001); however, significant differences regarding these two attributes were not found between OGF Lom and MF Lom.
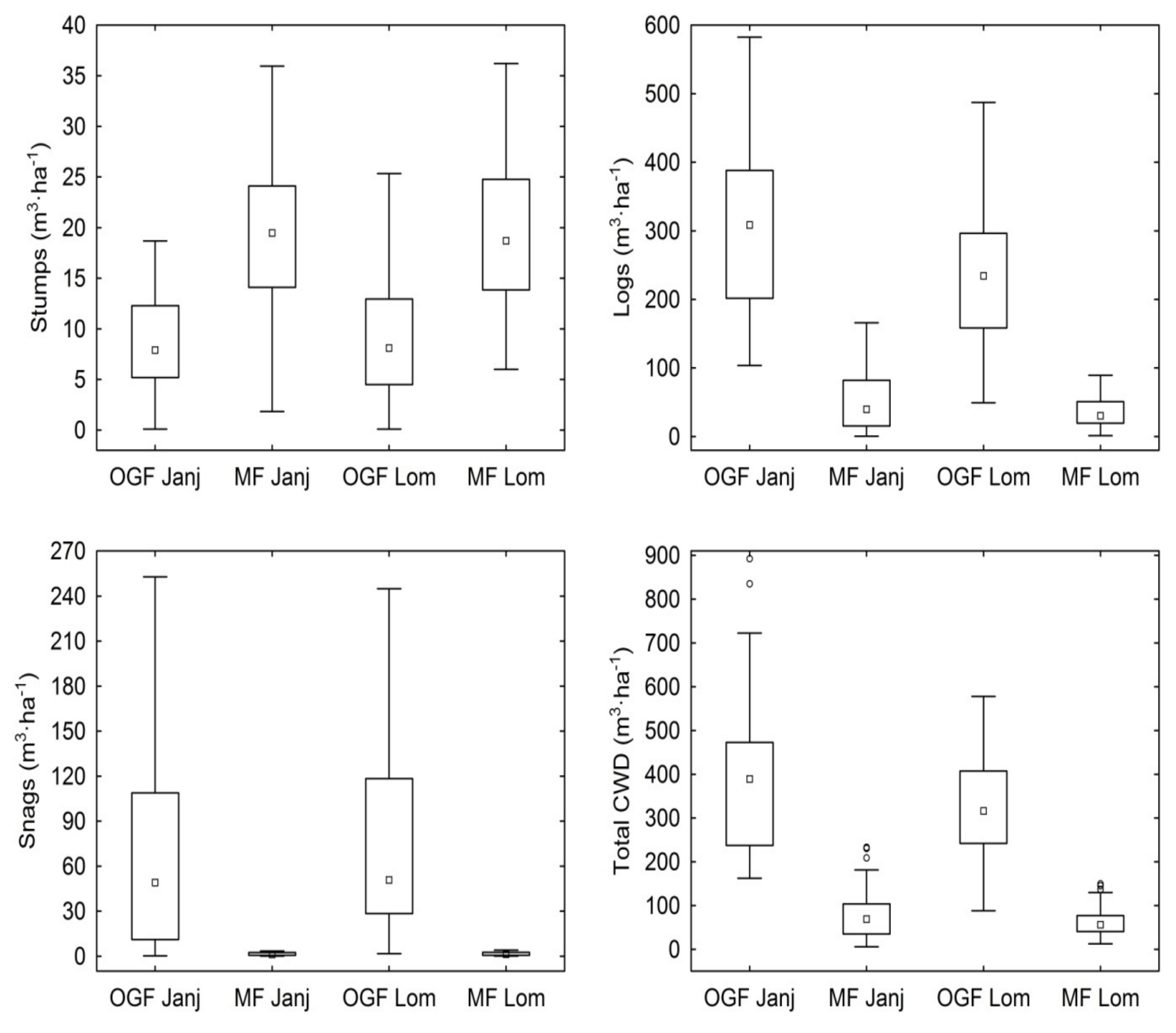
Most of the CWD volume in OGF Janj was comprised of logs, followed by snags and stumps, with the ratios of 0.79, 0.19, and 0.02, respectively. Logs were hence four times more abundant than snags and stumps together. In MF Janj, the ratio logs:snags:stumps was 0.70:0.03:0.27; in OGF Lom, it was 0.72:0.25:0.03, respectively; and in MF Lom, it was 0.64:0.04:0.32, respectively. Median and interquartile range of individual CWD types as well as total CWD volume is presented in Figure 2.
Figure 2.
Box-plots for the volume of stumps, logs, and snags and total CWD in old-growth forests (OGFs) and managed forests (MFs) in Janj and Lom. The box represents the interquartile range, and the small square inside the box shows the median. The whiskers extend to the lowest and highest values below and above the first and third quartile, respectively, excluding outliers. Circles represent outliers that are more than 1.5 times the interquartile range.
3.2. Decay Classes
In OGF Janj, only logs were present in all five CWD decay classes, with the highest volume in the fifth decay class. Most snags were in the first decay class, while none were present in the fifth decay class. Most stumps were in the fourth decay class. In MF Janj, logs were dominant in the fourth and fifth classes. Most stumps occurred also in the fourth decay class, while snags were generally scarce in this forest. In OGF Lom, most logs were found in the fifth class, snags in the third class, and stumps in the fourth class. In MF Lom, most logs were found in the fourth and fifth classes, most stumps were found in the fourth class, and snags were very scarce, similar to MF Janj (Table 3).
Table 3.
Different decay classes of CWD in the studied old-growth (OGFs) and selection managed forests (MFs).
3.3. Deadwood Diameter Structure
The diameter distribution of different CWD categories (Figure 3) revealed that in OGF Janj logs were most abundant up to the diameter class of 70 cm, and in larger diameter classes snags and stumps became equally abundant or more abundant than logs. In MF Janj, logs were more numerous in diameter classes up to 20 cm, and in larger diameters the share of stumps was clearly higher than the share of logs. In OGF Lom, logs were more numerous in size classes up to the diameter class of 65 cm, while in the largest diameter classes snags surpassed logs. In MF Lom, logs dominated up to the 15-cm diameter class, whereas the number of stumps in larger size classes was higher. On the other hand, there were large standing snags (>50 cm DBH) in OGF Janj, with 18 snags·ha−1, and in OGF Lom, with 19 snags·ha−1. Interestingly, the number of thinner snags (7.5–50 cm DBH) in OGF Janj was lower, amounting to only 16 snags·ha−1, while in OGF Lom there were 25 snags·ha−1 in this category. In MF Janj, only thin snags in the diameter class of 10 cm were more frequent compared to OGF Janj. The frequency of snags in OGF Lom was higher in all diameter classes compared to MF Lom. In contrast, the number of stumps was generally greater in MFs in all diameter classes compared to OGFs. When only the categories of small and medium-sized CWD were observed, consistent results were obtained. Regarding snags and logs, consistent results were obtained in both localities since small logs were more prevalent in MFs, while medium-sized and large logs were more prevalent in OGFs (Table 4, Figure 3).
Figure 3.
Diameter distribution of snags, logs, and stumps in old-growth forests (OGFs) and managed forests (MFs) in Janj and Lom.
Table 4.
Percentage of small (7.5–27.5 cm diameters), medium-sized (27.6–50.0 cm diameters), and large (diameters > 50.0 cm) logs, snags, and stumps in old-growth forests (OGFs) and managed forests (MFs) in Janj and Lom.
The differences in diameter distributions of individual CWD types between OGFs and MFs were significant in all comparative cases (p < 0.00001).
4. Discussion
4.1. Deadwood Quantities
A certain amount of CWD is a requirement for close-to-nature forest management [46,47]. However, information from unmanaged references is missing for many regions, hampering our ability to determine appropriate threshold values for MFs [21]. Forests managed with the selection system emulate OGFs with regard to some structural characteristics of living trees [38,39,40]; thus, the selection system has features of multifunctional and close-to-nature forest management in the given context. Nevertheless, studies on how this system specifically affects deadwood presence and structure are rare (e.g., [48,49]). Paletto et al. [37] showed that multifunctional management yielded larger quantities of deadwood than intense production-oriented management. On the other hand, the present study dealt with the question of how multi-functional (selection) MFs compare to adjacent OGFs.
The results showed that selection MFs had significantly lower amounts of CWD compared to neighboring OGFs. This is in line with the outcomes of some other studies comparing MFs and OGFs (e.g., [8,31]). MF Janj had 19.5% and MF Lom 19.2% of the CWD of corresponding (adjacent) OGFs, so they fall within the European range of 2–30% (see [35]). It is important to note, however, that the absolute CWD volumes from MF Janj and MF Lom were much higher compared to MFs in several European countries (see [50]). Moreover, these two selection forests largely exceeded the amounts that were proposed as the European deadwood threshold of 30–40 m3·ha−1 for management of mixed mountainous forests [17]. However, Müller and Bütler [17] also urged researchers to analyze CWD data additionally with the aim of further identification of thresholds, especially in mixed montane forests where the database is still small.
Oheimb et al. [32] indicated that the proportion of deadwood in the total stand volume (living and dead) varied from 4% to 35% of that in the OGFs of Central and South-East Europe. OGF Janj and OGF Lom fell within the upper part of this range with proportions of CWD in the total stand volume (living and dead) of 24% and 30%, respectively. The average CWD volumes in OGF Janj and OGF Lom were slightly lower compared to some other mixed Dinaric OGFs, such as Perućica (406 m3·ha−1) in Bosnia-Herzegovina and Biogradska Gora (420 m3·ha−1) in Montenegro (see [29,51]; Table 5) but higher than the European average of 220 m3·ha−1 (see [52]).
Table 5.
The mean volume of deadwood in several old-growth forests of South-East Europe.
CWD volumes over 400 m3·ha−1 were also found in certain development stages of other European OGFs, for instance, in Slovakia [56], Poland [57], and Slovenia [31]. The possible reason might be linked to pronounced fir decline during the last few decades in OGFs, especially in Eastern and South-East Europe [58]. In this context, Petritan et al. [54] reported a large share of fir in the total deadwood of OGF Sinca in Romania; however, the same authors also indicated the recent recovery and successful recruitment of young fir trees.
Abundant deadwood quantities in OGF Janj and OGF Lom were expected, as these two forests represent long-established mountainous forest reserves that were not subject to direct human impact even before their official protection in 1954. In addition, very productive fir and spruce were the dominant species in the upperstory for at least six decades [45], and after disturbance, the CWD of these two species decays more slowly than the CWD of beech [7].
Considering the comparisons that included structural characteristics of live trees such as BA and GS, significant difference was found between OGF Janj and MF Janj. However, significant difference regarding these two attributes was not determined between OGF Lom and MF Lom. One of the reasons for such an outcome may lie in the larger share of conifers in MF Lom [40]. Consequently, the present study results suggest that CWD amounts can be used as a more reliable structural indicator than BA or GS of live trees for the purpose of distinguishing old-growth conditions and assessing the naturalness of a forest.
4.2. Distribution of Decay Classes
Information about CWD decay classes is important for a number of reasons. Namely, decayed wood is very rich in nutrients [59], and the presence of different decay classes in a forest greatly influences wood-inhabiting species richness and diversity [13]. In addition, decay class distribution can be used as an indicator of the history of a forest [60]. In the present study, in both MFs and OGFs, the volume of logs and stumps increased from the first to higher decay classes (Table 3), indicating that the disturbance regime (or harvesting) was either more intensive in the past or that the CWD in the study area requires very long periods to decompose completely. In fact, Garbarino et al. [61] showed that mostly small-size gaps occurred in the recent past of OGF Lom. On the other hand, the information on disturbance history in MFs is limited to a general description of silvicultural activities (see the section Study Area).
Findings related to the distribution of decay classes of CWD seem to be highly variable. Seidling et al. [2] showed that 38% of the monitored plots were dominated by the third decay class, while the second and first decay classes dominated in 24% and 12% of the plots, respectively. More decomposed CWD in the fourth and fifth decay classes dominated in 19% and 7% of the plots, respectively. Although the review by Seidling et al. [2] is highly valuable, as it encompassed several European countries, the information on distribution of decay classes was presented for total deadwood values, but not for individual deadwood types. On the other hand, Motta et al. [41] specifically addressed individual CWD types in the Valbona forest reserve (Italy) and showed that the pattern of decay classes for stumps and logs is fairly varied. The results from Valbona reserve were similar to OGF Janj with regard to snags, which were mostly found in the first decay class, whereas snags in OGF Lom were mostly concentrated in the third decay class. Likewise, Oheimb et al. [32] found that two-thirds of the standing dead trees were in the third decay class. In addition, the distribution of decay classes of logs and stumps in both OGFs and MFs in the study area was most similar to the results reported by Oheimb et al. [32], who also indicated the largest amounts of CWD in the final stages of decomposition.
The rate of wood decomposition has a large influence on the regeneration process, but not all decay classes provide the same favorable conditions; namely, the third stage of decay seems to be the most favorable for regeneration [41]. Although the present study in Janj and Lom did not examine the influence of CWD on regeneration, the results showed that most logs and stumps were found in the fourth and fifth decay classes in both MFs and OGFs, which does not predispose them to successful regeneration. Yet, it is important to notice that OGF Janj and OGF Lom have fairly high volumes of live trees, and thus fresh amounts of CWD can be expected in the near future. On the other hand, the amounts of fresh CWD in MF Janj and MF Lom will depend on silvicultural practices, but certainly the amount of fresh stumps is expected to increase, as these forests currently also have high volumes of live trees.
4.3. Deadwood Diameter Structure
Diameter is one of the most important biodiversity attributes of CWD, as a large majority of species inhabiting deadwood respond to its value [13]. Nevertheless, there are a relatively small number of studies that have examined the proportion of different CWD types in different diameter size classes (but see [32,37,41,62]). Nilsson et al. [62] found that about 10% of all standing trunks above the inventory threshold in OGFs were dead. These percentages in OGF Janj and OGF Lom were lower (6% and 8%, respectively). The present study also showed that most CWD in OGFs was in the form of logs up to the diameter class of 65–70 cm, whereas stumps and snags tended to be larger. Similar observations on snags and logs were made by Nilsson et al. [62] and Pontailler et al. [63]. Although snags were larger than logs, this fact alone was not sufficient to state that OGFs experienced more endogenous mortality processes (e.g., senescence of trees) than exogenous processes (e.g., windthrow), since the number of logs was generally greater than the number of snags. Besides, logs were on average more decomposed, hence their diameters after disturbance were more reduced than that of snags. Therefore, additional observations are necessary to determine the causes of the disturbance regime in the studied OGFs.
In both selection MFs, logs were dominant only in diameter classes up to 15–20 cm, and stumps were the most frequent CWD type in larger diameter classes. Spies and Franklin [24] compared young stands with OGFs in the Pacific Northwest, USA and found significantly more small logs in young stands, while medium-sized and large logs were more numerous in OGFs. Small and medium-sized stumps in Janj and Lom were conspicuously more abundant in MFs than in OGFs, while medium-sized snags were clearly more abundant in OGFs. Only the results for small snags were inconsistent. Similar to the results shown by Spies and Franklin [24], a greater number of small snags were found in OGF Lom than in MF Lom; however, in MF Janj there were more small snags than in OGF Janj.
With respect to large snags with a diameter above 50 cm, the average for OGF Lom and OGF Janj was 19 and 18 such snags·ha−1, respectively; hence, these two OGFs provide favorable conditions for biodiversity conservation. On the contrary, with less than one large snag per hectare, MFs in the study area failed to meet the minimum criterion of 5 large snags·ha−1 proposed by some authors (see [37,64,65]). Generally, in the selection harvesting system in the study area, all snags with DBH > 30 cm were removed.
Motta et al. [41] found that stumps in the Valbona Forest Reserve (central Italy) had a normal diameter distribution, whereas snag and log size distributions tended to approach a reverse J shape. OGFs and selection MFs in Janj and Lom followed these patterns to a certain extent; however, the OGFs exhibited much greater variability than the MFs (Figure 3). In contrast, the Valbona Reserve exhibited fairly clear CWD size distribution patterns (see [41]). Although a few studies have addressed the issue of CWD size distribution in European OGFs, comparison between OGFs and MFs, but also between differently managed stands, seem to be largely missing. Paletto et al. [37] found significant differences in the size distribution of logs between forests that were managed intensively, extensively, and multi-functionally. Another important contribution was made recently by some authors (e.g., [26,66]) who compared the effects of selection harvesting systems with the experimental approach which they called the structural complexity enhancement (SCE) system. In these cases, the authors also found significant differences. Likewise, the differences in the diameter distribution of individual CWD types (snags, logs, stumps) between multi-functional (selection) MFs and OGFs in Janj and Lom were significant in all tested pairs. Such outcomes were expected, considering the fact that conventional silviculture systems, including selection systems, remove most of the freshly created deadwood from forest stands [26].
5. Conclusions and Management Implications
The study showed a clear advantage of Piceo-Abieti-Fagetum OGFs over neighboring selection MFs in terms of CWD volume, whereas the use of variables related to living trees (BA and GS) yielded varied outcomes. Consequently, CWD could be used as a more reliable structural indicator than BA or GS for the purpose of distinguishing or assessing the naturalness (old-growth condition) of a forest. On the other hand, the frequency and volume of stumps was significantly higher in MFs compared to OGFs; thus, some future studies will hopefully provide the answer to what extent stumps could functionally replace the lack of snags and logs in MFs.
Although selection MFs had significantly lower amounts of CWD compared to adjacent OGFs, these amounts largely exceeded those indicated as the European deadwood threshold for management of mixed mountainous forests. Consequently, this study showed that threshold CWD values of 30–40 m3·ha−1 (sensu [17]) are realistic in selection forests, as the demographic equilibrium of live trees in the study area (see [40]) was not disrupted even by higher deadwood quantities. Thereby, forest management should tend to include all deadwood types and the full range of diameters and decay stages. Yet, the issue of a deadwood threshold for MFs remains an open question, one that will probably have to be solved regionally by taking into account additional biodiversity studies, the specifics of different forest types and silvicultural systems, but also monetary compensations to forest owners (see also [67]).
With respect to CWD in both OGFs and MFs, not only its volume is important but also its structure in terms of decomposition and diameter distribution. The study indicated that the disturbance regime in OGFs and harvesting in MFs were more intensive in the past and that CWD in the Bosnian Dinaric Mountains requires a very long period of time to decompose completely (but see [68]). Finally, the diameter distribution of individual CWD types (snags, logs, stumps) differed significantly between selection MFs and OGFs in all tested pairs. Although OGFs should be used as references for close-to-nature forest management, the amounts of CWD from these forests cannot be realistic target for MFs. However, this study indicated that selection silviculture has the potential to be modified in order to better emulate the size distribution and decay classes of deadwood from OGFs on the landscape scale.
Acknowledgments
The authors gratefully acknowledge the support of forestry engineers in the study area. Special thanks are due to Renzo Motta and Roberta Berretti from Turin University for providing the advice concerning the methodology. We also thank all researchers at the Faculty of Forestry in Banja Luka, who provided advisory help before the field work. The research was funded by the Ministry of Science and Technology (the Republic of Srpska, Bosnia-Herzegovina), the Ministry of Science and Higher Education (MNiSW, Poland)—Statutory funds: DS-3418/ZBiPL/2018, and the Slovenian Research Agency (ARRS): Programme group Forest, forestry and renewable forest resources.
Author Contributions
S.K. and J.D. conceived the research ideas and conducted the study area reconnaissance; S.K. carried out data collection, statistical analyses, literature review and drafting of the manuscript; J.D. contributed partly with the literature review; both authors worked on the revision of successive drafts.
Conflicts of Interest
The authors declare no conflict of interest.
References
- Gao, T.; Nielsen, A.B.; Hedblom, M. Reviewing the strength of evidence of biodiversity indicators for forest ecosystems in Europe. Ecol. Indic. 2015, 57, 420–434. [Google Scholar] [CrossRef]
- Seidling, W.; Travaglini, D.; Meyer, P.; Waldner, P.; Fischer, R.; Granke, O.; Chirici, G.; Corona, P. Dead wood and stand structure—Relationships for forest plots across Europe. iForest Biogeosci. For. 2014, 7, 269–381. [Google Scholar] [CrossRef]
- Merganičová, K.; Merganič, J.; Svoboda, M.; Bače, R.; Šeben, V. Deadwood in Forest Ecosystems. In Forest Ecosystems—More than Just Trees; Juan, A.B., Yueh-Hsin, L., Eds.; InTech: Rijeka, Croatia, 2012; pp. 81–108. [Google Scholar]
- Doerfler, I.; Müller, J.; Gossner, M.M.; Hofner, B.; Weisser, W.W. Success of a deadwood enrichment strategy in production forests depends on stand type and management intensity. For. Ecol. Manag. 2017, 400, 607–620. [Google Scholar] [CrossRef]
- Harmon, M.E. Woody Detritus Mass and its Contribution to Carbon Dynamics of Old-Growth Forests: The Temporal Context. In Old-Growth Forests—Function, Fate and Value; Wirth, C., Gleixner, G., Heimann, M., Eds.; Springer: Berlin/Heidelberg, Germany, 2009; pp. 159–190. [Google Scholar]
- Stevens, V. The Ecological Role of Coarse Woody Debris: An Overview of the Ecological Importance of CWD in BC Forests; Working Paper 30/199; Ministry of Forests: Victoria, BC, Canada, 1997.
- Harmon, M.E.; Franklin, J.F.; Swanson, F.J.; Sollins, P.; Gregory, S.V.; Lattin, J.D.; Anderson, N.H.; Cline, S.P.; Aumen, N.G.; Sedell, J.R.; et al. Ecology of Coarse Woody Debris in Temperate Ecosystems. Adv. Ecol. Res. 2004, 34, 59–234. [Google Scholar]
- Klein, D.; Höllerl, S.; Blaschke, M.; Schulz, C. The contribution of managed and unmanaged forests to climate change mitigation-A model approach at stand level for the main tree species in Bavaria. Forests 2013, 4, 43–69. [Google Scholar] [CrossRef]
- Panayotov, K. Influence of Deadwood on Soil Carbon, Nitrogen, Bulk Density and pH in a Deciduous Non-Intervention Forest Reserve. Master’s Thesis, University of Copenhagen, Copenhagen, Denmark, 2016. [Google Scholar]
- Błońska, E.; Kacprzyk, M.; Spólnik, A. Effect of deadwood of different tree species in various stages of decomposition on biochemical soil properties and carbon storage. Ecol. Res. 2017, 32, 193–203. [Google Scholar] [CrossRef]
- Holub, S.M.; Spears, J.D.; Lajtha, K. A reanalysis of nutrient dynamics in coniferous coarse woody debris. Can. J. For. Res. 2001, 31, 1894–1902. [Google Scholar] [CrossRef]
- Pichler, V.; Homolák, M.; Skierucha, W.; Pichlerová, M.; Ramírez, D.; Gregor, J.; Jaloviar, P. Variability of moisture in coarse woody debris from several ecologically important tree species of the temperate zone of europe. Ecohydrology 2012, 5, 424–434. [Google Scholar] [CrossRef]
- Stokland, J.N.; Tomter, S.M.; Söderberg, U. Development of Dead Wood Indicators for Biodiversity Monitoring: Experiences from Scandinavia. In Monitoring and Indicators of Forest Biodiversity in Europe—From Ideas to Operationality; Marco, M., Ed.; European Forest Institute: Joensuu, Finland, 2004; pp. 207–228. [Google Scholar]
- Vandekerkhove, K.; De Keersmaeker, L.; Menke, N.; Meyer, P.; Verschelde, P. When nature takes over from man: Dead wood accumulation in previously managed oak and beech woodlands in North-western and Central Europe. For. Ecol. Manag. 2009, 258, 425–435. [Google Scholar] [CrossRef]
- Kraus, D.; Krumm, F. Integrative Approaches as an Opportunity for the Conservation of Forest Biodiversity; European Forest Institute: Joensuu, Finland, 2013. [Google Scholar]
- Regnery, B.; Couvet, D.; Kubarek, L.; Julien, J.F.; Kerbiriou, C. Tree microhabitats as indicators of bird and bat communities in Mediterranean forests. Ecol. Indic. 2013, 34, 221–230. [Google Scholar] [CrossRef]
- Müller, J.; Bütler, R. A review of habitat thresholds for dead wood: A baseline for management recommendations in European forests. Eur. J. For. Res. 2010, 129, 981–992. [Google Scholar] [CrossRef]
- Bässler, C.; Müller, J.; Dziock, F.; Brandl, R. Effects of resource availability and climate on the diversity of wood-decaying fungi. J. Ecol. 2010, 98, 822–832. [Google Scholar] [CrossRef]
- Boecklen, J.W. Effects of Habitat Heterogeneity on the Species-Area Relationships of Forest Birds. J. Biogeogr. 1986, 13, 59–68. [Google Scholar] [CrossRef]
- Castagneri, D.; Garbarino, M.; Berretti, R.; Motta, R. Site and stand effects on coarse woody debris in montane mixed forests of Eastern Italian Alps. For. Ecol. Manag. 2010, 260, 1592–1598. [Google Scholar] [CrossRef]
- Winter, S.; Fischer, H.S.; Fischer, A. Relative Quantitative Reference Approach for Naturalness Assessments of forests. For. Ecol. Manag. 2010, 259, 1624–1632. [Google Scholar] [CrossRef]
- Kunttu, P.; Junninen, K.; Kouki, J. Dead wood as an indicator of forest naturalness: A comparison of methods. For. Ecol. Manag. 2015, 353, 30–40. [Google Scholar] [CrossRef]
- Lombardi, F.; Lasserre, B.; Chirici, G.; Tognetti, R.; Marchetti, M. Deadwood occurrence and forest structure as indicators of old-growth forest conditions in Mediterranean mountainous ecosystems. Écoscience 2012, 19, 344–355. [Google Scholar] [CrossRef]
- Spies, T.A.; Franklin, J.F. The Structure of Natural Young, Mature, and Old-Growth Douglas-Fir Forests in Oregon and Washington; Aubry, K.B., Brookes, M.H., Agee, J.K., Anthony, R.G., Franklin, J.F., Eds.; United States Department of Agriculture Forest Service: Portland, OR, USA, 1991. [Google Scholar]
- Feller, M.C. Coarse woody debris in the old-growth forests of British Columbia. Environ. Rev. 2003, 11, 135–157. [Google Scholar] [CrossRef]
- Keeton, W.S. Managing for late-successional/old-growth characteristics in northern hardwood-conifer forests. For. Ecol. Manag. 2006, 235, 129–142. [Google Scholar] [CrossRef]
- Siitonen, J.; Martikainen, P.; Punttila, P.; Rauh, J. Coarse woody debris and stand characteristics in mature managed and old-growth boreal mesic forests in southern Finland. For. Ecol. Manag. 2000, 128, 211–225. [Google Scholar] [CrossRef]
- Lombardi, F.; Lasserre, B.; Tognetti, R.; Marchetti, M. Deadwood in relation to stand management and forest type in central apennines (Molise, Italy). Ecosystems 2008, 11, 882–894. [Google Scholar] [CrossRef]
- Motta, R.; Garbarino, M.; Berretti, R.; Bjelanovic, I.; Borgogno Mondino, E.; Čurović, M.; Keren, S.; Meloni, F.; Nosenzo, A. Structure, spatio-temporal dynamics and disturbance regime of the mixed beech–Silver fir–Norway spruce old-growth forest of Biogradska Gora (Montenegro). Plant Biosyst. 2015, 149, 966–975. [Google Scholar] [CrossRef]
- Parviainen, J. Virgin and natural forests in the temperate zone of Europe. For. Snow Landsc. Res. 2005, 79, 9–18. [Google Scholar]
- Debeljak, M. Coarse woody debris in virgin and managed forest. Ecol. Indic. 2006, 6, 733–742. [Google Scholar] [CrossRef]
- Oheimb, G.; Westphal, C.; Härdtle, W. Diversity and spatio-temporal dynamics of dead wood in a temperate near-natural beech forest (Fagus sylvatica). Eur. J. For. Res. 2007, 126, 359–370. [Google Scholar] [CrossRef]
- Heilmann-Clausen, J.; Christensen, M. Fungal diversity ion decaying beech logs—Implications for sustainable forestry. Biodivers. Conserv. 2003, 12, 953–973. [Google Scholar] [CrossRef]
- Hagan, J.M.; Grove, S.L. Coarse Woody Debris: Humans and Nature Competing for Trees. J. For. 1999, 97, 6–11. [Google Scholar]
- Fridman, J.; Walheim, M. Amount, structure, and dynamics of dead wood on managed forestland in Sweden. For. Ecol. Manag. 2000, 131, 23–36. [Google Scholar] [CrossRef]
- Kirby, K.J.; Reid, C.M.; Thomas, R.C.; Goldsmith, F.B. Preliminary estimates of fallen dead wood and standing dead trees in managed and unmanaged forests in Britain. J. Appl. Ecol. 1998, 35, 148–155. [Google Scholar] [CrossRef]
- Paletto, A.; De Meo, I.; Cantiani, P.; Ferretti, F. Effects of forest management on the amount of deadwood in Mediterranean oak ecosystems. Ann. For. Sci. 2014, 71, 791–800. [Google Scholar] [CrossRef]
- Brang, P.; Spathelf, P.; Larsen, J.B.; Bauhus, J.; Bončina, A.; Chauvin, C.; Drössler, L.; Garcia-Güemes, C.; Heiri, C.; Kerr, G.; et al. Suitability of close-to-nature silviculture for adapting temperate European forests to climate change. Forestry 2014, 87, 492–503. [Google Scholar] [CrossRef]
- Schütz, J.-P.; Saniga, M.; Diaci, J.; Vrška, T. Comparing close-to-naturesilviculture with processes in pristine forests: Lessons from Central Europe. Ann. For. Sci. 2016, 73, 911–921. [Google Scholar] [CrossRef]
- Keren, S.; Diaci, J.; Motta, R.; Govedar, Z. Stand structural complexity of mixed old-growth and adjacent selection forests in the Dinaric Mountains of Bosnia and Herzegovina. For. Ecol. Manag. 2017, 400, 531–541. [Google Scholar] [CrossRef]
- Motta, R.; Berretti, R.; Lingua, E.; Piussi, P. Coarse woody debris, forest structure and regeneration in the Valbona Forest Reserve, Paneveggio, Italian Alps. For. Ecol. Manag. 2006, 235, 155–163. [Google Scholar] [CrossRef]
- Lombardi, F.; Marchetti, M.; Corona, P.; Merlini, P.; Chirici, G.; Tognetti, R.; Burrascano, S.; Alivernini, A.; Puletti, N. Quantifying the effect of sampling plot size on the estimation of structural indicators in old-growth forest stands. For. Ecol. Manag. 2015, 346, 89–97. [Google Scholar] [CrossRef]
- Nagel, T.A.; Svoboda, M. Gap disturbance regime in an old-growth Fagus-Abies forest in the Dinaric Mountains, Bosnia-Herzegovina. Can. J. For. Res. 2008, 38, 2728–2737. [Google Scholar] [CrossRef]
- Motta, R.; Berretti, R.; Castagneri, D.; Dukić, V.; Garbarino, M.; Govedar, Z.; Lingua, E.; Maunaga, Z.; Meloni, F. Toward a definition of the range of variability of central European mixed Fagus–Abies–Picea forests: The nearly steady-state forest of Lom (Bosnia and Herzegovina). Can. J. For. Res. 2011, 41, 1871–1884. [Google Scholar] [CrossRef]
- Keren, S.; Motta, R.; Govedar, Z.; Lucic, R.; Medarevic, M.; Diaci, J. Comparative structural dynamics of the Janj mixed old-growth mountain forest in Bosnia and Herzegovina: Are conifers in a long-term decline? Forests 2014, 5, 1243–1266. [Google Scholar] [CrossRef]
- Gustafsson, L.; Baker, S.C.; Bauhus, J.; Beese, W.J.; Brodie, A.; Kouki, J.; Lindenmayer, D.B.; Lõhmus, A.; Pastur, G.M.; Messier, C.; et al. Retention Forestry to Maintain Multifunctional Forests: A World Perspective. Bioscience 2012, 62, 633–645. [Google Scholar] [CrossRef]
- Bauhus, J.; Puettmann, K.; Kühne, C. Close-to-Nature Forest Management in Europe: Does It Support Complexity and Adaptability of Forest Ecosystems. In Managing Forests as Complex Adaptive Systems: Building Resilience to the Challenge of Global Change; Messier, C., Puettmann, K., Coates, K.D., Eds.; Routledge: London, UK; New York, NY, USA, 2013; pp. 187–213. [Google Scholar]
- Larrieu, L.; Cabanettes, A.; Brin, A.; Bouget, C.; Deconchat, M. Tree microhabitats at the stand scale in montane beech-fir forests: Practical information for taxa conservation in forestry. Eur. J. For. Res. 2014, 133, 355–367. [Google Scholar] [CrossRef]
- Paillet, Y.; Archaux, F.; Boulanger, V.; Debaive, N.; Fuhr, M.; Gilg, O.; Gosselin, F.; Guilbert, E. Snags and large trees drive higher tree microhabitat densities in strict forest reserves. For. Ecol. Manag. 2017, 389, 176–186. [Google Scholar] [CrossRef]
- Dudley, N.; Vallauri, D. WWF Report—Deadwood–Living Forests; World Wildlife Fund: Gland, Switzerland, 2004. [Google Scholar]
- Motta, R.; Garbarino, M.; Berretti, R.; Meloni, F.; Nosenzo, A.; Vacchiano, G. Development of old-growth characteristics in uneven-aged forests of the Italian Alps. Eur. J. For. Res. 2015, 134, 19–31. [Google Scholar] [CrossRef]
- Christensen, M.; Hahn, K.; Mountford, E.P.; Ódor, P.; Standovár, T.; Rozenbergar, D.; Diaci, J.; Wijdeven, S.; Meyer, P.; Winter, S.; et al. Dead wood in European beech (Fagus sylvatica) forest reserves. For. Ecol. Manag. 2005, 210, 267–282. [Google Scholar] [CrossRef]
- Višnjić, Ć.; Solaković, S.; Mekić, F.; Balić, B.; Vojniković, S.; Dautbašić, M.; Gurda, S.; Ioras, F.; Ratnasingam, J.; Abrudan, I.V. Comparison of structure, regeneration and dead wood in virgin forest remnant and managed forest on Grmeč Mountain in Western Bosnia. Plant Biosyst. 2013, 147, 913–922. [Google Scholar] [CrossRef][Green Version]
- Petritan, I.C.; Commarmot, B.; Hobi, M.L.; Petritan, A.M.; Bigler, C.; Abrudan, I.V.; Rigling, A. Structural patterns of beech and silver fir suggest stability and resilience of the virgin forest Sinca in the Southern Carpathians, Romania. For. Ecol. Manag. 2015, 356, 184–195. [Google Scholar] [CrossRef]
- Rugani, T.; Diaci, J.; Hladnik, D. Gap Dynamics and Structure of Two Old-Growth Beech Forest Remnants in Slovenia. PLoS ONE 2013, 8, e52641. [Google Scholar] [CrossRef] [PubMed]
- Saniga, M.; Schütz, J.-P. Dynamic changes in dead wood share in selected beech virgin forests in Slovakia within their development cycle. J. For. Sci. 2001, 47, 557–565. [Google Scholar]
- Bobiec, A. Living stands and dead wood in the Bialowieza: Suggestions for restoration management. For. Ecol. Manag. 2002, 165, 125–140. [Google Scholar] [CrossRef]
- Diaci, J.; Rozenbergar, D.; Anic, I.; Mikac, S.; Saniga, M.; Kucbel, S.; Visnjic, C.; Ballian, D. Structural dynamics and synchronous silver fir decline in mixed old-growth mountain forests in Eastern and Southeastern Europe. Forestry 2011, 84, 479–491. [Google Scholar] [CrossRef]
- Brunner, A.; Kimmins, J.P. Nitrogen fixation in coarse woody debris of Thuja plicata and Tsuga heterophylla forests on northern Vancouver Island. Can. J. For. Res. 2003, 33, 1670–1682. [Google Scholar] [CrossRef]
- Rouvinen, S.; Rautiainen, A.; Kouki, J. A relation between historical forest use and current dead woody material in a boreal protected old-growth forest in Finland. Silva Fenn 2005, 39, 21–36. [Google Scholar] [CrossRef]
- Garbarino, M.; Mondino, E.B.; Lingua, E.; Nagel, T.A.; Dukić, V.; Govedar, Z.; Motta, R. Gap disturbances and regeneration patterns in a Bosnian old-growth forest: A multispectral remote sensing and ground-based approach. Ann. For. Sci. 2012, 69, 617–625. [Google Scholar] [CrossRef]
- Nilsson, S.G.; Niklasson, M.; Hedin, J.; Aronsson, G.; Gutowski, J.M.; Linder, P.; Ljungberg, H.; Mikusinski, G.; Ranius, T. Densities of large living and dead trees in old growth temperate and boreal forests. For. Ecol. Manag. 2002, 161, 189–204. [Google Scholar] [CrossRef]
- Pontailler, J.Y.; Faille, A.; Lemée, G. Storms drive successional dynamics in natural forests: A case study in Fontainebleau forest (France). For. Ecol. Manag. 1997, 98, 1–15. [Google Scholar] [CrossRef]
- Badalamenti, E.; La Mantia, T.; La Mantia, G.; Cairone, A.; La Mela Veca, D.S. Living and dead aboveground biomass in mediterranean forests: Evidence of old-growth traits in a quercus pubescenswilld. s.l. stand. Forests 2017, 8, 187. [Google Scholar] [CrossRef]
- Mason, F.; Nardi, G.; Whitmore, D. Recherches sur la restauration des habitats du bois mort: L’exemple du LIFE “Bosco della Fontana” (Italie). In Bois Mort et à Cavités, Une clé Pour Des Forêts Vivantes; Vallauri, D., André, J., Dodelin, B., Eynard-Machet, R., Rambaud, D., Eds.; Tec & Doc: Paris, France, 2005; pp. 285–291. [Google Scholar]
- Ford, S.E.; Keeton, W.S. Enhanced carbon storage through management for old-growth characteristics in northern hardwood-conifer forests. Ecosphere 2017, 8. [Google Scholar] [CrossRef]
- Bauhus, J.; Puettmann, K.; Messier, C. Silviculture for old-growth attributes. For. Ecol. Manag. 2009, 258, 525–537. [Google Scholar] [CrossRef]
- Lombardi, F.; Cherubini, P.; Lasserre, B.; Tognetti, R.; Marchetti, M. Tree rings used to assess time since death of deadwood of different decay classes in beech and silver fir forests in the central Apennines (Molise, Italy). Can. J. For. Res. 2008, 38, 821–833. [Google Scholar] [CrossRef]
© 2018 by the authors. Licensee MDPI, Basel, Switzerland. This article is an open access article distributed under the terms and conditions of the Creative Commons Attribution (CC BY) license (http://creativecommons.org/licenses/by/4.0/).


