Radial Growth Response of Abies georgei to Climate at the Upper Timberlines in Central Hengduan Mountains, Southwestern China
Abstract
1. Introduction
2. Materials and Methods
2.1. Study Area
2.2. Tree-Ring Sampling and Chronology Development
2.3. Data Analysis
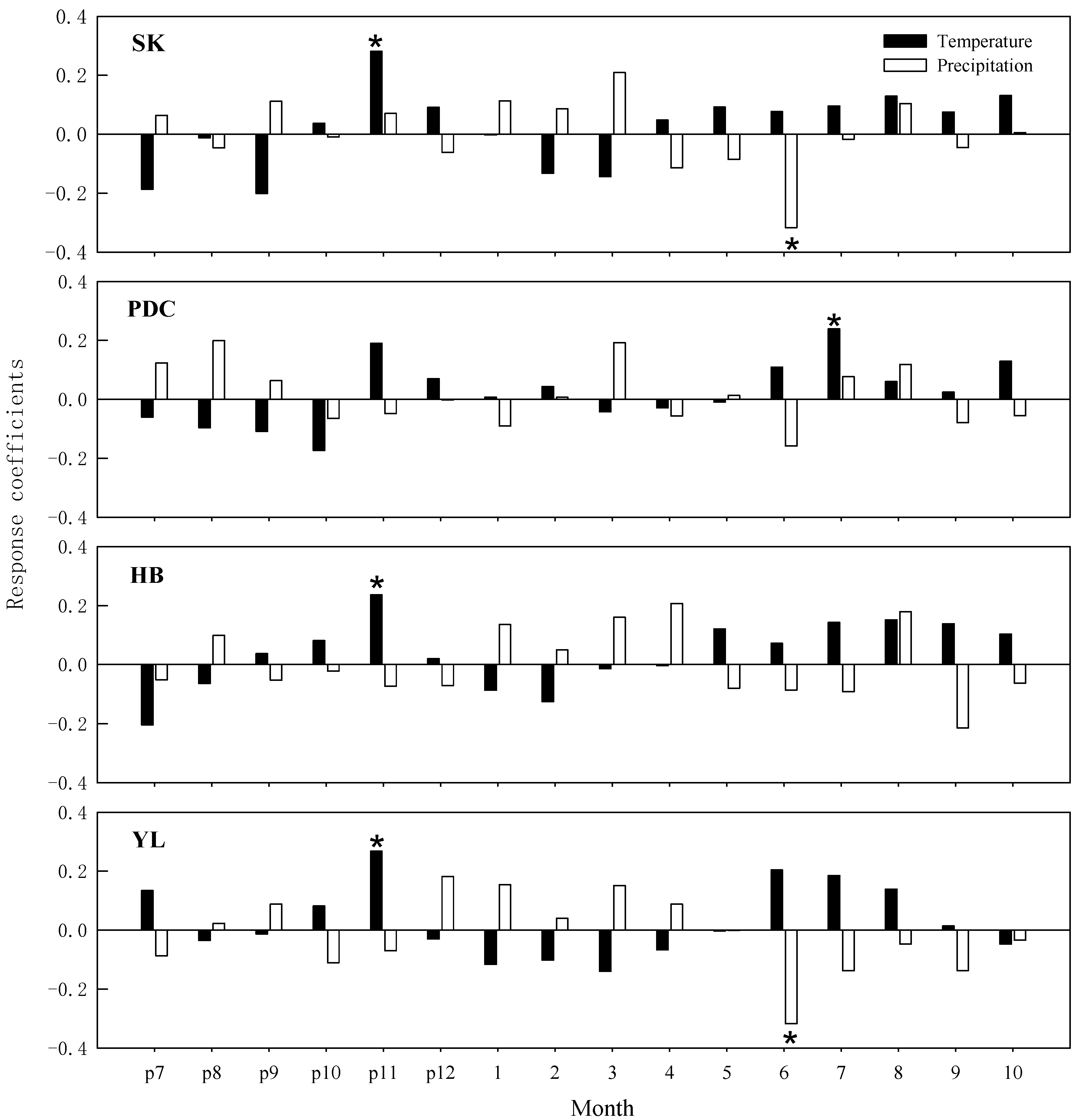
3. Results
4. Discussion
5. Conclusions
Author Contributions
Funding
Acknowledgments
Conflicts of Interest
References
- Pepin, N.; Bradley, R.S.; Diaz, H.F.; Baraer, M.; Caceres, E.B.; Forsythe, N.; Fowler, H.; Greenwood, G.; Hashmi, M.Z.; Liu, X.D.; et al. Elevation-dependent warming in mountain regions of the world. Nat. Clim. Chang. 2015, 5, 424–430. [Google Scholar]
- Fan, Z.X.; Bräuning, A.; Thomas, A.; Li, J.B.; Cao, K.F. Spatial and temporal temperature trends on the Yunnan Plateau (southwest China) during 1961–2004. Int. J. Climatol. 2011, 31, 2078–2090. [Google Scholar] [CrossRef]
- Kharal, D.K.; Thapa, U.K.; George, S.S.; Meilby, H.; Rayamajhi, S.; Bhuju, D. Tree-climate relations along an elevational transect in Manang Valley, central Nepal. Dendrochronologia 2017, 41, 57–64. [Google Scholar] [CrossRef]
- Cailleret, M.; Heurich, M.; Bugmann, H. Reduction in browsing intensity may not compensate climate change effects on tree species composition in the Bavarian Forest National Park. For. Ecol. Manag. 2014, 328, 179–192. [Google Scholar] [CrossRef]
- Yadava, A.K.; Sharma, Y.K.; Dubey, B.; Singh, J.; Singh, V.; Bhutiyani, M.R.; Yadav, R.R.; Misra, K.G. Altitudinal treeline dynamics of Himalayan pine in western Himalaya, India. Quat. Int. 2017, 444, 44–52. [Google Scholar] [CrossRef]
- Malanson, G.P. Complex responses to global climate change at alpine treeline. Phys. Geogr. 2001, 22, 333–342. [Google Scholar] [CrossRef]
- Schweingruber, F.H.; Briffa, K.R.; Nogler, P. A tree-ring densitometric transect from Alaska to Labrador. Int. J. Biometeorol. 1993, 37, 151–169. [Google Scholar] [CrossRef]
- Bräuning, A. Combined view of various tree ring parameters from different forest habitats in Tibet for the reconstruction of seasonal aspects of Asian Monsoon variability. Palaeobotanist 2001, 50, 1–12. [Google Scholar]
- Fan, Z.X.; Bräuning, A.; Cao, K.F. Annual temperature reconstruction in the central Hengduan Mountains, China, as deduced from tree rings. Dendrochronologia 2008, 26, 97–107. [Google Scholar] [CrossRef]
- Mayer, S.; Hacke, U.; Schmid, P.; Schwienbacher, F.; Gruber, A. Frost drought in conifers at the alpine timberline: Xylem dysfunction and adaptations. Ecology 2006, 87, 3175–3185. [Google Scholar] [CrossRef]
- Elliott, G. Extrinsic regime shift drive abrupt changes in regeneration dynamics at upper treeline in the Rocky Mountains, USA. Ecology 2012, 93, 1614–1625. [Google Scholar] [CrossRef] [PubMed]
- Zhang, Y.; Yin, D.C.; Sun, M.; Wang, H.; Tian, K.; Xiao, D.R.; Zhang, W.G. Variations of climate-growth response of major conifers at upper distributional limits in Shika Snow Mountain, center Hengduan Mountains, China. Forests 2017, 8, 377. [Google Scholar] [CrossRef]
- Leuschner, C. Timberline and alpine vegetation on the tropical and warm-temperate oceanic islands of the world: Elevation, structure and floristics. Vegetatio 1996, 123, 193–206. [Google Scholar] [CrossRef]
- Biondi, F. A 400-year tree-ring chronology from the tropical treeline of North America. Ambio 2001, 30, 162–166. [Google Scholar] [CrossRef] [PubMed]
- Morales, M.S.; Villalba, R.; Grau, H.R.; Paolini, L. Rainfall-controlled tree growth in high-elevation subtropical treelines. Ecology 2004, 85, 3080–3089. [Google Scholar] [CrossRef]
- Liang, E.Y.; Dawadi, B.; Pederson, N.; Eckstein, D. Is the growth of birch at the upper timberline in the himalayas limited by moisture or by temperature? Ecology 2014, 95, 2453–2465. [Google Scholar] [CrossRef]
- Liu, X.D.; Chen, B.D. Climatic warming in the Tibetan Plateau during recent decades. Int. J. Climatol. 2000, 20, 1729–1742. [Google Scholar] [CrossRef]
- Li, J.B.; Shi, J.F.; Zhang, D.D.; Yang, B.; Fang, K.Y.; Yue, P.H. Moisture increase in response to high-altitude warming evidenced by tree-rings on the southeastern Tibetan Plateau. Clim. Dyn. 2017, 48, 649–660. [Google Scholar] [CrossRef]
- Liang, E.Y.; Wang, Y.F.; Xu, Y.; Liu, B.; Shao, X.M. Growth variations in Abies georgei var. smithii along altitudinal gradients in the Sygera Mountains, southeastern Tibetan Plateau. Trees 2010, 24, 363–373. [Google Scholar]
- Deng, X.; Zhang, Q.B. Tree growth and climate sensitivity in open and closed forests of the southeastern Tibetan Plateau. Dendrochronologia 2015, 33, 25–30. [Google Scholar] [CrossRef]
- Fan, Z.X.; Bräuning, A.; Cao, K.F.; Zhu, S.D. Growth-climate responses of high-elevation conifers in the central Hengduan Mountains, southwestern China. For. Ecol. Manag. 2009, 258, 306–313. [Google Scholar] [CrossRef]
- Guo, G.A.; Li, Z.S.; Zhang, Q.B.; Ma, K.P.; Mu, C.L. Dendroclimatological studies of Picea likiangensis and Tsuga dumosa in Lijiang, China. IAWA 2009, 30, 435–441. [Google Scholar] [CrossRef]
- Li, Z.S.; Zhang, Q.B.; Ma, K.P. Tree-ring reconstruction of summer temperature for A.D.1475–2003 in the central Hengduan Mountains, Northwestern Yunnan, China. Clim. Chang. 2012, 110, 455–467. [Google Scholar] [CrossRef]
- Bi, Y.F.; Xu, J.C.; Gebrekirstos, A.; Guo, L.; Zhao, M.X.; Liang, E.Y.; Yang, X.F. Assessing drought variability since 1650 AD from tree-rings on the Jade Dragon Snow Mountain, southwest China. Int. J. Climatol. 2016, 35, 4057–4065. [Google Scholar] [CrossRef]
- Panthi, S.; Bräuning, A.; Zhou, Z.K.; Fan, Z.X. Growth response of Abies georgei to climate increases with elevation in the central Hengduan Mountains, southwestern China. Dendrochronologia 2018, 47, 1–9. [Google Scholar] [CrossRef]
- Fritts, H.C. Tree Rings and Climate; Academic Press: London, UK, 1976. [Google Scholar]
- Wu, Z.Y.; Raven, P.H. Cycadaceae through Fagaceae. In Flora of China; Missouri Botanical Garden Press: St Louis, MO, USA, 1999; Volume 4, pp. 44–52. [Google Scholar]
- Stokes, M.A.; Smiley, T.L. An Introduction to Tree-Ring Dating; University of Arizona press: Tucson, AZ, USA, 1996. [Google Scholar]
- Holmes, R.L. Computer-assisted quality control in tree-ring dating and measurement. Tree-Ring Bull. 1983, 43, 69–75. [Google Scholar]
- Cook, E.R.; Holmes, R.L. Users Manual for Program ARSTAN: Laboratory of Tree-Ring Research; University of Arizona Press: Tucson, AZ, USA, 1986. [Google Scholar]
- Cook, E.R.; Peters, K. Calculating unbiased tree-ring indices for the study of climatic and environmental change. Holocene 1997, 7, 361–370. [Google Scholar] [CrossRef]
- Biondi, F.; Waikul, K. DENDROCLIM2002: A C++ program for statistical calibration of climate signals in tree-ring chronologies. Comput. Geosci. 2004, 30, 303–311. [Google Scholar] [CrossRef]
- Legendre, P.; Legendre, L. Numerical Ecology; Elsevier Scientific: New York, NY, USA, 1998. [Google Scholar]
- Ter Braak, C.J.F. Canonical community ordination. Part I: Basic theory and linear methods. Ecoscience 1994, 1, 127–140. [Google Scholar] [CrossRef]
- Tardif, J.C.; Conciatori, F.; Nantel, P.; Gagnon, D. Radial growth and climate responses of white oak (Quercus alba) and northern red oak (Quercus rubra) at the northern distribution limit of white oak in Quebec, Canada. J. Biogeogr. 2006, 33, 1657–1669. [Google Scholar] [CrossRef]
- Friedrichs, D.A.; Trouet, V.; Büntgen, U.; Frank, D.C.; Esper, J.; Neuwirth, B.; Löffler, J. Species-specific climate sensitivity of tree growth in Central-West Germany. Trees 2009, 23, 729–739. [Google Scholar] [CrossRef]
- Drobyshev, I.; Gewehr, S.; Berninger, F.; Bergeron, Y. Species specific growth responses of black spruce and trembling aspen may enhance resilience of boreal forest to climate change. J. Ecol. 2013, 101, 231–242. [Google Scholar] [CrossRef]
- Ter Braak, C.J.F.; Smilauer, P. CANOCO Reference Manual and CanoDraw for Windows User’s Guide: Software for Canonical Community Ordination (Version 4.5); Microcomputer Power: Ithaca, NY, USA, 2002. [Google Scholar]
- Körner, C. A re-assessment of high elevation treeline positions and their explanation. Oecologia 1998, 115, 445–459. [Google Scholar] [CrossRef] [PubMed]
- Hawkins, G.J. Photoperiod and night frost influence on the frost hardness of Chamaecyparis nootkatensis. Can. J. For. Res. 1993, 23, 1408–1414. [Google Scholar] [CrossRef]
- Lazarus, B.E.; Schaberg, P.G.; Dehayes, D.H.; Hawley, G.J. Severe red spruce winter injury in 2003 creates unusual ecological eve. Can. J. For. Res. 2004, 34, 1784–1788. [Google Scholar] [CrossRef]
- Misson, L.; Rathgeber, C.; Guiot, J. Dendroecological analysis of climatic effects on Quercus petraea and Pinus halepensis radial growth using the process-based MAIDEN model. Can. J. For. Res. 2004, 34, 888–898. [Google Scholar] [CrossRef]
- Neuner, G. Frost resistance at the upper timberline. In Trees at Their Upper Limit-Treelife Limitation at the Alpine Timberline; Wieser, G., Tausz, M., Eds.; Springer: Dordrecht, The Netherlands, 2007; Volume 5, pp. 171–180. [Google Scholar]
- Büntgen, U.; Frank, D.C.; Kaczka, R.J.; Verstege, A.; Zwijacz-Kozica, T.; Esper, J. Growth responses to climate in a multi-species tree-ring network in the Western Carpathian Tatra Mountains, Poland and Slovakia. Tree Physiol. 2007, 27, 689–702. [Google Scholar] [CrossRef] [PubMed]
- Peterson, D.W.; Peterson, D.L. Effects of climate on radial growth of sub-alpine conifers in the North Cascade Mountains. Can. J. For. Res. 1994, 24, 1921–1932. [Google Scholar] [CrossRef]
- Salzer, M.W.; Hughes, M.K.; Bunn, A.G.; Kipfmueller, K.F. Recent unprecedented tree-ring growth in Bristlecone pine at the highest elevations and possible causes. Proc. Natl. Acad. Sci. USA 2009, 106, 20348–20353. [Google Scholar] [CrossRef] [PubMed]
- Lyu, L.; Suvanto, S.; Nöjd, P.; Henttonen, H.M.; Mäkinen, H.; Zhang, Q.B. Tree growth and its climate signal along latitudinal and altitudinal gradients: Comparison of tree rings between Finland and the Tibetan Plateau. Biogeosciences 2017, 14, 3083–3095. [Google Scholar] [CrossRef]
- Takahashi, K.; Tokumitsu, Y.; Yasue, K. Climate variables affecting the tree-ring width of Betula ermanii at the timberline on Mount Norikura, central Japan. Ecol. Res. 2005, 20, 445–451. [Google Scholar] [CrossRef]
- Meyer, F.D.; Braker, O.U. Climate response in dominant and suppressed spurce trees, Picea abies (L.) Karst, on a subalpine and lower montane site in Switzerland. Ecoscience 2001, 8, 105–114. [Google Scholar] [CrossRef]
- Luckman, B.H.; Wilson, R.J.S. Summer temperatures in the Canadian Rockies during the last millennium: A revised record. Clim. Dyn. 2005, 24, 131–144. [Google Scholar] [CrossRef]
- Bazzoffi, P.; Nieddu, S. Effects of water logging on the soil structure of some Italian soils in relation to the GAEC cross-compliance standard maintenance of farm channel networks and field convexity. Ital. J. Agron. 2011, 6. [Google Scholar] [CrossRef]
- Jump, A.S.; Hunt, J.M.; Peñuelas, J. Climate relationships of growth and establishment across the altitudinal range of Fagus sylvatica in the Montseny Mountains, northeast Spain. Écoscience 2007, 14, 507–518. [Google Scholar] [CrossRef]
- Xu, Y.L.; Huang, X.Y.; Zhang, Y.; Lin, W.T.; Lin, E.D. Statistical analyses of climate change scenarios over china in the 21st century. Adv. Clim. Chang. Res. 2006, 2, 50–53. [Google Scholar]








| Site | Longitude | Latitude | Elevation (m) | No. (tree/radii) | Aspect | Slope (°) |
|---|---|---|---|---|---|---|
| SK | 99.56 | 27.92 | 4074 | 35/70 | W | 10 |
| PDC | 100.01 | 27.79 | 3954 | 29/58 | SW | 15 |
| HB | 100.10 | 27.35 | 4105 | 38/76 | W | 16 |
| YL | 100.21 | 27.10 | 4014 | 27/54 | NW | 13 |
| Chronology | SK | PDC | HB | YL |
|---|---|---|---|---|
| Trees/Cores | 35/68 | 27/52 | 37/73 | 26/51 |
| Time span | 1707–2016 | 1761–2016 | 1733–2016 | 1750–2017 |
| AGR | 1.087 | 0.819 | 0.995 | 0.906 |
| MS | 0.14 | 0.16 | 0.11 | 0.22 |
| EPS > 0.85 since | 1768 | 1807 | 1796 | 1913 |
| Common Interval Analysis (1961–2010) | ||||
| Trees/Cores | 31/62 | 24/48 | 30/59 | 16/32 |
| PC1 | 31.35 | 34.28 | 39.60 | 34.42 |
| SNR | 25.29 | 22.63 | 35.73 | 14.88 |
| EPS | 0.96 | 0.96 | 0.97 | 0.94 |
| Component | Eigenvalue | Variance | Cumulative Variance (%) |
|---|---|---|---|
| 1 | 2.501 | 62.529 | 62.529 |
| 2 | 0.799 | 19.966 | 82.495 |
| 3 | 0.413 | 10.329 | 92.824 |
| 4 | 0.287 | 7.176 | 100 |
| SK | PDC | HB | |
|---|---|---|---|
| PDC | 0.637 ** | - | - |
| HB | 0.704 ** | 0.586 ** | - |
| YL | 0.331 ** | 0.265 * | 0.387 ** |
© 2018 by the authors. Licensee MDPI, Basel, Switzerland. This article is an open access article distributed under the terms and conditions of the Creative Commons Attribution (CC BY) license (http://creativecommons.org/licenses/by/4.0/).
Share and Cite
Yin, D.; Xu, D.; Tian, K.; Xiao, D.; Zhang, W.; Sun, D.; Sun, H.; Zhang, Y. Radial Growth Response of Abies georgei to Climate at the Upper Timberlines in Central Hengduan Mountains, Southwestern China. Forests 2018, 9, 606. https://doi.org/10.3390/f9100606
Yin D, Xu D, Tian K, Xiao D, Zhang W, Sun D, Sun H, Zhang Y. Radial Growth Response of Abies georgei to Climate at the Upper Timberlines in Central Hengduan Mountains, Southwestern China. Forests. 2018; 9(10):606. https://doi.org/10.3390/f9100606
Chicago/Turabian StyleYin, Dingcai, Derong Xu, Kun Tian, Derong Xiao, Weiguo Zhang, Dacheng Sun, Hui Sun, and Yun Zhang. 2018. "Radial Growth Response of Abies georgei to Climate at the Upper Timberlines in Central Hengduan Mountains, Southwestern China" Forests 9, no. 10: 606. https://doi.org/10.3390/f9100606
APA StyleYin, D., Xu, D., Tian, K., Xiao, D., Zhang, W., Sun, D., Sun, H., & Zhang, Y. (2018). Radial Growth Response of Abies georgei to Climate at the Upper Timberlines in Central Hengduan Mountains, Southwestern China. Forests, 9(10), 606. https://doi.org/10.3390/f9100606
