An Integer Linear Programming Model to Select and Temporally Allocate Resources for Fighting Forest Fires
Abstract
1. Introduction
1.1. Literature Review
2. Methods
2.1. Mathematical Formulation
2.2. Modified Model to Maximize Suppression Efforts
2.3. Tests of the Model
3. Results
3.1. Results of the Test Case
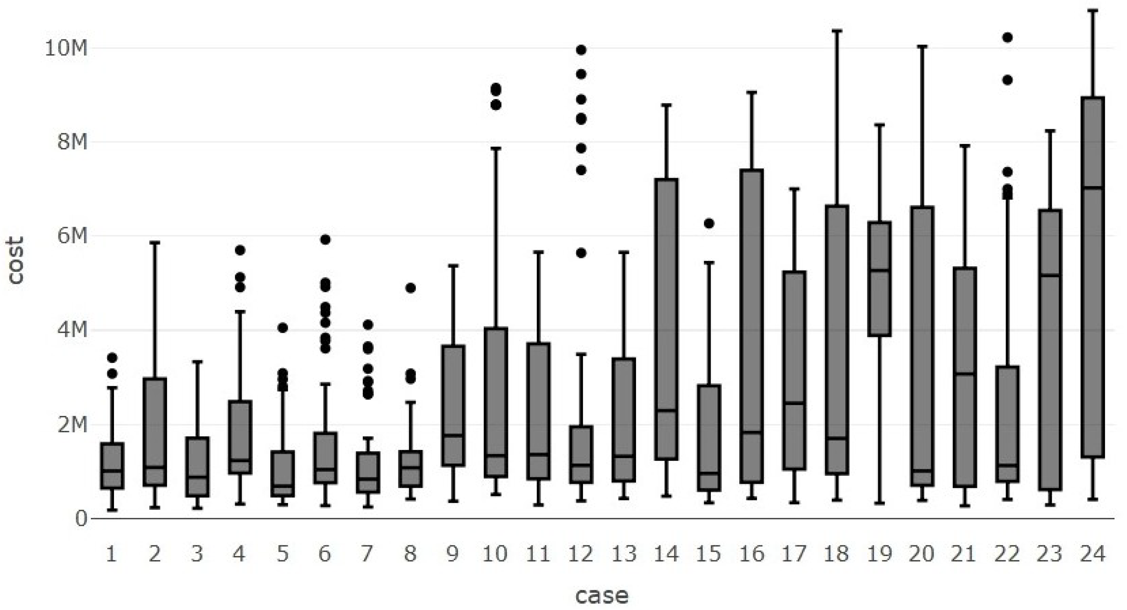
3.2. Results of the Simulations
3.3. Interface
4. Discussion
5. Conclusions
Author Contributions
Funding
Acknowledgments
Conflicts of Interest
References
- Galicia, X. Consellería de Medio Rural. 2018. Available online: http://mediorural.xunta.gal/es (accessed on 18 June 2018).
- Galicia, X. PLADIGA: Memoria. 2017. Available online: http://mediorural.xunta.gal/fileadmin/arquivos/forestal/pladiga/2017/2$_$MEMORIA.pdf (accessed on 18 June 2018).
- Spanish Ministry of Development. Operational Circular 16-B. 1995. Available online: http://www.aecaweb.com/informes/documentos/INFORMES$_$Y$_$ESTUDIOS/circular$_$operativa$_$16$_$b.doc (accessed on 18 June 2018).
- Butry, D.T.; Mercer, E.; Prestemon, J.P.; Pye, J.M.; Holmes, T.P. What is the price of catastrophic wildfire? J. For. 2001, 99, 9–17. [Google Scholar]
- Schmuck, G.; San-Miguel-Ayanz, J.; Camia, A.; Oehler, F.; de Oliveira, S.S.; Durrant, T.; Kucera, J.; Boca, R.; Whitmore, C.; Giovando, C.; et al. Forest Fires in Europe 2008; Technical Report, European Commision EUR 23971 EN; OPOCE: Luxembourg, 2009; p. JRC53463. [Google Scholar]
- Arno, S.F.; Allison-Bunnell, S. Flames in Our Forest: Disaster or Renewal? Island Press: Washington, DC, USA, 2013. [Google Scholar]
- Martínez, J.; Vega-García, C.; Chuvieco, E. Human-caused wildfire risk rating for prevention planning in Spain. J. Environ. Manag. 2009, 90, 1241–1252. [Google Scholar] [CrossRef] [PubMed]
- Mavsar, R.; Cabán, A.G.; Varela, E. The state of development of fire management decision support systems in America and Europe. For. Policy Econ. 2013, 29, 45–55. [Google Scholar] [CrossRef]
- Martell, D.L. A review of recent forest and wildland fire management decision support systems research. Curr. For. Rep. 2015, 1, 128–137. [Google Scholar] [CrossRef]
- Headley, R. Fire Suppression, District 5; USDA-Forest Service: Washington, DC, USA, 1916; p. 57.
- Sparhawk, W.N. The Use of lIability Ratings in Planning Forest 28 Fire Protection; National Emergency Training Center: Emmitsburg, MD, USA, 1925. [Google Scholar]
- Gorte, J.K.; Gorte, R.W. Application of Economic Techniques to Fire Management-a Status Review and Evaluation; Gen. Tech. Rep. INT-GTR-53; U.S. Department of Agriculture, Forest Service, Intermountain Research Station: Ogden, UT, USA, 1979; p. 53.
- Donovan, G.H.; Rideout, D.B. A reformulation of the cost plus net value change (C+NVC) model of wildfire economics. For. Sci. 2003, 49, 318–323. [Google Scholar]
- Donovan, G.H.; Rideout, D.B. An integer programming model to optimize resource allocation for wildfire containment. For. Sci. 2003, 49, 331–335. [Google Scholar]
- Bilbao-Marón, M.N. Advanced Meta-Heuristic Approaches and Their Application to Operational Optimization in Forest Wildfire Management. Ph.D. Thesis, Universidad de Alcalá, Madrid, Spain, 2014. [Google Scholar]
- Lee, W.J. A Stochastic Mixed Integer Programming Approach to Wildfire Management Systems. Ph.D. Thesis, Department of Industrial and Systems Engineering, Texas A&M University, College Station, TX, USA, 2006. [Google Scholar]
- Hu, X.; Ntaimo, L. Integrated simulation and optimization for wildfire containment. ACM Trans. Model. Comput. Simul. (TOMACS) 2009, 19, 1–29. [Google Scholar] [CrossRef]
- Kim, Y.-H.; Bettinger, P. Spatial optimization of fuel management activities. In System Analysis in Forest Resources: Proceedings of the 2003 Symposium; General Technical Report, PNW-656; U.S. Department of Agriculture, Forest Service, Pacific Northwest Research Station: Portland, OR, USA, 2005; pp. 205–214. [Google Scholar]
- Kim, Y.-H.; Bettinger, P.; Finney, M. Spatial optimization of the pattern of fuel management activities and subsequent effects on simulated wildfires. Eur. J. Oper. Res. 2009, 197, 253–265. [Google Scholar] [CrossRef]
- Costafreda-Aumedes, S.; Cardil, A.; Molina, D.M.; Daniel, S.N.; Mavsar, R.; Vega-García, C. Analysis of factors influencing deployment of fire suppression resources in Spain using artificial neural networks. iFor.-Biogeosci. For. 2015, 9, 138–145. [Google Scholar] [CrossRef]
- Pappis, C.P.; Rachaniotis, N.P. Scheduling in a multiprocessor environment with deteriorating job processing times and decreasing values: The case of forest fires. J. Heuristics 2010, 16, 617–632. [Google Scholar] [CrossRef]
- Drozdowski, M. Real-time scheduling of linear speedup parallel tasks. Inf. Process. Lett. 1996, 57, 35–40. [Google Scholar] [CrossRef]
- Duff, T.J.; Tolhurst, K.G. Operational wildfire suppression modelling: A review evaluating development, state of the art and future directions. Int. J. Wildl. Fire 2015, 24, 735–748. [Google Scholar] [CrossRef]
- Dunn, C.J.; Thompson, M.P.; Calkin, D.E. A framework for developing safe and effective large-fire response in a new fire management paradigm. For. Ecol. Manag. 2017, 404, 184–196. [Google Scholar] [CrossRef]
- R Core Team. R: A Language and Environment for Statistical Computing; R Foundation for Statistical Computing: Vienna, Austria, 2017. [Google Scholar]
- Gurobi Optimization, Inc. Gurobi Optimizer Reference Manual; Gurobi Optimization, Inc.: Beaverton, OR, USA, 2016. [Google Scholar]
- Chang, W.; Borges Ribeiro, B. Shinydashboard: Create Dashboards with ‘Shiny’. R Package Version 0.7.0. 2018. Available online: http://rstudio.github.io/shinydashboard/ (accessed on 19 september 2018).
- Silva, R.F. Coste y eficiencia en las operaciones de extinción de incendios forestales. Fundamentos y herramientas para su estudio y análisis. In Proceedings of the 4th International Wildland Fire Conference, Seville, Spain, 14–17 May 2007. [Google Scholar]
- Silva, R.F.; González-Cabán, A. Contribution of suppression difficulty and lessons learned in forecasting fire suppression operations productivity: A methodological approach. J. For. Econ. 2016, 25, 149–159. [Google Scholar]
- Vázquez, M.C.V.; Amil, M.L.C.; Montero, J.M.T. Estimación de los costes de las operaciones de extinción de incendios forestales: Estudio de caso en el distrito forestal de A Limia. Rev. Galega Econ. 2015, 23, 99–114. [Google Scholar]
- Rodríguez-Veiga, J.; Ginzo-Villamayor, M.J.; Casas-Méndez, B. Wildfire Resources Management (wrm). 2018. GitHub Repository. Available online: https://github.com/jorgerodriguezveiga/wrm (accessed on 19 September 2018).
- Sievert, C.; Parmer, C.; Hocking, T.; Chamberlain, S.; Ram, K.; Corvellec, M.; Despouy, P. Plotly: Create Interactive Web Graphics via ‘plotly.js’. R Package Version 4.7.1. 2017. Available online: https://rdrr.io/cran/plotly/ (accessed on 19 september 2018).
- Fried, J.S.; Fried, B.D. Simulating wildfire containment with realistic tactics. For. Sci. 1996, 42, 267–281. [Google Scholar]
- Rodríguez-Veiga, J.; Gómez-Costa, I.; Ginzo-Villamayor, M.J.; Casas-Méndez, B.; Sáiz-Díaz, J.L. Assignment Problems in Wildfire Suppression: Models for Optimization of Aerial Resource Logistics. For. Sci. Available online: http://dx.doi.org/10.1093/forsci/fxy012 (accessed on 18 June 2018).





| Name | P | C | ||||||
|---|---|---|---|---|---|---|---|---|
| helicopter1 | aircraft | 0.45 | 0 | 480 | 1 | 12 | 4 | 48 |
| helicopter2 | aircraft | 0.45 | 0 | 480 | 1 | 12 | 4 | 48 |
| airplane1 | aircraft | 0.60 | 0 | 520 | 1 | 12 | 4 | 48 |
| airplane2 | aircraft | 0.60 | 0 | 520 | 1 | 12 | 4 | 48 |
| machine1 | engine | 0.45 | 0 | 8 | 2 | 48 | 0 | 48 |
| machine2 | engine | 0.45 | 0 | 8 | 2 | 48 | 0 | 48 |
| machine3 | engine | 0.45 | 0 | 8 | 2 | 48 | 0 | 48 |
| machine4 | engine | 0.45 | 0 | 8 | 2 | 48 | 0 | 48 |
| 7brigade1 | brigade | 0.06 | 0 | 16 | 2 | 48 | 0 | 48 |
| 7brigade2 | brigade | 0.06 | 0 | 16 | 2 | 48 | 0 | 48 |
| 12brigade1 | brigade | 0.10 | 0 | 30 | 2 | 48 | 0 | 48 |
| 12brigade2 | brigade | 0.10 | 0 | 30 | 2 | 48 | 0 | 48 |
| 12brigade3 | brigade | 0.10 | 0 | 30 | 2 | 48 | 0 | 48 |
| Name | A | ||||||
|---|---|---|---|---|---|---|---|
| helicopter1 | aircraft | 1 | 0 | 0 | 16 | 3 | 16 |
| helicopter2 | aircraft | 0 | 1 | 5 | 8 | 0 | 8 |
| airplane1 | aircraft | 0 | 0 | 9 | 0 | 0 | 0 |
| airplane2 | aircraft | 1 | 0 | 0 | 15 | 2 | 15 |
| machine1 | engine | 0 | 0 | 5 | 0 | 0 | 0 |
| machine2 | engine | 0 | 0 | 5 | 0 | 0 | 0 |
| machine3 | engine | 0 | 0 | 12 | 0 | 0 | 0 |
| machine4 | engine | 0 | 0 | 12 | 0 | 0 | 0 |
| 7brigade1 | brigade | 0 | 0 | 2 | 0 | 0 | 0 |
| 7brigade2 | brigade | 0 | 0 | 2 | 0 | 0 | 0 |
| 12brigade1 | brigade | 0 | 0 | 5 | 0 | 0 | 0 |
| 12brigade2 | brigade | 0 | 0 | 7 | 0 | 0 | 0 |
| 12brigade3 | brigade | 1 | 0 | 0 | 10 | 0 | 10 |
| Period | ||
|---|---|---|
| 1 | 10.2 | 2070 |
| 2 | 0.2 | 230 |
| 3 | 0.2 | 200 |
| 4 | 0.4 | 370 |
| 5 | 0.4 | 410 |
| 6 | 0.4 | 400 |
| 7 | 0.4 | 460 |
| 8 | 0.4 | 430 |
| 9 | 0.4 | 440 |
| 10 | 0.6 | 760 |
| 11 | 0.6 | 750 |
| 12 | 0.8 | 890 |
| 13 | 0.8 | 960 |
| 14 | 0.8 | 920 |
| Case | Aircrafts | Engines | Brigades | Periods |
|---|---|---|---|---|
| 1 | 5 | 5 | 5 | 20 |
| 2 | 10 | 5 | 5 | 20 |
| 3 | 5 | 10 | 5 | 20 |
| 4 | 10 | 10 | 5 | 20 |
| 5 | 5 | 5 | 10 | 20 |
| 6 | 10 | 5 | 10 | 20 |
| 7 | 5 | 10 | 10 | 20 |
| 8 | 10 | 10 | 10 | 20 |
| 9 | 5 | 5 | 5 | 30 |
| 10 | 10 | 5 | 5 | 30 |
| 11 | 5 | 10 | 5 | 30 |
| 12 | 10 | 10 | 5 | 30 |
| 13 | 5 | 5 | 10 | 30 |
| 14 | 10 | 5 | 10 | 30 |
| 15 | 5 | 10 | 10 | 30 |
| 16 | 10 | 10 | 10 | 30 |
| 17 | 5 | 5 | 5 | 40 |
| 18 | 10 | 5 | 5 | 40 |
| 19 | 5 | 10 | 5 | 40 |
| 20 | 10 | 10 | 5 | 40 |
| 21 | 5 | 5 | 10 | 40 |
| 22 | 10 | 5 | 10 | 40 |
| 23 | 5 | 10 | 10 | 40 |
| 24 | 10 | 10 | 10 | 40 |
© 2018 by the authors. Licensee MDPI, Basel, Switzerland. This article is an open access article distributed under the terms and conditions of the Creative Commons Attribution (CC BY) license (http://creativecommons.org/licenses/by/4.0/).
Share and Cite
Rodríguez-Veiga, J.; Ginzo-Villamayor, M.J.; Casas-Méndez, B. An Integer Linear Programming Model to Select and Temporally Allocate Resources for Fighting Forest Fires. Forests 2018, 9, 583. https://doi.org/10.3390/f9100583
Rodríguez-Veiga J, Ginzo-Villamayor MJ, Casas-Méndez B. An Integer Linear Programming Model to Select and Temporally Allocate Resources for Fighting Forest Fires. Forests. 2018; 9(10):583. https://doi.org/10.3390/f9100583
Chicago/Turabian StyleRodríguez-Veiga, Jorge, María José Ginzo-Villamayor, and Balbina Casas-Méndez. 2018. "An Integer Linear Programming Model to Select and Temporally Allocate Resources for Fighting Forest Fires" Forests 9, no. 10: 583. https://doi.org/10.3390/f9100583
APA StyleRodríguez-Veiga, J., Ginzo-Villamayor, M. J., & Casas-Méndez, B. (2018). An Integer Linear Programming Model to Select and Temporally Allocate Resources for Fighting Forest Fires. Forests, 9(10), 583. https://doi.org/10.3390/f9100583

