The Carbon Dynamics of Dry Tropical Afromontane Forest Ecosystems in the Amhara Region of Ethiopia
Abstract
1. Introduction
- Evaluate the biogeochemical ecosystem model Biome-BGC for Ethiopian Afromontane forests.
- Assess the degradation effect of land use change from forest to agricultural land.
- Analyze the rehabilitation processes following afforestation on degraded agricultural land using Biome-BGC.
2. Materials
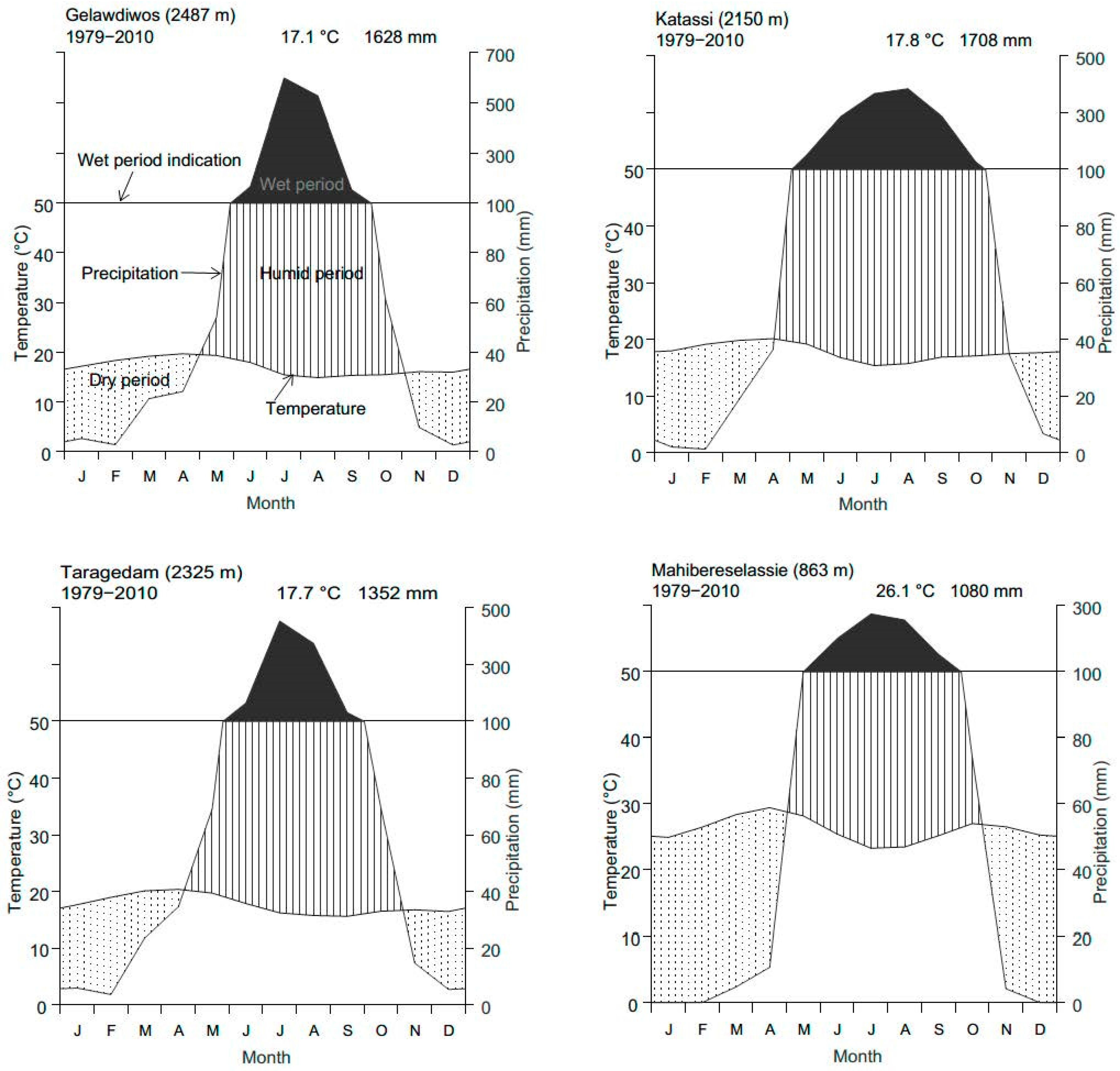
2.1. Study Areas
2.2. Forest Data
2.3. Soil Data
2.3.1. Forest Area
2.3.2. Agricultural Area
2.4. Atmospheric Data
3. Methods
3.1. The Ecosystem Model
3.2. Eco-Physiological Parameters
3.3. Simulation Procedure
3.3.1. Current Forests
3.3.2. Rehabilitation Pathways
4. Results
4.1. Evaluation of Biome-BGC for Ethiopian Afromontane Forests
4.2. Land Use Change Effects
4.3. Rehabilitation
5. Discussion
6. Conclusions
Acknowledgments
Author Contributions
Conflicts of Interest
References
- Kindermann, G.E.; McCallum, I.; Fritz, S.; Obersteiner, M. A global forest growing stock, biomass and carbon map based on FAO statistics. Silva Fenn. 2008, 42, 387–396. [Google Scholar] [CrossRef]
- Ashton, M.S.; Tyrrell, M.L.; Spalding, D.; Gentry, B. Managing Forest Carbon in a Changing Climate; Springer Science & Business Media: Berlin, Germany, 2012; pp. 1–414. [Google Scholar]
- Bishaw, B. Deforestation and land degradation in the Ethiopian highlands: A strategy for physical Recovery. Northeast. Afr. Stud. 2001, 8, 7–25. [Google Scholar] [CrossRef]
- Zeleke, G.; Hurni, H. Implications of land use and land cover dynamics for mountain resource degradation in the northwestern Ethiopian highlands. Mt. Res. Dev. 2001, 21, 184–191. [Google Scholar] [CrossRef]
- Lemenih, M.; Kassa, H. Re-greening Ethiopia: History, challenges and lessons. Forests 2014, 5, 1896–1909. [Google Scholar] [CrossRef]
- United Nations. World Statistics Pocketbook; United Nations Publications: New York, NY, USA, 2016. [Google Scholar]
- Federal Democratic Republic of Ethiopia. Ethiopia’s Climate Resilient Green Economy—Green Economy Strategy; Government of Ethiopia: Addis Abäba, Ethiopia, 2011; pp. 1–188.
- Ellis, K.; Baker, B.; Lemma, A. Policies for Low Carbon Growth; Overseas Development Institute London: London, UK, 2009. [Google Scholar]
- UNFCCC (United Nations Framework Convention on Climate Change). Afforestation and Reforestation Projects under the Clean Development Mechanism: A Reference Manual; Climate Change Secretariat: Bonn, Germany, 2013; pp. 1–65. ISBN 9789292191207. [Google Scholar]
- MOEF(Ministry of Environment and Forests). Intended Nationally Determined Contribution (INDC) of the Federal Democratic Republic of Ethiopia; Federal Democratic Republic of Ethiopia: Addis Ababa, Ethiopia, 2015; pp. 1–13.
- Edenhofer, O.; Pichs-Madruga, R.; Sokona, Y.; Seyboth, K.; Kadner, S.; Zwickel, T.; Eickemeier, P.; Hansen, G.; Schlömer, S.; Von Stechow, C.; et al. Renewable Energy Sources and Climate Change Mitigation Special Report of the Intergovernmental Panel on Climate Change; Cambridge University Press: Cambridge, UK, 2011; ISBN 9789291691319. [Google Scholar]
- Pearson, T.R.H.; Brown, S.; Murray, L.; Sidman, G. Greenhouse gas emissions from tropical forest degradation: An underestimated source. Carbon Balance Manag. 2017, 12, 3. [Google Scholar] [CrossRef] [PubMed]
- Pearson, T.R.H.; Brown, S.L.; Birdsey, R. Measurement guidelines for the sequestration of forest carbon. Dep. Agric. For. Serv. 2007, 18, 42. [Google Scholar] [CrossRef]
- Van Bodegom, A.J.; Herman, S.; Marieke, W. Forests and Climate Change: Adaptation and Mitigation; Tropenbos International: Wageningen, The Netherlands, 2009; ISBN 978-90-5113-100-0. [Google Scholar]
- Wei, T.; Yang, S.; Moore, J.C.; Shi, P.; Cui, X.; Duan, Q.; Xu, B.; Dai, Y.; Yuan, W.; Wei, X.; et al. Developed and developing world responsibilities for historical climate change and CO2 mitigation. Proc. Natl. Acad. Sci. USA 2012, 109, 12911–12915. [Google Scholar] [CrossRef] [PubMed]
- Costenbader, J.; Redd, U. REDD+ Benefit Sharing: A Comparative Assessment of Three National Policy Approaches; Javier Prado Oeste: San Isidro Lima, Perú, 2011. [Google Scholar]
- Hasenauer, H.; Petritsch, R.; Zhao, M.; Boisvenue, C.; Running, S.W. Reconciling satellite with ground data to estimate forest productivity at national scales. For. Ecol. Manag. 2012, 276, 196–208. [Google Scholar] [CrossRef]
- Pachavo, G.; Murwira, A. Remote sensing net primary productivity (NPP) estimation with the aid of GIS modelled shortwave radiation (SWR) in a Southern African Savanna. Int. J. Appl. Earth Obs. Geoinf. 2014, 30, 217–226. [Google Scholar] [CrossRef]
- Hazarika, M.K.; Yasuoka, Y.; Ito, A.; Dye, D. Estimation of net primary productivity by integrating remote sensing data with an ecosystem model. Remote Sens. Environ. 2005, 94, 298–310. [Google Scholar] [CrossRef]
- Rossini, M.; Cogliati, S.; Meroni, M.; Migliavacca, M.; Galvagno, M.; Busetto, L.; Cremonese, E.; Julitta, T.; Siniscalco, C.; Morra Di Cella, U.; et al. Remote sensing-based estimation of gross primary production in a subalpine grassland. Biogeosciences 2012, 9, 2565–2584. [Google Scholar] [CrossRef]
- Takao, G.; Priyadi, H.; Ikbal Nursal, W. The Operational Role of Remote Sensing in Forest and Landscape Management: Focus Group Discussion Proceedings; CIFOR: Bogor, Indonesia, 2010; ISBN 9786028693165. [Google Scholar]
- Macauley, M.; Morris, D.; Sedjo, R.; Farley, K.; Sohngen, B. Forest Measurement and Monitoring: Technical Capacity and “How Good Is Good Enough?”; Resources for the Future: Washington, DC, USA, 2009. [Google Scholar]
- Hasenauer, H.; Neumann, M.; Moreno, A.; Running, S. Assessing the resources and mitigation potential of European forests. Energy Procedia 2017, 125, 372–378. [Google Scholar] [CrossRef]
- Neumann, M.; Moreno, A.; Mues, V.; Härkönen, S.; Mura, M.; Bouriaud, O.; Lang, M.; Achten, W.M.J.; Thivolle-Cazat, A.; Bronisz, K.; et al. Comparison of carbon estimation methods for European forests. For. Ecol. Manag. 2016, 361, 397–420. [Google Scholar] [CrossRef]
- Fontes, L.; Bontemps, J.D.; Bugmann, H.; Van Oijen, M.; Gracia, C.; Kramer, K.; Lindner, M.; Rötzer, T.; Skovsgaard, J.P. Models for supporting forest management in a changing environment. For. Syst. 2010, 19, 8–29. [Google Scholar] [CrossRef]
- Hanson, P.J.; Amthor, J.S.; Wullschleger, S.D.; Wilson, K.B.; Grant, R.F.; Hartley, A.; Hui, D.; Hunt, E.R.; Johnson, D.W.; Kimball, J.S.; et al. Oak forest carbon and water simulations: Model intercomparisons and evaluations against independent data. Ecol. Monogr. 2004, 74, 443–489. [Google Scholar] [CrossRef]
- Petritsch, R.; Hasenauer, H.; Pietsch, S.A. Incorporating forest growth response to thinning within Biome-BGC. For. Ecol. Manag. 2007, 242, 324–336. [Google Scholar] [CrossRef]
- Pietsch, S.A.; Hasenauer, H. Using mechanistic modeling within forest ecosystem restoration. For. Ecol. Manag. 2002, 159, 111–131. [Google Scholar] [CrossRef]
- Thornton, P.E.; Law, B.E.; Gholz, H.L.; Clark, K.L.; Falge, E.; Ellsworth, D.; Goldstein, A.; Monson, R.; Hollinger, D.; Falk, M.; et al. Modeling and measuring the effects of disturbance history and climate on carbon and water budgets in evergreen needleleaf forests. Agric. For. Meteorol. 2002, 113, 185–222. [Google Scholar] [CrossRef]
- Thurnher, C.; Eastaugh, C.S.; Hasenauer, H. A thinning routine for large-scale biogeochemical mechanistic ecosystem models. For. Ecol. Manag. 2014, 320, 56–69. [Google Scholar] [CrossRef]
- Warren, J.M.; Pötzelsberger, E.; Wullschleger, S.D.; Thornton, P.E.; Hasenauer, H.; Norby, R.J. Ecohydrologic impact of reduced stomatal conductance in forests exposed to elevated CO2. Ecohydrology 2011, 4, 196–210. [Google Scholar] [CrossRef]
- Assefa, D.; Rewald, B.; Sandén, H.; Rosinger, C.; Abiyu, A.; Yitaferu, B.; Godbold, D.L. Deforestation and land use strongly effect soil organic carbon and nitrogen stock in Northwest Ethiopia. CATENA 2017, 153, 89–99. [Google Scholar] [CrossRef]
- Tesfaye, M.A.; Bravo, F.; Ruiz-Peinado, R.; Pando, V.; Bravo-Oviedo, A. Impact of changes in land use, species and elevation on soil organic carbon and total nitrogen in Ethiopian Central Highlands. Geoderma 2016, 261, 70–79. [Google Scholar] [CrossRef]
- Girmay, G.; Singh, B.R.; Mitiku, H.; Borresen, T.; Lal, R. Carbon stocks in Ethiopian soils in relation to land use and soil management. L. Degrad. Dev. 2008, 19, 351–367. [Google Scholar] [CrossRef]
- Moges, Y.; Eshetu, Z.; Nune, S. Ethiopian Forest Resources: Current Status and Future Management Options in View of Access to Carbon Finances; UN-REDD Programme: Geneva, Switzerland, 2010. [Google Scholar]
- Assmann, E. The Principles of Forest Yield Study: Studies in the Organic Production, Structure, Increment and Yield of Forest Stands; Pergamon Press: Oxford, UK, 1970. [Google Scholar]
- Schmidt, W. Herb layer species as indicators of biodiversity of managed and unmanaged beech forests. For. Snow. Landsc. Res. 2005, 125, 111–125. [Google Scholar]
- Sisay, K.; Thurnher, C.; Belay, B.; Lindner, G.; Hasenauer, H. Volume and carbon estimates for the forest area of the Amhara region in Northwestern Ethiopia. Forests 2017, 8, 122. [Google Scholar] [CrossRef]
- Chave, J.; Andalo, C.; Brown, S.; Cairns, M.A.; Chambers, J.Q.; Eamus, D.; Fölster, H.; Fromard, F.; Higuchi, N.; Kira, T.; et al. Tree allometry and improved estimation of carbon stocks and balance in tropical forests. Oecologia 2005, 145, 87–99. [Google Scholar] [CrossRef] [PubMed]
- Zanne, A.E.; Lopez-Gonzalez, G.; Coomes, D.A.; Ilic, J.; Jansen, S.; Lewis, S.L.; Miller, R.B.; Swenson, N.G.; Wiemann, M.C.; Chave, J. Data from: Towards a worldwide wood economics spectrum. Ecol. Lett. 2009. [Google Scholar] [CrossRef]
- Bert, D.; Danjon, F. Carbon concentration variations in the roots, stem and crown of mature Pinus pinaster (Ait.). For. Ecol. Manag. 2006, 222, 279–295. [Google Scholar] [CrossRef]
- Lamlom, S.H.; Savidge, R.A. A reassessment of carbon content in wood: Variation within and between 41 North American species. Biomass Bioenergy 2003, 25, 381–388. [Google Scholar] [CrossRef]
- McGroddy, M.E.; Daufresne, T.; Hedin, O.L. Scaling of C :N :P stoichiometry in forests worldwide: Implications of terrestrial redfield-type ratios. Ecology 2004, 85, 2390–2401. [Google Scholar] [CrossRef]
- Van Do, T.; Sato, T.; Saito, S.; Kozan, O. Fine-root production and litterfall: Main contributions to net primary production in an old-growth evergreen broad-leaved forest in southwestern Japan. Ecol. Res. 2015, 30, 921–930. [Google Scholar] [CrossRef]
- Malhi, Y.; Doughty, C.; Galbraith, D. The allocation of ecosystem net primary productivity in tropical forests. Philos. Trans. R. Soc. B. Biol. Sci. 2011, 366, 3225–3245. [Google Scholar] [CrossRef] [PubMed]
- Heiri, O.; Lotter, A.F.; Lemcke, G. Loss on ignition as a method for estimating organic and carbonate content in sediments: Reproducibility and comparability of results. J. Paleolimnol. 2001, 25, 101–110. [Google Scholar] [CrossRef]
- Kettler, T.A.; Doran, J.W.; Gilbert, T.L. Simplified method for soil particle-size determination to accompany soil-quality analyses. Soil Sci. Soc. Am. J. 2001, 65, 849–852. [Google Scholar] [CrossRef]
- Amhara Design and Supervision Works Enterprise. Soil Depth Shape File; Amhara Design and Supervision Works Enterprise, Laboratory service in soil Chemistry and Water quality Section: Bahir Dar, Ethiopia, 2012.
- Sisay, K.; Thurnher, C.; Hasenauer, H. Daily climate data for the Amhara region in Northwestern Ethiopia. Int. J. Climatol. 2016, 37, 2797–2808. [Google Scholar] [CrossRef]
- Thornton, P.E. Regional Ecosystem Simulation: Combining Surface- and Satellite-Based Observations to Study Linkages between Terrestrial Energy and Mass Budgets. Ph.D. Thesis, University of Montana, Missoula, MT, USA, 1998. [Google Scholar]
- Thornton, P.E.; Hasenauer, H.; White, M.A. Simultaneous estimation of daily solar radiation and humidity from observed temperature and precipitation: An application over complex terrain in Austria. Agric. For. Meteorol. 2000, 104, 255–271. [Google Scholar] [CrossRef]
- Enting, I.G.; Wigley, T.M.L.; Heimann, M. Future Emissions and Concentrations of Carbon Dioxide: Key Ocean/Atmosphere/Land Analyses; CSIRO Division of Atmospheric Reserch: Canberra, Australia, 1994. [Google Scholar]
- Dentener, F.J. Global Maps of Atmospheric Nitrogen Deposition, 1860, 1993, and 2050; ORNL DAAC: Oak Ridge, TN, USA, 2006.
- Intergovernmental Panel on Climate Change. Climate Change 1992: The Supplementary Report to the IPCC Scientific Assessment; Houghton, J.T., Callander, B.A., Varney, S.K., Eds.; Cambridge University Press: Cambridge, UK, 1992. [Google Scholar]
- Running, S.W.; Coughlan, J.C. A general model of forest ecosystem processes for regional applications. Ecol. Model. 1988, 42, 125–154. [Google Scholar] [CrossRef]
- Running, S.W.; Gower, S.T. FOREST-BGC, a general model of forest ecosystem processes for regional applications. II. Dynamic carbon allocation and nitrogen budgets. Tree Physiol. 1991, 9, 147–160. [Google Scholar] [CrossRef] [PubMed]
- Pietsch, S.A.; Hasenauer, H. Evaluating the self-initialization procedure for large-scale ecosystem models. Glob. Chang. Biol. 2006, 12, 1658–1669. [Google Scholar] [CrossRef]
- Hasenauer, H.; Merganicová, K.; Pietsch, S.A. Modeling biogeochemical cycles within old-growth forest ecosystems. For. Snow Landsc. Res. 2005, 90, 81–90. [Google Scholar]
- Hidy, D.; Barcza, Z.; Haszpra, L.; Churkina, G.; Pintér, K.; Nagy, Z. Development of the Biome-BGC model for simulation of managed herbaceous ecosystems. Ecol. Modell. 2012, 226, 99–119. [Google Scholar] [CrossRef]
- Farquhar, G.D.; von Caemmerer, S.; Berry, J.A. A Biochemical Model of Photosynthetic CO2 Assimilation in Leaves of C3 Species. Planta 1980, 149, 78–90. [Google Scholar] [CrossRef] [PubMed]
- Penning de Vries, F.W.T. The cost of maintenance processes in plant cells. Ann. Bot. 1975, 39, 77–92. [Google Scholar] [CrossRef]
- Ryan, M.G. Effects of climate change on plant respiration. Ecol. Appl. 1991, 1, 157–167. [Google Scholar] [CrossRef] [PubMed]
- Clapp, R.B.; Hornberger, G.M. Empirical equations for some soil hydraulic properties. Water Resour. Res. 1978, 14, 601–604. [Google Scholar] [CrossRef]
- Cosby, B.J.; Hornberger, G.M.; Clapp, R.B.; Ginn, T.R. A statistical exploration of the relationships of soil moisture characteristics to the physical properties of soils. Water Resour. Res. 1984, 20, 682. [Google Scholar] [CrossRef]
- White, M.A.; Thornton, P.E.; Running, S.W.; Nemani, R.R. Parameterization and sensitivity analysis of the BIOME-BGC terrestrial ecosystem model: Net primary production controls. Earth Interact. 2000, 4, 1–85. [Google Scholar] [CrossRef]
- Ichii, K.; Hashimoto, H.; Nemani, R.; White, M. Modeling the interannual variability and trends in gross and net primary productivity of tropical forests from 1982 to 1999. Glob. Planet. Chang. 2005, 48, 274–286. [Google Scholar] [CrossRef]
- Pietsch, S.A.; Hasenauer, H.; Thornton, P.E. BGC-model parameters for tree species growing in central European forests. For. Ecol. Manag. 2005, 211, 264–295. [Google Scholar] [CrossRef]
- Kuzmicheva, E.A.; Khasanov, B.F.; Krylovich, O.A.; Savinetsky, A.B. Vegetation and climate reconstruction for the bale mountains (Ethiopia) in the Holocene according to the pollen analysis and radiocarbon dating of zoogenic deposits. Dokl. Biol. Sci. 2014, 458, 281–285. [Google Scholar] [CrossRef] [PubMed]
- Lamb, A.L.; Leng, M.J.; Mohammed, M.U.; Lamb, H.F. Holocene climate and vegetation change in the Main Ethiopian Rift Valley, inferred from the composition (C/N and δ13C) of lacustrine organic matter. Quat. Sci. Rev. 2004, 23, 881–891. [Google Scholar] [CrossRef]
- Mohammed, U.M. The Relative Importance of the Different Forcings on the Environment in Ethiopia during Holocene; Cambridge University Press: Cambridge, UK, 2005. [Google Scholar]
- Zegeye, H.; Teketay, D.; Kelbessa, E. Diversity and regeneration status of woody species in Tara Gedam and Abebaye forests, northwestern Ethiopia. J. For. Res. 2011, 22, 315–328. [Google Scholar] [CrossRef]
- Wondie, M.; Schneider, W.; Katzensteiner, K.; Mansberger, R.; Teketay, D. Modelling the dynamics of landscape transformations and population growth in the highlands of Ethiopia using remote-sensing data. Int. J. Remote Sens. 2016, 37, 5647–5667. [Google Scholar] [CrossRef]
- Nyssen, J.; Frankl, A.; Haile, M.; Hurni, H.; Descheemaeker, K.; Crummey, D.; Ritler, A.; Portner, B.; Nievergelt, B.; Moeyersons, J.; et al. Environmental conditions and human drivers for changes to north Ethiopian mountain landscapes over 145 years. Sci. Total Environ. 2014, 485–486. [Google Scholar] [CrossRef] [PubMed]
- Rembold, F.; Carnicelliz, S.; Nori, M.; Ferrari, G.A. Use of aerial photographs, Landsat TM imagery and multidisciplinary field survey for land-cover change analysis in the lakes region (Ethiopia). Agriculture 2000, 2, 181–189. [Google Scholar] [CrossRef]
- Gebremariam, M.; Kebede, F. Land use change effect on soil carbon stock, above ground biomass, aggregate stability and soil crust: A case from Tahtay Adyabo, North Western Tigray, Northern Ethiopia. J. Drylands 2010, 3, 220–225. [Google Scholar]
- Solomon, D.; Fritzsche, F.; Tekalign, M.; Lehmann, J.; Zech, W. Soil Organic Matter Composition in the Subhumid Ethiopian Highlands as Influenced by Deforestation and Agricultural Management. Soil Sci. Soc. Am. J. 2002, 66, 68–82. [Google Scholar] [CrossRef]
- Tamene, L.; Vlek, P.L.G. Soil erosion studies in northern Ethiopia. In Land Use and Soil Resources; Braimoh, A.K., Vlek, P., Eds.; Springer: Berlin, Germany, 2008; pp. 73–100. [Google Scholar]
- Jury, M.R.; Funk, C. Climatic trends over Ethiopia: Regional signals and drivers. Int. J. Climatol. 2013, 33, 1924–1935. [Google Scholar] [CrossRef]





| Study Area | Forest Area (ha) | Grid Size (m) | N | Elev. (m) | Sl (°) | Stem C (t C ha−1) | NPP (g C m−2 year−1) |
|---|---|---|---|---|---|---|---|
| Gelawdiwos | 68 | 250 × 250 | 33 | 2487 | 10–40 | 60.4 ± 46.5 | 640 ± 425 |
| Katassi | 553 | 300 × 300 | 56 | 2150 | 1–36 | 41.2 ± 34.3 | 490 ± 327 |
| Mehabereselessie | 19,162 | 3000 × 3000 | 19 | 863 | 3–41 | 13.0 ± 5.5 | 150 ± 63 |
| Taragedam | 324 | 250 × 250 | 36 | 2325 | 1–43 | 19.9 ± 19.5 | 431 ± 333 |
| Study Area | Soil Depth (m) | N Deposition (g N m−2 year−1) |
|---|---|---|
| Gelawdiwos | 2.5/3.0/3.5 | 0.507/0.747/0.986 |
| Katassi | 1.0/1.5/2.0 | 0.507/0.747/0.986 |
| Mahibereselassie | 0.2/0.4/0.6 | 0.507/0.747/0.986 |
| Taragedam | 1.0/1.5/2.0 | 0.507/0.747/0.986 |
| Study Area | Grid Data | Transect Data | |||||
|---|---|---|---|---|---|---|---|
| Forest Soil | Agricultural Soil | ||||||
| N | Carbon (t ha−1) | Nitrogen (t ha−1) | Sand/Silt/Clay (%) | N | Carbon (t ha−1) | Nitrogen (t ha−1) | |
| Gelawdiwos | 7 | 207.4 ± 24.0 | 19.0 ± 2.2 | 8/40/52 | 10 | 116.5 ± 22.4 | 9.3 ± 1.9 |
| Katassi | 14 | 204.5 ± 31.8 | 17.6 ± 2.7 | 15/40/45 | 10 | 31.0 ± 9.6 | 5.1 ± 1.3 |
| Mehabereselessie | 15 | 60.7 ± 38.5 | 5.5 ± 3.5 | 55/23/22 | 10 | 77.1 ± 29.9 | 5.5 ± 2.5 |
| Taragedam | 7 | 173.1 ± 28.4 | 14.9 ± 2.4 | 13/40/47 | 10 | 102.8 ± 34.8 | 9.0 ± 2.6 |
© 2018 by the authors. Licensee MDPI, Basel, Switzerland. This article is an open access article distributed under the terms and conditions of the Creative Commons Attribution (CC BY) license (http://creativecommons.org/licenses/by/4.0/).
Share and Cite
Belay, B.; Pötzelsberger, E.; Sisay, K.; Assefa, D.; Hasenauer, H. The Carbon Dynamics of Dry Tropical Afromontane Forest Ecosystems in the Amhara Region of Ethiopia. Forests 2018, 9, 18. https://doi.org/10.3390/f9010018
Belay B, Pötzelsberger E, Sisay K, Assefa D, Hasenauer H. The Carbon Dynamics of Dry Tropical Afromontane Forest Ecosystems in the Amhara Region of Ethiopia. Forests. 2018; 9(1):18. https://doi.org/10.3390/f9010018
Chicago/Turabian StyleBelay, Beyene, Elisabeth Pötzelsberger, Kibruyesfa Sisay, Dessie Assefa, and Hubert Hasenauer. 2018. "The Carbon Dynamics of Dry Tropical Afromontane Forest Ecosystems in the Amhara Region of Ethiopia" Forests 9, no. 1: 18. https://doi.org/10.3390/f9010018
APA StyleBelay, B., Pötzelsberger, E., Sisay, K., Assefa, D., & Hasenauer, H. (2018). The Carbon Dynamics of Dry Tropical Afromontane Forest Ecosystems in the Amhara Region of Ethiopia. Forests, 9(1), 18. https://doi.org/10.3390/f9010018

