Potential and Limits of Retrieving Conifer Leaf Area Index Using Smartphone-Based Method
Abstract
:1. Introduction
2. Methodology and Data
2.1. Estimation of LAI Using a Smartphone Camera Sensor
2.2. Field Experiments
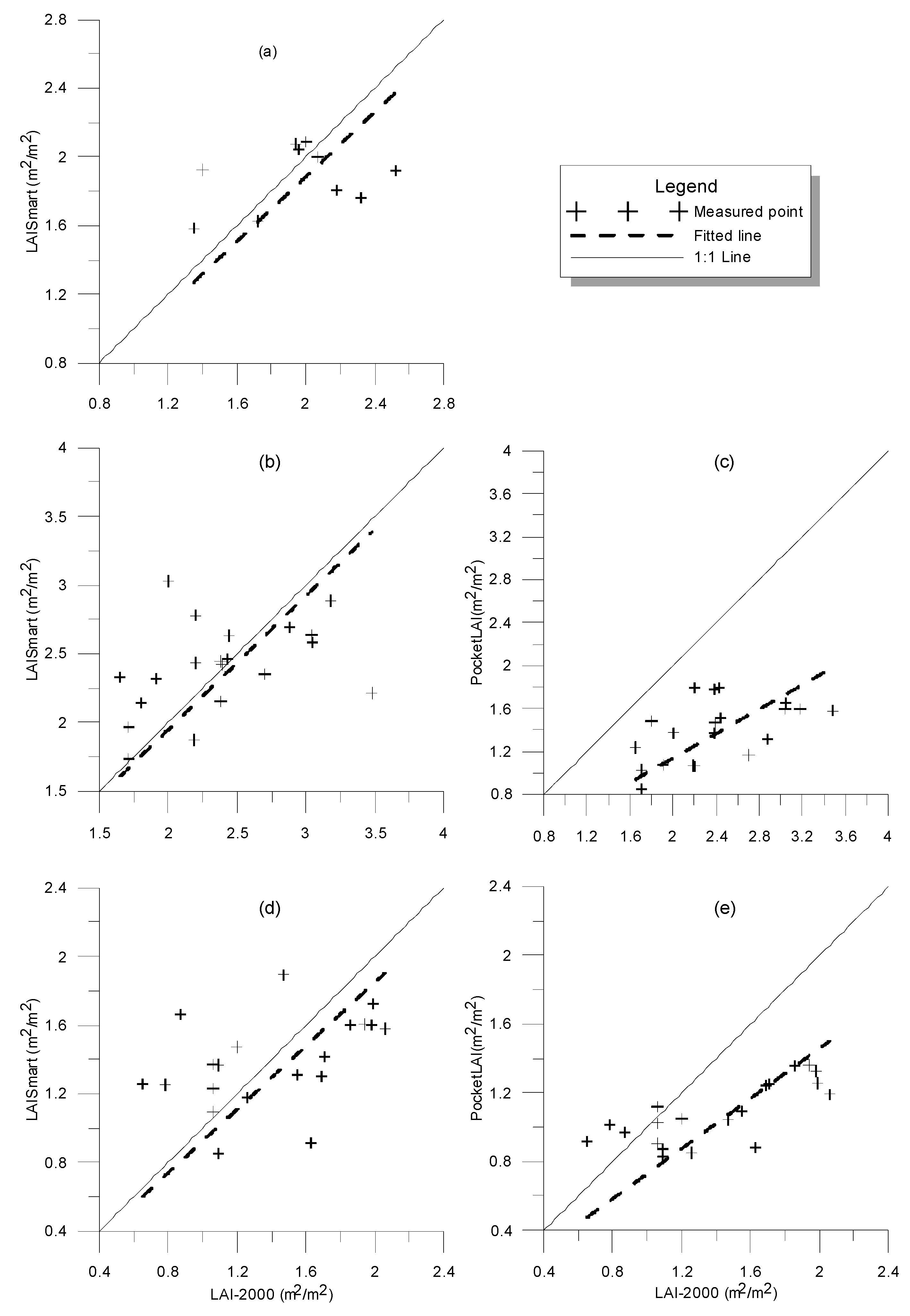
3. Results
4. Discussion
5. Conclusions
- (1)
- Considering the performance of LAISmart and PocketLAI, when the coniferous forest is observed, the vertically upward observation, such as the 0° zenith used in the LAISmart method, can help in obtaining observed values that are closer to those of the LAI-2000 instrument.
- (2)
- The two smartphone-based methods show different behaviors with regards to accuracy of the estimated leaf area index when there is uncertainty in the canopy gap fraction and the leaf projection coefficient (G). For LAISmart, the effects of an overestimated canopy gap fraction may be compensated for by the underestimated G-value when estimating LAI; for PocketLAI, the effects of an overestimated canopy gap fraction and an underestimated G-value on LAI are cumulative.
- (3)
- The large field of view (FOV) of the smartphone camera sensors have different effects on these two methods. For LAISmart, a large FOV did not obviously decrease the leaf component in the field, whereas with PocketLAI, too many trunks and canopy gaps were included under the combination of the sensor’s large zenith angle and large FOV. Thus, it is difficult for PocketLAI to measure coniferous forest canopy LAI accurately.
Acknowledgments
Author Contributions
Conflicts of Interest
References
- Chen, J.M.; Black, T.A. Defining leaf area index for non-flat leaves. Plant Cell Environ. 1992, 15, 421–429. [Google Scholar] [CrossRef]
- Thimonier, A.; Sedivy, I.; Schleppi, P. Estimating leaf area index in different types of mature forest stands in Switzerland: A comparison of methods. Eur. J. For. Res. 2010, 129, 543–562. [Google Scholar] [CrossRef]
- Chaturvedi, R.K.; Raghubanshi, A.S.; Singh, J.S. Relative effects of different leaf attributes on sapling growth in tropical dry forest. J. Plant Ecol. 2014, 7, 544–558. [Google Scholar] [CrossRef]
- Li, Y.; Kröber, W.; Bruelheide, H.; Härdtle, W.; von Oheimb, G. Crown and leaf traits as predictors of subtropical tree sapling growth rates. J. Plant Ecol. 2017, 10, 136–145. [Google Scholar] [CrossRef]
- Timilsina, N.; Beck, J.L.; Eames, M.S.; Hauer, R.; Werner, L. A comparison of local and general models of leaf area and biomass of urban trees in USA. Urban For. Urban Green. 2017, 24, 157–163. [Google Scholar] [CrossRef]
- Forrester, D.I.; Tachauer, I.H.H.; Annighoefer, P.; Barbeito, I.; Pretzsch, H.; Ruiz-Peinado, R.; Stark, H.; Vacchiano, G.; Zlatanov, T.; Chakraborty, T.; et al. Generalized biomass and leaf area allometric equations for European tree species incorporating stand structure, tree age and climate. For. Ecol Manag. 2017, 396, 160–175. [Google Scholar] [CrossRef]
- Heiskanen, J. Estimating aboveground tree biomass and leaf area index in a mountain birch forest using ASTER satellite data. Int. J. Remote Sens. 2006, 27, 1135–1158. [Google Scholar] [CrossRef]
- Qu, Y.; Han, W.; Fu, L.; Li, C.; Song, J.; Zhou, H.; Bo, Y.; Wang, J. LAINet—A wireless sensor network for coniferous forest leaf area index measurement: Design, algorithm and validation. Comput. Electron. Agric. 2014, 108, 200–208. [Google Scholar] [CrossRef]
- Leblanc, S.G.; Fournier, R.A. Hemispherical photography simulations with an architectural model to assess retrieval of leaf area index. Agric. For. Meteorol. 2014, 194, 64–76. [Google Scholar] [CrossRef]
- Nilson, T.; Anniste, J.; Lang, M.; Praks, J. Determination of needle area indices of coniferous forest canopies in the NOPEX region by ground-based optical measurements and satellite images. Agric. For. Meteorol. 1999, 98–99, 449–462. [Google Scholar] [CrossRef]
- Fernandes, R.A.; Miller, J.R.; Chen, J.M.; Rubinstein, I.G. Evaluating image-based estimates of leaf area index in boreal conifer stands over a range of scales using high-resolution CASI imagery. Remote Sens. Environ. 2004, 89, 200–216. [Google Scholar] [CrossRef]
- Wang, R.; Chen, J.M.; Pavlic, G.; Arain, A. Improving winter leaf area index estimation in coniferous forests and its significance in estimating the land surface albedo. ISPRS J. Photogramm. Remote Sens. 2016, 119, 32–48. [Google Scholar] [CrossRef]
- CAN-EYE. Available online: http://www6.paca.inra.fr/can-eye/ (accessed on 15 June 2017).
- Fuentes, S.; Bei, R.D.; Pozo, C.; Tyerman, S. Development of a smartphone application to characterise temporal and spatial canopy architecture and leaf area index for grapevines. Wine Vitic. J. 2012, 27, 56–60. [Google Scholar]
- Confalonieri, R.; Foi, M.; Casa, R.; Aquaro, S.; Tona, E.; Peterle, M.; Boldini, A.; De Carli, G.; Ferrari, A.; Finotto, G.; et al. Development of an app for estimating leaf area index using a smartphone. Trueness and precision determination and comparison with other indirect methods. Comput. Electron. Agric. 2013, 96, 67–74. [Google Scholar] [CrossRef]
- Confalonieri, R.; Francone, C.; Foi, M. The PocketLAI smartphone app: An alternative method for leaf area index estimation. In Proceedings of the 7th International Congress on Environmental Modelling and Software: Bold Visions for Environmental Modeling, San Diego, CA, USA, 18 June 2014; iEMSs: Toulouse, France, 2014; pp. 288–293. [Google Scholar]
- Aquino, A.; Millan, B.; Gaston, D.; Diago, M.P.; Tardaguila, J. vitisFlower®: Development and Testing of a Novel Android-Smartphone Application for Assessing the Number of Grapevine Flowers per Inflorescence Using Artificial Vision Techniques. Sensors 2015, 15, 21204–21218. [Google Scholar] [CrossRef] [PubMed]
- De Bei, R.; Fuentes, S.; Gilliham, M.; Tyerman, S.; Edwards, E.; Bianchini, N.; Smith, J.; Collins, C. VitiCanopy: A Free Computer App to Estimate Canopy Vigor and Porosity for Grapevine. Sensors 2016, 16, 585. [Google Scholar] [CrossRef] [PubMed]
- Qu, Y.; Meng, J.; Wan, H.; Li, Y. Preliminary study on integrated wireless smart terminals for leaf area index measurement. Comput. Electron. Agric. 2016, 129, 56–65. [Google Scholar] [CrossRef]
- Macfarlane, C.; Hoffman, M.; Eamus, D.; Kerp, N.; Higginson, S.; McMurtrie, R.; Adams, M. Estimation of leaf area index in eucalypt forest using digital photography. Agric. For. Meteorol. 2007, 143, 176–188. [Google Scholar] [CrossRef]
- Fuentes, S.; Palmer, A.R.; Taylor, D.; Zeppel, M.; Whitley, R.; Eamus, D. An automated procedure for estimating the leaf area index (LAI) of woodland ecosystems using digital imagery, MATLAB programming and its application to an examination of the relationship between remotely sensed and field measurements of LAI. Funct. Plant Biol. 2008, 35, 1070–1079. [Google Scholar] [CrossRef]
- Qu, Y.; Fu, L.; Han, W.; Zhu, Y.; Wang, J. MLAOS: A Multi-Point Linear Array of Optical Sensors for Coniferous Foliage Clumping Index Measurement. Sensors 2014, 14, 9271–9289. [Google Scholar] [CrossRef] [PubMed]
- Chen, J.M.; Menges, C.H.; Leblanc, S.G. Global mapping of foliage clumping index using multi-angular satellite data. Remote Sens. Environ. 2005, 97, 447–457. [Google Scholar] [CrossRef]
- Francone, C.; Pagani, V.; Foi, M.; Cappelli, G.; Confalonieri, R. Comparison of leaf area index estimates by ceptometer and PocketLAI smart app in canopies with different structures. Field Crops Res. 2014, 155, 38–41. [Google Scholar] [CrossRef]
- Orlando, F.; Movedi, E.; Paleari, L.; Gilardelli, C.; Foi, M.; Dell’Oro, M.; Confalonieri, R. Estimating leaf area index in tree species using the PocketLAI smart app. Appl. Veg. Sci. 2015, 18, 716–723. [Google Scholar] [CrossRef]
- Nilson, T. A theoretical analysis of the frequency of gaps in plant stands. Agric. Meteorol. 1971, 8, 25–38. [Google Scholar] [CrossRef]
- Goudriaan, J. The bare bones of leaf-angle distribution in radiation models for canopy photosynthesis and energy exchange. Agric. For. Meteorol. 1988, 43, 155–169. [Google Scholar] [CrossRef]
- Wilson, J.W. Estimation of foliage denseness and foliage angle by inclined point quadrats. Aust. J. Bot. 1963, 11, 95–105. [Google Scholar] [CrossRef]
- Li-COR. LAI-2000 Plant Canopy Analyzer Instruction Manual; Li-COR: Lincoln, NE, USA, 1992. [Google Scholar]
- Feng, G.; Mi, X.; Yan, H.; Li, F.Y.; Svenning, J.-C.; Ma, K. CForBio: A network monitoring Chinese forest biodiversity. Sci. Bull. 2016, 61, 1163–1170. [Google Scholar] [CrossRef]
- Zhang, M.-G.; Slik, J.W.F.; Ma, K.-P. Priority areas for the conservation of perennial plants in China. Biol. Conserv. 2016, in press. [Google Scholar] [CrossRef]
- Wang, X.; Fang, J.; Tang, Z.; Zhu, B. Climatic control of primary forest structure and DBH-height allometry in Northeast China. For. Ecol. Manag. 2006, 234, 264–274. [Google Scholar] [CrossRef]
- Zeng, Y.; Li, J.; Liu, Q.; Qu, Y.; Huete, A.R.; Xu, B.; Yin, G.; Zhao, J. An Optimal Sampling Design for Observing and Validating Long-Term Leaf Area Index with Temporal Variations in Spatial Heterogeneities. Remote Sens. 2015, 7, 1300–1319. [Google Scholar] [CrossRef]
- Otsu, N. A Threshold Selection Method from Gray-Level Histograms. IEEE Trans. Syst. Man Cybern. 1979, 9, 62–66. [Google Scholar] [CrossRef]
- Golden Grapher 10.0. Available online: http://www.goldensoftware.com (accessed on 15 June 2017).
- Bregaglio, S.; Orlando, F.; Forni, E.; De Gregorio, T.; Falzoi, S.; Boni, C.; Pisetta, M.; Confalonieri, R. Development and evaluation of new modelling solutions to simulate hazelnut (Corylus avellana L.) growth and development. Ecol. Model. 2016, 329, 86–99. [Google Scholar] [CrossRef]
- Shaeffer, D.L. A model evaluation methodology applicable to environmental assessment models. Ecol. Model. 1980, 8, 275–295. [Google Scholar] [CrossRef]
- Jørgensen, S.E.; Kamp-Nielsen, L.; Christensen, T.; Windolf-Nielsen, J.; Westergaard, B. Validation of a prognosis based upon a eutrophication model. Ecol. Model. 1986, 32, 165–182. [Google Scholar] [CrossRef]
- Loague, K.; Green, R.E. Statistical and graphical methods for evaluating solute transport models: Overview and application. J. Contam. Hydrol. 1991, 7, 51–73. [Google Scholar] [CrossRef]
- Nash, J.E.; Sutcliffe, J.V. River flow forecasting through conceptual models part I—A discussion of principles. J. Hydrol. 1970, 10, 282–290. [Google Scholar] [CrossRef]
- Li, H.; Xiao, K.; Fan, W.; Wen, Y.; Ma, Z.; Sun, S. Determination and Estimation of the Forest Leaf Area Index with Remote Sensing in Daxing’an Mountain. J. Northeast For. Univ. 2013, 41, 66–70. [Google Scholar]
- Wen, Y.-B.; Chang, Y.; Fan, W.-Y. Algorithm for leaf area index inversion in the Great Xing’an Mountains using MISR data and spatial scaling for the validation. J. Beijing For. Univ. 2016, 38, 1–10. [Google Scholar]
- Beckschäfer, P.; Seidel, D.; Kleinn, C.; Xu, J. On the exposure of hemispherical photographs in forests. iForest-Biogeosci. For. 2013, 6, 228–237. [Google Scholar] [CrossRef]
- Woodgate, W.; Jones, S.D.; Suarez, L.; Hill, M.J.; Armston, J.D.; Wilkes, P.; Soto-Berelov, M.; Haywood, A.; Mellor, A. Understanding the variability in ground-based methods for retrieving canopy openness, gap fraction, and leaf area index in diverse forest systems. Agric. For. Meteorol. 2015, 205, 83–95. [Google Scholar] [CrossRef]
- Macfarlane, C. Classification method of mixed pixels does not affect canopy metrics from digital images of forest overstorey. Agric. For. Meteorol. 2011, 151, 833–840. [Google Scholar] [CrossRef]
- Itoh, T.; Eizawa, J.; Yano, N.; Matsue, K.; Naito, K. Development of Software to Measure Tree Heights on the Smartphone. J. Jpn. For. Soc. 2010, 92, 221–225. [Google Scholar] [CrossRef]
- Smart Forests Sensor Network. Available online: https://smartforests.org (accessed on 15 June 2017).





| Forest Type | Dominant Species | Forest Structure (Mean/std) | ||||
|---|---|---|---|---|---|---|
| Density (stems/ha) | Da (cm) | Dmax (cm) | Ha (m) | Hmax (m) | ||
| Larix gmelinii forest | L. gmelinii (94%) | 1135/515 | 15.1/4.6 | 41.3/11.6 | 13.5/3.4 | 26.9/4.0 |
| Date | Instruments and Data Number | ||
|---|---|---|---|
| LAISmart | PocketLAI | LAI-2000 | |
| 26 May | 10 | / | 10 |
| 25 July | 20 | 20 | 20 |
| 22 September | 20 | 20 | 20 |
| Date | Instruments | S | R2 | Averaged LAI | AB | |
|---|---|---|---|---|---|---|
| LAI-2000 | Smartphone | |||||
| 26 May | LAISmart | 0.94 | 0.97 | 1.95 | 1.88 | 0.07 |
| PocketLAI | - | - | - | |||
| 25 July | LAISmart | 0.97 | 0.96 | 2.39 | 2.40 | 0.01 |
| PocketLAI | 0.57 | 0.96 | 2.39 | 1.39 | 1.00 | |
| 22 September | LAISmart | 0.93 | 0.93 | 1.40 | 1.38 | 0.02 |
| PocketLAI | 0.73 | 0.96 | 1.40 | 1.08 | 0.32 | |
| Date | Method | H | p | CI_2.5 | CI_97.5 |
|---|---|---|---|---|---|
| 26 May | LAISmart | 0 | 0.60 | −0.19 | 0.32 |
| PocketLAI | - | - | - | - | |
| 25 July | LAISmart | 0 | 0.88 | −0.25 | 0.22 |
| PocketLAI | 1 | 0 | 0.78 | 1.21 | |
| 22 September | LAISmart | 0 | 0.85 | −0.17 | 0.21 |
| PocketLAI | 1 | 0 | 0.17 | 0.48 |
| S | R2 | RMSE | RRMSE | MAE | EF | CRM | |
|---|---|---|---|---|---|---|---|
| LAISmart | 0.96 | 0.96 | 0.43 | 0.22 | 0.34 | 0.55 | 0.00 |
| PocketLAI | 0.61 | 0.95 | 0.84 | 0.44 | 0.69 | −0.49 | −0.35 |
© 2017 by the authors. Licensee MDPI, Basel, Switzerland. This article is an open access article distributed under the terms and conditions of the Creative Commons Attribution (CC BY) license (http://creativecommons.org/licenses/by/4.0/).
Share and Cite
Qu, Y.; Wang, J.; Song, J.; Wang, J. Potential and Limits of Retrieving Conifer Leaf Area Index Using Smartphone-Based Method. Forests 2017, 8, 217. https://doi.org/10.3390/f8060217
Qu Y, Wang J, Song J, Wang J. Potential and Limits of Retrieving Conifer Leaf Area Index Using Smartphone-Based Method. Forests. 2017; 8(6):217. https://doi.org/10.3390/f8060217
Chicago/Turabian StyleQu, Yonghua, Jian Wang, Jinling Song, and Jindi Wang. 2017. "Potential and Limits of Retrieving Conifer Leaf Area Index Using Smartphone-Based Method" Forests 8, no. 6: 217. https://doi.org/10.3390/f8060217
APA StyleQu, Y., Wang, J., Song, J., & Wang, J. (2017). Potential and Limits of Retrieving Conifer Leaf Area Index Using Smartphone-Based Method. Forests, 8(6), 217. https://doi.org/10.3390/f8060217

