Long-Term Susceptibility of Even- and Uneven-Aged Northern Hardwood Stands to Partial Windthrow
Abstract
:1. Introduction
2. Materials and Methods
2.1. Main Analyses
2.2. Sensitivity Analyses
3. Results
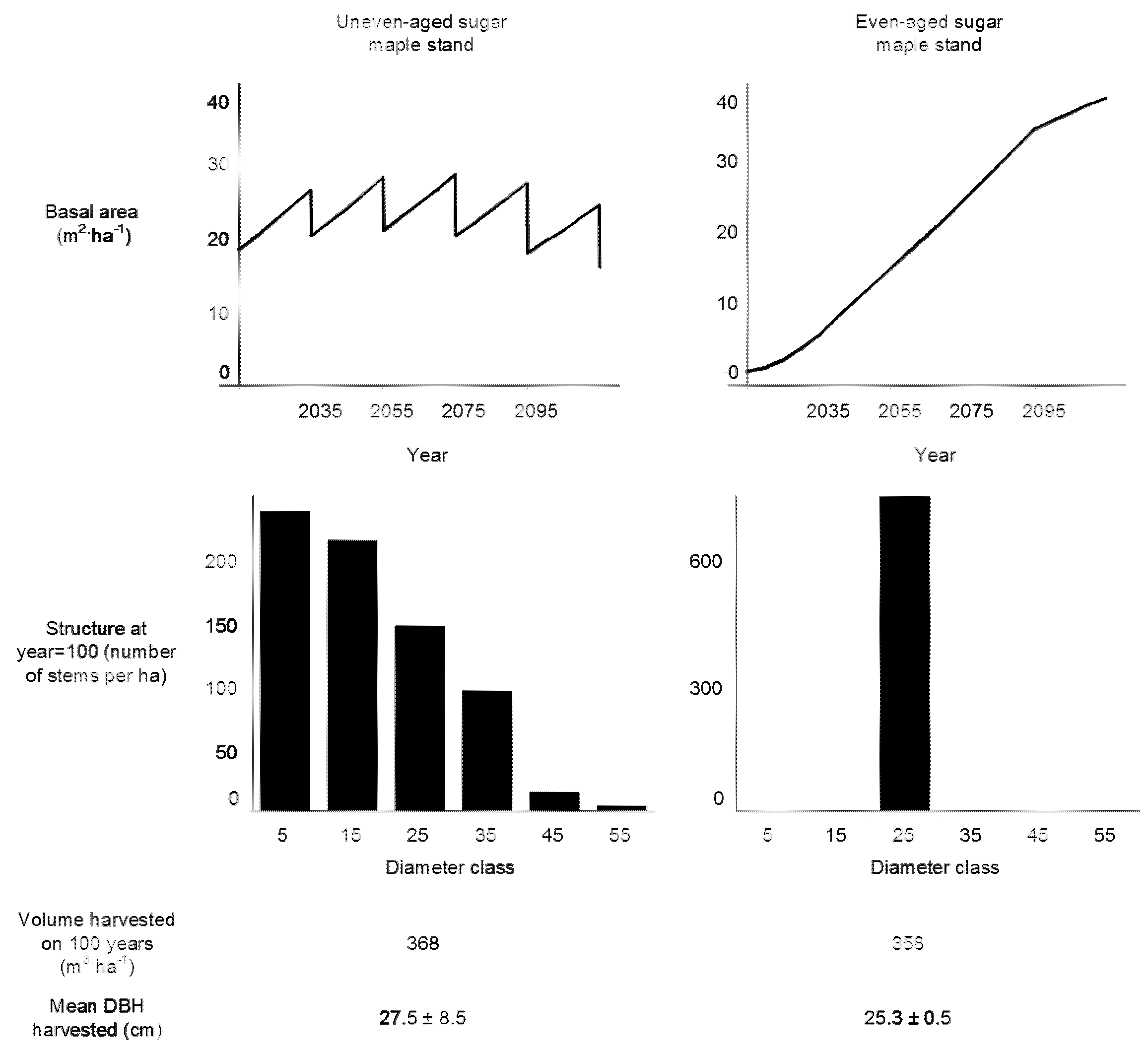
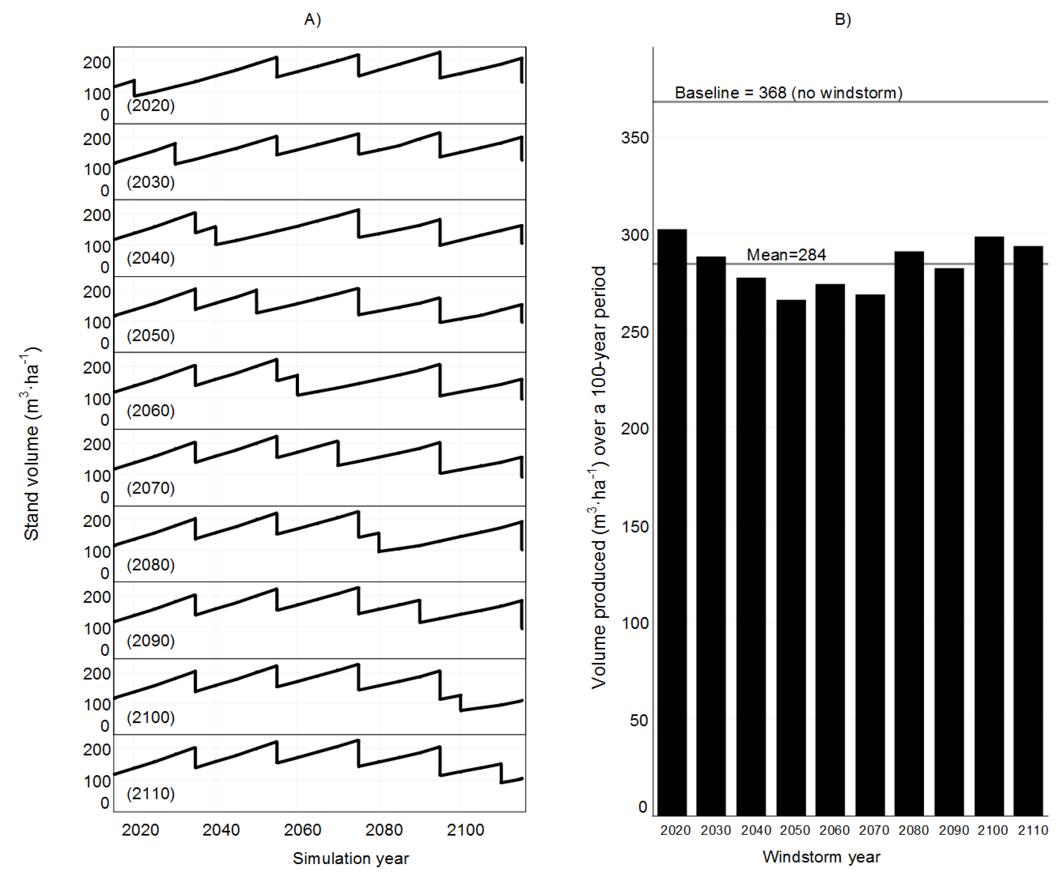
3.1. Even- vs. Uneven-Aged Stands
3.2. Shade-Tolerant vs. Shade Intolerant Species
3.3. Sensitivity Analyses
4. Discussion
4.1. Even- vs. Uneven-Aged Stands
4.2. Limits to the Approach
4.3. Spatial and Time Scales
5. Conclusions
Acknowledgments
Author Contributions
Conflicts of Interest
References
- Vitkova, L.; Ni Dhubhain, A.; O’Tuama, P.; Purser, P. The practice of continuous cover forestry in Ireland. Irish For. 2013, 70, 141–156. [Google Scholar]
- Nolet, P.; Doyon, F.; Messier, C. A new silvicultural approach to the management of uneven-aged northern hardwoods: Frequent low-intensity harvesting. Forestry 2014, 87, 39–48. [Google Scholar] [CrossRef]
- Bell, J.L.; Sloan, L.C.; Snyder, M. A regional changes in extreme climate events: A future climate scenario. J. Clim. 2004, 17, 81–87. [Google Scholar] [CrossRef]
- Ricciardi, A. Are modern biological invasions an unprecedented form of global change? Conserv. Biol. 2007, 21, 329–336. [Google Scholar] [CrossRef] [PubMed]
- Messier, C.; Puettmann, K.J.; Coates, K.D. Managing Forests as Complex Adaptive Systems: Building Resilience to the Challenge of Global Change; Routledge: Abingdon, UK, 2013. [Google Scholar]
- Niese, J.N.; Strong, T.F. Economic and tree diversity trade-offs in managed northern hardwoods. Can. J. For. Res. 1992, 22, 1807–1813. [Google Scholar] [CrossRef]
- Ruel, J.C. Factors influencing windthrow in balsam fir forests: From landscape studies to individual tree studies. For. Ecol. Manage. 2000, 135, 169–178. [Google Scholar] [CrossRef]
- Scott, R.E.; Mitchell, S.J. Empirical modelling of windthrow risk in partially harvested stands using tree, neighbourhood, and stand attributes. For. Ecol. Manag. 2005, 218, 193–209. [Google Scholar] [CrossRef]
- Valinger, E.; Fridman, J. Factors affecting the probability of windthrow at stand level as a result of Gudrun winter storm in southern Sweden. For. Ecol. Manag. 2011, 262, 398–403. [Google Scholar] [CrossRef]
- O’Hara, K.L.; Ramage, B.S. Silviculture in an uncertain world: Utilizing multi-aged management systems to integrate disturbance. Forestry 2013, 86, 401–410. [Google Scholar] [CrossRef]
- Vitkova, L.; Ni Dhubhain, A.; Upton, V. Forestry professionals’ attitudes and beliefs in relation to and understanding of continuous cover forestry. Scott. For. 2014, 68, 17–25. [Google Scholar]
- Everham, E.; Brokaw, N. Forest damage and recovery from catastrophic wind. Bot. Rev. 1996, 62, 113–185. [Google Scholar] [CrossRef]
- Wonn, H.T.; O’Hara, K.L. Height: Diameter ratios and stability relationships for four northern Rocky Mountain tree species. West. J. Appl. For. 2001, 16, 87–94. [Google Scholar]
- Mitchell, S.J. Wind as a natural disturbance agent in forests: a synthesis. Forestry 2013, 86, 147–157. [Google Scholar] [CrossRef]
- Hanewinkel, M.; Kuhn, T.; Bugmann, H.; Lanz, A.; Brang, P. Vulnerability of uneven-aged forests to storm damage. Forestry 2014, 87, 525–534. [Google Scholar] [CrossRef]
- Canham, C.D.; Papaik, M.J.; Latty, E.F. Interspecific variation in susceptibility to windthrow as a function of tree size and storm severity for northern temperate tree species. Can. J. For. Res. 2001, 31, 1–10. [Google Scholar] [CrossRef]
- Nolet, P.; Doyon, F.; Bouffard, D. Predicting stem windthrow probability in a northern hardwood forest using a wind intensity bio-indicator approach. Open J. For. 2012, 2, 77–87. [Google Scholar] [CrossRef]
- Dixon, G.E. Essential FVS: A User’s Guide to the Forest Vegetation Simulator; USDA, Forest Service, Forest Management Service Center: Fort Collins, CO, USA, 2002.
- Nunery, J.S.; Keeton, W.S. Forest carbon storage in the northeastern United States: Net effects of harvesting frequency, post-harvest retention, and wood products. For. Ecol. Manag. 2010, 259, 1363–1375. [Google Scholar] [CrossRef]
- Caputo, J.; Beier, C.M.; Sullivan, T.J.; Lawrence, G.B. Modeled effects of soil acidification on long-term ecological and economic outcomes for managed forests in the Adirondack region (USA). Sci. Total Environ. 2016, 565, 401–411. [Google Scholar] [CrossRef] [PubMed]
- Nolet, P.; Delagrange, S.; Bouffard, D.; Doyon, F.; Forget, E. The successional status of sugar maple (Acer saccharum), revisited. Ann. For. Sci. 2008, 65, 208. [Google Scholar] [CrossRef]
- Forget, E.; Nolet, P.; Doyon, F.; Delagrange, S.; Jardon, Y. Ten-year response of northern hardwood stands to commercial selection cutting in southern Quebec, Canada. For. Ecol. Manag. 2007, 242, 764–775. [Google Scholar] [CrossRef]
- Leak, W.B.; Yamasaki, M.; Holleran, R. Silvicultural Guide for Northern Hardwoods in the Northeast; U.S. Forest Service: Delaware, OH, USA, 2014.
- Mason, W.L. Are irregular stands more windfirm? Forestry 2002, 75, 347–355. [Google Scholar] [CrossRef]
- Anyomi, K.A.; Ruel, J. A multiscale analysis of the effects of alternative silvicultural treatments on windthrow within balsam fir dominated stands. Can. J. For. Res. 2015, 1747, 1739–1747. [Google Scholar] [CrossRef]
- Peterson, C.J. Consistent influence of tree diameter and species on damage in nine eastern North America tornado blowdowns. For. Ecol. Manag. 2007, 250, 96–108. [Google Scholar] [CrossRef]
- Foster, D. Species and stand response to catastrophic wind in central New England, U.S.A. J. Ecol. 1988, 76, 135–151. [Google Scholar] [CrossRef]
- Rich, R.L.; Frelich, L.E.; Reich, P.B. Wind-throw mortality in the southern boreal forest: Effects of species, diameter and stand age. J. Ecol. 2007, 95, 1261–1273. [Google Scholar] [CrossRef]
- Albrecht, A.T.; Fortin, M.; Kohnle, U.; Ningre, F. Coupling a tree growth model with storm damage modeling—Conceptual approach and results of scenario simulations. Environ. Model. Softw. 2015, 69, 63–76. [Google Scholar] [CrossRef]
- Hale, S.E.; Gardiner, B.A.; Wellpott, A.; Nicoll, B.C.; Achim, A. Wind loading of trees: Influence of tree size and competition. Eur. J. For. Res. 2012, 131, 203–217. [Google Scholar] [CrossRef]
- Cucchi, V.; Meredieu, C.; Stokes, A.; de Coligny, F.; Suarez, J.; Gardiner, B.A. Modelling the windthrow risk for simulated forest stands of Maritime pine (Pinus pinaster Ait.). For. Ecol. Manag. 2005, 213, 184–196. [Google Scholar] [CrossRef]
- Anyomi, K.A.; Mitchell, S.J.; Ruel, J.C. Windthrow modelling in old-growth and multi-layered boreal forests. Ecol. Model. 2016, 327, 105–114. [Google Scholar] [CrossRef]
- Seidl, R.; Rammer, W.; Blennow, K. Simulating wind disturbance impacts on forest landscapes: Tree-level heterogeneity matters. Environ. Model. Softw. 2014, 51, 1–11. [Google Scholar] [CrossRef]
- Byrne, K.E.; Mitchell, S.J. Testing of WindFIRM/ForestGALES_BC: A hybrid-mechanistic model for predicting windthrow in partially harvested stands. Forestry 2012, 86, 185–199. [Google Scholar] [CrossRef]
- Gardiner, B.; Byrne, K.; Hale, S.; Kamimura, K.; Mitchell, S.J.; Peltola, H.; Ruel, J.-C. A review of mechanistic modelling of wind damage risk to forests. Forestry 2008, 81, 447–463. [Google Scholar] [CrossRef]
- Weiskittel, A.R.; Hann, D.W.; Kershaw, J.A., Jr.; Vanclay, J.K. Forest Growth and Yield Modeling; John Wiley & Sons: Somerset, NJ, USA, 2011. [Google Scholar]
- Gardiner, B.A.; Quine, C.P. Management of forests to reduce the risk of abiotic damage—A review with particular reference to the effects of strong winds. For. Ecol. Manag. 2000, 135, 261–277. [Google Scholar] [CrossRef]






| Uneven-Aged Basic Stand | Even-Aged Basic Stand | ||
|---|---|---|---|
| DBH (cm) | Number of Stems (Per Hectare) | DBH (cm) | Number of Stems (Per Hectare) |
| 2.5 | 31 | 0.3 | 482 |
| 5.1 | 46 | 0.5 | 362 |
| 7.6 | 47 | 0.8 | 301 |
| 10.2 | 47 | ||
| 12.7 | 106 | ||
| 15.2 | 111 | ||
| 17.8 | 100 | ||
| 20.3 | 71 | ||
| 22.9 | 53 | ||
| 25.4 | 40 | ||
| 27.9 | 26 | ||
| 30.5 | 16 | ||
| 33.0 | 4 | ||
| 35.6 | 4 | ||
| 38.1 | 4 | ||
| 40.6 | 2 | ||
| 43.2 | 1 | ||
| 45.7 | 1 | ||
| Total stand density | 709 | 1145 | |
| Basal area (m2·ha−1 for trees >9.1 cm DBH) | 17.3 | 0 | |
| Stand Structure | Variant | Stand Composition | Total Volume 1 Produced without Windstorm on a 100-Year Period (A) | Mean Volume Produced with Windstorm on a 100-Year Period (B) | Percent (%) Loss due to Windthrow 2 ((A − B)/A) |
|---|---|---|---|---|---|
| Uneven-aged | Basic stand (Table 1) | Pure sugar maple | 368.5 | 284.1 | 22.9 |
| Sugar maple/yellow birch | 332.4 | 260.1 | 21.7 | ||
| Sugar maple/American beech | 376.4 | 276.9 | 26.4 | ||
| High residual BA | Pure sugar maple | 401.7 | 309.1 | 23.1 | |
| Sugar maple/yellow birch | 361.4 | 282.6 | 21.8 | ||
| Sugar maple/American beech | 408.5 | 299.7 | 26.6 | ||
| Even-aged | Clearcut only | Pure sugar maple | 358.6 | 315.2 | 12.1 |
| Sugar maple/yellow birch | 344.9 | 298.2 | 13.5 | ||
| Sugar maple/American beech | 368.2 | 326.5 | 11.3 | ||
| Commercial thinning + clearcut | Pure sugar maple | 388.0 | 330.0 | 14.9 | |
| Sugar maple/yellow birch | 368.0 | 309.8 | 15.8 | ||
| Sugar maple/American beech | 385.5 | 338.2 | 12.3 |
© 2017 by the authors. Licensee MDPI, Basel, Switzerland. This article is an open access article distributed under the terms and conditions of the Creative Commons Attribution (CC BY) license (http://creativecommons.org/licenses/by/4.0/).
Share and Cite
Nolet, P.; Béland, M. Long-Term Susceptibility of Even- and Uneven-Aged Northern Hardwood Stands to Partial Windthrow. Forests 2017, 8, 128. https://doi.org/10.3390/f8040128
Nolet P, Béland M. Long-Term Susceptibility of Even- and Uneven-Aged Northern Hardwood Stands to Partial Windthrow. Forests. 2017; 8(4):128. https://doi.org/10.3390/f8040128
Chicago/Turabian StyleNolet, Philippe, and Martin Béland. 2017. "Long-Term Susceptibility of Even- and Uneven-Aged Northern Hardwood Stands to Partial Windthrow" Forests 8, no. 4: 128. https://doi.org/10.3390/f8040128
APA StyleNolet, P., & Béland, M. (2017). Long-Term Susceptibility of Even- and Uneven-Aged Northern Hardwood Stands to Partial Windthrow. Forests, 8(4), 128. https://doi.org/10.3390/f8040128

