Wildfires Dynamics in Siberian Larch Forests
Abstract
:1. Introduction
- (i)
- what is the fire frequency and burned area within (a) all of Siberia and (b) along a “south-north” gradient? How do these relate to climate variables?
- (ii)
- what is the fire return interval dependence on the “south-north” climatic gradient?
2. Materials and Methods
2.1. Study Area
2.2. Methods
3. Results and Discussion
3.1. Long-Term Wildfire Statistics
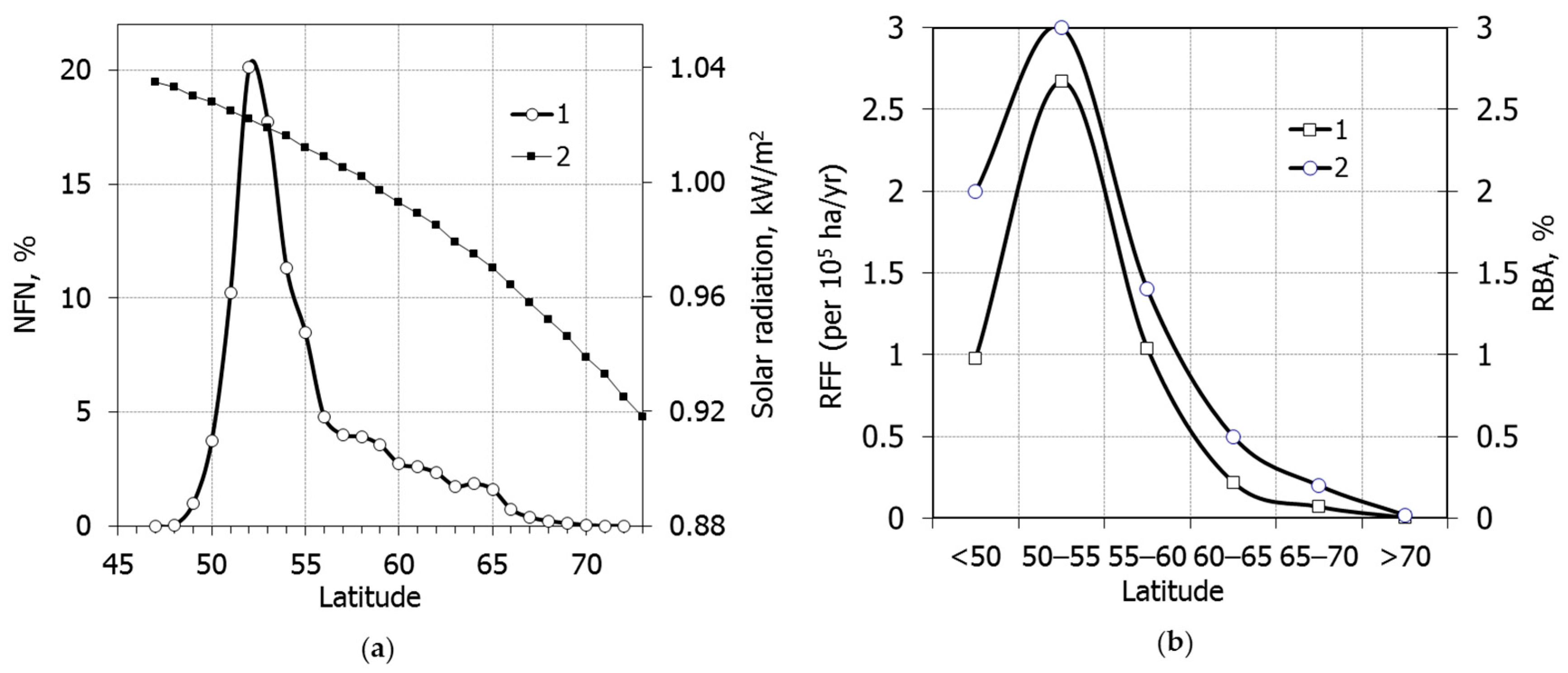
3.2. Wildfires vs Latitude along Transect
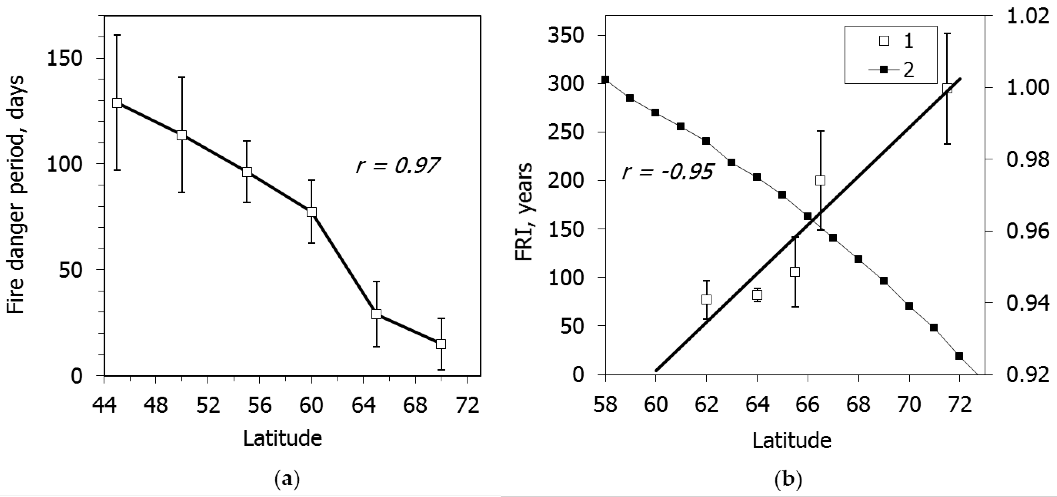
3.3. Fire Danger Period and Fire Return Intervals
4. Conclusions
Acknowledgments
Author Contributions
Conflicts of Interest
Abbreviations
| NOAA | National Oceanic and Atmospheric Administration |
| AVHRR | Advanced Very High Resolution Radiometer |
| MODIS | Moderate Resolution Imaging Spectroradiometer |
| TM | The Landsat Thematic Mapper |
| ETM | Enhanced Thematic Mapper |
| GIS | Geographic Information System |
| RFF | relative fire frequency |
| RBA | relative burned area |
| SPEI | The Standardized Precipitation Evapotranspiration Index |
| PET | potential evapotranspiration |
| NIR | near-infrared |
| MIR | mid-infrared |
| TIR | thermal infrared |
| FRI | fire return interval |
References
- IPCC. Climate Change 2014: Impacts, Adaptation, and Vulnerability. Summaries, Frequently Asked Questions, and Cross-Chapter Boxes. In A Contribution of Working Group II to the Fifth Assessment Report of the Intergovernmental Panel on Climate Change; Field, C.B., Barros, V.R., Eds.; World Meteorological Organization: Geneva, Switzerland, 2014; p. 190. [Google Scholar]
- Conard, S.G.; Sukhinin, A.I.; Stocks, B.J.; Cahoon, D.R.; Davidenko, E.P.; Ivanova, G.A. Determining effects of area burned and fire severity on carbon cycling and emissions in Siberia. Clim. Chang. 2002, 55, 197–211. [Google Scholar] [CrossRef]
- Shvidenko, A.Z.; Schepaschenko, D.G. Climate Change and Wildfires in Russia. Contemp. Probl. Ecol. 2013, 6, 50–61. [Google Scholar] [CrossRef]
- Federal State Statistics Service. Available online: http://www.gks.ru (accessed on 29 February 2016).
- Forkel, M.; Thonicke, K.; Beer, C.; Cramer, W.; Bartalev, S.; Schmullius, C. Extreme fire events are related to previous-year surface moisture conditions in permafrost-underlain larch forests of Siberia. Environ. Res. Lett. 2012, 7, 1–9. [Google Scholar] [CrossRef]
- Kharuk, V.I.; Ranson, K.J.; Dvinskaya, M.L.; Im, S.T. Wildfires in northern Siberian larch dominated communities. Environ. Res. Lett. 2011, 6, 1–7. [Google Scholar] [CrossRef]
- Krylov, A.; McCarty, J.L.; Potapov, P.; Loboda, T.; Tyukavina, A.; Turubanova, S.; Hansen, M.C. Remote sensing estimates of stand-replacement fires in Russia, 2002–2011. Environ. Res. Lett. 2014, 9, 1–8. [Google Scholar] [CrossRef]
- Gauthier, S.; Bernier, P.; Kuuluvainen, T.; Shvidenko, A.Z.; Schepaschenko, D.G. Boreal Forest Health and Global Change. Science 2015, 349, 819–822. [Google Scholar] [CrossRef] [PubMed]
- Goldammer, J.G.; Stocks, B.J.; Sukhinin, A.I.; Ponomarev, E.I. Current Fire Regimes, Impacts and the Likely Changes-II: Forest Fires in Russia–Past and Current Trends. In Vegetation Fires and Global Change: Challenges for Concerted International Action: A White Paper Directed to the United Nations and International Organizations; Goldammer, J.G., Ed.; Global Fire Monitoring Center (GFMC)/Kessel Publishing House: Eifelweg, Germany, 2013; pp. 51–79. [Google Scholar]
- Bartsch, A.; Balzter, H.; George, C. The influence of regional surface soil moisture anomalies on forest fires in Siberia observed from satellites. Environ. Res. Lett. 2009, 4, 1–9. [Google Scholar] [CrossRef]
- Ponomarev, E.I.; Kharuk, V.I. Wildfire Occurrence in Forests of the Altai–Sayan Region under Current Climate Changes. Contemp. Probl. Ecol. 2016, 9, 29–36. [Google Scholar] [CrossRef]
- Bartalev, S.A.; Egorov, V.A.; Ershov, D.V.; Isaev, A.S.; Loupian, E.A.; Plotnikov, D.E.; Uvarov, I.A. Satellite mapping of vegetation in Russia using MODIS spectroradiometer data. Mod. Problems Remote Sens. Earth Sp. 2011, 8, 285–302. (In Russian) [Google Scholar]
- Loboda, T.V.; Csiszar, I.A. Estimating Burned Area from AVHRR and MODIS: Validation Results and Sources of Error. In Proceedings of the 2nd Open All-Russia Conference: Current Aspects of Remote Sensing of Earth from Space, Moscow, Russia, 16–18 November 2004; Space Research Institute: Moscow, Russia, 2004; pp. 415–421. [Google Scholar]
- Ponomarev, E.I.; Shvetsov, E.G. Satellite detection of forest fires and geoinformation methods of results calibrating. Stud. Earth from Sp. 2015, 1, 84–91. (In Russian) [Google Scholar] [CrossRef]
- Harris, I.; Jones, P.D.; Osborn, T.J.; Lister, D.H. Updated high-resolution grids of monthly climatic observations—The CRU TS3.10 Dataset. Int. J. Climatology 2014, 34, 623–642. [Google Scholar] [CrossRef]
- Climatic Research Unit. Available online: http://www.cru.uea.ac.uk (accessed on 29 February 2016).
- SPEI Global Drought Monitor. Available online: http://sac.csic.es/spei/map/maps.html (accessed on 29 February 2016).
- Vicente-Serrano, S.M.; Beguería, S.; López-Moreno, J.I. A Multi-scalar drought index sensitive to global warming: The Standardized Precipitation Evapotranspiration Index–SPEI. J. Climate 2010, 23, 1696–1718. [Google Scholar] [CrossRef]
- The Solar Radiation and Climate of the Earth. Available online: http://www.solar-climate.com (accessed on 29 February 2016).
- Kharuk, V.I.; Ranson, K.J.; Dvinskaya, M.L. Wildfires dynamic in the larch dominance zone. Geophys. Res. Lett. 2008, 35, 1–5. [Google Scholar] [CrossRef]
- Kharuk, V.I.; Ranson, K.J.; Dvinskaya, M.L. Fire return intervals within the northern boundary of the larch forest in Central Siberia. Int. J. Wildland Fire 2013, 22, 207–211. [Google Scholar] [CrossRef]
- Kovacs, K.; Ranson, K.J.; Sun, G.; Kharuk, V.I. The relationship of the Terra MODIS fire product and anthropogenic features in the Central Siberian landscape. Earth Interactions 2004, 8, 1–25. [Google Scholar] [CrossRef]
- De Groot, W.J.; Cantin, A.S.; Flannigan, M.D.; Soja, A.J.; Gowman, L.M.; Newbery, A. A comparison of Canadian and Russian boreal forest fire regimes. For. Ecol. Manag. 2013, 294, 23–34. [Google Scholar] [CrossRef]
- Girardin, M.P.; Ali, A.A.; Carcaillet, C.; Mudelsee, M.; Drobyshev, I.; Hely, C.; Bergeron, Y. Heterogeneous response of circumboreal wildfire risk to climate change since the early 1900s. Glob. Chang. Biol. 2009, 15, 2751–2769. [Google Scholar] [CrossRef]
- Flannigan, M.; Cantin, A.S.; de Groot, W.J.; Wotton, M.; Newbery, A.; Gowman, L.M. Global wildland fire season severity in the 21st century. For. Ecol. Manag. 2013, 294, 54–61. [Google Scholar] [CrossRef]






© 2016 by the authors; licensee MDPI, Basel, Switzerland. This article is an open access article distributed under the terms and conditions of the Creative Commons Attribution (CC-BY) license (http://creativecommons.org/licenses/by/4.0/).
Share and Cite
Ponomarev, E.I.; Kharuk, V.I.; Ranson, K.J. Wildfires Dynamics in Siberian Larch Forests. Forests 2016, 7, 125. https://doi.org/10.3390/f7060125
Ponomarev EI, Kharuk VI, Ranson KJ. Wildfires Dynamics in Siberian Larch Forests. Forests. 2016; 7(6):125. https://doi.org/10.3390/f7060125
Chicago/Turabian StylePonomarev, Evgenii I., Viacheslav I. Kharuk, and Kenneth J. Ranson. 2016. "Wildfires Dynamics in Siberian Larch Forests" Forests 7, no. 6: 125. https://doi.org/10.3390/f7060125
APA StylePonomarev, E. I., Kharuk, V. I., & Ranson, K. J. (2016). Wildfires Dynamics in Siberian Larch Forests. Forests, 7(6), 125. https://doi.org/10.3390/f7060125

