Next Article in Journal
Aboveground Biomass of Glossy Buckthorn is Similar in Open and Understory Environments but Architectural Strategy Differs
Next Article in Special Issue
Residual Long-Term Effects of Forest Fertilization on Tree Growth and Nitrogen Turnover in Boreal Forest
Previous Article in Journal
Taking Stock of Carbon Rights in REDD+ Candidate Countries: Concept Meets Reality
Previous Article in Special Issue
Influence of Tree Spacing on Soil Nitrogen Mineralization and Availability in Hybrid Poplar Plantations
 
 
Font Type:
Arial Georgia Verdana
Font Size:
Aa Aa Aa
Line Spacing:
Column Width:
Background:
Article

Mid-Rotation Silviculture Timing Influences Nitrogen Mineralization of Loblolly Pine Plantations in the Mid-South USA

1
Hill Farm Research Station, Louisiana State University Agricultural Center, Homer, LA 71040, USA
2
Southern Research Station, USDA Forest Service, P.O. Box 1927, Normal, AL 35762, USA
*
Author to whom correspondence should be addressed.
Forests 2015, 6(4), 1061-1082; https://doi.org/10.3390/f6041061
Submission received: 3 February 2015 / Revised: 15 March 2015 / Accepted: 30 March 2015 / Published: 8 April 2015
(This article belongs to the Special Issue Nitrogen and Phosphorus Nutrition of Trees and Forests)

Abstract

:
Intensively managed loblolly pine (Pinus taeda L.) plantations often develop nutrient deficiencies near mid-rotation. Common silvicultural treatments for improving stand nutrition at this stage include thinning, fertilization, and vegetation control. It is important to better understand the influence of timing fertilization and vegetation control in relation to thinning as part of improving the efficiency of these practices. The objective of this study was to determine the effects of fertilization and vegetation control conducted within a year prior to thinning and within a year after thinning on soil N supply in mid-rotation loblolly pine plantations on a gradient of soil textures. Net N mineralization (Nmin) and exchangeable N were measured monthly. Fertilization increased annual Nmin at all sites irrespective of timing relative to thinning, with the increase more pronounced when combined with vegetation control. This finding suggests some management flexibility in the timing of mid-rotation fertilization relative to thinning for increasing soil N supply. However, the site with the highest total soil N and the lowest C:N ratio was more prone to NO3-N increases after fertilization conducted pre- and post-thinning. At all sites, fertilization with vegetation control promoted increases in NO3-N when done after thinning, which may indicate that this practice increased soil N supply to levels that exceeded stand N demand.

1. Introduction

As intensively managed loblolly pine plantations in the southeastern United States approach mid-rotation, stand nutrient demand increases and soil nutrient supply decreases [1,2]. To synchronize nutrient supply with plant demand, increase leaf area, and improve productivity, plantations are often fertilized, typically after thinning [3,4,5]. Nitrogen is typically the limiting nutrient in these plantations at this stage because it is needed in relatively high quantities for photosynthesis, carbohydrate assimilation, and foliage growth [6]. Herbicides are also sometimes applied at this stage to control competing vegetation and improve site resource availability for the crop tree [7]. Further improvement of loblolly pine production efficiency via mid-rotation silviculture will likely require more than simply increasing resource inputs; silvicultural practices that better manage the interactions among crop trees, non-crop vegetation, soil properties, and applied nutrients will likely be necessary [8]. Altering the timing of fertilization and vegetation control treatments relative to mid-rotation thinning is one potential method of influencing resource use efficiency. Fertilizing mid-rotation stands prior to thinning may promote higher stand-level fertilizer uptake, which could in turn reduce risks of N leaching on well-drained soils and denitrification on poorly drained soils. With pre-thinning fertilization, nutrient levels of fertilized trees remaining after thinning may be elevated, which could enable trees to more rapidly exploit increased growing space. However, increased intraspecific competition in stands at canopy closure can temper response to fertilization, with loblolly pine stands generally exhibiting declining potential response to fertilization as they approach basal areas greater than 35 m2·ha−1 [8].
A vital component of understanding loblolly pine plantation response to timing of fertilization relative to thinning is observing its effects on soil N supply. Soil N supply has been defined as net N mineralization [9]. Fertilization of mid-rotation loblolly pine plantations can increase N mineralization [2,10]. Non-crop vegetation suppression can likewise increase N mineralization in mid-rotation loblolly pine plantations, particularly when combined with fertilization [2]. Nitrogen mineralization rates may be relatively high in the year of thinning because stand conditions could be similar to those of complete harvesting, with increased radiation to the forest floor and decreased inputs of soluble organic C because of tree harvesting. Such conditions have been shown to result in relatively high N mineralization in the initial years of loblolly pine plantations following clearcuts [11].
Microbial biomass and activity are closely associated with soil N mineralization, and they are affected by fertilization and vegetation control in forests [12]. As such, it is appropriate to explore these variables in tandem with soil N mineralization trends. Fertilization can lead to a “priming effect” in which microbial N immobilization potential is reduced, leading to increases in N mineralization that lead to increases in soil N availability beyond that applied in fertilizer [9]. Microbial biomass and activity increased [13], decreased [14], or had no response [15] to forest fertilization in previous studies. Combining non-crop vegetation control with fertilization reduced microbial biomass and activity to a greater extent than to fertilization alone in a juvenile loblolly pine plantation, which was attributed to reduction in labile C sources for microbes due to vegetation control [16].
The influence of altering the timing of fertilization and vegetation control relative to thinning at mid-rotation loblolly pine plantations on soil N dynamics and its associated microbial parameters is relatively unstudied. Accordingly, the objectives of this study were to determine the effects of fertilization and vegetation control conducted within a year prior to thinning and within a year after thinning on soil N mineralization, exchangeable N, soil microbial biomass C, and dehydrogenase activity in mid-rotation loblolly pine plantations on a gradient of soil textures in the mid-South USA. Study sites were selected along a gradient of soil textures because soil texture influences nutrient cycling; mineral particle size distribution can affect organic matter retention, N mineralization, microbial biomass, and other soil properties [17].

2. Materials and Methods

2.1. Study Sites

In September and October 2003, three study sites were established in mid-rotation loblolly pine plantations in north central and southwest Louisiana. The sites were selected for their similarities in age and management history and the range of soil drainage classes they provided (Table 1). All sites had chop and burn site preparation; the Oakdale site had been fertilized with 50 kg·N·ha−1 and 56 kg·P·ha−1 as diammonium phosphate in 1997.
Table 1. Location, stand age and basal area in 2003, and U.S. Department of Agriculture (USDA) Natural Resource Conservation Service soil type classification of study sites established in loblolly pine plantations in north central and southwest Louisiana, USA.
Table 1. Location, stand age and basal area in 2003, and U.S. Department of Agriculture (USDA) Natural Resource Conservation Service soil type classification of study sites established in loblolly pine plantations in north central and southwest Louisiana, USA.
Nearest TownGeographic CoordinatesStand Age (Years)Stand Basal Area (m2·ha−1)Soil Type
Dodson32.0727° N, 92.6697° W1323.5Bowie (moderately well-drained, fine-loamy, siliceous, thermic Plinthic Paleudult)
Lucky32.3029° N, 92.9240° W1219.9Betis (excessively-drained, sandy siliceous, thermic Lamellic Paleudult)
Oakdale30.8164° N, 92.6914° W1520.5Caddo (poorly-drained, fine-silty, siliceous, thermic Typic Glossaqualf)
Understory and mid-story of the sites at the initiation of the study were dominated by hardwood tree species at the Dodson and Lucky sites and shrub species at the Oakdale site [7]. Red maple (Acer rubrum L.) and sweetgum (Liquidambar styraciflua L.) were frequently observed species at the Dodson and Lucky sites. Southern red oak (Quercus falcata Michx.) was present in high numbers at the Lucky site. The most common understory and mid-story species at the Oakdale site were yaupon holly (Ilex vomitoria Sol. Ex Aiton), wax myrtle (Morella cerifera L. (Small)), and Chinese tallow tree (Triadica sebifera L.).

2.2. Study Design and Treatments

Study design was a randomized complete block with soil texture differences to a 40-cm depth used as a blocking factor at each site. Experimental units were 0.1-ha plots, and all treatment combinations were replicated three times at each study site. Plots were separated by at least 13 m to insure independence of treatments. Measurement zones were established within the central 0.08 ha of each plot. Blocks, which contained one replicate of each treatment combination and buffer spaces between plots, were 1 ha in size.
Treatments conducted in this study were: (1) no fertilization or herbicide (CONTROL), (2) fertilization (FERT), and (3) fertilization and vegetation suppression (FERTVS). The FERT and FERTVS treatments were conducted prior to thinning or after thinning to separate sets of plots. The CONTROL treatment was applied to plots observed in pre-thin and post-thin condition, i.e., the same CONTROL plots were observed pre- and post-thinning. The pre-thin FERT and FERTVS plots were sampled in only the year prior to thinning, and the post-thin FERT and FERTVS plots were observed in only the year after thinning. There were three replications for each treatment. With this treatment structure there were three CONTROL plots, three pre-thin FERT plots, three post-thin FERT plots, three pre-thin FERTVS plots, and three post-thin FERTVS plots.
Fertilization was conducted pre-thin in April 2004 and post-thin in April 2005. A mixture of urea and diammonium phosphate supplying 135 kg·N and 13 kg·P·ha−1 was applied using shoulder-mounted spreaders. Fertilizer was applied at each site within one week of predicted rainfall in order to minimize variability in the dissolution of granules [18].
Non-crop vegetation suppression treatments (herbicides) were applied as part of the FERTVS treatments by backpack sprayers in March 2004 (pre-thin) and March 2005 (post-thin). A 20% solution of triclopyr mixed with diesel as a penetrant was applied as a basal bark spray to suppress hardwood saplings and shrubs. A 5% solution of glyphosate mixed with water was used to suppress herbaceous vegetation and hardwood sprouts. These herbicide mixtures were re-applied as necessary for the remainder of each year in order to prevent regrowth of competing vegetation. Understory biomass was reduced by 95.4, 51.4, and 71.4% at the Dodson, Lucky, and Oakdale sites, respectively, in the FERTVS treatment relative to the CONTROL and FERT treatments [7].
Thinning was conducted operationally using feller-bunchers and skidders in October 2004 for the Dodson and Oakdale sites and in November 2004 for the Lucky site. Thinning was conducted as a fifth-row removal thinning from below at each site, with crown biomass returned to down rows as conventionally conducted in operational thinning. Crown biomass was separated from boles by gate de-limber at the logging deck, and skidders were used to transport and deposit the crown biomass along down rows as the skidders returned into the stand to continue tree felling. A target residual density of 494 trees·ha−1 was created for each plot by selecting and marking residual trees after down rows were cut in the plantations. Residual trees were selected on the basis of dominant or codominant height and DBH, good form, and spacing. Spacing between trees within rows was approximately 6 m, although this spacing varied depending on availability of trees of appropriate height, DBH, and form within 6 m of each tree. After marking residual trees between down rows, the areas between down rows were thinned by feller-bunchers. Achieved average residual densities at the Dodson, Lucky, and Oakdale sites were 421, 420, and 466 trees·ha−1, respectively. Post-thinning basal areas were respectively 11.2, 8.5, and 8.9 m2·ha−1 for the Dodson, Lucky, and Oakdale sites.

2.3. Nitrogen Mineralization and Exchangeable N

Net N mineralization (Nmin) was measured using the in situ buried bag method [19] as described for a sweetgum (Liquidambar styraciflua L.) plantation by Scott et al. [9]. Soil samples for Nmin were collected to a depth of 20 cm using punch augers at two randomly located subsample points within the central 0.08 ha of each plot. Sampling occurred every four to six weeks, with the six-week incubation durations occurring in fall and winter months from January 2004 through November 2005. For each sample period, two composite samples were taken at each sample point. Each composite sample was comprised of three punch auger samples; organic matter was removed from the soil surface immediately prior to sampling. One composite sample at each sample point was used for in situ incubation, and the other was used for pre-incubation analysis. Each composited sample for incubation was used to fill sterile 14 cm × 23 cm sampling bags with round-wire closure. The bags had a 0.08 mm thickness to allow gas exchange while retaining moisture. After bags were filled with soil, any surface organic matter was moved aside and a small hole was dug to a depth of 20 cm in the center of the three sampling points used to create the composite sample. The incubation bag was then placed in the hole, and any surface organic matter was replaced. Samples were incubated until the subsequent sample period. All pre- and post-incubation samples were stored in a cooler for transport to the laboratory, and the samples were then air-dried to constant weight and sieved to pass a 2 mm mesh for preparation of extraction of NH4+-N and NO3-N to be used for determination of Nmin. Soil NH4+-N and NO3-N were extracted using a 2 M solution of KCl at a 10:1 ratio of solution to soil [20]. Concentrations of NH4+-N and NO3-N were quantified by the microdiffusion-conductivity method [21] using a Bran Luebbe AutoAnalyzer 3 (SPX Equipment, Delavan, WI, USA).
Net N mineralization was calculated as the difference in mineral N (mg·N·kg−1 soil) following incubation and prior to incubation (NH4-N + NO3-N)t+1 − (NH4-N + NO3-N)t [22]. The Nmin rates for each incubation period were adjusted to a one-month (30-day) basis by dividing net Nmin by the number of days in the incubation period and then multiplying by 30. Annual Nmin was estimated by summing Nmin measurements for all incubation periods for each plot, dividing by the total days of incubation for the year, and then multiplying by 365. Bulk density samples were collected to a 20-cm depth in all plots with a 5-cm diameter soil core sampler in spring 2004, and these measurements were used to convert annualized Nmin to a kg·ha−1 basis.
The NH4-N and NO3-N concentrations of the pre-incubation bags were used to determine changes in exchangeable N within and between the years of this study. In addition to NH4-N and NO3-N concentrations, total exchangeable N was assessed as the sum of NH4-N and NO3-N. The ratio of NO3-N to total exchangeable N was calculated for the pre-incubation bag samples as well.

2.4. Soil Microbial Biomass C, Dehydrogenase Activity

Soil samples used for assays of soil microbial biomass C (Cmic) and microbial activity were collected to a 20 cm depth with punch augers. Sampling for these assays was conducted in tandem with some dates at which Nmin samples were collected using sampling and compositing protocol similar to that described above for Nmin. In 2004, soil samples for which Cmic and microbial activity assays were conducted were collected in April, May, July, and September. In 2005, samples for which Cmic was assayed were collected monthly from March through September. Microbial activity assays were also conducted for the May, June, and September 2005 soil samples. All samples were refrigerated at 5 °C until analyses, which was initiated within 14 days of sampling.
The chloroform fumigation-incubation method was used to determine Cmic [23,24]. A 10-day pre-incubation was carried out prior to fumigation of soil samples in order to allow the influence of soil disturbance to subside and living fragments of roots to die [25,26]. Microbial biomass C was determined by fumigating soil samples with alcohol-free CHCl3 vapor for 24 h, incubating soil samples at 25 °C for 10 days, collecting respired CO2 in 2 M NaOH, measuring CO2-C by titration of the NaOH with 0.1 N HCl, and using a proportionality constant of 0.45 to convert CO2-C to Cmic after subtracting the CO2-C produced by a non-fumigated control [23,24]. All results are expressed on an oven-dry soil basis (105 °C, 24 h).
Microbial activity was estimated by determining dehydrogenase activity [27,28]. Dehydrogenase, which is only active in viable living cells, serves as an indicator of total microbial metabolic activity [29,30]. To quantify dehydrogenase, triphenyltetrazolium chloride (TTC) was used as an artificial electron acceptor. Dehydrogenase reduces TTC to red-colored triphenyl formazan (TPF) that can be extracted with methanol and quantified colorimetrically [29]. Results are expressed as μg TPF kg−1 soil on an oven-dry soil basis (105 °C, 24 h).

2.5. Soil Labile C

Labile C was measured using the sequential fumigation-incubation procedure [31] for soil samples collected in September 2005 as described above for Cmic. The September sample was selected for this assay because above- and below-ground plant biomass is near its seasonal peak at that time. Soil samples were fumigated with alcohol-free CHCl3 vapor for 24 h, and respired CO2 was measured as described above for the chloroform fumigation-incubation method for Cmic measurement for a series of eight 10-day fumigation-incubation cycles. The method is based on the assumption that soil labile C is decayed during these cycles according to the negative exponential equation as widely reported in plant decomposition studies, so labile C was estimated from CO2 measurements using a first-order kinetics model [31].

2.6. Soil Carbon and Nitrogen

In April 2005, five (for the Lucky site) and six (for the Dodson and Oakdale sites) months after thinning, soil samples were collected from all plots to characterize C and N concentrations of surface soil. Ten samples were randomly sampled in the central 0.08 ha of each plot to a 20 cm depth using punch augers; the ten samples were composited for each plot. Organic matter was removed from the soil surface prior to sampling. Carbon and nitrogen concentrations were measured by combustion using a LECO CNS 2000 analyzer (Leco, Inc., St. Joseph, MI, USA).

2.7. Soil Temperature and Volumetric Water Content

Soil temperature and volumetric water content (VWC) measurements in the top 20 cm of soil were collected concurrently with all soil sampling for soil N and microbial assays using a K-type thermocouple thermometer (Hanna Instruments, Inc., Woonsocket, RI, USA) and a TDR 200 time-domain reflectometry probe (Spectrum Technologies, Inc., Paxinos, PA, USA), respectively. Soil temperature and water content was measured within 10 cm of all samples collected for soil N and microbial assays.

2.8. Environmental Conditions

Precipitation and temperature trends for the regions in which all study sites were located were obtained from the Historical Climate Trends Tool of the Southern Climate Impacts Planning Program (SCIPP) [32]. This database facilitates comparison of average monthly precipitation and temperature trends relative to long-term (1971–2000) average trends for each month. The Lucky and Dodson sites were in the North Central Louisiana SCIPP climate region, and the Oakdale site was in the Southwest Louisiana SCIPP climate region.

2.9. Statistical Analysis

All treatment effects were analyzed for variance (ANOVA) at α = 0.05 using the MIXED procedure of the SAS System (SAS Institute, Inc., Cary, NC, USA). When the null model likelihood ratio test revealed heterogeneous variances in a dataset, the GROUP option of MIXED was utilized to perform ANOVA using different variances for all treatment combinations. When an ANOVA indicated significant treatment effects, treatment means were calculated and separated by the DIFF and SLICE options of the LSMEANS procedure. The DIFF option provided multiple comparisons of treatment means by invoking t-tests to determine significant differences between all possible treatment combinations. The SLICE option provided t-tests of treatment means in which the effect of one treatment is evaluated at each level of another treatment. The SLICE option was used to investigate treatment main effects when significant two-way interactions were observed.
Models used in analyses of parameters measured in this study differed depending on sampling frequency. Analyses of Nmin, NH4-N, NO3-N, total exchangeable N, ratio of NO3-N to total exchangeable N, soil volumetric water content, and soil temperature were each performed with a model that included these parameters as a dependent variable and block, treatment, sampling date, and the interaction of treatment and date as independent variables. All independent variables were considered fixed effects. The model was a repeated measures model with an autoregressive correlation structure. These analyses were performed by site and year because of differences in sampling dates for each site and year. There were two numerator degrees of freedom for block and treatment associated with the model for all sites and both years. Due to sampling date differences for each site and year, there were differences in date and treatment × date numerator degrees of freedom associated with the model. For the Dodson and Oakdale sites in 2004 there were seven numerator degrees of freedom and 14 numerator degrees of freedom for date and treatment × date, respectively. For the Lucky site in 2004, the model was associated with six numerator degrees of freedom for date and 12 numerator degrees of freedom for treatment × date. For the Lucky and Oakdale sites in 2005, the model was associated with eight numerator degrees of freedom for date and 16 numerator degrees of freedom for treatment × date. The model had nine and 18 numerator degrees of freedom, respectively, for date and treatment × date for the Dodson site in 2005.
Microbial biomass C and dehydrogenase activity were sampled at the same dates for each site within both years of the study, but there were differences in the number of sampling dates between 2004 and 2005. As such, analyses of these parameters were performed by year. The model used in analyses included Cmic and dehydrogenase as dependent variables and block, treatment, site, sampling date, and all possible interactions of treatment, site, and sampling date as independent variables. All independent variables were fixed effects. The model was a repeated measures model with an autoregressive correlation structure. For Cmic and dehydrogenase in both years, numerator degrees of freedom associated with the model were two, two, two, and four for block, site, treatment, and site × treatment, respectively. For Cmic and dehydrogenase activity in 2004, numerator degrees of freedom associated with the model were six, six, and 12 for site × sampling date, treatment × sampling date, and site × sampling date × treatment, respectively. There were eight, eight, and 16 numerator degrees of freedom associated with site × sampling date, treatment × sampling date, and site × sampling date × treatment, respectively, for the model for Cmic in 2005. For dehydrogenase activity in 2005 there were four, four, and eight numerator degrees of freedom for site × month, treatment × sampling date, and site × sampling date × treatment, respectively, associated with the model.
Annualized Nmin was measured over the same sample period for each site in both years of the study. As such, the model used in its analysis included annualized Nmin as a dependent variable and block, site, treatment, year, and all possible interactions between site, treatment, and year as independent variables. All independent variables were fixed effects, and the model was a repeated measures model with an autoregressive correlation structure. Block, site, treatment, site × year, and treatment × year were each associated with two numerator degrees of freedom in analysis. Site × treatment and site × treatment × year were each associated with four numerator degrees of freedom, and year was associated with one numerator degree of freedom in analysis.
Labile C, soil C concentrations, soil N concentrations, and soil C:N ratios were each measured a single time at each site in this study. The model used in their analyses therefore included block, site, treatment, and site × treatment as independent variables, which were all fixed effects. For labile C (which was sampled only in CONTROL and post-thin FERT and FERTVS plots), block, site, and treatment each had two numerator degrees of freedom in analysis, and site × treatment had four numerator degrees of freedom. For C, N, and C:N ratios (which was sampled post-thinning in all plots) block and site each had two numerator degrees of freedom in analysis, treatment had four numerator degrees of freedom, and site × treatment had eight numerator degrees of freedom.
To provide greater insight into how thinning affected Nmin, exchangeable N, Cmic, dehydrogenase activity, soil temperature, and soil moisture, cross-year comparisons were performed using data from CONTROL plots. CONTROL plot data from common sample dates for 2004 and 2005 of all sites were pooled. Analyses were performed using a repeated measures model with an autoregressive correlation structure that included block, site, year, and the interaction of site and year as fixed effects. Block, site, and site × year each had two numerator degrees of freedom in analysis, and year was associated with one numerator degree of freedom.
Correlations among Nmin, volumetric soil moisture, and soil temperature were quantified for each site using the PROC CORR procedure of the SAS System, which produced Pearson correlation coefficients and the probabilities associated with these statistics. For each site, correlations were also determined between Nmin, Cmic, and dehydrogenase activity for months in which all variables were measured.

3. Results

3.1. Environmental and Edaphic Conditions

Temperature trends for the regions of Louisiana in which the study sites were located were similar to 30-year trends in both years of the study. In both regions, 2004 precipitation exceeded the 30-year average by approximately 25% whereas precipitation for 2005 was 40 to 50% below the 30-year average. Deviations from the long-term trend were greatest in mid-summer and fall each year, with 2004 precipitation higher than the 30-year average and 2005 precipitation lower than the 30-year average during these months.
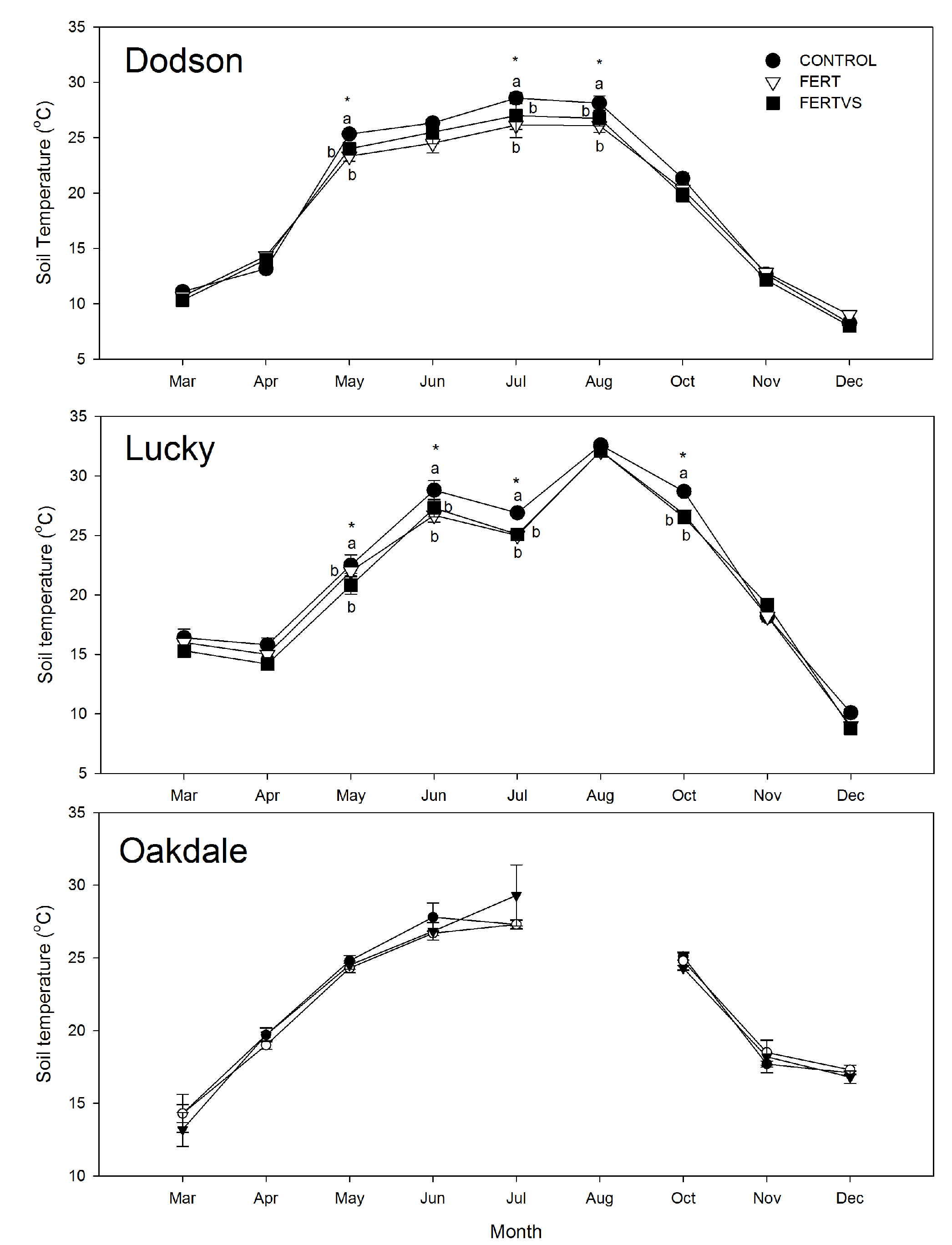
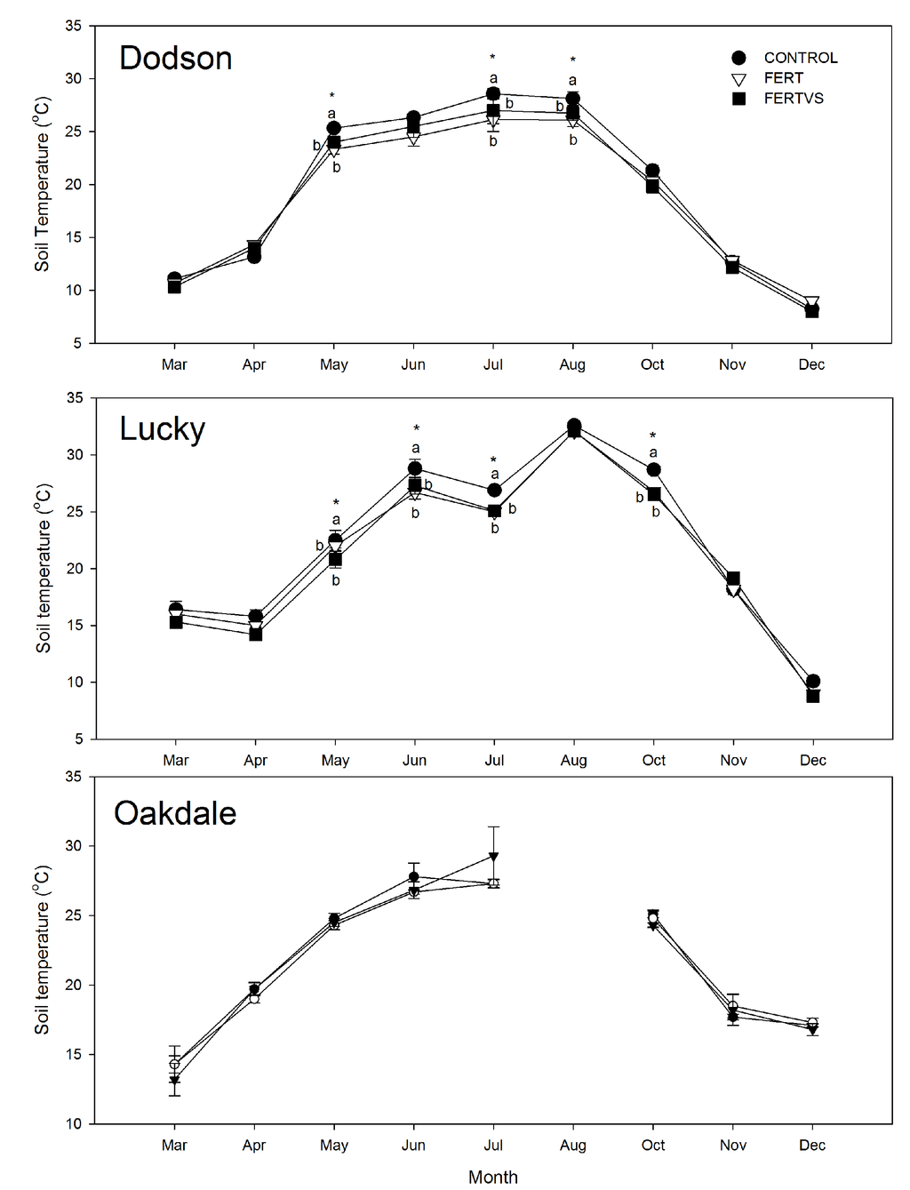
Soil temperature was similar among treatments at all sites prior to thinning in 2004. After thinning, the CONTROL treatment soils were about 2–3 °C warmer than soils in the FERT and FERTVS treatments throughout most of the summer and early autumn at the Dodson (P = 0.001) and Lucky sites (P = 0.002) (Figure 1). Soil temperatures were similar (P = 0.88) among all treatments at Oakdale. In the cross-year comparison of CONTROL plot data, across all sites soil temperature was significantly (P = 0.03) warmer (2–3 °C) in the CONTROL plots post-thinning than pre-thinning.
Figure 1. Monthly soil temperature in 2005 in thinned mid-rotation plantations (identified by the name of the nearest city) in north central (Dodson, Lucky) and southwest (Oakdale) Louisiana, USA, in response to no fertilization or herbicide (CONTROL), fertilization (FERT), and fertilization and vegetation suppression (FERTVS) treatments. The plantations were thinned in October and November 2004. For months headed by an asterisk, symbols noted by different letters differ at P < 0.05.
Figure 1. Monthly soil temperature in 2005 in thinned mid-rotation plantations (identified by the name of the nearest city) in north central (Dodson, Lucky) and southwest (Oakdale) Louisiana, USA, in response to no fertilization or herbicide (CONTROL), fertilization (FERT), and fertilization and vegetation suppression (FERTVS) treatments. The plantations were thinned in October and November 2004. For months headed by an asterisk, symbols noted by different letters differ at P < 0.05.
Forests 06 01061 g001
Fertilized soils were generally drier at the Dodson and Lucky sites but unaffected at the Oakdale site. In 2004, there was a significant (P = 0.01) treatment effect at the Lucky site, at which VWC of the CONTROL treatment (mean 11.5% v/v) was 40% wetter than that of the FERT (mean 6.4% v/v) and FERTVS (mean 7.7% v/v) treatments. Similarly, the CONTROL soils at Dodson were wetter than the FERT and FERTVS treatments in 2004, but only significantly in March and December (i.e., there was a significant (P = 0.04) treatment × date interaction). At the Dodson site in 2005 there was a significant (P = 0.03) treatment effect; the CONTROL (mean 16.9% v/v) and FERTVS (mean 17.2% v/v) treatments had greater VWC than the FERT (mean 13.5% v/v) treatment. On average, soils were the wettest at Oakdale (25.1% v/v), moderate at Dodson (18.9% v/v), and driest at Lucky (12.0% v/v).

3.2. Nitrogen Mineralization and Exchangeable N

Monthly Nmin differed among treatments at one or more sites in both years of the study (Figure 2). At Dodson in 2004, Nmin in the FERTVS soils was more than twice that of the CONTROL and FERT soils (P = 0.04). No differences in monthly Nmin were observed at the Lucky (P = 0.71) and Oakdale (P = 0.57) sites in 2004. In 2005, the FERT and FERTVS treatment soils had nearly double the average monthly Nmin than the CONTROL treatment soils at the Dodson (P = 0.02) and Oakdale (P = 0.02) sites. No differences (P = 0.66) in monthly Nmin among treatments were observed at the Lucky site in 2005.
Figure 2. Average monthly N mineralization of non-thinned and thinned mid-rotation loblolly pine plantations in north central (Dodson, Lucky) and southwest Louisiana (Oakdale), USA, in response to no fertilization or herbicide (CONTROL), fertilization (FERT), and fertilization and vegetation suppression (FERTVS) treatments. Plantations were thinned in October and November 2004. For each site and year, columns headed by a different letter differ at P < 0.05.
Figure 2. Average monthly N mineralization of non-thinned and thinned mid-rotation loblolly pine plantations in north central (Dodson, Lucky) and southwest Louisiana (Oakdale), USA, in response to no fertilization or herbicide (CONTROL), fertilization (FERT), and fertilization and vegetation suppression (FERTVS) treatments. Plantations were thinned in October and November 2004. For each site and year, columns headed by a different letter differ at P < 0.05.
Forests 06 01061 g002
Across all sites and years of the study, FERT (mean 113.5 kg·ha−1·year−1) and FERTVS (mean 146.3 kg·ha−1·year−1) treatments had greater annualized Nmin than the CONTROL (mean 81.1 kg·ha−1·year−1) treatment; annualized Nmin of the FERTVS treatment was also greater than that of the FERT treatment (P = 0.004). Annualized Nmin was similar (P = 0.98) among sites. Across all sites, annual Nmin significantly differed (P < 0.0001) between years of the study, with annual Nmin nearly twice as high after thinning (mean 142.3 kg·ha−1·year−1) as prior to thinning (mean 85.0 kg·ha−1·year−1).
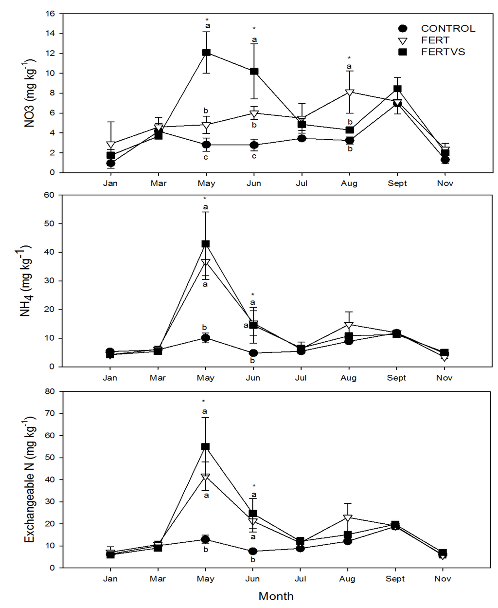
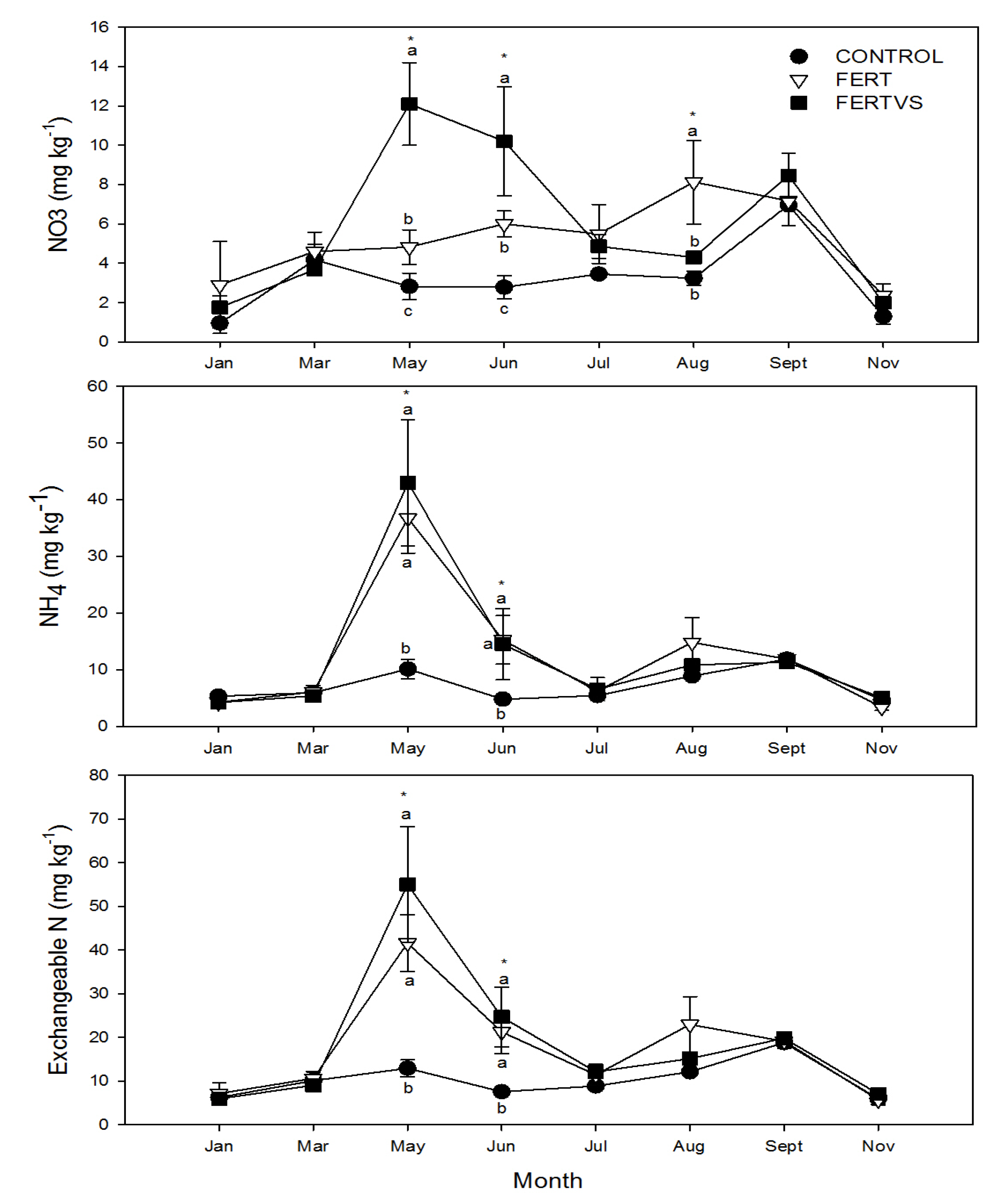
Soil NO3-N concentrations were different among treatments at one site or more in both years of the study. Concentrations of NO3-N differed at only the Oakdale site in 2004, for which there was a significant (P = 0.004) treatment × date interaction (Figure 3). Soil NO3-N concentrations were greater for FERTVS treatment than the other treatments in May, June, and August. The FERT treatment had greater NO3-N than that of the CONTROL treatment in May and June. A significant treatment × date effect (P = 0.01) was also observed for the Oakdale site for 2005 (Figure 4). In 2005, NO3-N of the FERTVS treatment exceeded that of the CONTROL and FERT treatments in all months observed after April. The FERT treatment had greater NO3-N concentrations than the CONTROL treatment in all months observed after April. Significant treatment effects were found for the Dodson (P = 0.0003) and Lucky (P = 0.004) sites in analyses of NO3-N for 2005 (Table 2). At the Dodson site the FERTVS treatment had the highest NO3-N concentrations, and the FERT treatment had greater NO3-N concentrations than the CONTROL treatment. The FERT and FERTVS treatments had greater NO3-N concentrations than the CONTROL treatment at the Lucky site.
Figure 3. Monthly NO3-N, NH4-N, and total exchangeable N concentrations of a non-thinned mid-rotation loblolly pine plantation in 2004 at the Oakdale site in southwest Louisiana, USA, in response to no fertilization or herbicide (CONTROL), fertilization (FERT), and fertilization and vegetation suppression (FERTVS) treatments. For months headed by an asterisk, symbols noted by different letters differ at P < 0.05.
Figure 3. Monthly NO3-N, NH4-N, and total exchangeable N concentrations of a non-thinned mid-rotation loblolly pine plantation in 2004 at the Oakdale site in southwest Louisiana, USA, in response to no fertilization or herbicide (CONTROL), fertilization (FERT), and fertilization and vegetation suppression (FERTVS) treatments. For months headed by an asterisk, symbols noted by different letters differ at P < 0.05.
Forests 06 01061 g003
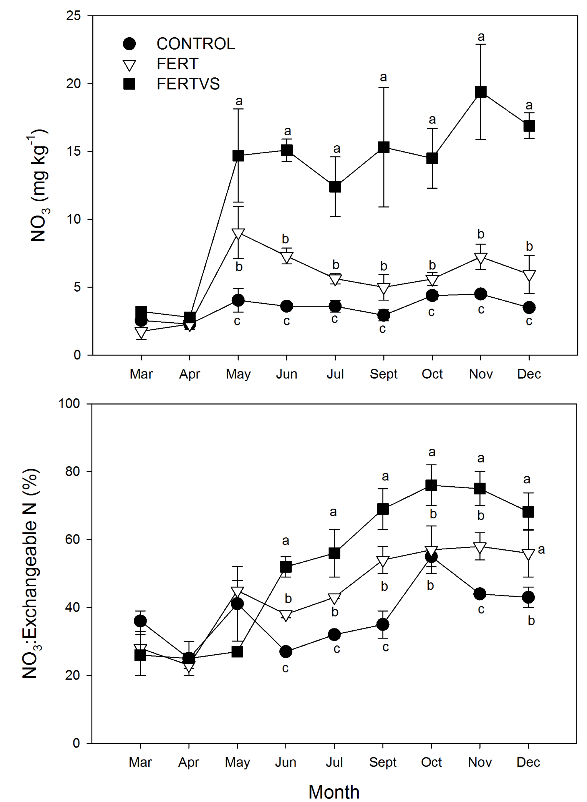
Figure 4. Monthly NO3-N concentrations and ratios of NO3 to total exchangeable N of a thinned mid-rotation loblolly pine plantation in 2005 at the Oakdale site in southwest Louisiana, USA, in response to no fertilization or herbicide (CONTROL), fertilization (FERT), and fertilization and vegetation suppression (FERTVS) treatments. For months headed by an asterisk, symbols noted by different letters differ at P < 0.05.
Figure 4. Monthly NO3-N concentrations and ratios of NO3 to total exchangeable N of a thinned mid-rotation loblolly pine plantation in 2005 at the Oakdale site in southwest Louisiana, USA, in response to no fertilization or herbicide (CONTROL), fertilization (FERT), and fertilization and vegetation suppression (FERTVS) treatments. For months headed by an asterisk, symbols noted by different letters differ at P < 0.05.
Forests 06 01061 g004
Table 2. Soil exchangeable N of thinned mid-rotation loblolly pine plantations in 2004 and 2005 in north central (Dodson, Lucky) and southwest Louisiana (Oakdale), USA in response to no fertilization or herbicide (CONTROL), fertilization (FERT), and fertilization and vegetation suppression (FERTVS) treatments. Means within a row followed by a different letter differ at P < 0.05; rows in which no letters are provided had a significant interaction between treatment and another parameter in analyses of variance. Values in parentheses are standard errors.
Table 2. Soil exchangeable N of thinned mid-rotation loblolly pine plantations in 2004 and 2005 in north central (Dodson, Lucky) and southwest Louisiana (Oakdale), USA in response to no fertilization or herbicide (CONTROL), fertilization (FERT), and fertilization and vegetation suppression (FERTVS) treatments. Means within a row followed by a different letter differ at P < 0.05; rows in which no letters are provided had a significant interaction between treatment and another parameter in analyses of variance. Values in parentheses are standard errors.
Exchangeable NYearSiteTreatment
CONTROLFERTFERTVS
NO3-N (mg·kg−1)2004Dodson3.4 (0.6) a3.7 (0.7) a3.9 (0.8) a
Lucky2.5 (0.3) a2.9 (0.5) a2.5 (0.3) a
Oakdale3.2 (0.4)5.2 (0.6)5.7 (0.8)
2005Dodson3.3 (0.2) c4.4 (0.4) b8.4 (0.8) a
Lucky2.9 (0.1) b4.2 (0.4) a5.6 (0.6) a
Oakdale10.0 (0.6)12.5 (1.0)22.2 (1.8)
NH4-N (mg·kg−1)2004Dodson5.4 (0.6) a7.3 (1.3) a7.1 (1.3) a
Lucky6.5 (1.5)16.5 (6.9)11.0 (3.0)
Oakdale7.3 (0.7)11.9 (2.2)11.1 (2.5)
2005Dodson7.6 (1.0) b11.5 (2.5) ab12.7 (1.5) a
Lucky5.6 (0.6)8.3 (1.3)8.5 (1.4)
Oakdale6.6 (0.6) c7.0 (0.8) b9.5 (1.1) a
Total exchangeable N (mg·kg−1)2004Dodson8.8 (1.0) a10.9 (1.7) a11.0 (1.8) a
Lucky9.0 (1.7)19.4 (7.0)13.4 (3.1)
Oakdale10.5 (1.0)17.1 (2.4)16.8 (3.1)
2005Dodson10.9 (1.0) b15.9 (2.7) ab21.0 (1.8) a
Lucky8.6 (0.6)12.5 (1.4)14.1 (1.7)
Oakdale10.0 (0.7) c12.5 (1.0) b22.2 (1.8) a
NO3: total exchangeable N (%)2004Dodson37.9 (2.9) a35.6 (2.9) a35.7 (2.8) a
Lucky33.9 (2.2) a28.4 (3.9) a27.3 (3.0) a
Oakdale28.8 (2.3) a34.9 (2.8) a36.3 (2.9) a
2005Dodson35.5 (2.6)36.3 (2.6)42.5 (3.2)
Lucky37.0 (2.4) b37.5 (2.1) b43.3 (2.4) a
Oakdale35.8 (1.9)44.2 (2.9)54.8 (3.8)
Ratios of NO3-N to total exchangeable N were different among treatments in both years at the Oakdale site and at the Lucky site in 2005. There was a significant treatment effect for the Oakdale site in 2004, with the FERT (mean 34.0%) and FERTVS (mean 35.0%) treatments had a higher (P = 0.04) NO3:exchangeable N ratio than the CONTROL treatment (mean 29.7%). In 2005, there was a significant treatment × date effect (P = 0.01) for the Oakdale site (Figure 4). In all months observed after May, the FERTVS treatment had a higher ratio than the CONTROL. The FERTVS treatment also had a higher ratio than the FERT treatment in all months observed between June and November except October. The FERT treatment had a greater NO3:exchangeable N ratio than the CONTROL treatment in June, July, September, and November. At the Lucky site there was a significant treatment effect (P = 0.02), with the FERTVS treatment having a higher ratio than the FERT and CONTROL treatments (Table 2).
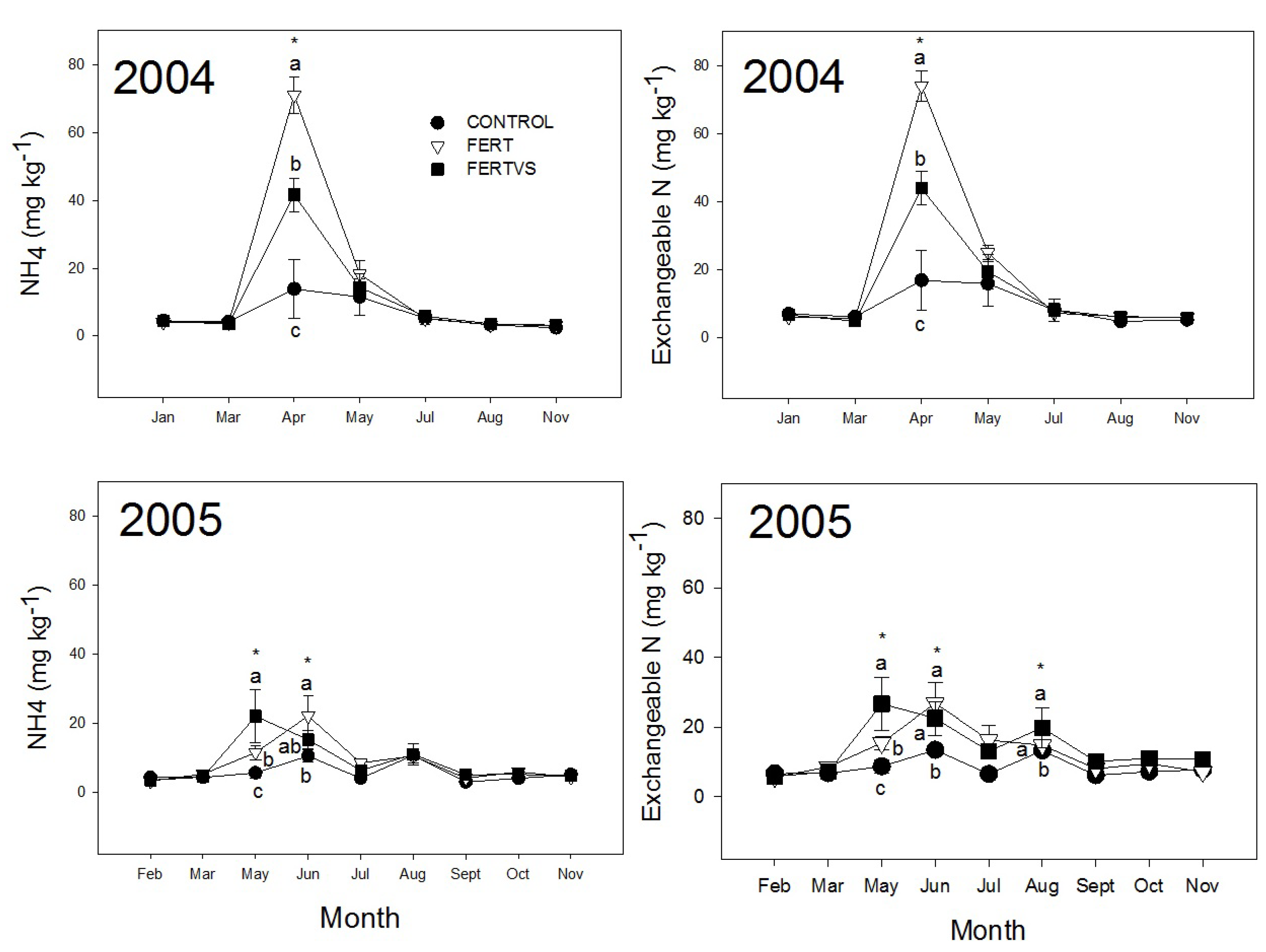
In 2004, there were significant treatment × date interactions for the Oakdale (P < 0.0001) and Lucky (P < 0.0001) sites in analyses of NH4-N (Figure 3 and Figure 5). At Oakdale, the FERT and FERTVS treatments had greater NH4-N concentrations than the CONTROL treatment in May and June (Figure 3). At the Lucky site differences were observed among treatments in only April, in which the FERT treatment had NH4-N concentrations that exceeded those of the CONTROL and FERTVS treatments (Figure 5). Soil NH4-N concentrations of the FERTVS treatment were significantly greater than those of the CONTROL treatment in that month as well.
Figure 5. Monthly NH4-N and total exchangeable N concentrations of a mid-rotation loblolly pine plantation at the Lucky site in north central Louisiana, USA, that was thinned in November 2004 in response to no fertilization or herbicide (CONTROL), fertilization (FERT), and fertilization and vegetation suppression (FERTVS) treatments. For months headed by an asterisk, symbols noted by different letters differ at P < 0.05.
Figure 5. Monthly NH4-N and total exchangeable N concentrations of a mid-rotation loblolly pine plantation at the Lucky site in north central Louisiana, USA, that was thinned in November 2004 in response to no fertilization or herbicide (CONTROL), fertilization (FERT), and fertilization and vegetation suppression (FERTVS) treatments. For months headed by an asterisk, symbols noted by different letters differ at P < 0.05.
Forests 06 01061 g005
Soil NH4-N concentrations differed among treatments at all sites in 2005. The treatment effect was significant for the Dodson (P = 0.003) and Oakdale (P = 0.03) sites (Table 2), and the treatment × date interaction was significant (P = 0.03) for the Lucky site (Figure 5). At the Dodson site, the FERTVS treatment had greater NH4-N concentrations than the CONTROL treatment (Table 2). At the Oakdale site, NH4-N concentrations of the FERTVS treatment were higher than those of the other two treatments and NH4-N of the FERT treatment greater than that of the CONTROL treatment (Table 2). This treatment ranking was also observed for the Lucky site in May, and in June the FERTVS treatment had greater NH4-N than the CONTROL treatment (Figure 5).
Significant treatment × date interactions were observed in analyses of total exchangeable N for the Lucky (P < 0.0001) and Oakdale (P < 0.0001) sites for 2004 (Figure 3 and Figure 5). At the Lucky site, treatments differed as described above for NH4-N of 2004 (Figure 5). Differences among treatments were similarly identical to those described above for NH4-N of 2004 at the Oakdale site (Figure 3).
For the Dodson (P = 0.0002) and Oakdale (P < 0.0001) sites, significant treatment effects were found in analyses of total exchangeable N for 2005 (Table 2). Total exchangeable N differences among treatments at both sites were identical to those described above for NH4-N. At the Lucky site there was a significant (P = 0.03) treatment × date interaction (Figure 5). In May the FERTVS treatment had greater total exchangeable N than the CONTROL and FERT treatments, and total exchangeable N of the FERT treatment exceeded that of the CONTROL treatment. In June and August the FERT and FERTVS treatments had greater total exchangeable N than the CONTROL treatment.
All exchangeable N variables differed between years in the CONTROL treatment (Table 3). Soil NO3-N concentrations of 2005 were greater (P = 0.002) than those of 2004 across all sites. Sites differed (P = 0.03) in NO3-N concentrations across years in the CONTROL treatment as well, with the Oakdale site (mean 5.6 mg·kg−1) having greater NO3-N concentrations than the Lucky site (mean 3.4 mg·kg−1). Total exchangeable N in 2005 was greater (P = 0.005) than that of 2004 across all sites (Table 3). The Dodson (mean 14.1 mg·kg−1) and Oakdale (mean 15.1 mg·kg−1) sites had total exchangeable N concentrations across years greater (P = 0.04) than those of the Lucky site (mean 11.1 mg·kg−1). The site × year interaction was significant in analyses of NH4-N (P = 0.0001) and the NO3: exchangeable N ratio (P = 0.002). At the Dodson site NH4-N concentrations of 2005 were greater than those of 2004, but an opposite trend was observed for NH4-N of the Oakdale site, with concentrations of 2004 exceeding those of 2005. The NO3:exchangeable N ratio was different at only the Oakdale site between years in the CONTROL treatment. At that site, the ratio was greater for 2005 than 2004.
Table 3. Exchangeable N in 2004 and 2005 of mid-rotation loblolly pine plantations in north central (Dodson, Lucky) and southwest Louisiana (Oakdale) in CONTROL treatment of no fertilizer or herbicide. Plantations were thinned in October and November 2004. For each site, means within a row followed by a different letter differ at P < 0.05. All values except NO3:exchangeable N ratio are in mg·kg−1.
Table 3. Exchangeable N in 2004 and 2005 of mid-rotation loblolly pine plantations in north central (Dodson, Lucky) and southwest Louisiana (Oakdale) in CONTROL treatment of no fertilizer or herbicide. Plantations were thinned in October and November 2004. For each site, means within a row followed by a different letter differ at P < 0.05. All values except NO3:exchangeable N ratio are in mg·kg−1.
Site
DodsonLuckyOakdale
200420052004200520042005
NO3-N3.9 b5.3 a2.5 b4.2 a4.1 b7.2 a
NH4-N6.5 b12.4 a6.7 a8.5 a11.0 a7.6 b
Total exchangeable N10.6 b17.5 a9.3 b12.8 a15.0 b15.1 a
NO3:exchangeable N0.40 a0.36 a0.33 a0.37 a0.34 b0.47 a

3.3. Soil Microbial Biomass C, Dehydrogenase Activity, and Labile C

Overall, soil microbial biomass C and dehydrogenase activity were relatively unaffected by site, treatment, or year. In only April 2004 (P = 0.0004), the FERT (mean 443.5 mg·kg−1) and FERTVS (mean 464.8 mg·kg−1) treatments had greater Cmic than the CONTROL treatment (mean 373.1 mg·kg−1). The FERT (mean 30.1 mg·kg−1) and FERTVS (mean 37.8 mg·kg−1) treatments had greater (P = 0.003) dehydrogenase activity than the CONTROL treatment (mean 13.6 mg·kg−1) in only April 2004 as well. Monthly average Cmic ranged from 126.9 to 460.8 mg·kg−1 over the years of the study, and monthly average dehydrogenase activity ranged from 13.4 to 77.1 mg·kg−1.
The site × treatment interaction was significant (P = 0.02) for the labile C analysis (Table 4). The CONTROL treatment had 6 and 10% greater labile C than the FERTVS treatment at the Dodson and Lucky sites, respectively. At the Oakdale site the FERTVS soils had about 6% greater labile C than the CONTROL and FERT soils.
Table 4. Labile C (mg·kg−1) of thinned mid-rotation loblolly pine plantations during 2005 in north central (Dodson, Lucky) and southwest Louisiana (Oakdale), USA in response to no fertilization or herbicide (CONTROL), fertilization (FERT), and fertilization and vegetation suppression (FERTVS) treatments. Means within a row followed by a different letter differ at P < 0.05; values in parentheses are standard errors.
Table 4. Labile C (mg·kg−1) of thinned mid-rotation loblolly pine plantations during 2005 in north central (Dodson, Lucky) and southwest Louisiana (Oakdale), USA in response to no fertilization or herbicide (CONTROL), fertilization (FERT), and fertilization and vegetation suppression (FERTVS) treatments. Means within a row followed by a different letter differ at P < 0.05; values in parentheses are standard errors.
SiteCONTROLFERTFERTVS
Dodson6.23 (0.07) a6.18 (0.31) ab5.88 (0.05) b
Lucky6.33 (0.09) a6.16 (0.14) ab5.78 (0.13) b
Oakdale5.97 (0.14) b5.89 (0.08) b6.30 (0.05) a

3.4. Soil C and N

No differences were observed among treatments in soil C, N, and C:N ratios, but differences (P = 0.04, 0.0002, <0.0001, respectively) were observed among sites for each of these parameters (Table 5). The Dodson site had higher C concentrations than the Oakdale site. The Oakdale site had greater N concentrations than both other sites, and the Dodson site had greater N concentrations than the Lucky site. The Lucky site had the highest C:N ratio of the sites, while the Oakdale site had the lowest C:N ratio.
Table 5. Soil C and N concentrations and C:N ratios of thinned mid-rotation loblolly pine plantations in 2005 in north central (Dodson, Lucky) and southwest Louisiana (Oakdale), USA. Means within a row differ at P < 0.05; values in parentheses are standard errors.
Table 5. Soil C and N concentrations and C:N ratios of thinned mid-rotation loblolly pine plantations in 2005 in north central (Dodson, Lucky) and southwest Louisiana (Oakdale), USA. Means within a row differ at P < 0.05; values in parentheses are standard errors.
Site
Soil AttributeDodsonLuckyOakdale
C (mg·kg−1)13,138 (676) a12,153 (813) ab10,554 (676) b
N (mg·kg−1)557 (23) b465 (29) c658 (23) a
C:N ratio23.5 (0.66) b26.5 (0.79) a16.1 (0.66) c

3.5. Correlations

Monthly Nmin was significantly positively correlated (r = 0.18, P = 0.03) with soil temperature. Soil Nmin, Cmic, and dehydrogenase activity were uncorrelated. Microbial biomass C was significantly positively correlated (r = 0.21, P < 0.0001) with VWC and negatively correlated (r = −0.21, P < 0.0001) with soil temperature. Dehydrogenase activity was positively correlated with soil temperature (r = 0.33, P < 0.0001) and Cmic (r = 0.19, P = 0.002).

4. Discussion

This study yielded Nmin values within the range reported in previous studies of loblolly pine that used similar buried bag procedures. The 81 kg·ha−1 annual Nmin mean of the CONTROL treatment in this study was similar to the 75 kg·ha−1 annual Nmin reported for a 7-year-old loblolly pine plantation in Florida, USA on sandy loam soil [33]. The 81 to 146 kg·ha−1 annual Nmin range of this study was somewhat higher than the 22 to 96 kg·ha−1 annual Nmin range for a 14-year-old loblolly pine plantation in North Carolina, USA on a highly weathered, eroded clay loam receiving fertilizer and herbicide [2]. Across sites and years, annual Nmin in this study was 6%, 8%, and 10% of total N measured in spring 2005 for the CONTROL, FERT, and FERTVS treatments, respectively. These proportions of annual Nmin to total N are slightly higher than the 2%, 3%, and 6% for control, fertilizer, and fertilizer with herbicide treatments, respectively, conducted in a non-thinned 14-year-old loblolly pine plantation in North Carolina, USA [2]. However, proportions of annual Nmin to total N of pre-thin CONTROL, FERT, and FERTVS treatments in this study were closer to those of the North Carolina loblolly pine plantation [2], respectively averaging 4%, 6%, and 8% across sites.
Annual Nmin was increased by fertilization and to a greater extent by the combination of fertilization and vegetation control irrespective of timing relative to thinning and across a gradient of soil conditions. These results suggest that annual N supply can be increased by fertilization in the year of application in mid-rotation loblolly pine plantations prior to or after thinning. Increases in Nmin after forest fertilization are well-demonstrated [2,9,10,12], but this study is the first to the authors’ knowledge to show increases in Nmin irrespective of timing relative to thinning. Similar to this study, combination treatments of fertilization and vegetation suppression increased annual Nmin more than fertilization alone when conducted in an unthinned mid-rotation loblolly pine plantation with basal area comparable with that of the stands prior to thinning in this study [2].
The increased annual Nmin in response to FERT and FERTVS treatments suggested that a priming effect occurred, but not all mechanisms conventionally defined for that effect occurred. The priming effect for N has been defined as extra release of soil-derived N in response to substances added to the soil [34]. The increased annual Nmin of the FERT and FERTVS treatments are consistent with this definition. Soil microbes are often directly or indirectly responsible for priming effects, and increases in Nmin after fertilization have been attributed to reduced microbial N immobilization when soil C:N ratios are below 30:1 [9,34]. All sites in this study had C:N ratios below 30:1, but the soil microbial parameters were relatively unaffected by treatments. The soil Cmic and dehydrogenase activity data was variable, so the procedures conducted may not have been sensitive enough to detect changes in soil microbial biomass and activity. There are also priming effect pathways that may function independent of soil microbes [34]. Labile C has been identified as an important parameter affecting the priming effect, particularly in response to forest management treatments such as vegetation control that alter organic matter inputs to soil. Such treatments can reduce labile C, which in turn reduces microbial N immobilization and increases Nmin [35]. The greater annual Nmin of the FERTVS treatment relative to the FERT and CONTROL treatments is consistent with increasing Nmin in response to reducing vegetation C inputs. Labile C was lower for the FERTVS treatment relative to the CONTROL treatment at the Dodson and Lucky sites, but an opposite trend was observed at the Oakdale site. The contrasting trend at Oakdale may have been influenced by its under- and mid-story vegetation. Oakdale had sweetgum (Liquidambar styraciflua L.) greater than 8 cm in diameter as part of the mid-story, and it was resistant to the basal spray of triclopyr used in this study. Multiple applications of triclopyr were required to suppress sweetgum trees of that diameter. Oakdale also had abundant Chinese tallow tree that was resistant to triclopyr basal spray, requiring multiple applications. Chinese tallow tree sprouting also occurred once the mid-story was reduced, and the sprouts were relatively resistant to broadcast glyphosate and directed spray of triclopyr [7]. This herbicide resistance made suppression take several months, which may have affected labile C inputs.
As with fertilization and fertilization with vegetation control, thinning impacted annual Nmin across all site conditions. Thinning nearly doubled annual Nmin across all sites and treatments, although this comparison was made with non-thinned stands receiving higher than average annual precipitation and thinned stands that received lower than average annual precipitation. Studies of loblolly pine harvesting have demonstrated Nmin increases after clearcutting, with Nmin increases attributed to increased soil temperatures after harvest as well as mixing of organic matter with mineral soil during harvest [36,37]. Recently thinning was shown to increase Nmin of Cryptomeria japonica forests, with Nmin increases related to increases in soil temperature [38]. This study similarly observed that soil temperature was significantly increased by 2–3 °C after thinning across all sites and treatments. Soil temperature was also positively correlated with Nmin.
Although annual Nmin trends were similar across years and sites, monthly patterns in Nmin were more affected by site conditions. Monthly Nmin was relatively variable, which made differences among treatments, if present, difficult to detect. When fertilization was done prior to thinning, only at the Dodson site was a difference in average monthly Nmin observed. At Dodson, a difference in monthly Nmin was found only with the FERTVS treatment. Dodson had the highest understory biomass among all sites prior to thinning [7], which may have tempered the effect of the FERT treatment on monthly Nmin. Average monthly Nmin was increased by fertilization at both the Dodson and Oakdale sites. At each site average monthly Nmin of the FERT and FERTVS treatments were similar; vegetation control may not have been as necessary in the year of thinning to foster increases in monthly Nmin.
Monthly exchangeable N (NH4-N, NO3-N, total exchangeable N) trends were affected by timing of treatments and site conditions. The dominant form of exchangeable N was NH4-N, so total exchangeable N trends were nearly identical to NH4-N trends. Loblolly pine plantation soils are typically characterized by dominance of NH4-N as exchangeable N [39]. Fertilization conducted prior to thinning had little effect on NH4-N and total exchangeable N, with increases occurring only in the two months after fertilization at the two sites with lower soil N, Dodson and Lucky. When fertilization was done after thinning monthly NH4-N and total exchangeable N concentrations increased after fertilization at all sites, but responses were different at each site. At the Lucky site, NH4-N and total exchangeable N increases occurred only in the two months after fertilization. At Dodson, fertilization after thinning consistently increased monthly NH4-N and total exchangeable N, but only when combined with vegetation suppression. Both fertilization treatments increased monthly NH4-N at the Oakdale site, with greater increases occurring when combined with vegetation suppression. This gradient in NH4-N and total exchangeable N increases across the sites was likely related to the gradient in total soil N and C:N ratios of the sites. Total soil N affects N transformations in soil, with transformations occurring more readily in soils with higher total soil N [40]. Nitrogen transformations in soil are also affected by C:N ratios, with transformations occurring more readily in soils with lower C:N ratios [40].
Monthly NO3-N trends were affected by timing of fertilization and site conditions. Changes in monthly NO3-N were relatively low when fertilization was conducted prior to thinning. Only at the Oakdale site were monthly NO3-N concentrations elevated by fertilizer treatments, and the duration of response was the four-month period after application. As mentioned above, the higher soil N and lower C:N ratio of the Oakdale site likely made it more prone to changes in N. Soil NO3-N concentrations similarly increased in response to fertilization and fertilization and vegetation control in an unthinned mid-rotation loblolly pine plantation in North Carolina, USA [39]. Average monthly NO3-N was changed by fertilization at all sites when conducted post-thinning. Both fertilization treatments increased NO3-N at the Lucky site, and the FERTVS treatment increased monthly NO3-N more than the FERT treatment at the Dodson and Oakdale sites.
The increases in NO3-N and the ratio of NO3:total exchangeable N have implications for how the timing of fertilization matched site N demand. Increases in soil NO3-N concentrations after fertilization can be indicative of low plant uptake of applied N [41]. Increases in the proportion of NO3-N in the total exchangeable N pool in soil are also an index of N saturation [12]. The increases in NO3-N and NO3:exchangeable N ratios at the Oakdale site when fertilized before and after thinning suggest that soil N was sufficient for the site to meet stand N demand, particularly after thinning. Foliage nutrient testing determined that foliage N concentrations at the Oakdale site were above critical values [7]. Soil N of the Oakdale site was likely enhanced by the presence of wax myrtle, a N-fixing shrub, in its understory [7]. Wax myrtle added 1.9 kg N·ha−1·year−1 in a slash pine (Pinus elliotti Engelm. var. elliotti) plantation in Florida, USA [42]. The increases in soil NO3-N and the NO3:exchangeable N ratio at the Lucky site and the increases in soil NO3-N at the Dodson in response to FERTVS treatment conducted post-thinning suggest that this treatment exceeded stand N demand. These results show that avoiding fertilization pre- or post-thinning at an N-sufficient site and applying herbicide in the year of thinning and fertilization at the range of site conditions in this study could minimize NO3-N concentration increases, which can help in reducing N leaching loss potential and improving fertilizer use efficiency [33].

5. Conclusions

For the range of site conditions in this study, fertilizing at mid-rotation stimulated increases in annual soil N supply irrespective of timing relative to thinning and the effect was more pronounced when vegetation control was conducted in concert with fertilization. This finding suggests management flexibility in the timing of fertilization at mid-rotation to increase soil N supply. However, site conditions were important considerations for minimizing the potential for NO3-N leaching and matching stand N demand. The site with the highest total soil N and the lowest C:N ratio was more prone to NO3-N increases after fertilization whether done prior to or after thinning. At all sites, combining vegetation suppression with fertilization promoted increases in NO3-N when done after thinning. As such, combining vegetation suppression with fertilization in the year of thinning may have increased soil N supply to levels that exceeded stand N demand.

Acknowledgments

The authors gratefully acknowledge funding from the USDA Agenda 2020 program and the USDA Forest Service, Southern Research Station, the cooperation of Weyerhaeuser NR, International Paper, and Boise, and all research technicians and students that assisted in field and laboratory to make this project possible.

Author Contributions

Michael Blazier led the writing, data analyses, and co-conceived the development of the project; Andrew Scott co-conceived the development of the project, collaborated on the analyses and interpretation of the data and writing; Ryan Coleman conducted much of the field and laboratory procedures and collaborated on the writing and data analyses.

Conflicts of Interest

The authors have no conflict of interest to declare.

References

  1. Allen, H.L.; Dougherty, P.M.; Campbell, R.G. Manipulation of water and nutrients: Practice and opportunity in southern U.S. pine forests. Forest Ecol. Manag. 1990, 30, 437–453. [Google Scholar] [CrossRef]
  2. Gurlevik, N.; Kelting, D.L.; Allen, H.L. Nitrogen mineralization following vegetation control and fertilization in a 14-year-old loblolly pine plantation. Soil Sci. Soc. Am. J. 2004, 68, 272–281. [Google Scholar] [CrossRef]
  3. Dickens, E.D.; Moorhead, D.J.; McElvany, B. Pine plantation fertilization. Better Crops 2003, 87, 12–15. [Google Scholar]
  4. Jokela, E.J. Nutrient management of southern pines. In Slash Pine: Still Growing and Growing; General Technical Report SRS-6; Dickens, E.D., Barnett, J.P., Hubbard, W.G., Jokela, E.J., Eds.; USDA Forest Service, Southern Research Station: Asheville, NC, USA, 2004; pp. 27–35. [Google Scholar]
  5. Albaugh, T.J.; Allen, H.L.; Fox, T.R. Historical patterns of forest fertilization in the southeastern United States from 1969 to 2004. South. J. Appl. For. 2007, 31, 129–137. [Google Scholar]
  6. Zerpa, J.L.; Fox, T.R. Controls of volatile ammonia losses from loblolly pine plantations fertilized with urea in the Southeast USA. Soil Sci. Soc. Am. J. 2011, 75, 257–266. [Google Scholar] [CrossRef]
  7. Blazier, M.A.; Scott, D.A. Nitrogen distribution within the soil-plant-microbial system in response to pre-thinning fertilization treatments in Louisiana. In Proceedings of the 13th Biennial Southern Silvicultural Research Conference, Memphis, TN, USA, 28 February–4 March 2005; Conner, K.F., Ed.; General Technical Report SRS-92. USDA Forest Service, Southern Research Station: Asheville, NC, USA, 2006; pp. 129–134. [Google Scholar]
  8. Jokela, E.J.; Dougherty, P.M.; Martin, T.A. Production dynamics of intensively managed loblolly pine stands in the southern United States: A synthesis of seven long-term experiments. For. Ecol. Manag. 2004, 192, 117–130. [Google Scholar] [CrossRef]
  9. Scott, D.A.; Burger, J.A.; Kaczamarek, D.J.; Kane, M.B. Nitrogen supply and demand in short-rotation sweetgum plantations. For. Ecol. Manag. 2004, 189, 331–343. [Google Scholar] [CrossRef]
  10. Maimone, R.A.; Morris, L.A.; Fox, T.R. Soil nitrogen mineralization potential in a fertilized loblolly pine plantation. Soil Sci. Soc. Am. J. 1991, 55, 522–527. [Google Scholar] [CrossRef]
  11. Li, Q.; Allen, H.L.; Wilson, C.A. Nitrogen mineralization dynamics following the establishment of a loblolly pine plantation. Can. J. For. Res. 2003, 33, 364–374. [Google Scholar] [CrossRef]
  12. Fenn, M.E.; Poth, M.A.; Terry, J.D.; Blubaugh, T.J. Nitrogen mineralization and nitrification in a mixed-conifer forest in southern California: Controlling factors, fluxes, and nitrogen fertilization response at a high and low nitrogen deposition site. Can. J. For. Res. 2005, 35, 1464–1486. [Google Scholar] [CrossRef]
  13. Allen, H.L.; Schlesinger, W.H. Nutrient limitations to soil microbial biomass and activity in loblolly pine forests. Soil Biol. Biochem. 2004, 36, 581–589. [Google Scholar] [CrossRef]
  14. Soderstrom, B.; Baath, E.; Lundgren, B. Decrease in soil microbial activity and biomass owing to nitrogen amendments. Can. J. Microbiol. 1983, 29, 1500–1506. [Google Scholar] [CrossRef]
  15. Thirukkumaran, C.M.; Parkinson, D. Microbial respiration, biomass, metabolic quotient and litter decomposition in a lodgepole pine forest floor amended with nitrogen and phosphorus fertilizers. For. Ecol. Manag. 2002, 159, 187–201. [Google Scholar] [CrossRef]
  16. Blazier, M.A.; Hennessey, T.C.; Deng, S. Effects of fertilization and vegetation control on microbial biomass carbon and dehydrogenase activity in a juvenile loblolly pine plantation. For. Sci. 2005, 51, 449–459. [Google Scholar]
  17. Bechtold, J.S.; Naiman, R.J. Soil texture and nitrogen mineralization potential across a riparian toposequence in a semi-arid savanna. Soil Biol. Biochem. 2006, 38, 1325–1333. [Google Scholar] [CrossRef]
  18. Kissel, D.E.; Cabrera, M.L.; Vaio, N.; Craig, J.R.; Rema, J.A.; Morris, L.A. Rainfall timing and ammonia loss from urea in a loblolly pine plantation. Soil Sci. Soc. Am. J. 2004, 68, 1744–1750. [Google Scholar] [CrossRef]
  19. Eno, C.F. Nitrate production in the field by incubating the soil in polyethylene bags. Soil Sci. Soc. Am. Proc. 1960, 24, 277–279. [Google Scholar] [CrossRef]
  20. Bremner, J.M. Inorganic forms of nitrogen. In Methods of Soil Analysis, Part 2; Black, C.A., Ed.; American Society of Agronomy: Madison, WI, USA, 1965; pp. 1179–1237. [Google Scholar]
  21. Carlson, R.M. Automated separation and conductimetric determination of ammonia and dissolved carbon dioxide. Anal. Chem. 1978, 50, 1528–1531. [Google Scholar] [CrossRef]
  22. Hart, S.C.; Stark, J.M.; Davidson, E.A.; Firestone, M.K. Nitrogen mineralization, immobilization, and nitrification. In Methods of Soil Analysis Part 2, Microbiological and Biochemical Properties; Weaver, R.W., Angele, S., Bottomly, P., Eds.; Soil Science Society of America: Madison, WI, USA, 1994; pp. 985–1018. [Google Scholar]
  23. Jenkinson, D.S.; Powlson, D.S. The effects of biocidal treatments on metabolism in soil-I. Fumigation with chloroform. Soil Biol. Biochem. 1976, 8, 167–177. [Google Scholar] [CrossRef]
  24. Jenkinson, D.S.; Powlson, D.S. The effects of biocidal treatments on metabolism in soil-V. A method for measuring soil biomass. Soil Biol. Biochem. 1976, 8, 209–213. [Google Scholar] [CrossRef]
  25. Sparling, G.P.; West, A.W.; Whale, K.N. Interference from plant roots in the estimation of soil microbial ATP, C, N, and P. Soil Biol. Biochem. 1985, 17, 275–278. [Google Scholar] [CrossRef]
  26. Jenkinson, D.S. Determination of microbial biomass carbon and nitrogen in soil. In Advances in Nitrogen Cycling in Agricultural Ecosystems; Wilson, J.R., Ed.; CAB International: Wallingford, UK, 1988; pp. 368–386. [Google Scholar]
  27. Lenhard, G. The dehydrogenase activity in soil as a measure of the activity of soil microorganisms. Z. Pflanzenernäh Düng Bodenkd 1956, 73, 1–11. [Google Scholar] [CrossRef]
  28. Alef, K. Dehydrogenase activity. In Methods in Applied Soil Microbiology and Biochemistry; Alef, K., Nannipieri, P., Eds.; Academic Press: San Diego, CA, USA, 1995; pp. 228–231. [Google Scholar]
  29. Tabatabai, M.A. Soil enzymes. In Methods of Soil Analysis Part 2: Microbiological and Biochemical Properties; Bigham, J.M., Ed.; Soil Science Society of America Inc.: Madison, WI, USA, 1994; pp. 775–833. [Google Scholar]
  30. Camiña, F.; Trasar-Cepeda, C.; Gil-Sotres, F.; Leirós, C. Measurement of dehydrogenase activity in acid soils rich in organic matter. Soil Biol. Biochem. 1998, 30, 1005–1011. [Google Scholar] [CrossRef]
  31. Zou, X.M.; Ruan, H.H.; Fu, Y.; Yang, X.D.; Sha, L.Q. Estimating soil labile organic carbon and potential turnover rates using a sequential fumigation-incubation procedure. Soil Biol. Biochem. 2005, 37, 1923–1928. [Google Scholar] [CrossRef]
  32. Southern Climate Impacts Planning Program (SCIPP). Historical Climate Trends Tool. Available online: http://www.southernclimate.org/data.php (accessed on 30 December 2014).
  33. Lee, K.; Jose, S. Nitrogen mineralization in short-rotation tree plantations along a soil nitrogen gradient. Can. J. For. Res. 2006, 36, 1236–1242. [Google Scholar] [CrossRef]
  34. Kuzyakov, Y.; Friedel, J.K.; Stahr, K. Review of mechanisms and quantification of priming effects. Soil Biol. Biochem. 2000, 32, 1485–1498. [Google Scholar] [CrossRef]
  35. Allen, H.L. Thirteenth Annual Report; North Carolina State University Forest Nutrition Cooperative: Raleigh, NC, USA, 2001; p. 8. [Google Scholar]
  36. Vitousek, P.M.; Matson, P.A. Disturbance, nitrogen availability, and nitrogen losses in an intensively managed loblolly pine plantation. Ecology 1985, 66, 1360–1376. [Google Scholar] [CrossRef]
  37. Piatek, K.B.; Allen, H.L. Nitrogen mineralization in a pine plantation fifteen years after harvesting and site preparation. Soil Sci. Soc. Am. J. 1999, 63, 990–998. [Google Scholar] [CrossRef]
  38. Zhuang, S.; Wang, J.; Sun, X.; Wang, M. Effect of forest thinning on soil net nitrogen mineralization and nitrification in a Crytomeria japonica plantation in Taiwan. J. For. Res. 2014, 25, 571–578. [Google Scholar] [CrossRef]
  39. Gurlevik, N. Stand and Soil Responses of a Loblolly Pine Plantation to Midrotation Fertilization and Vegetation Control. Ph.D. Thesis, North Carolina State University, Raleigh, NC, USA, January 2002. [Google Scholar]
  40. Knoepp, J.D.; Vose, J.M. Regulation of nitrogen mineralization and nitrification in Southern Appalachian ecosystems: Separating the relative importance of biotic vs. abiotic controls. Pedobiologia 2007, 51, 89–97. [Google Scholar] [CrossRef]
  41. Adeli, A.; Rowe, D.E.; Read, J.J. Effects of soil type on bermudagrass response to broiler litter application. Agron. J. 2006, 98, 148–155. [Google Scholar] [CrossRef]
  42. Permar, T.A.; Fisher, R.F. Nitrogen fixation and accretion by wax myrtle (Myrica cerifera) in slash pine (Pinus elliotti) plantations. For. Ecol. Manag. 1983, 5, 39–46. [Google Scholar] [CrossRef]

Share and Cite

MDPI and ACS Style

Blazier, M.A.; Scott, D.A.; Coleman, R. Mid-Rotation Silviculture Timing Influences Nitrogen Mineralization of Loblolly Pine Plantations in the Mid-South USA. Forests 2015, 6, 1061-1082. https://doi.org/10.3390/f6041061

AMA Style

Blazier MA, Scott DA, Coleman R. Mid-Rotation Silviculture Timing Influences Nitrogen Mineralization of Loblolly Pine Plantations in the Mid-South USA. Forests. 2015; 6(4):1061-1082. https://doi.org/10.3390/f6041061

Chicago/Turabian Style

Blazier, Michael A., D. Andrew Scott, and Ryan Coleman. 2015. "Mid-Rotation Silviculture Timing Influences Nitrogen Mineralization of Loblolly Pine Plantations in the Mid-South USA" Forests 6, no. 4: 1061-1082. https://doi.org/10.3390/f6041061

APA Style

Blazier, M. A., Scott, D. A., & Coleman, R. (2015). Mid-Rotation Silviculture Timing Influences Nitrogen Mineralization of Loblolly Pine Plantations in the Mid-South USA. Forests, 6(4), 1061-1082. https://doi.org/10.3390/f6041061

Article Metrics

Back to TopTop