A 20-Year Overview of Quercus robur L. Mortality and Crown Conditions in Slovenia
Abstract
:1. Introduction
2. Material and Methods
2.1. Plot Description
| Plot | Altitude (m) | Soil | Stand density (No/ha) | Annual average air T (°C) | Annual precipitation (mm) |
|---|---|---|---|---|---|
| A | 154 | Gleysols on Pleistocene clay and loam | 204 | 10.9 | 1138 |
| B | 176 | Gleysols on uncalcareous alluvial sediments | 211 | 11.0 | 990 |
| C | 265 | Gleysols on Pleistocene clay and loam | 237 | 10.7 | 1061 |
| D | 163 | Eutric cambisols on gravel | 241 | 10.6 | 792 |

2.2. Assessment of Crown Conditions

2.3. Data Analysis
3. Results
3.1. Temperature and Precipitation

3.2. Groundwater

3.3. Crown Defoliation vs. Hemispherical Photo Analysis
| Plot parameter | A (Krakovski gozd) | B (Dobrava) | C (Cigonca) | D (Hraščica) | Total | |||||
|---|---|---|---|---|---|---|---|---|---|---|
| Corrected | Regular | Corrected | Regular | Corrected | Regular | Corrected | Regular | Corrected | Regular | |
| Tot. openness | 0.84 | 0.79 | 0.85 | 0.65 | 0.80 | 0.64 | 0.81 | 0.72 | 0.78 | 0.67 |
| ISF (%) | 0.68 | 0.57 | 0.55 | 0.51 | 0.53 | 0.52 | 0.55 | 0.54 | 0.54 | 0.51 |
| LAI (lin) | 0.50 | 0.40 | 0.48 | 0.41 | 0.43 | 0.39 | 0.44 | 0.42 | 0.43 | 0.39 |
| LAI (log) | 0.47 | 0.34 | 0.49 | 0.35 | 0.40 | 0.38 | 0.39 | 0.41 | 0.38 | 0.34 |
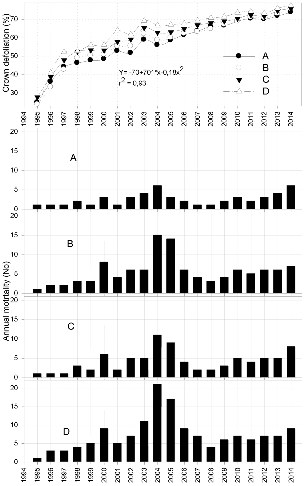
3.4. Crown Defoliation

3.5. Mortality, Groundwater and Climate

| Plot | Total annual precipitation (mm) | Average annual air temperature (°C) | Total precipitation (May–August) (mm) | Average air temperature (May–August) (°C) | Precipitation in June (mm) | Average air temperature in June (°C) |
|---|---|---|---|---|---|---|
| A (Krakovski gozd) | 0.29 | 0.62 | 0.29 | 0.46 | 0.31 | 0.07 |
| B (Dobrava) | 0.29 | 0.53 | 0.33 | 0.43 | 0.29 | 0.08 |
| C (Cigonca) | 0.23 | 0.23 | 0.21 | 0.43 | 0.27 | 0.21 |
| D (Hraščica) | 0.24 | 0.20 | 0.23 | 0.53 | 0.30 | 0.30 |
| Plot | Total annual precipitation (mm) | Average annual air temperature (°C) | Total precipitation (May–August) (mm) | Average air temperature (°C) |
|---|---|---|---|---|
| A (Krakovski gozd) | 0.05 | 0.31 | 0.07 | 0.31 |
| B (Dobrava) | 0.11 | 0.37 | 0.12 | 0.44 |
| C (Cigonca) | 0.25 | 0.50 | 0.25 | 0.51 |
| D (Hraščica) | 0.12 | 0.60 | 0.04 | 0.64 |
4. Discussion
5. Conclusions
Acknowledgement
Conflicts of Interest
References
- Trinajstić, I. Taxonomic problems of pedunculate oak in Croatia. In Pedunculate Oak in Croatia (in Croatian); Croatian Academy of Sciences and Arts: Zagreb, Croatia, 1996; pp. 96–101. [Google Scholar]
- Krahl-Urban, J. Die Eichen. Forstliche Momographie der Traubeneiche und der Stieleiche; Verlag Paul Parey: Hamburg, Berlin, 1996; p. 288. [Google Scholar]
- Leibundgut, H. Unsere Waldbäume; Verlag Paul Haupt: Bern, Stuttgart, 1991; p. 172. [Google Scholar]
- Thomas, F.M.; Blank, R.; Hartmann, G. Abiotic and biotic factors and their interactions as causes of oak decline in Central Europe. For. Pathol. 2002, 32, 277–307. [Google Scholar] [CrossRef]
- Allen, C.D.; Macalady, A.K.; Chenchouni, H.; Bachelet, D.; McDowell, N.; Vennetier, M.; Kitzberger, T.; Rigling, A.; Breshears, D.D.; Hogg, E.H.; et al. A global overview of drought and heat-induced tree mortality reveals emerging climate change risks for forests. For. Ecol. Manag. 2010, 259, 660–684. [Google Scholar]
- Hämmerli, F.; Stadler, B. Eichenschäden, Eine Übersicht zur Situation in Europa und in der Schweiz. Forstwesen 1989, 104, 357–374. [Google Scholar]
- Levanič, T. Effects of hydromelioration on diameter growth and increment of black alder, ash and oak in Slovene Prekmurje. Res. Rep. For. Wood Technol. 1993, 42, 7–65. [Google Scholar]
- Cochard, H.; Breda, N.; Granier, A. Whole tree hydraulic conductance and water loss regulation in Quercus during drought: Evidence for stomatal control of embolism? Ann. Sci. For. 1996, 53, 197–206. [Google Scholar] [CrossRef]
- Triboulot, M.B.; Fauveau, M.L.; Breda, N.; Label, S.; Dreyer, E. Stomatal conductance and xylem-sap abscisic acid (ABA) in adult oak trees during a gradually imposed drought. Ann. Sci. For. 1996, 53, 207–220. [Google Scholar] [CrossRef]
- Tyree, M.T.; Cochard, H. Summer and winter embolism in oak: Impact on water relations. Ann. Sci. For. 1996, 53, 173–180. [Google Scholar] [CrossRef]
- Čater, M. Pedunculate oak (Quercus robur L.) crown defoliation-Changes on permanent research plots. Ekologia (Bratislava) 2003, 22, 430–443. [Google Scholar]
- Čater, M.; Batič, F. Groundwater and light conditions as factors in the survival of pedunculate oak (Quercus robur L.) seedlings. Eur. J. For. Res. 2006, 125, 419–426. [Google Scholar] [CrossRef]
- Führer, E. Der Zusammenhang zwischen der Dürre und der Erkrankung der Traubeneichenbestände in Ungarn. Forstw. Cbl. 1992, 111, 129–136. [Google Scholar] [CrossRef]
- Jung, T.; Blaschke, H.; Oßwald, W. Involvement of soilborne Phytophthora species in Central European oak decline and the effect of site factors on the disease. Plant Pathol. 2000, 49, 706–718. [Google Scholar] [CrossRef]
- Wraber, M. Gozdna vegetacijska slika in gozdnogojitveni problemi Prekmurja. Geografski Vestnik. 1951, 23, 1–22, (In Slovene language). [Google Scholar]
- Čater, M.; Simončič, P.; Batič, F. Pre-dawn water potential and nutritional status of pedunculate oak (Quercus robur L.) in the north-east of Slovenia. Phyton (Horn) 1999, 39, 13–22. [Google Scholar]
- Čater, M. Osmotic adaptation of Quercus robur L. under water stress in stands with different tree density-relation with groundwater table. Dendrobiology 2011, 65, 29–36. [Google Scholar]
- Levanič, T.; Čater, M.; McDowell, N.G. Associations between growth, wood anatomy, carbon isotope discrimination and mortality in a Quercus robur forest. Tree Physiol. 2011, 31, 298–308. [Google Scholar] [CrossRef] [PubMed]
- Solomon, S.; Qin, D.; Manning, M.; Chen, Z.; Marquis, M.; Averyt, K.B.; Tignor, M.; Miller, H.L. Climate Change: The Physical Science Basis. Contribution of Working Group I to the Fourth Assessment Report of the Intergovernmental Panel on Climate Change; Cambridge University Press: Cambridge, United Kingdom, New York, NY, USA, 2007; p. 996. [Google Scholar]
- Macfarlane, C.; Coote, M.; White, D.A.; Adams, M.A. Photographi exposure affects indirect estimation of leaf area in plantations of Eucalyptus globulus. Agric. For. Meteorol. 2000, 100, 155–168. [Google Scholar] [CrossRef]
- Zhang, Y.; Chen, J.M.; Miller, J.R. Determining digital hemispherica photograph exposure for leaf area index estimation. Agric. For. Meteorol. 2005, 133, 166–181. [Google Scholar] [CrossRef]
- Leblanc, S.G.; Chen, J.M.; Fernandes, R.; Deering, D.W.; Conley, A. Methodology comparison for canopy structure parameter extraction from digital hemispherical photography in boreal forests. Agric. For. Meteorol. 2005, 129, 187–207. [Google Scholar] [CrossRef]
- Ishida, M. Automatic thresholding for digital hemispherical photography. Can. J. For. Res. 2004, 34, 2208–2216. [Google Scholar] [CrossRef]
- Čater, M.; Schmid, I.; Kazda, M. Instantaneous and potential radiation effect on underplanted European beech below Norway spruce canopy. Eur. J. For. Res. 2011, 132, 23–32. [Google Scholar] [CrossRef]
- Čater, M. Comparison of light condition parameters on the research plots. Gozdarski vestnik. 2011, 69, 5–6, 289–293. [Google Scholar]
- Slovenian Environment Agency, Ministry of the Environment and Spatial Planning. Available online: http://meteo.arso.gov.si/met/en/ (accessed on 1 January 2015).
- Uhan, J. Količinsko stanje podzemnih voda v Sloveniji. Poročilo o monitoringu v letu 2012. Available online: http://www.arso.gov.si/vode/podzemne%20vode/publikacije%20in%20poro%C4%8Dila/Koli%C4%8Dinsko_stanje_podzemnih_voda_v_Sloveniji_Poro%C4%8Dilo_o_monitoringu_2012_31jul2014.pdf (accessed on 14 November 2014)(Monitoring report In Slovenian language).
- Manojlović, P. Sadašnje stanje hrastovih šuma u Slavoniji. In Pola Stolječa Šumarstva 1876–1926; Hrvatski štamparski zavod d.d.: Zagreb, Croatia, 1926; pp. 372–385. [Google Scholar]
- Donaubauer, E. Recent Oak Decline and Possible Pathogens. In IUFRO-95 Papers and Abstracts, IUFRO XX World Congress, Tampere, Finland, 6–12 August 1995.
- Harapin, M.; Androić, M. Sušenje i zaštita šuma hrasta lužnjaka. In Hrast Lužnjak (Quercus robur L.) u Hrvatskoj; Klepac, D., Ed.; Hrvatska akademija znanosti i umjetnosti: Zagreb, Croatia, 1996; p. 559. [Google Scholar]
- Hartmann, G.; Blank, R.; Lewark, S. Eichensterben in Norddeutschland, Verbreitung, Schadbilder, mögliche Ursachen. (Oak decline in Northern Germany. Distribution, symptoms, probable causes). Forst und Holz. 1989, 44, 475–487. [Google Scholar]
- Näveke, S.; Meyer, F.H. Feinwurzelsysteme unterschiedlich geschädigter Eichen im Lappwald. AFZ. 1990, 45, 382–384. [Google Scholar]
- Comeau, P.G.; Heineman, J.L. Predicting understory light microclimate from stand parameters in young paper birch (Betula papyrifera Marsh.) stands. For. Ecol. Manag. 2003, 180, 303–315. [Google Scholar] [CrossRef]
- Matić, S. Managing forests of pedunculate oak (Quercus robur L.) in changed site conditions. In Forests of Pedunculate Oak in Changed Site and Management Conditions; Croatian Academy of Sciences and Arts: Zagreb, Croatia, 2009; pp. 1–22. [Google Scholar]
- Čavlović, J.; Božić, M.; Teslak, K. Rotation and density in planning the management of Pedunculate oak forests under conditions of a disturbed stand structure. In Forests of Pedunculate Oak in Changed Site and Management Conditions Zagreb; Croatian Academy of Sciences and Arts: Zagreb, Croatia, 2009; pp. 23–37. [Google Scholar]
- Marcu, G. Ursachen des Eichensterbens in Rumänien und Gegenmaßnahmen. Österreichische Forstzeitung. 1987, 3, 53–54. [Google Scholar]
- McDowell, N.G.; Adams, H.D.; Bailey, J.D.; Hess, M.; Kolb, T. Homeostatic maintenance of Ponderosa pine gas exchange in response to stand density changes. Ecol. Appl. 2006, 16, 1164–1182. [Google Scholar] [CrossRef] [PubMed]
© 2015 by the authors; licensee MDPI, Basel, Switzerland. This article is an open access article distributed under the terms and conditions of the Creative Commons Attribution license (http://creativecommons.org/licenses/by/4.0/).
Share and Cite
Čater, M. A 20-Year Overview of Quercus robur L. Mortality and Crown Conditions in Slovenia. Forests 2015, 6, 581-593. https://doi.org/10.3390/f6030581
Čater M. A 20-Year Overview of Quercus robur L. Mortality and Crown Conditions in Slovenia. Forests. 2015; 6(3):581-593. https://doi.org/10.3390/f6030581
Chicago/Turabian StyleČater, Matjaž. 2015. "A 20-Year Overview of Quercus robur L. Mortality and Crown Conditions in Slovenia" Forests 6, no. 3: 581-593. https://doi.org/10.3390/f6030581
APA StyleČater, M. (2015). A 20-Year Overview of Quercus robur L. Mortality and Crown Conditions in Slovenia. Forests, 6(3), 581-593. https://doi.org/10.3390/f6030581

