The Differential Effects of the Blue-Stain Fungus Leptographium qinlingensis on Monoterpenes and Sesquiterpenes in the Stem of Chinese White Pine (Pinus armandi) Saplings
Abstract
:1. Introduction
2. Materials and Methods
2.1. Plant Material
2.2. Culture of L. qinlingensis
2.3. L. qinlingensis Treatments
2.4. Tissue Harvesting
2.5. Analysis of Monoterpene and Sesquiterpenes
2.6. Statistical Analysis
3. Results
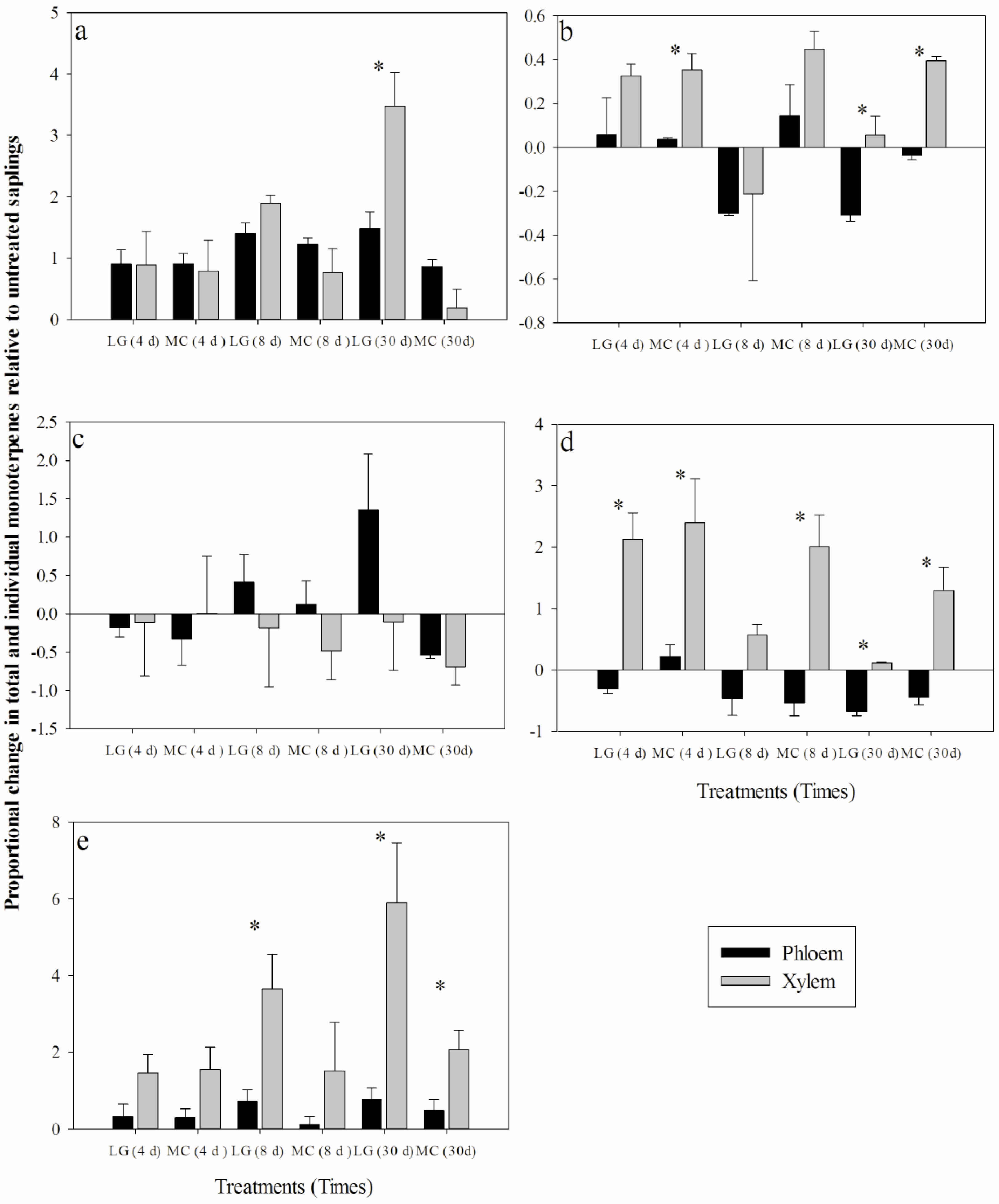
3.1. Effect of L. qinlingensis and Mechanical Wounding on Monoterpenes in the Xylem of the Stem of P. armandi Saplings


3.2. Effect of L. qinlingensis and Mechanical Wounding on Monoterpenes in Phloem of Stem in P. armandi Saplings
| Time Points (days) | Tissue/Terpenoids/Treatments | |||||||||||
|---|---|---|---|---|---|---|---|---|---|---|---|---|
| Phloem | Xylem | |||||||||||
| Total Monoterpenes | Total Sesquiterpenes | Total Monoterpenes | Total Sesquiterpenes | |||||||||
| UT | LG | MC | UT | LG | MC | UT | LG | MC | UT | LG | MC | |
| 4 | bA | aA | aA | bA | aA | aAB | aA | aB | aA | bA | aA | abAB |
| 8 | bA | aA | aA | bA | aA | aA | cA | aB | bA | bA | abA | aA |
| 30 | cA | aA | bA | bA | aA | aB | bA | aA | bA | cA | aA | bcB |

| Time Points (days) | Terpenoids/Treatments | |||||||||||
|---|---|---|---|---|---|---|---|---|---|---|---|---|
| α-Pinene | Bornyl Acetate | limonene + β-Phellandrene | δ-Cadinene | |||||||||
| UT | LG | MC | UT | LG | MC | UT | LG | MC | UT | LG | MC | |
| 4 | bA | aA | aA | bA | aA | aA | bA | aC | aA | aA | aA | aA |
| 8 | cA | bcA | aA | bA | bAB | aA | cA | aBC | bcA | bA | aA | abA |
| 30 | bA | bA | aA | bA | bB | aA | cA | aA | bcA | bA | aA | abA |
3.3. Differential Effects of L. qinlingensis and Mechanical Wounding on Monoterpenes between Phloem and Xylem of Stem in P. armandi Saplings
| Time Points (days) | Terpenoids/Treatments | |||||||||||||||||
|---|---|---|---|---|---|---|---|---|---|---|---|---|---|---|---|---|---|---|
| α-Pinene | β-Pinene | limonene + β-Phellandrene | α-Muurolene | δ-Cadinene | Longifolene | |||||||||||||
| UT | LG | MC | UT | LG | MC | UT | LG | MC | UT | LG | MC | UT | LG | MC | UT | LG | MC | |
| 4 | aA | aB | aB | aA | aB | aAB | aA | aA | aA | bA | aA | aA | cA | bcA | aA | bA | aA | abA |
| 8 | aA | bB | aA | aA | aAB | aA | aA | aA | aA | bA | aA | aA | bA | abA | aB | bA | aA | abA |
| 30 | aA | bA | aB | bA | aA | bB | bA | aA | abA | abA | aA | aA | bA | aA | abB | aA | aA | aA |

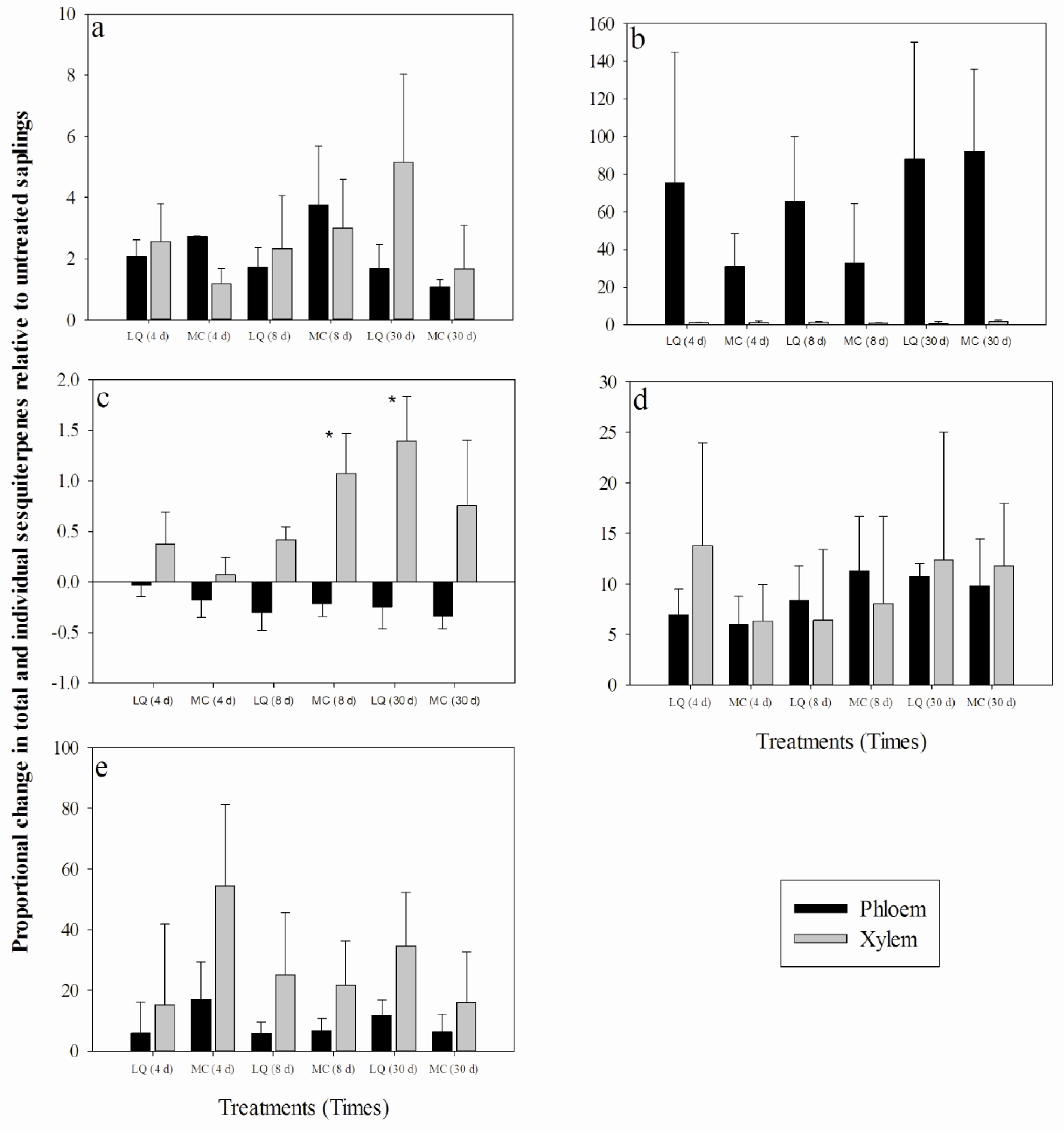
3.4. Effect of L. qinlingensis and Mechanically Wounding on Sesquiterpenes in the Xylem of the Stem in P. armandi Saplings
3.5. Effect of L. qinlingensis and Mechanical Wounding on Sesquiterpenes in Phloem of Stem in P. armandi Saplings
3.6. Differential Effects of L. qinlingensis and Mechanical Wounding on Sesquiterpenes between Phloem and Xylem of Stem in P. armandi Saplings
4. Discussion

5. Conclusions
Acknowledgments
Author Contributions
Conflicts of Interest
References
- Lieutier, F.; Yart, A.; Salle, A. Stimulation of tree defenses by ophiostomatoid fungi can explain attack success of bark beetles on conifers. Ann. For. Sci. 2009, 801, 1–22. [Google Scholar]
- Eyles, A.; Bonello, P.; Ganley, R.; Mohammed, C. Induced resistance to pests and pathogens in trees. New Phytol. 2010, 185, 893–908. [Google Scholar] [CrossRef] [PubMed]
- Franceschi, V.R.; Krokene, P.; Christiansen, E.; Krekling, T. Anatomical and chemical defences of conifer bark beetles and other pests. New Phytol. 2005, 167, 353–375. [Google Scholar] [CrossRef] [PubMed]
- Bohlmann, J.; Croteau, R. Diversity and variability of terpenoid defenses in conifers: Molecular genetics, biochemistry and evolution of the terpene synthase gene family in grand fir (Abies grandis). In Insect Plant Interactions and Induced Plant Defense; Chadwick, D.J., Goode, J.A., Eds.; John Wiley and Sons Ltd.: West Sussex, UK, 1999; pp. 132–146. [Google Scholar]
- Phillips, M.A.; Croteau, R. Resin based defenses in conifers. Trends Plant Sci. 1999, 4, 184–190. [Google Scholar] [CrossRef] [PubMed]
- Martin, D.M.; Tholl, D.; Gershenzon, J.; Bohlmann, J. Methyl jasmonate induces traumatic resin ducts, terpenoid resin biosynthesis, and terpenoid accumulation in developing xylem of Norway spruce stems. Plant Physiol. 2002, 129, 1003–1018. [Google Scholar] [CrossRef] [PubMed]
- Martin, D.M.; Gershenzon, J.; Bohlmann, J. Induction of volatile terpene biosynthesis and diurnal emission by methyl jasmonate in foliage of Norway spruce (Picea abies). Plant Physiol. 2003, 132, 1586–1599. [Google Scholar] [CrossRef] [PubMed]
- Miller, B.; Madilao, L.L.; Ralph, S.; Bohlmann, J. Insect-induced conifer defense: White pine weevil and methyl jasmonate induce traumatic resinosis, de novo formed volatile emissions, and accumulation of terpenoid synthase and octadecanoid pathway transcripts in Sitka spruce. Plant Physiol. 2005, 137, 369–382. [Google Scholar] [CrossRef] [PubMed]
- Zulak, K.G.; Bohlmann, J. Terpenoid biosynthesis and specialized vascular cells of conifer defense. J. Integr. Plant Biol. 2010, 52, 86–97. [Google Scholar] [CrossRef] [PubMed]
- Keeling, C.I.; Bohlmann, J. Genes, enzymes and chemicals of terpenoid diversity in the constitutive and induced defence of conifers against insects and pathogens. New Phytol. 2006, 170, 657–675. [Google Scholar] [CrossRef] [PubMed]
- Keeling, C.I.; Bohlmann, J. Diterpene resin acids in conifers. Phytochemistry 2006, 67, 2415–2423. [Google Scholar] [CrossRef] [PubMed]
- Zeneli, G.; Krokene, P.; Christiansen, E.; Krekling, T.; Gershenzon, J. Methyl jasmonate treatment of mature Norway spruce (Picea abies) trees increases the accumulation of terpenoid resin components and protects against infection by Ceratocystis polonica, a bark beetle-associated fungus. Tree Physiol. 2006, 26, 977–988. [Google Scholar] [CrossRef] [PubMed]
- Keeling, C.I.; Weißhaar, S.; Ralph, S.G.; Jancsik, S.; Hamberger, B.; Dullat, H.K.; Bohlmann, J. Transcriptome mining, functional characterization, and phylogeny of a large terpene synthase gene family in spruce (Picea spp.). BMC Plant Biol. 2011, 11, 43. [Google Scholar] [CrossRef] [PubMed]
- Critchfield, W.B.; Little, E.L. 1966: Geographic Distribution of the Pines of the World; U.S. Department of Agriculture, Forest Service: Washington, DC, USA, 1968; pp. 11–12. [Google Scholar]
- Tang, M.; Chen, H. Effect of symbiotic fungi of Dendroctonus armandi on host trees. Sci. Silv. Sin. 1999, 35, 63–66. [Google Scholar]
- Chen, H.; Tang, M. Spatial and temporal dynamics of bark beetles in Chinese white pine in Qinling Mountains of Shaanxi Province, China. Environment 2007, 5, 1124–1130. [Google Scholar]
- Hu, X.; Wang, C.Y.; Wang, L.; Zhang, R.R.; Chen, H. Influence of temperature, pH and metal ions on guaiacol oxidation of purified laccase from Leptographium qinlingensis. World J. Microbiol. Biotechnol. 2014, 30, 1285–1290. [Google Scholar] [CrossRef] [PubMed]
- Li, X.J.; Gao, J.M.; Chen, H.; Zhang, A.L.; Tang, M. Toxins from a symbiotic fungus, Leptographium qinlingensis associated with Dendroctonus armandi and their in vitro toxicities to Pinus armandi seedling. Eur. J. Plant Pathol. 2012, 134, 239–247. [Google Scholar] [CrossRef]
- Raffa, K.F.; Smalley, E.B. Interaction of pre-attack and induced monoterpene concentrations in host conifer defense against bark beetle-fungal complexes. Oecologia 1995, 102, 285–295. [Google Scholar] [CrossRef]
- Viiri, H.; Annila, E.; Kitunen, V.; Niemelă, P. Induced responses in stilbenes and terpenes in fertilized Norway spruce after inoculation with blue-stained fungus, Ceratocystis polonica. Trees 2001, 15, 112–122. [Google Scholar] [CrossRef]
- Novak, M.; Krajnc, A.U.; Lah, L.; Zupanec, N.; Kraševec, N.; Križman, M.; Bohlmann, J.; Komel, R. Low-density Ceratocystis polonica inoculation of Norway spruce (Picea abies) triggers accumulation of monoterpenes with antifungal properties. Eur. J. For. Res. 2014, 133, 573–583. [Google Scholar] [CrossRef]
- Fäldt, J.; Solheim, H. Influence of fungal infection and wounding on contents and enantiomeric compositions of monoterpenes in phloem of Pinus sylvestris. J. Chem. Ecol. 2006, 32, 1779–1795. [Google Scholar] [CrossRef] [PubMed]
- Jost, R.; Rice, A. Monoterpene emissions from lodgepole and jack pine bark inoculated with mountain pine beetle associated fungi. J. Wood Chem. 2008, 28, 37–46. [Google Scholar] [CrossRef]
- Lusebrink, I.; Evenden, M.L.; Blanchet, F.G.; Cooke, J.E.K.; Erbilgin, N. Effect of water stress and fungal inoculation on monoterpene emission from an historical and a new pine host of the mountain pine beetle. J. Chem. Ecol. 2011, 37, 1013–1026. [Google Scholar] [CrossRef] [PubMed]
- Erbilgin, N.; Colgan, L.J. Differential effects of plant ontogeny and damage type on phloem and foliage monoterpenes in Jack pine (Pinus banksiana). Tree Physiol. 2012, 32, 946–957. [Google Scholar] [CrossRef] [PubMed]
- Wu, H.; Hu, Z. Comparative anatomy of resin ducts of the Pinaceae. Trees 1997, 11, 135–143. [Google Scholar] [CrossRef]
- Krekling, T.; Franceschi, V.R.; Krokene, P.; Solheim, H. Differential anatomical response of Norway spruce stem tissues to sterile and fungus infected inoculations. Trees 2004, 18, 1–9. [Google Scholar] [CrossRef]
- Zhao, W.; Chen, S.P.; Lin, G.H. Compensatory growth responses to clipping defoliation in Leymus chinensis (Poaceae) under nutrient addition and water deficiency conditions. Plant Ecol. 2008, 196, 85–99. [Google Scholar] [CrossRef]
- Vincent, R.; Franceschi, T.K.; Erik, C. Application of methyl jasmonate on Picea abies (Pinaceae) stems induces defense-related responses in phloem and xylem. Am. J. Bot. 2002, 89, 578–586. [Google Scholar] [CrossRef] [PubMed]
- Arrabal, C.; Concepción García-Vallejo, M.; Cadahia, E.; Cortijo, M.; Fernández de Simón, B. Characterization of two chemotypes of Pinus pinaster by their terpene and acid patterns in needles. Plant Syst. Evol. 2012, 298, 511–522. [Google Scholar] [CrossRef]
- Zhao, T.; Krokene, P.; Björklund, N.; Långström, B.; Solheim, H.; Christiansen, E.; Borg-Karlson, A.K. The influence of Ceratocystis polonica inoculation and methyl jasmonate application on terpene chemistry of Norway spruce, Picea abies. Phytochemistry 2010, 71, 1332–1341. [Google Scholar] [CrossRef] [PubMed]
- Cobb, F.W.J.; Krstic, M.; Zavarin, E.; Barber, H.W.J. Inhibitory effects of volatile oleoresin components on Fomes annosus and four Ceratocystis species. Phytopathology 1968, 58, 1327–1335. [Google Scholar]
- Delorme, L.; Lieutier, F. Monoterpene composition of the preformed and induced resins of Scots pine, and their effect on bark beetles and associated fungi. Eur. J. For. Pathol. 1990, 20, 304–316. [Google Scholar] [CrossRef]
- Nebeker, T.E.; Schmitz, R.F.; Tisdale, R.A.; Hobson, K.R. Chemical and nutritional status of dwarf mistletoe, armillaria root rot, and comandra blister rust infected trees which may influence tree susceptibility to bark beetle attack. Can. J. Bot. 1995, 73, 360–369. [Google Scholar] [CrossRef]
- Russell, C.E.; Berryman, A.A. Host resistance to the fir engraver beetle. 1. Monoterpene composition of Abies grandis pitch blisters and fungus-infected wounds. Can. J. Bot. 1976, 54, 14–18. [Google Scholar]
- Raffa, K.F.; Berryman, A.A. Accumulation of monoterpenes and associated volatiles following inoculation of grand fir with a fungus transmitted by the fir engraver, Scolytus ventralis (Coleoptera: Scolytidae). Can. Entomol. 1982, 114, 797–810. [Google Scholar] [CrossRef]
- Suga, T.; Ohtaa, S.; Munesada, K.; Ide, N.; Kurokawa, M.; Shimizu, M.; Ohta, E. Endogenous pine wood nematicidal substances in pines, Pinus massoniana, P. strobus and P. palustris. Phytochemistry 1993, 33, 1395–1401. [Google Scholar] [CrossRef]
- Gershenzon, J. Metabolic costs of terpenoid accumulation in higher plants. J. Chem. Ecol. 1994, 20, 1281–1328. [Google Scholar] [CrossRef] [PubMed]
© 2014 by the authors; licensee MDPI, Basel, Switzerland. This article is an open access article distributed under the terms and conditions of the Creative Commons Attribution license (http://creativecommons.org/licenses/by/4.0/).
Share and Cite
Pham, T.; Chen, H.; Yu, J.; Dai, L.; Zhang, R.; Vu, T.Q.T. The Differential Effects of the Blue-Stain Fungus Leptographium qinlingensis on Monoterpenes and Sesquiterpenes in the Stem of Chinese White Pine (Pinus armandi) Saplings. Forests 2014, 5, 2730-2749. https://doi.org/10.3390/f5112730
Pham T, Chen H, Yu J, Dai L, Zhang R, Vu TQT. The Differential Effects of the Blue-Stain Fungus Leptographium qinlingensis on Monoterpenes and Sesquiterpenes in the Stem of Chinese White Pine (Pinus armandi) Saplings. Forests. 2014; 5(11):2730-2749. https://doi.org/10.3390/f5112730
Chicago/Turabian StylePham, Thanh, Hui Chen, Jiamin Yu, Lulu Dai, Ranran Zhang, and Thi Quynh Trang Vu. 2014. "The Differential Effects of the Blue-Stain Fungus Leptographium qinlingensis on Monoterpenes and Sesquiterpenes in the Stem of Chinese White Pine (Pinus armandi) Saplings" Forests 5, no. 11: 2730-2749. https://doi.org/10.3390/f5112730
APA StylePham, T., Chen, H., Yu, J., Dai, L., Zhang, R., & Vu, T. Q. T. (2014). The Differential Effects of the Blue-Stain Fungus Leptographium qinlingensis on Monoterpenes and Sesquiterpenes in the Stem of Chinese White Pine (Pinus armandi) Saplings. Forests, 5(11), 2730-2749. https://doi.org/10.3390/f5112730
