Next Article in Journal
Conifer Growth Patterns in Primary Succession Locations at Mount St. Helens
Previous Article in Journal
The Economic Potential of Stump Wood as an Energy Resource—A Polish Regional Case Study
 
 
Font Type:
Arial Georgia Verdana
Font Size:
Aa Aa Aa
Line Spacing:
Column Width:
Background:
Article

A Comparative Analysis of SAR and Optical Remote Sensing for Sparse Forest Structure Parameters: A Simulation Study

1
College of Resource Environment and Tourism, Capital Normal University, Beijing 100048, China
2
Resource and Environmental Research Center, Chinese Academy of Fishery Sciences, Beijing 100141, China
3
Engineering Research Center of Spatial Information Technology, Ministry of Education, Beijing 100048, China
*
Author to whom correspondence should be addressed.
Forests 2025, 16(8), 1244; https://doi.org/10.3390/f16081244
Submission received: 27 June 2025 / Revised: 19 July 2025 / Accepted: 25 July 2025 / Published: 29 July 2025
(This article belongs to the Section Forest Inventory, Modeling and Remote Sensing)

Abstract

Forest structure parameters are critical for understanding and managing forest ecosystems, yet sparse forests have received limited attention in previous studies. To address this research gap, this study systematically evaluates and compares the sensitivity of active Synthetic Aperture Radar (SAR) and passive optical remote sensing to key forest structure parameters in sparse forests, including Diameter at Breast Height (DBH), Tree Height (H), Crown Width (CW), and Leaf Area Index (LAI). Using the novel computer-graphics-based radiosity model applicable to porous individual thin objects, named Radiosity Applicable to Porous Individual Objects (RAPID), we simulated 38 distinct sparse forest scenarios to generate both SAR backscatter coefficients and optical reflectance across various wavelengths, polarization modes, and incidence/observation angles. Sensitivity was assessed using the coefficient of variation (CV). The results reveal that C-band SAR in HH polarization mode demonstrates the highest sensitivity to DBH (CV = −6.73%), H (CV = −52.68%), and LAI (CV = −63.39%), while optical data in the red band show the strongest response to CW (CV = 18.83%) variations. The study further identifies optimal acquisition configurations, with SAR data achieving maximum sensitivity at smaller incidence angles and optical reflectance performing best at forward observation angles. This study addresses a critical gap by presenting the first systematic comparison of the sensitivity of multi-band SAR and VIS/NIR data to key forest structural parameters across sparsity gradients, thereby clarifying their applicability for monitoring young and middle-aged sparse forests with high carbon sequestration potential.

1. Introduction

Afforestation has been proven to be an effective method for carbon sequestration. For example, China has implemented large-scale afforestation and reforestation programs since the 1960s, increasing its share of forest areas from 14% to 23% [1]. Currently, most of these forests are in the young and middle-aged stages, possessing significant carbon sink capacity [1,2]. Therefore, accurately assessing their carbon sequestration potential is crucial. Currently, employing key forest structure parameters, such as Diameter at Breast Height (DBH), tree height (H), crown width (CW), and Leaf Area Index (LAI) to evaluate carbon sequestration capacity is a very popular method [3].
Satellite-based remote sensing technology, especially active Synthetic Aperture Radar (SAR) and passive optical remote sensing (including multispectral data), plays a vital role in large-scale monitoring and the acquisition of forest structure parameters [4,5]. While Light detection and ranging (LiDAR) provides valuable 3D structural measurements, the synergetic use of SAR and optical data offer unique advantages for continuous forest monitoring. However, the sensitivity of different remote sensing methods varies depending on forest density. SAR has the ability to penetrate dense canopies, making it particularly advantageous for acquiring forest structure parameters. As exemplified by satellite remote sensing, Nguyen et al. [6] demonstrated that L-band SAR (ALOS-2) in HV polarization is highly effective for estimating tree height in tropical forests. Similarly, Ji et al. [7] confirmed that L-band SAR backscatter shows strong sensitivity to tree height, reinforcing its effectiveness for forest structure assessment. Complementing these findings, Kovacs et al. [8] employed that C-band SAR (Radarsat-2) in HH polarization effectively correlates with mangrove DBH measurements. Expanding to multifrequency applications, Pereira et al. [9] identified L-band ALOS-PALSAR-1 (HV polarization) as optimal for LAI retrieval in Amazon floodplain forests. Schlund et al. [10] confirm high potential for both L-band and P-band SAR to estimate forest aboveground biomass individually. The results suggest that P-band is more sensitive to higher biomass and L-band to lower biomass forests. These studies illustrate how different SAR bands and polarizations can be employed for specific forest parameter retrieval, with wavelength-dependent penetration capabilities determining their respective optimal applications. However, it should be noted that the majority studies relied on dense forest environments. As we know, different SAR bands have varying penetration capabilities in forests; for instance, a forest that appears dense to the C-band may not necessarily appear dense to the P-band. In other words, the correlation between SAR bands and the sparsity of forests has not been thoroughly investigated.
Passive optical remote sensing data can depict forest characteristics from various aspects. With its high spatial resolution and multi/hyperspectral imaging capabilities, optical remote sensing is extensively used for extracting forest structure parameters. However, for dense forests, most studies must address saturation issues. To mitigate these challenges, researchers frequently employ complex machine learning and deep learning algorithms, as well as multi-temporal or multi-source data combinations [11,12,13,14], to improve sensitivity and enhance the accuracy of parameter inversions, such as height, DBH, and above-ground biomass (AGB). Reuveni et al. [15] analyzed tree height and DBH using multispectral images from Landsat ETM+, finding significant correlations between spectral data and these parameters, with high inversion accuracy. Middinti et al. [16] examined LAI in tropical forests using Landsat-8 OLI data, demonstrating that the red, near-infrared, and shortwave infrared bands were most sensitive to LAI, thus proving the feasibility of estimating LAI using passive optical data. Aubry-Kientz et al. [17] integrated geometric and spectral information to develop a crown extraction method for dense tropical forests, achieving an accuracy of 83%. However, sparse forests exhibit stronger spatial heterogeneity than dense forests due to pronounced clumping effects and soil-vegetation spectral mixing. Consequently, passive optical remote sensing approaches for retrieving key structural parameters (e.g., DBH, height, LAI) in sparse forests remain significantly understudied compared to dense forest applications.
In addition, some studies have compared multispectral and radar data. Fang et al. [18] evaluated the effectiveness of Sentinel-1, Sentinel-2, and Landsat-8 data for estimating tree height and DBH, finding that the combination of Sentinel-2 and Landsat-8 data achieved the highest accuracy in predicting forest parameters. Gao et al. [19] assessed the estimation accuracy of LAI, height, and biomass of maize using SAR and optical data, showing that the integration of SAR and optical data yielded higher accuracy than using either type alone. Valero et al. [20] combined SAR and optical data to enhance crop mapping accuracy. Conversely, some studies have pointed out that combining Sentinel-1 and Sentinel-2 did not improve the mapping accuracy of forests. These studies indicate that there is no consensus on the effectiveness of SAR and optical data for obtaining forest structure parameters [21]. The primary reason for this uncertainty is the lack of data, particularly data from the same scenario, which impedes systematic comparative studies and hinders a comprehensive understanding of the applicability of different data sources in forest structure analysis.
In summary, while previous studies have explored SAR and optical remote sensing for forest monitoring, systematic comparisons of their sensitivity to structural parameters in sparse forests remain limited. This study aims to address this gap by evaluating the sensitivity of SAR (across C-, L-, and P-bands) and optical data (VIS/NIR bands) to key forest structure parameters (DBH, H, CW, LAI) under varying sparsity conditions. By analyzing wavelength- and angle-dependent interactions with forest components, we seek to clarify the applicability of these technologies for sparse forest monitoring, particularly in young and middle-aged stands with high carbon sequestration potential.

2. Materials and Methods

In this study, sparse forests are defined from an electromagnetic wave penetration perspective. Specifically, sparse forests are defined as stands where the structural openness allows electromagnetic waves of specific wavelengths to penetrate the canopy and interact significantly with underlying surfaces (e.g., soil or understory). For example, if SAR of a certain wavelength can penetrate the canopy to reach the ground, or if optical remote sensing in vertical observation can detect the ground, the forest is deemed sparse. Otherwise, the forest is categorized as dense. To further distinguish sparse forests from spectrally similar land cover types, such as orchards and urban parks, we suggest integrating auxiliary land-use/land-cover classification datasets.
To facilitate a comparison of cross-sensor data within controlled structural and geometric parameters, this investigation implemented a simulation-based methodology utilizing the Radiosity Applicable to Porous Individual Objects (RAPID) three-dimensional (3D) radiation transfer model. This model is capable of simultaneously simulating both SAR and optical data within the same scenarios. The study utilized the RAPID model to generate simulations for 38 distinct sparse forest scenarios, achieved by systematically altering structural parameters such as DBH, H, CW, and LAI. For each scenario, forward simulations for both SAR and optical data were conducted to derive SAR backscatter coefficients and optical reflectance values across various wavelengths and incidence/observation angles within the same scenario. Subsequently, the sensitivity of SAR and optical remote sensing data to the structural parameters of the sparse forest was assessed, employing the coefficient of variation as the metric for sensitivity analysis.

2.1. Three-Dimensional Scene Construction

The RAPID model is currently an effective tool for constructing unified scenarios and input parameters to simulate optical, thermal infrared, LiDAR, and microwave backscatter [22,23]. In terms of three-dimensional scene construction, unlike the Discrete Anisotropic Radiative Transfer (DART) model [24], the RAPID model introduces the concept of porous individual objects (also known as porous facets) to further simplify the scene. It assumes that within these porous facets, the leaves do not overlap and interact minimally with each other [25].
Based on the RAPID model, a standard forest scene measuring 24 m × 20 m was constructed. Following the approach outlined by Ferreira et al. [26], the trees were simplified using Cone+Cylinder shapes, with a total of 25 trees planted at uniform intervals of 4 m in length and 3 m in width, and creating an infinite scene. In accordance with the research by Wang et al. [27], several parameter simplifications were applied. Specifically, leaf size, leaf thickness, branch density, branch length, and branch diameter in the RAPID model were fixed at 1.7 cm, 0.15 cm, 3.4 numbers/m3, 2 cm, and 2 cm, respectively. The ground surface was bare soil with reflectances of 0.1733 (blue), 0.1996 (green), 0.2378 (red), and 0.2721 (near-infrared). DBH, H, CW, and LAI were treated as variables, with their parameter ranges specified in Table 1.
The DBH range was set from 10 to 20 cm with a step size of 1 cm, the H range from 16 to 26 m with a step size of 1 m, CW from 2.5 to 5.5 m with a step size of 0.5 m, and individual tree LAI values were set at 5, 6, 7, 8, 9, 10, 15, 20, and 30. Correspondingly, scene-level LAI ranged from 1.03 to 6.12 as individual tree LAI varied between 5 and 30. In each simulation, only one parameter from Table 1 was varied, while all other parameters were held at their default values. To compare the sensitivity of SAR and optical data to DBH, H, CW, and LAI, 38 forest scenarios were constructed based on the parameters in Table 1. A selection of these simulated scenarios is presented in Figure 1.
Figure 1 illustrates three scenarios, with each column representing the same scenario observed from different angles. The corresponding CW values are 2.5 m, 3 m, and 3.5 m from left to right, respectively.

2.2. SAR and Optical Parameter Settings

For the 38 scenarios described above, SAR and optical data were simulated. For a more systematic comparison, the SAR simulations included C-, L-, and P-bands, with each band featuring four polarization modes: HH, VV, HV, and VH. The incidence angle ranged from 10° to 70° in 10° intervals, with an additional angle of 35.5°, resulting in a total of eight incidence angles. The SAR simulation ultimately obtained the backscatter coefficients for each forest scenario under different bands, polarization modes, and incidence angles.
For the optical data simulation, the solar zenith angle and azimuth angle were set to 35.5° and 39.5°, respectively. The selected optical bands were blue (485 nm), green (555 nm), red (660 nm), and near-infrared (830 nm). Observation angles were set on the solar principal plane, ranging from 0° to 70° in 10° intervals, with an additional angle of 35.5°, resulting in a total of 17 observation angles. Backward observation angles were marked as negative values, while forward observation angles were marked as positive. The optical simulation ultimately obtained the reflectance data for each forest scenario under different bands and observation angles. Sensor and orbital parameters for the optical and SAR simulations were configured based on the Gaofen-2 (GF-2) and Gaofen-3 (GF-3) satellite specifications, respectively.

2.3. Sensitivity Indicator

The simulated SAR and optical data were analyzed to assess sensitivity to changes in forest structure parameters. Sensitivity outcomes are influenced by parameter selection. In this study, we focus on DBH, H, CW, and LAI as they dominate carbon sequestration potential [3]. Other parameters (e.g., leaf/branch size) were held at their default values to isolate target effects; their potential impacts warrant further investigation. First, for SAR, the analysis focused on the backscatter coefficient at different wavelengths and polarization modes at a 35.5° incidence angle. For optical data, the analysis examined reflectance at different wavelengths at a 0° observation angle. Subsequently, the sensitivity of the backscatter coefficient and reflectance to these parameters was further examined as incidence and observation angles varied. In this study, the Coefficient of Variation (CV) was used as the sensitivity evaluation indicator and was calculated using the following Formula (1):
C V = S D m e a n × 100 %
In the formula, SD represents the standard deviation. A higher absolute value of CV indicates greater sensitivity to forest structure parameters, while a lower value indicates lesser sensitivity.

3. Results

3.1. Diameter at Breast Height

As DBH varies, Figure 2 illustrates the variation in backscatter coefficients for SAR data across the C-, L-, and P-bands under the four polarization modes (HH, VV, HV, VH).
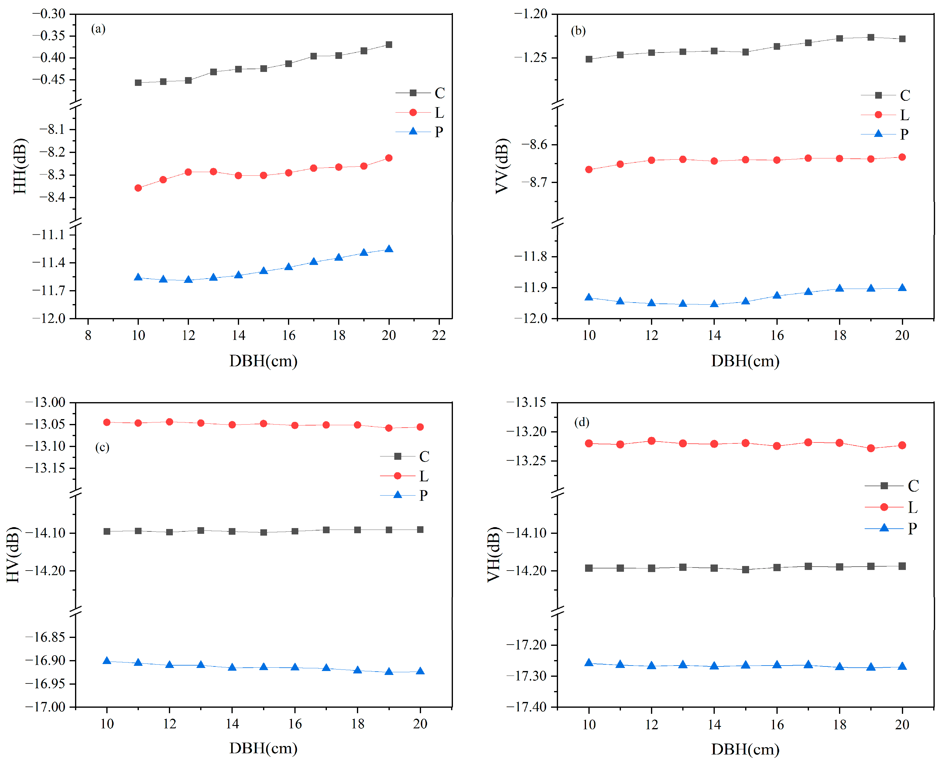
Regarding wavelength, the backscatter coefficient in the C-band is higher than that in the L-band and P-band under co-polarization modes (HH and VV). However, under cross-polarization modes (HV and VH), the backscatter coefficient in the C-band is lower than in the L-band but higher than in the P-band (Figure 2). In the C-band HH polarization (C-HH), the backscatter coefficient changes significantly with DBH. As DBH increases, the SAR echo signal strengthens, causing the backscatter coefficient to increase gradually from −0.457 to −0.370 (Figure 2a). In C-VV, the change in the backscatter coefficient with DBH is less pronounced (Figure 2b). For C-HV and C-VH, the backscatter coefficients are very similar and exhibit minimal fluctuation (Figure 2c,d). In the L-band, the backscatter coefficient under HH polarization varies more significantly with DBH than under the other three polarization modes, with a fluctuation range of −8.358 to −8.225. However, this fluctuation is still smaller than that observed in the C-HH. The P-band shows a pattern similar to that of the C- and L-bands, where the backscatter coefficient under HH polarization changes significantly with DBH, fluctuating between −11.587 and −11.258.
Table 2 shows the maximum, minimum, and CV for the backscatter coefficients in the C-, L-, and P-bands under the four polarization modes as DBH changes.
The results show that the absolute value of the CV is highest for C-HH (CV = −6.73%), indicating the greatest sensitivity under HH polarization (Table 2). In contrast, the absolute CV values for the other three polarization modes are all below 1%. The sensitivity is ranked as follows: C-HH exhibits the highest sensitivity, followed by C-VV, C-VH, and lastly C-HV. For both the L- and P-bands, fluctuations in the backscatter coefficient are relatively minor across all polarization modes, with absolute CV values under 1%, indicating lower sensitivity to DBH in these bands.
The optical simulation results indicate reflectance variations across different bands as DBH changes (Figure 3). The horizontal axis represents DBH, and the vertical axis shows reflectance for each band.
It can be seen that the reflectance in all bands shows relatively small variation with changes in DBH, generally decreasing as DBH increases (Figure 3). Among the four bands, the red band shows relatively larger fluctuations, with a CV of 0.12%. However, the near-infrared band shows the smallest fluctuations, with a CV of 0.06%. Additionally, the simulation results along the solar principal plane reveal that reflectance remains relatively stable with DBH under different observation angles, with CV values not exceeding 1%.
These results demonstrate that C-band HH polarization shows superior sensitivity to DBH variations in sparse forests compared to other SAR configurations and optical bands, while optical reflectance exhibits minimal response to DBH changes across all bands.

3.2. Height

As H varies, Figure 4 illustrates the variation in backscatter coefficients for SAR data across the C-, L-, and P-bands under the four polarization modes (HH, VV, HV, VH).
In the C-band, the backscatter coefficient under co-polarization modes (HH and VV) is higher than that in the L-band and P-band (Figure 4a,b). However, under cross-polarization modes (HV and VH), the backscatter coefficient in the C-band is lower than in the L-band but higher than in the P-band (Figure 4c,d). Under C-HH, the backscatter coefficient decreases significantly as H increases, from −0.056 to −0.861. Similarly, in C-VV, the backscatter coefficient decreases from −0.830 to −1.754. In the L-band, the backscatter coefficient decreases with increasing H under all four polarization modes. The most pronounced decrease occurs in L-VV, where the coefficient decreases from −8.239 to −9.128. The changes in HH, HV, and VH polarization modes are of similar magnitude. In the P-band, the backscatter coefficient fluctuations with increasing H are generally smaller than those in the C- and L-bands under all polarization modes.
Table 3 shows the maximum, minimum, and CV for the backscatter coefficients in the C-, L-, and P-bands under the four polarization modes as H changes.
The results show that the absolute value of the CV for C-HH is the largest (CV = −52.68%), indicating that the highest sensitivity under C-HH, followed by C-VV (CV = −22.38%) (Table 3). The CV values for C-HV and C-VH are similar, both around −2%. For L-VV, the CV is −3.27%, indicating greater fluctuation in backscatter coefficients compared to the other three polarization modes. In the P-band, the highest CV appears in HV polarization (CV = −2.11%), followed by HH.
The optical simulation results indicate reflectance variations across different bands as H changes (Figure 5). The horizontal axis represents H, and the vertical axis shows reflectance for each band.
The results indicate that reflectance in the blue and red bands increases significantly as H rises (Figure 5). Specifically, the blue band reflectance rises from 0.045 to 0.061, while the red band reflectance increases from 0.067 to 0.091. In contrast, the near-infrared band exhibits smaller fluctuations, with reflectance increasing from 0.308 to 0.330. Regarding the CV, the red band shows the highest CV at 11.62%, followed by the blue band at 11.15%. The green band ranks lower, and the near-infrared band has the lowest CV at 2.59%.
The analysis reveals a wavelength-dependent sensitivity where C-HH shows remarkable sensitivity to height variations (CV = −52.68%). Concurrently, optical red band reflectance maintains the strongest response among optical bands (CV = 11.62%).

3.3. Crown Width

As CW varies, Figure 6 illustrates the variation in backscatter coefficients for SAR data across the C-, L-, and P-bands under the four polarization modes (HH, VV, HV, VH).
Considering the wavelength, under the co-polarization modes (HH and VV) in the C-band, the backscatter coefficient is higher than in both the L- and P-band (Figure 6a,b). Conversely, under the cross-polarization modes (HV and VH), the C-band backscatter coefficient is lower than in the L-band but higher than in the P-band (Figure 6c,d). In the C-band, under co-polarization modes (HH and VV), the backscatter coefficient varies significantly with CW. The C-HH backscatter coefficient ranges from −0.706 to −0.425, while the C-VV ranges from −1.495 to −1.198. In contrast, under cross-polarization modes (HV and VH), the backscatter coefficient exhibits smaller variations. In the L-band, the backscatter coefficient decreases with increasing CW across all four polarization modes. The most pronounced fluctuation occurs under L-HH, where the coefficient decreases from −8.302 to −8.777, followed by L-VV. In the P-band, the backscatter coefficient increases with rising CW. The largest fluctuation is observed under P-VV, where the coefficient increases from −12.571 to −11.336.
Table 4 shows the maximum, minimum, and CV for the backscatter coefficients in the C-, L-, and P-bands under the four polarization modes as CW changes.
The results show that the CV for C-HH has the highest absolute value (CV = −17.26%), indicating that the greatest sensitivity under the C-HH (Table 4). This is followed by C-VV (CV = −7.74%). The CV values for C-HV and C-VH are similar, both below 1%. In the L-band, the CV for L-HH is −1.79%, reflecting greater fluctuation in the backscatter coefficient compared to the other three polarization modes. In the P-band, the highest CV appears in VV polarization (CV = −3.57%), followed by VH.
The optical simulation results indicate reflectance variations across different bands as CW changes (Figure 7). The horizontal axis represents CW, and the vertical axis shows reflectance for each band.
The results indicate that reflectance in the blue, red, and near-infrared bands changes significantly with increasing CW (Figure 7). In the blue and red bands, reflectance decreases with increasing CW, from 0.057 to 0.035 in the blue band and from 0.086 to 0.048 in the red band. Conversely, in the near-infrared band, the reflectance increases from 0.265 to 0.434. The CV is highest in the red band (CV = 18.83%), followed by the near-infrared band (CV = 16.20%), and then the blue band. The green band has the lowest CV (CV = 8.12%).
Notably, the optical red band outperforms SAR in CW sensitivity (CV = 18.83% vs. C-HH −17.26%), indicating optical data may be more suitable for crown dimension monitoring.

3.4. LAI

As LAI varies, Figure 8 illustrates the variation in backscatter coefficients for SAR data across the C-, L-, and P-bands under the four polarization modes (HH, VV, HV, VH).
From Figure 8, it is evident that the backscatter coefficient in the C-band is higher than in the L- and P-bands under co-polarization modes (HH and VV). Conversely, under cross-polarization modes (HV and VH), the backscatter coefficient in the C-band is lower than in the L-band but higher than in the P-band. As the LAI increases, the backscatter coefficient under C-HH polarization rises from −3.539 to 0.279. In the L- and P-bands, the backscatter coefficient decreases with increasing LAI for all polarization modes, with more pronounced fluctuations observed in the L-band compared to the P-band. Specifically, the backscatter coefficient under L-HH decreases from −7.406 to −8.559, while under P-HH, it decreases from −11.072 to −11.680.
Table 5 shows the maximum, minimum, and CV for the backscatter coefficients in the C-, L-, and P-bands under the four polarization modes as LAI changes.
The results reveal that the C-HH exhibits the highest CV (CV = −63.39%), indicating the greatest sensitivity under C-HH (Table 5). This is followed by C-VV (CV = −45.95%). The CV values for C-HV and C-VH are similar, approximately −8%. In the L-band, the highest CV appears in L-HH (CV = −4.48%), showing greater fluctuation compared to the other three polarization modes. Similarly, in the P-band, the highest CV also appears in HH polarization (CV = −1.63%), followed by VV polarization.
The optical simulation results indicate reflectance variations across different bands as LAI changes (Figure 9). The horizontal axis represents LAI, and the vertical axis shows reflectance for each band.
The results show that the reflectance in the blue, green, and red bands changes significantly with increasing LAI (Figure 9). Specifically, reflectance decreases consistently with increasing LAI from 0.0593 to 0.0501 in the blue band and from 0.0830 to 0.0708 in the green band. In contrast, the near-infrared band shows a gradual increase in reflectance from 0.3064 to 0.3215 with minimal fluctuation. The CV is highest in the red band at 5.38%, followed by the blue and green bands. The near-infrared band exhibits the lowest CV at 1.27%.
In summary, the results demonstrate C-HH polarization provides the strongest sensitivity to LAI variations (CV = −63.39%), outperforming optical bands. The red band shows the best performance among optical indices (CV = 5.38%), though with lower overall sensitivity than SAR.

3.5. Sensitivity at Different Angles

We analyzed the sensitivity of SAR and optical data to four key forest structure parameters (DBH, H, CW, and LAI) as the incidence and observation angles change. For each sensitivity analysis (e.g., DBH in Figure 10), only the target parameter (e.g., DBH) was varied, while other parameters were fixed at their default values as specified in Table 1. This ensures that angular sensitivity reflects the isolated effect of the target parameter.
Figure 10 presents the CV for C-, L-, and P-bands under four polarization modes, with the horizontal axis representing the incidence angle and the vertical axis representing the CV values of DBH.
For DBH (Figure 10), the results show that the HH polarization mode exhibits the highest sensitivity to angular variations in the C-, L-, and P-bands followed by VV. There are no significant differences observed between the HV and VH modes in terms of their responses. In the L-band, CV remains stable between incidence angles of 10° and 40° but increases markedly beyond 40°. A similar trend is observed in the P-band where CV escalates significantly when the angle exceeds 40°. Due to the minimal sensitivity of optical data to DBH, it was excluded from angular analysis.
Further analysis indicates for H that the HH mode remains the most responsive to angular variations across the C-, L-, and P-bands, followed by the VV (Figure 11).
Upon analyzing the angular sensitivity of the C-HH, the CV exhibits a complex pattern. It initially increases, then decreases after surpassing 30 degrees, and rises once more beyond 60 degrees (Figure 11). The CV for C-VV follows a similar fluctuation. C-HV and C-VH modes exhibit a steady increase with angle. In the L-band, CV values for L-HH exhibit a pattern comparable to C-HH, initially increasing, then decreasing, and increasing again. The P-band shows analogous trends in both HH and VV polarization modes, where CV values increase, then decrease, and increase once more. In summary, the C-band’s backscatter coefficient is highly sensitive to H at lower incidence angles. The L- and P-bands show heightened sensitivity at higher angles.
Additionally, we analyzed the sensitivity of optical reflectance to H as the observation angle changes. The results are shown in the following figure, where the horizontal axis represents the observation angle in the solar principal plane, and the vertical axis represents the CV values for the blue, green, red, and near-infrared bands (Figure 12).
The CV for the red band exceeds that of the blue band, which in turn is higher than that of the green band (Figure 12). The near-infrared band exhibits the lowest CV. Notably, for the blue, green, and red bands, the CV values are higher at forward observation angles than at backward observation angles, with the maximum CV values occurring at a 60° observation angle. Conversely, the CV for the near-infrared band reaches its maximum at backward observation angles, with the highest value recorded at a −60° angle. In terms of CV trends, for the blue, green, red, and near-infrared bands, the CV initially decreases and then increases with increasing backward observation angles, and a similar trend is observed for forward observation angles.
Further analysis for CW indicates that the HH mode remains the most responsive to angular variations across the C-, L-, and P-bands, followed by the VV (Figure 13).
In the C-band, the CV values under co-polarization modes (HH and VV) decrease with increasing angles (Figure 13). Notably, CVs show minimal variation between incidence angles of 30° and 70°, but significant fluctuations are observed between 10° and 30°, with CVs decreasing as angles increase. In the L-band, CV values for all four polarization modes first decline and then rise with increasing angles. Specifically, CVs decrease gradually when the incidence angle ranges from 10° to 30° and begin to increase beyond 30°. In the P-band, the peak CV occurs under P-HH at a 70° incidence angle, while for P-HV and P-VH, CVs diminish with increasing angles. In summary, the analysis indicates that the backscatter coefficient is more responsive to CW at smaller incidence angles in the C-band, whereas sensitivity to CW in the L- and P-bands increases at larger incidence angles.
Additionally, we analyzed the sensitivity of optical reflectance to CW as the observation angle changes (Figure 14).
The results show that the CV of the red band exceeds that of the blue band, which in turn is greater than that of the green band (Figure 14). The near-infrared band displays the smallest CV. For the blue, green, and red bands, the CV values are higher at forward observation angles than at backward observation angles, peaking at a 70° observation angle. Conversely, the maximum CV value for near-infrared band occurs at a 0° observation angle. In terms of CV trends, the CV values for the blue and red bands increase between 0° and 10°, decrease between 10° and 20°, and then rise again as the angle exceeds 20°. For the green and near-infrared bands, CV values initially decrease and subsequently increase with larger observation angles.
Further analysis for LAI indicates that the HH mode remains the most responsive to angular variations across the C-, L-, and P-bands, followed by the VV mode (Figure 15).
From the perspective of angle, in the C-band, the CV values under co-polarization modes (HH and VV) decrease as the angle increases. The maximum CV values occur at a 20° incidence angle, recording −67.27% for C-HH and −59.49% for C-VV, respectively. In the L-band, although the CV values under all four polarization modes increase with increasing angle, the overall magnitude of these changes is not significant. Similarly, in the P-band, the CV values across all polarization modes exhibit only minor variations with changes in angle.
Additionally, we analyzed the sensitivity of optical reflectance to LAI as the observation angle changes (Figure 16).
The results indicate that the CVs of the blue, green, and red bands exhibit a remarkable similar change with observation angle. At forward observation angles, as the angle increases, the CV values for these bands gradually increase, with significant changes occurring between 0° and 30°. Beyond 30°, the magnitude of CV changes decreases. In contrast, for the near-infrared band, the CV shows minor fluctuations as the observation angle increases, peaking at 60° (CV = 4.87%). At backward observation angles between 10° and 50°, the CV for the near-infrared band exceeds those of the other three bands, with the green band displaying the lowest CV. Beyond 50°, the CV values for the blue, green, and red bands significantly surpass that of the near-infrared band.
The angular analysis yields two key sensor-specific operational insights: C-band SAR achieves optimal parameter retrieval at smaller incidence angles while the L- and P-bands require larger angles. Optical sensors demonstrate enhanced sensitivity at forward observation angles particularly in the 60° configuration.

4. Discussion

4.1. Sensitivity of SAR Band and Polarization

This study reveals that C-band SAR backscatter exhibits the highest sensitivity to sparse forest DBH, H, and LAI, surpassing that of the L- and P-bands. This finding contrasts with previous studies on dense forests, where longer SAR wavelengths typically show greater sensitivity to forest canopies and underlying surfaces [28,29]. Generally, longer wavelengths are more responsive to forest structural parameters [30,31,32]. However, in sparse forests, the C-band demonstrates particular sensitivity. This likely results from the fact that, in sparse forest settings, canopy parameters such as leaf size, branch density, and branch diameter are relatively small, comparable to the C-band wavelength. Consequently, compared to the highly penetrative L- and P-bands, the C-band backscatter captures more canopy information while retaining some degree of penetration. Additionally, because the branch diameter was not altered, even with an increased LAI, the C-band’s penetration ability was not significantly reduced, enabling it to capture information beneath the canopy. To test this hypothesis, we increased the canopy parameters to exceed the C-band wavelength by enlarging the leaf size to 20 cm and the branch diameter to 10 cm, making them comparable to the L-band wavelength. Under these conditions, the scenario resembled a dense forest for the C-band, where the L-band showed greater sensitivity to forest structural parameters than the C-band. Overall, SAR wavelengths comparable to internal canopy parameters (e.g., branch diameter, leaf size) tend to be more sensitive. Critically, these results reaffirm that canopy sparsity/density is not solely determined by geometric attributes like LAI or crown width. Rather, the internal canopy structure, specifically, the relative scale of branch dimensions compared to the SAR wavelength—emerges as the primary determinant.
Although SAR wavelength sensitivity to forest structural parameters varies, polarization sensitivity remains consistent across both sparse and dense forests for a given wavelength. For example, regarding H, L-HV is more sensitive than the L-HH [6,7]. For LAI, C-VV shows higher sensitivity than the C-VH [33]. Furthermore, for DBH, H, and LAI, the C-HH demonstrates a stronger correlation with these structural parameters, surpassing that of the C-VV and C-HV [8]. It is also important to note that factors such as tree shape, arrangement, and leaf structure influence polarization modes [34,35,36]. However, this study only simulated the Cone+Cylinder tree model, which is primarily applicable to tree species like poplar that exhibit relatively simple crown-trunk architectures. This geometric simplification could affect the distribution of crown volume and the accuracy of retrieval for fine-scale structural parameters that depend on crown complexity. Further research is needed to explore other forest types, such as conical and spherical canopies, to fully realize the potential of SAR data in forest ecosystem analysis.

4.2. Influence of Optical Band Selection

In the VIS/NIR bands used, optical remote sensing is not sensitive to DBH. For example, the red band, which has the largest CV at 0.12%, shows negligible changes in reflectance (only 0.00026) within the DBH range (10–20 cm), far lower than the CV of C-HH (−6.73%) and its backscatter coefficient (0.08682 dB). This finding is straightforward because VIS/NIR data primarily capture canopy surface information, making DBH detection beneath the canopy challenging. Thus, predicting DBH directly from reflectance is difficult. Optical remote sensing has limited direct sensitivity to DBH, but empirical methods that use canopy morphology proxies, especially CW and H, can indirectly estimate DBH [37]. Previous studies have indicated that the texture information in optical images is more sensitive to DBH [38,39,40]. However, adding spectral features to texture information does not enhance DBH inversion and may even introduce noise, reducing accuracy [40,41], consistent with the findings from our simulations.
Interestingly, our study found that the red band is more sensitive to H, CW, and LAI, compared to the blue, green, and near-infrared bands. This result aligns with findings in dense forests. For example, Heiskanen et al. [42] found that the red band is more sensitive to tree height than the blue, green, and near-infrared bands, while Pu et al. [43] demonstrated its higher sensitivity to LAI. However, it should be noted that these conclusions are based on vertical observations, which may not align with our expectations for sparse forests. In sparse forests, vertical observations expose the ground surface, potentially influencing reflectance due to the optical properties of the underlying surface. Nevertheless, further experiments revealed that even when we reduced soil reflectance, the red band remained the most sensitive to LAI. The underlying reasons for this need further investigation. Additionally, it is important to note that the red band is a strong absorption band for vegetation, with typically low reflectance values. Therefore, improving the quantification and radiometric accuracy of the red band is particularly crucial in practical applications.
Another phenomenon in optical remote sensing that deserves attention is the clumping effect, which has a more significant impact on sparse forests than on dense forests. For example, when sparseness is high (with a CW less than 3.5 m), even though the overall scene LAI reaches 6.12 (with individual trees at 30), the proportion of bare soil remains substantial. Since the reflectance measured in this study represents the entire scene, the red band reflectance is slightly higher than that of the green band. As the forest density increases (with an increase in CW), the soil interference gradually diminishes, allowing the green band reflectance to exceed that of the red band. This indicates that the clumping effect in sparse forests, along with the underlying surface properties, significantly influences scene reflectance.

4.3. Effect of SAR Incidence Angle

As the incidence angle changes, the sensitivity of the backscatter coefficient to forest structural parameters varies. This study found that larger incidence angles increase the sensitivity of the L- and P-bands. This finding is consistent with [44], which utilized 14 angles of L-band data to estimate vegetation biomass and found higher accuracy with larger incidence angles (35–65°). To our knowledge, there are no studies similar to [44] concerning the C- and P-bands. However, our results indicate that the C-band is more sensitive to forest structural parameters at smaller incidence angles, whereas the P-band, like the L-band, shows greater sensitivity at larger incidence angles. This could be attributed to the combined effects of electromagnetic wavelength and the propagation path length within the forest.
Specifically, the canopy parameters, including branch diameter and leaf size, are comparable to the wavelength of the C-band. A larger incidence angle lengthens the propagation path, effectively increasing perceived forest density and thereby reducing C-band penetration. Consequently, electromagnetic wave penetration to the forest’s lower layers is limited, diminishing sensitivity to structural parameters such as tree height and DBH. Conversely, a smaller incidence angle shortens the propagation path, enhancing penetration and making the forest appear sparser. This improves the detection of information from the forest understory, thereby increasing sensitivity to structural parameters. For the longer-wavelength L- and P-bands, the branch diameter and leaf size in this experiment are much smaller than their wavelengths, both bands exhibit strong penetration of the canopy. Notably, larger incidence angles, compared to smaller ones, extend the propagation path, intensifying the interaction between electromagnetic waves and both the canopy and the ground. This interaction enhances the retrieval of forest structural parameters, thereby increasing sensitivity at larger angles. Furthermore, as the incidence angle increases, the HH polarization of the L- and P-bands exhibits greater sensitivity to structural parameters, with P-HH showing more sensitivity than L-HH.
It is important to note that when using SAR data, the effectiveness of near- and far-range incidence angles must be considered. Taking GF-3 as an example, the wide-swath scanning mode operates with an incidence angle range of 17–50°, while the full-polarization strip mode 1 operates with a of 20–41°, indicating notable fluctuations. Additionally, SAR satellite availability is limited, and data processing remains complex. GF-3, Sentinel-1, and Radarsat-2 all operate in the C-band. L-band ALOS PALSAR data, available until 2011, and its successor, ALOS-2, launched in May 2014. Due to the scarcity of P-band spaceborne data, most SAR backscatter-based biomass estimation studies rely on L-band data [45]. Currently, there are no P-band SAR satellites; most P-band research utilizes airborne data, with study areas primarily abroad, while domestic studies remain relatively scarce [46,47,48].

4.4. Impact of Optical Observation Angle

The results indicate that reflectance changes are more sensitive to H, CW, and LAI when observed from a forward-looking angle, significantly exceeding the sensitivity observed from backward-looking and vertical observation angles. This finding is consistent with [42], which used multispectral and multi-angular data to estimate tree height and canopy cover, demonstrating greater sensitivity at forward angles, particularly in the red band, compared to the green, blue, and near-infrared bands. Notably, the CV drop for H at 10° (Figure 12) may be attributed to a critical transition where shadowing effects become pronounced. Similarly, the CV increase for CW between 0° and 10° (Figure 14) could result from enhanced sensitivity to crown geometry at low off-nadir angles (0–10°), where sensors capture information from both the top of crown and partial side structures. Several studies [49,50,51] have shown that directional information significantly enhances the ability to distinguish between different forest types and land cover classes. Additionally, the use of multi-angular data helps to minimize the impact of background spectral variations during forest reflectance model inversion, leading to more accurate derivation of forest characteristics [52]. Future research will investigate the shadow effect and background heterogeneity to validate angular effects, thereby clarifying the complex relationship between observation geometry and forest structure.
Nevertheless, in practical applications, angular information from optical data remains underutilized. However, with the advancement of UAV remote sensing technology, acquiring multi-angular data has become increasingly feasible. Constructing a bidirectional reflectance distribution function (BRDF) model using multi-angular data allows for the retrieval of reflectance from any observation angle. Moreover, leveraging the information from BRDF kernel parameters expands the range of applications, addressing the requirement of multi-scale forest monitoring, from individual trees to stands and regional levels.

4.5. Advantages and Challenges

Most studies integrate optical and radar models via scene equivalence, with few cases of simultaneous acquisition of optical and SAR data for the same scene [53]. This study employs a simulation-based approach to systematically compare the sensitivity of SAR and optical data to sparse forest structural parameters, focusing on wavelength, polarization, and observation angle. These findings offer critical guidance for selecting the optimal remote sensing data, including wavelength, polarization, and observation angle, to improve the accuracy and efficiency of forest structural parameter estimation. Given that most operational SAR satellites use the C-band, the finding that C-HH polarization is the most sensitive to forest structural parameters is particularly significant. Moreover, it should be pointed out that the study employs the CV to measure sensitivity, but its effectiveness may be constrained when absolute data values are extremely small (e.g., optical reflectance ranging from only 0.05 to 0.1). In addition, canopy shape, the leaf inclination angle, and leaf angle distribution may have influences on the backscatter coefficient and reflectance for different wavelengths. We will conduct corresponding research in the future.
When assessing whether a specific SAR wavelength can penetrate a forest, we face a significant challenge. It is difficult to directly determine if the wavelength can penetrate the forest. Therefore, accurately identifying and classifying a forest scene as sparse becomes essential. A common approach is to use independent products such as forest canopy density maps [54], forest age distribution maps [55], and land cover maps [56]. These products aid in identifying sparse forest areas through masking functions. However, the spatial distribution of these products can vary due to seasonal changes and geographic location. To improve the accuracy of such assessments, additional factors such as tree species, their distribution, and soil moisture content must also be considered.
While SAR data exhibit heightened sensitivity to forest structural parameters, interpreting and utilizing these data present significant challenges, particularly concerning signal reflection and scattering mechanisms. The interaction between microwave signals and vegetation is complex, involving multiple scattering mechanisms (e.g., volume scattering, surface scattering), which require sophisticated algorithms for an accurate estimate of forest structural parameters. Additionally, the spatial resolution of SAR data is generally lower than that of optical sensors, which may limit its ability to capture fine-scale changes in forests. Although optical sensors provide higher resolution, they are constrained by weather conditions. Therefore, the development and optimization of multi-source data fusion techniques, particularly the integration of SAR and optical data parameters [19], are essential for remote sensing applications in forest management and ecological monitoring. It should be noted that this study is simulation-based. Consequently, the accuracy of the results is inherently influenced by the scenario configuration and simulation methodology. Future work should refine scenario complexity and realism, leverage real-world data for validation, and conduct deeper mechanistic analysis.

5. Conclusions

In this study, we provide novel insights by rigorously evaluating and contrasting the sensitivity of SAR (C-, L-, and P-bands) and optical (VIS/NIR bands) remote sensing to fundamental forest structural parameters (DBH, H, CW, LAI) along a sparsity continuum, specifically targeting the monitoring needs of young and middle-aged sparse forests significant for carbon sequestration. The results indicate significant differences in sensitivity across different bands and polarization modes. For DBH, H, and LAI, the C-band in HH polarization demonstrated the highest sensitivity, surpassing that of other SAR bands and significantly higher than any optical band. In contrast, for CW, the reflectance in the red band of optical data showed greater sensitivity than that of C-HH. Moreover, the impact of angle variation differed between SAR and optical data. As the incidence angle changed, the C-band exhibited higher sensitivity to forest structural parameters at smaller incidence angles, whereas the L- and P-bands were more sensitive at larger incidence angles. For optical reflectance, forward observation angles showed greater sensitivity to forest structural parameters.
The findings of this study are significant for understanding the application of SAR and optical data in monitoring various forest types and structures, and they provide a direction for the integration of these data sources. In future research, we will combine SAR and optical data to comprehensively explore their sensitivity to forest parameters, thereby providing a scientific basis for forest monitoring and management.

Author Contributions

Conceptualization: Z.M. and L.D.; methodology, Z.M. and L.D.; software, Z.M.; validation, Z.M., X.L. and Y.W.; formal analysis, Z.M.; investigation, Z.M.; resources, L.D.; data curation, Z.M., X.L. and Y.W.; writing—original draft preparation, Z.M.; writing—review and editing, Z.M. and L.D.; visualization, Z.M.; supervision, L.D.; project administration, L.D.; funding acquisition, L.D. All authors have read and agreed to the published version of the manuscript.

Funding

This research was funded by the R&D Program of Beijing Municipal Education Commission (No.KZ202210028045) and Agricultural Finance Special Project of the Ministry of Agriculture and Rural Affairs, “Normalization Monitoring of Fisheries Resources and Environment in Key Waters of Northeast China”.

Data Availability Statement

Data will be made available upon request.

Acknowledgments

We are particularly grateful to Huaguo Huang, whose work has provided RAPID V2.1 software support for our research.

Conflicts of Interest

The authors declare no conflicts of interest.

References

  1. Shang, R.; Chen, J.M.; Xu, M.; Lin, X.; Li, P.; Yu, G.; He, N.; Xu, L.; Gong, P.; Liu, L.; et al. China’s current forest age structure will lead to weakened carbon sinks in the near future. Innovation 2023, 4, 100515. [Google Scholar] [CrossRef] [PubMed]
  2. Chen, C.; Park, T.; Wang, X.; Piao, S.; Xu, B.; Chaturvedi, R.K.; Fuchs, R.; Brovkin, V.; Ciais, P.; Fensholt, R. China and India lead in greening of the world through land-use management. Nat. Sustain. 2019, 2, 122–129. [Google Scholar] [CrossRef] [PubMed]
  3. Wang, Q.; Putri, N.A.; Gan, Y.; Song, G. Combining both spectral and textural indices for alleviating saturation problem in forest LAI estimation using Sentinel-2 data. Geocarto Int. 2022, 37, 10511–10531. [Google Scholar] [CrossRef]
  4. Huang, Z.; Lv, X.; Li, X.; Chai, H. Maximum a Posteriori Inversion for Forest Height Estimation Using Spaceborne Polarimetric SAR Interferometry. IEEE Trans. Geosci. Remote Sens. 2023, 61, 1–14. [Google Scholar] [CrossRef]
  5. Tamiminia, H.; Salehi, B.; Mahdianpari, M.; Goulden, T. State-wide forest canopy height and aboveground biomass map for New York with 10 m resolution, integrating GEDI, Sentinel-1, and Sentinel-2 data. Ecol. Inform. 2024, 79, 102404. [Google Scholar] [CrossRef]
  6. Nguyen, L.V.; Tateishi, R.; Nguyen, H.T.; Sharma, R.C.; Le, S.M. Estimation of Tropical Forest Structural Characteristics Using ALOS-2 SAR Data. Adv. Remote Sens. 2016, 5, 131–144. [Google Scholar] [CrossRef]
  7. Ji, Y.; Huang, J.; Ju, Y.; Guo, S.; Yue, C. Forest structure dependency analysis of L-band SAR backscatter. PeerJ 2020, 8, e10055. [Google Scholar] [CrossRef]
  8. Kovacs, J.M.; Jiao, X.; Flores-de-Santiago, F.; Zhang, C.; Flores-Verdugo, F. Assessing relationships between Radarsat-2 C-band and structural parameters of a degraded mangrove forest. Int. J. Remote Sens. 2013, 34, 7002–7019. [Google Scholar] [CrossRef]
  9. Pereira, L.O.; Furtado, L.F.A.; Novo, E.M.L.M.; Sant Anna, S.J.S.; Liesenberg, V.; Silva, T.S.F. Multifrequency and Full-Polarimetric SAR Assessment for Estimating Above Ground Biomass and Leaf Area Index in the Amazon Várzea Wetlands. Remote Sens. 2018, 10, 1355. [Google Scholar] [CrossRef]
  10. Schlund, M.; Davidson, M. Aboveground Forest Biomass Estimation Combining L- and P-Band SAR Acquisitions. Remote Sens. 2018, 10, 1151. [Google Scholar] [CrossRef]
  11. Hu, Y.; Xu, X.; Wu, F.; Sun, Z.; Xia, H.; Meng, Q.; Huang, W.; Zhou, H.; Gao, J.; Li, W.; et al. Estimating Forest Stock Volume in Hunan Province, China, by Integrating In Situ Plot Data, Sentinel-2 Images, and Linear and Machine Learning Regression Models. Remote Sens. 2020, 12, 186. [Google Scholar] [CrossRef]
  12. Long, J.; Lin, H.; Wang, G.; Sun, H.; Yan, E. Mapping Growing Stem Volume of Chinese Fir Plantation Using a Saturation-based Multivariate Method and Quad-polarimetric SAR Images. Remote Sens. 2019, 11, 1872. [Google Scholar] [CrossRef]
  13. Timothy, D.; Mutanga, O.; Abdel-Rahman, E.M.; Ismail, R.; Slotow, R. Predicting Eucalyptus spp. stand volume in Zululand, South Africa: An analysis using a stochastic gradient boosting regression ensemble with multi-source data sets. Int. J. Remote Sens. 2015, 36, 3751–3772. [Google Scholar] [CrossRef]
  14. Dube, T.; Mutanga, O. Investigating the robustness of the new Landsat-8 Operational Land Imager derived texture metrics in estimating plantation forest aboveground biomass in resource constrained areas. ISPRS J. Photogramm. Remote Sens. 2015, 108, 12–32. [Google Scholar] [CrossRef]
  15. Reuveni, Y.; Dahan, E.; Anker, Y.; Sprintsin, M. Estimating forest parameters using Landsat ETM+ spectral responses and monocultured plantation fieldwork measurements data. Int. J. Remote Sens. 2018, 39, 2620–2636. [Google Scholar] [CrossRef]
  16. Middinti, S.; Thumaty, K.C.; Gopalakrishnan, R.; Jha, C.S.; Thatiparthi, B.R. Estimating the leaf area index in Indian tropical forests using Landsat-8 OLI data. Int. J. Remote Sens. 2017, 38, 6769–6789. [Google Scholar] [CrossRef]
  17. Aubry-Kientz, M.; Laybros, A.; Weinstein, B.; Ball, J.; Jackson, T.; Coomes, D.; Vincent, G. Multisensor Data Fusion for Improved Segmentation of Individual Tree Crowns in Dense Tropical Forests. IEEE J. Sel. Top. Appl. Earth Obs. Remote Sens. 2021, 14, 3927–3936. [Google Scholar] [CrossRef]
  18. Fang, G.; Xu, H.; Yang, S.; Lou, X.; Fang, L. Synergistic use of Sentinel-1, Sentinel-2, and Landsat 8 in predicting forest variables. Ecol. Indic. 2023, 151, 110296. [Google Scholar] [CrossRef]
  19. Gao, S.; Niu, Z.; Huang, N.; Hou, X. Estimating the Leaf Area Index, height and biomass of maize using HJ-1 and RADARSAT-2. Int. J. Appl. Earth Obs. 2013, 24, 1–8. [Google Scholar] [CrossRef]
  20. Valero, S.; Arnaud, L.; Planells, M.; Ceschia, E. Synergy of Sentinel-1 and Sentinel-2 Imagery for Early Seasonal Agricultural Crop Mapping. Remote Sens. 2021, 13, 4891. [Google Scholar] [CrossRef]
  21. Spracklen, B.; Spracklen, D.V. Synergistic Use of Sentinel-1 and Sentinel-2 to Map Natural Forest and Acacia Plantation and Stand Ages in North-Central Vietnam. Remote Sens. 2021, 13, 185. [Google Scholar] [CrossRef]
  22. Huaguo, H. Principles and Applications of the Three-dimensional Remote Sensing Mechanism Model RAPID. Remote Sens. Technol. Appl. 2019, 34, 901–913. [Google Scholar] [CrossRef]
  23. Huang, H.; Zhang, Z.; Ni, W.; Chai, L.; Qin, W.; Liu, G.; Xie, D.; Jiang, L.; Liu, Q. Extending RAPID model to simulate forest microwave backscattering. Remote Sens. Environ. 2018, 217, 272–291. [Google Scholar] [CrossRef]
  24. Gastellu-Etchegorry, J.P.; Lauret, N.; Yin, T.; Landier, L.; Kallel, A.; Malenovsky, Z.; Bitar, A.A.; Aval, J.; Benhmida, S.; Qi, J. DART: Recent Advances in Remote Sensing Data Modeling With Atmosphere, Polarization, and Chlorophyll Fluorescence. IEEE J. Sel. Top. Appl. Earth Obs. Remote Sens. 2017, 10, 2640–2649. [Google Scholar] [CrossRef]
  25. Huang, H.; Qin, W.; Liu, Q. RAPID: A Radiosity Applicable to Porous IndiviDual Objects for directional reflectance over complex vegetated scenes. Remote Sens. Environ. 2013, 132, 221–237. [Google Scholar] [CrossRef]
  26. Ferreira, M.P.; Féret, J.; Grau, E.; Gastellu-Etchegorry, J.; Do Amaral, C.H.; Shimabukuro, Y.E.; de Souza Filho, C.R. Retrieving structural and chemical properties of individual tree crowns in a highly diverse tropical forest with 3D radiative transfer modeling and imaging spectroscopy. Remote Sens. Environ. 2018, 211, 276–291. [Google Scholar] [CrossRef]
  27. Wang, C.; Qi, J. Biophysical estimation in tropical forests using JERS-1 SAR and VNIR imagery. II. Aboveground woody biomass. Int. J. Remote Sens. 2008, 29, 6827–6849. [Google Scholar] [CrossRef]
  28. Tebaldini, S.; Rocca, F. Multibaseline Polarimetric SAR Tomography of a Boreal Forest at P- and L-Bands. IEEE Trans. Geosci. Remote Sens. 2012, 50, 232–246. [Google Scholar] [CrossRef]
  29. Ji, Y.; Zhang, F.; Zhang, W.; Zhao, L.; Xu, K.; Shi, J.; Huang, G.; Jing, Q.; Wang, L.; Yang, F. Exploring optimal combinations of multi-frequency polarimetric SAR observations to estimate forest above-ground biomass. Geo-Spat. Inf. Sci. 2024, 28, 629–647. [Google Scholar] [CrossRef]
  30. Le Toan, T.; Beaudoin, A.; Riom, J.; Guyon, D. Relating forest biomass to SAR data. IEEE Trans. Geosci. Remote Sens. 1992, 30, 403–411. [Google Scholar] [CrossRef]
  31. Mermoz, S.; Réjou-Méchain, M.; Villard, L.; Le Toan, T.; Rossi, V.; Gourlet-Fleury, S. Decrease of L-band SAR backscatter with biomass of dense forests. Remote Sens. Environ. 2015, 159, 307–317. [Google Scholar] [CrossRef]
  32. Lal, P.; Kumar, A.; Saikia, P.; Das, A.; Patnaik, C.; Kumar, G.; Pandey, A.C.; Srivastava, P.; Dwivedi, C.S.; Khan, M.L. Effect of vegetation structure on above ground biomass in tropical deciduous forests of Central India. Geocarto Int. 2022, 37, 6294–6310. [Google Scholar] [CrossRef]
  33. Bousbih, S.; Zribi, M.; Lili-Chabaane, Z.; Baghdadi, N.; El, H.M.; Gao, Q.; Mougenot, B. Potential of Sentinel-1 Radar Data for the Assessment of Soil and Cereal Cover Parameters. Sensors 2017, 17, 2617. [Google Scholar] [CrossRef]
  34. Huang, W.; Sun, G.; Ni, W.; Zhang, Z.; Dubayah, R. Sensitivity of Multi-Source SAR Backscatter to Changes in Forest Aboveground Biomass. Remote Sens. 2015, 7, 9587–9609. [Google Scholar] [CrossRef]
  35. Zhang, T.; Lin, H.; Long, J.; Zheng, H.; Ye, Z.; Liu, Z. Evaluating the Sensitivity of Polarimetric Features Related to Rotation Domain and Mapping Chinese Fir AGB Using Quad-Polarimetric SAR Images. Remote Sens. 2023, 15, 1519. [Google Scholar] [CrossRef]
  36. Rahimizadeh, N.; Sahebi, M.R.; Babaie Kafaky, S.; Mataji, A. Estimation of trees height and vertical structure using SAR interferometry in uneven-aged and mixed forests. Environ. Monit. Assess. 2021, 193, 298. [Google Scholar] [CrossRef]
  37. He, C.; Tian, X.; Wang, H. Integrating species functional and architectural traits for improving crown width prediction in subtropical multispecies forests using nonlinear hierarchical models. Ecol. Inform. 2025, 90, 103215. [Google Scholar] [CrossRef]
  38. Bohlin, J.; Wallerman, J.; Fransson, J.E.S.; Sveriges, L. Forest variable estimation using photogrammetric matching of digital aerial images in combination with a high-resolution DEM. Scand. J. For. Res. 2012, 27, 692–699. [Google Scholar] [CrossRef]
  39. Tompalski, P.; White, J.C.; Coops, N.C.; Wulder, M.A. Quantifying the contribution of spectral metrics derived from digital aerial photogrammetry to area-based models of forest inventory attributes. Remote Sens. Environ. 2019, 234, 111434. [Google Scholar] [CrossRef]
  40. Mao, Z.; Lu, Z.; Wu, Y.; Deng, L. DBH Estimation for Individual Tree: Two-Dimensional Images or Three-Dimensional Point Clouds? Remote Sens. 2023, 15, 4116. [Google Scholar] [CrossRef]
  41. Shamsoddini, A.; Trinder, J.C.; Turner, R. Pine plantation structure mapping using WorldView-2 multispectral image. Int. J. Remote Sens. 2013, 34, 3986–4007. [Google Scholar] [CrossRef]
  42. Heiskanen, J. Tree cover and height estimation in the Fennoscandian tundra–taiga transition zone using multiangular MISR data. Remote Sens. Environ. 2006, 103, 97–114. [Google Scholar] [CrossRef]
  43. Pu, R.; Landry, S. Evaluating seasonal effect on forest leaf area index mapping using multi-seasonal high resolution satellite pleiades imagery. Int. J. Appl. Earth Obs. 2019, 80, 268–279. [Google Scholar] [CrossRef]
  44. Salazar-Neira, J.C.; Mialon, A.; Richaume, P.; Mermoz, S.; Kerr, Y.H.; Bouvet, A.; Le Toan, T.; Boitard, S.; Rodríguez-Fernández, N.J. Above-Ground Biomass Estimation Based on Multi-Angular L-Band Measurements of Brightness Temperatures. IEEE J. Sel. Top. Appl. Earth Obs. Remote Sens. 2023, 16, 5813–5827. [Google Scholar] [CrossRef]
  45. Lu, D.; Chen, Q.; Wang, G.; Liu, L.; Li, G.; Moran, E. A survey of remote sensing-based aboveground biomass estimation methods in forest ecosystems. Int. J. Digit. Earth 2014, 9, 63–105. [Google Scholar] [CrossRef]
  46. Yongjie, J.; Congrui, Y.; Wangfei, Z.; Peng, Z.; Fuxiang, Z.; Ya’Ni, Q. Forest above ground biomass estimation using airborne P band polarimetric SAR data. J. Zhejiang A F Univ. 2022, 39, 971–980. [Google Scholar] [CrossRef]
  47. Cartus, O.; Santoro, M.; Wegmueller; Rommen, B. Benchmarking the Retrieval of Biomass in Boreal Forests Using P-Band SAR Backscatter with Multi-Temporal C- and L-Band Observations. Remote Sens. 2019, 11, 1695. [Google Scholar] [CrossRef]
  48. Qi, F.; Erxue, C.; Zengyuan, L.; Lan, L.; Lei, Z. Forest Above-Ground Biomass Estimation Method for Rugged Terrain Based on Airborne P-Band PolSAR Data. Sci. Silvae Sin. 2016, 52, 13. [Google Scholar] [CrossRef]
  49. Bartalev, S.A.; Belward, A.S.; Isaev, D.V.E.A. A new SPOT4-VEGETATION derived land cover map of Northern Eurasia. Int. J. Remote Sens. 2003, 24, 1977–1982. [Google Scholar] [CrossRef]
  50. Deering, S.S.W. Structure Analysis and Classification of Boreal Forests Using Airborne Hyperspectral BRDF Data from ASAS. Remote Sens. Environ. 1999, 69, 281–295. [Google Scholar] [CrossRef]
  51. Abuelgasim, A.A.; Gopal, S.; Irons, J.R.; Strahler, A.H. Classification of ASAS multiangle and multispectral measurements using artificial neural networks. Remote Sens. Environ. 1996, 57, 79–87. [Google Scholar] [CrossRef]
  52. Gemmell, F. Testing the utility of multi-angle spectral data for reducing the effects of background spectral variations in forest reflectance model inversion. Remote Sens. Environ. 2000, 72, 46–63. [Google Scholar] [CrossRef]
  53. Disney, M.; Lewis, P.; Saich, P. 3D modelling of forest canopy structure for remote sensing simulations in the optical and microwave domains. Remote Sens. Environ. 2006, 100, 114–132. [Google Scholar] [CrossRef]
  54. Sexton, J.O.; Song, X.; Feng, M.; Noojipady, P.; Anand, A.; Huang, C.; Kim, D.; Collins, K.M.; Channan, S.; DiMiceli, C.; et al. Global, 30-m resolution continuous fields of tree cover: Landsat-based rescaling of MODIS vegetation continuous fields with lidar-based estimates of error. Int. J. Digit. Earth 2013, 6, 427–448. [Google Scholar] [CrossRef]
  55. Leng, Y.; Li, W.; Ciais, P.; Sun, M.; Zhu, L.; Yue, C.; Chang, J.; Yao, Y.; Zhang, Y.; Zhou, J.; et al. Forest aging limits future carbon sink in China. One Earth 2024, 7, 822–834. [Google Scholar] [CrossRef]
  56. Mermoz, S.; Le Toan, T.; Villard, L.; Réjou-Méchain, M.; Seifert-Granzin, J. Biomass assessment in the Cameroon savanna using ALOS PALSAR data. Remote Sens. Environ. 2014, 155, 109–119. [Google Scholar] [CrossRef]
Figure 1. Three-dimensional scenarios with varying canopy widths. The left column represents a canopy width of 2.5 m, the middle column a width of 3 m, and the right column a width of 3.5 m.
Figure 1. Three-dimensional scenarios with varying canopy widths. The left column represents a canopy width of 2.5 m, the middle column a width of 3 m, and the right column a width of 3.5 m.
Forests 16 01244 g001
Figure 2. The backscatter coefficient with varying DBH: (a) HH-polarized backscatter coefficient; (b) VV-polarized backscatter coefficient; (c) HV-polarized backscatter coefficient; (d) VH-polarized backscatter coefficient. Note: Backscatter coefficients vary across different bands because of wavelength-specific penetration. y-axis ranges differ across polarizations to resolve band-specific signal dynamics. For comparisons of cross-band sensitivity, consult the CV values in Table 2, rather than the absolute dB variations depicted in this figure.
Figure 2. The backscatter coefficient with varying DBH: (a) HH-polarized backscatter coefficient; (b) VV-polarized backscatter coefficient; (c) HV-polarized backscatter coefficient; (d) VH-polarized backscatter coefficient. Note: Backscatter coefficients vary across different bands because of wavelength-specific penetration. y-axis ranges differ across polarizations to resolve band-specific signal dynamics. For comparisons of cross-band sensitivity, consult the CV values in Table 2, rather than the absolute dB variations depicted in this figure.
Forests 16 01244 g002
Figure 3. The reflectance with varying DBH. The RGB band is on the primary y-axis, while the NIR band is on the secondary y-axis.
Figure 3. The reflectance with varying DBH. The RGB band is on the primary y-axis, while the NIR band is on the secondary y-axis.
Forests 16 01244 g003
Figure 4. The backscatter coefficient with varying H: (a) HH-polarized backscatter coefficient; (b) VV-polarized backscatter coefficient; (c) HV-polarized backscatter coefficient; (d) VH-polarized backscatter coefficient. Note: Backscatter coefficients vary across different bands because of wavelength-specific penetration. y-axis ranges differ across polarizations to resolve band-specific signal dynamics. For comparisons of cross-band sensitivity, consult the CV values in Table 3, rather than the absolute dB variations depicted in this figure.
Figure 4. The backscatter coefficient with varying H: (a) HH-polarized backscatter coefficient; (b) VV-polarized backscatter coefficient; (c) HV-polarized backscatter coefficient; (d) VH-polarized backscatter coefficient. Note: Backscatter coefficients vary across different bands because of wavelength-specific penetration. y-axis ranges differ across polarizations to resolve band-specific signal dynamics. For comparisons of cross-band sensitivity, consult the CV values in Table 3, rather than the absolute dB variations depicted in this figure.
Forests 16 01244 g004
Figure 5. The reflectance with varying H. The RGB band is on the primary y-axis, while the NIR band is on the secondary y-axis.
Figure 5. The reflectance with varying H. The RGB band is on the primary y-axis, while the NIR band is on the secondary y-axis.
Forests 16 01244 g005
Figure 6. The backscatter coefficient with varying CW: (a) HH-polarized backscatter coefficient; (b) VV-polarized backscatter coefficient; (c) HV-polarized backscatter coefficient; (d) VH-polarized backscatter coefficient. Note: Backscatter coefficients vary across different bands because of wavelength-specific penetration. y-axis ranges differ across polarizations to resolve band-specific signal dynamics. For comparisons of cross-band sensitivity, consult the CV values in Table 4, rather than the absolute dB variations depicted in this figure.
Figure 6. The backscatter coefficient with varying CW: (a) HH-polarized backscatter coefficient; (b) VV-polarized backscatter coefficient; (c) HV-polarized backscatter coefficient; (d) VH-polarized backscatter coefficient. Note: Backscatter coefficients vary across different bands because of wavelength-specific penetration. y-axis ranges differ across polarizations to resolve band-specific signal dynamics. For comparisons of cross-band sensitivity, consult the CV values in Table 4, rather than the absolute dB variations depicted in this figure.
Forests 16 01244 g006
Figure 7. The reflectance with varying CW. The RGB band is on the primary y-axis, while the NIR band is on the secondary y-axis.
Figure 7. The reflectance with varying CW. The RGB band is on the primary y-axis, while the NIR band is on the secondary y-axis.
Forests 16 01244 g007
Figure 8. The backscatter coefficient with varying LAI: (a) HH-polarized backscatter coefficient; (b) VV-polarized backscatter coefficient; (c) HV-polarized backscatter coefficient; (d) VH-polarized backscatter coefficient. Note: Backscatter coefficients vary across different bands because of wavelength-specific penetration. y-axis ranges differ across polarizations to resolve band-specific signal dynamics. For comparisons of cross-band sensitivity, consult the CV values in Table 5, rather than the absolute dB variations depicted in this figure.
Figure 8. The backscatter coefficient with varying LAI: (a) HH-polarized backscatter coefficient; (b) VV-polarized backscatter coefficient; (c) HV-polarized backscatter coefficient; (d) VH-polarized backscatter coefficient. Note: Backscatter coefficients vary across different bands because of wavelength-specific penetration. y-axis ranges differ across polarizations to resolve band-specific signal dynamics. For comparisons of cross-band sensitivity, consult the CV values in Table 5, rather than the absolute dB variations depicted in this figure.
Forests 16 01244 g008
Figure 9. The reflectance with varying LAI. The RGB band is on the primary y-axis, while the NIR band is on the secondary y-axis.
Figure 9. The reflectance with varying LAI. The RGB band is on the primary y-axis, while the NIR band is on the secondary y-axis.
Forests 16 01244 g009
Figure 10. CV variation with DBH at different angles for SAR data: (a) C-band; (b) L-band; (c) P-band.
Figure 10. CV variation with DBH at different angles for SAR data: (a) C-band; (b) L-band; (c) P-band.
Forests 16 01244 g010
Figure 11. CV variation with H at different angles for SAR data: (a) C-band; (b) L-band; (c) P-band.
Figure 11. CV variation with H at different angles for SAR data: (a) C-band; (b) L-band; (c) P-band.
Forests 16 01244 g011
Figure 12. CV variation with H at different angles for optical data.
Figure 12. CV variation with H at different angles for optical data.
Forests 16 01244 g012
Figure 13. CV variation with CW at different angles for SAR data: (a) C-band; (b) L-band; (c) P-band.
Figure 13. CV variation with CW at different angles for SAR data: (a) C-band; (b) L-band; (c) P-band.
Forests 16 01244 g013
Figure 14. CV variation with CW at different angles for optical data.
Figure 14. CV variation with CW at different angles for optical data.
Forests 16 01244 g014
Figure 15. CV variation with LAI at different angles for SAR data: (a) C-band; (b) L-band; (c) P-band.
Figure 15. CV variation with LAI at different angles for SAR data: (a) C-band; (b) L-band; (c) P-band.
Forests 16 01244 g015
Figure 16. CV variation with LAI at different angles for optical data.
Figure 16. CV variation with LAI at different angles for optical data.
Forests 16 01244 g016
Table 1. Individual tree input parameters of the RAPID model.
Table 1. Individual tree input parameters of the RAPID model.
Model InputRangeDefault Value
DBH10–20 cm, step size 1 cm15
H16–26 m, step size 1 m20
CW2.5–5.5 m, step size 0.5 m3
LAI5–10 (step size 1), 15, 20, 3020
Table 2. Statistical analysis of backscatter coefficients with DBH.
Table 2. Statistical analysis of backscatter coefficients with DBH.
DBHCLP
HHmin−0.457 −8.358 −11.587
max−0.370 −8.225 −11.258
range0.087 0.132 0.329
CV(%)−6.73 −0.40 −1.00
VVmin−1.252 −8.666 −11.954
max−1.226 −8.633 −11.902
range0.025 0.033 0.052
CV(%)−0.66 −0.10 −0.17
HVmin−14.098 −13.058 −16.925
max−14.090 −13.044 −16.901
range0.008 0.014 0.024
CV(%)−0.02 −0.03 −0.04
VHmin−14.196 −13.228 −17.273
max−14.187 −13.216 −17.259
range0.009 0.013 0.014
CV(%)−0.02 −0.02 −0.02
Table 3. Statistical analysis of backscatter coefficients with H.
Table 3. Statistical analysis of backscatter coefficients with H.
HCLP
HHmin−0.861−8.680−11.928
max−0.056−7.982−11.170
range0.8050.6970.758
CV(%)−52.68−2.65−2.09
VVmin−1.754−9.128−12.367
max−0.830−8.239−11.631
range0.9240.8890.736
CV(%)−22.38−3.27−1.98
HVmin−14.688−13.698−17.564
max−13.633−12.545−16.451
range1.0541.1531.113
CV(%)−2.39−2.84−2.11
VHmin−14.741−13.791−17.780
max−13.757−12.765−16.890
range0.9851.0260.890
CV(%)−2.21−2.49−1.65
Table 4. Statistical analysis of backscatter coefficients with CW.
Table 4. Statistical analysis of backscatter coefficients with CW.
CWCLP
HHmin−0.706−8.777−12.011
max−0.425−8.302−11.154
range0.2810.4750.857
CV(%)−17.26−1.79−2.54
VVmin−1.495−8.879−12.571
max−1.198−8.639−11.336
range0.2980.2401.235
CV(%)−7.74−1.05−3.57
HVmin−14.316−13.374−17.499
max−14.076−13.048−16.468
range0.2410.3261.031
CV(%)−0.60−0.77−2.07
VHmin−14.457−13.440−17.913
max−14.141−13.216−16.620
range0.3160.2241.292
CV(%)−0.73−0.66−2.56
Table 5. Statistical analysis of backscatter coefficients with LAI.
Table 5. Statistical analysis of backscatter coefficients with LAI.
LAICLP
HHmin−3.539−8.559−11.680
max0.279−7.406−11.072
range3.8181.1530.608
CV(%)−63.39−4.48−1.63
VVmin−4.577−8.868−12.107
max−0.432−7.771−11.559
range4.1441.0970.548
CV(%)−45.95−4.07−1.41
HVmin−17.535−13.347−17.101
max−13.321−12.034−16.502
range4.2141.3130.599
CV(%)−8.41−3.19−1.09
VHmin−17.640−13.520−17.449
max−13.402−12.145−16.809
range4.2391.3750.640
CV(%)−8.39−3.31−1.13
Disclaimer/Publisher’s Note: The statements, opinions and data contained in all publications are solely those of the individual author(s) and contributor(s) and not of MDPI and/or the editor(s). MDPI and/or the editor(s) disclaim responsibility for any injury to people or property resulting from any ideas, methods, instructions or products referred to in the content.

Share and Cite

MDPI and ACS Style

Mao, Z.; Deng, L.; Liu, X.; Wang, Y. A Comparative Analysis of SAR and Optical Remote Sensing for Sparse Forest Structure Parameters: A Simulation Study. Forests 2025, 16, 1244. https://doi.org/10.3390/f16081244

AMA Style

Mao Z, Deng L, Liu X, Wang Y. A Comparative Analysis of SAR and Optical Remote Sensing for Sparse Forest Structure Parameters: A Simulation Study. Forests. 2025; 16(8):1244. https://doi.org/10.3390/f16081244

Chicago/Turabian Style

Mao, Zhihui, Lei Deng, Xinyi Liu, and Yueyang Wang. 2025. "A Comparative Analysis of SAR and Optical Remote Sensing for Sparse Forest Structure Parameters: A Simulation Study" Forests 16, no. 8: 1244. https://doi.org/10.3390/f16081244

APA Style

Mao, Z., Deng, L., Liu, X., & Wang, Y. (2025). A Comparative Analysis of SAR and Optical Remote Sensing for Sparse Forest Structure Parameters: A Simulation Study. Forests, 16(8), 1244. https://doi.org/10.3390/f16081244

Note that from the first issue of 2016, this journal uses article numbers instead of page numbers. See further details here.

Article Metrics

Back to TopTop