Next Article in Journal
The Influence of Pruning on the Growth and Wood Properties of Populus deltoides “Nanlin 3804”
Previous Article in Journal
Being Edgy: Ecotones of Ground Cover Vegetation in Managed Black Alder Habitats
Previous Article in Special Issue
Growth Ring and Its Climatic Signal on Shrub Species of the Semi-Desert Area in the Northern Foot of Yinshan Mountain, Inner Mongolia, China
 
 
Font Type:
Arial Georgia Verdana
Font Size:
Aa Aa Aa
Line Spacing:
Column Width:
Background:
Article

The Changes in Annual Precipitation in the Forest–Steppe Ecotone of North China Since 1540

1
College of Geographical Sciences, Changchun Normal University, Changchun 130032, China
2
Northeast Institute of Geography and Agroecology, Chinese Academy of Sciences, Changchun 130102, China
*
Author to whom correspondence should be addressed.
Forests 2025, 16(5), 847; https://doi.org/10.3390/f16050847
Submission received: 4 April 2025 / Revised: 16 May 2025 / Accepted: 16 May 2025 / Published: 19 May 2025

Abstract

Understanding precipitation changes over a long period of time can provide valuable insights into global climate change. Taking the forest–steppe ecotone of North China as the research area, based on the tree ring width index of Carya cathayensis Sarg (Carya cathayensis), the relationship between tree growth and climate factors is analyzed, and the annual precipitation is reconstructed from data from the nearest five weather stations from AD 1540 to 2019. The results show that the growth of trees was affected by the changes in precipitation. The precipitation was divided into three dry periods and three wet periods over 480 years, based on wavelet analysis. There were 328 years of precipitation within the mean plus or minus one standard deviation (SD) (accounting for 68.3% of 480 years), indicating that relatively stable climate conditions exist in the study area, which has become one of the main agricultural areas in China. Each period lasted 2–7 years according to the multi-taper method, indicating that precipitation change was closely related to the El Niño–Southern Oscillation (ENSO) on a short time scale and affected by the Atlantic Multidecadal Oscillation (AMO) on a medium time scale during the period of 60–80 years based on wavelet analysis.

1. Introduction

The continuous change in the Earth’s climate is closely associated with the context of sustainability [1]. Precipitation change is known to be highly sensitive to climate change and is related to flood and drought disasters for agricultural development [2]. Therefore, it is important to understand precipitation variability and its impacts on regional climates. Tree rings may help reconstruct precipitation data, with their precise dating, annual resolution, and long time span [3]. Based on annual ring technology, many studies have been conducted on long-term precipitation changes [4,5,6]. Precipitation changes were analyzed over the past 367 years, and a wetting trend was found from the 1970s onward in the Salween and Brahmaputra River basins of Asia, using 129 tree cores of Juniperus tibetica Komarov [7]. The maximum length across 13 dry periods was six years, from 1100–1106, based on annual precipitation (October through September) in Morocco, using Cedrus atlantica Manetti tree ring chronologies [8]. Extreme drought events were quantified by precipitation data reconstructed from tree ring proxies of dominant tree species in the Tianshan Mountains, China [9]. There were three significant regime shifts (1770–1935, 1936–1959 (above-average moisture), and 1960–2020 (below-average moisture)) in the total precipitation reconstructed between 1770 and 2020 for July through September in the southeastern USA, as determined through proxy indicators from tree ring data [10]. A tree ring width chronology (RES) of Pinus tabuliformis Carriere was established to analyze the long-term rainfall for a January–June change, and the results showed that there were ten extremely dry years and six extremely wet years during the period from 1724 to 2019 in southeast Shanxi Province, China [11]. The inter-annual variability of precipitation from March to June was similar to that of the El Niño–Southern Oscillation (ENSO) (2.4–6.5 years) and Atlantic Multidecadal Oscillation (AMO) (24.8–39.2 years), using Abies spectabilis (D. Don) Mirb tree ring width since 1840 in the Rara National Park, western Nepal Himalaya [12]. The above studies all used tree ring data to extend precipitation data and studied precipitation changes over a long time scale. It was found that precipitation changes were related to the ENSO and AMO. However, due to the limitations of tree ages, the longest time span was 300–400 years, and climate change has not been studied over a longer period of time. In particular, in the region of northern China, which is sensitive to climate change, there is less research. Therefore, it is important to use tree ring data to analyze precipitation change over a 500-year time scale in northern China.
The North China region, located in the transitional zone between semi-arid and semi-humid regions, is sensitive to climate change, and it is a typical area for studying precipitation variation [13,14,15]. The precipitation varies greatly, and extreme droughts and floods have occurred in northern China. According to a high-density hourly observational dataset from 2007 to 2017, there is a high-rainfall zone along the south of the Yanshan Mountains to the Taihang Mountains in North China and a consistently long-term decreasing trend in precipitation [16]. During the rainy season (June–September) from 1979 to 2018, extreme precipitation events were identified by applying the clustering method over North China [17]. According to the reconstructed Community Earth System Model (CESM) simulation data, the summer precipitation in North China had an abrupt point of interdecadal transition in precipitation after 1644 [18]. Precipitation change is related to the influence of monsoon fluctuations in northern China. The rainfall decreased by 19.59%, with a 50% reduction in the westerly-driven water vapor transport, and when the water vapor transported by the East Asian summer monsoon (EASM) was likewise halved, the precipitation decreased by 38.31% in North China from 1979 to 2019, according to numerical simulations [19]. The above studies all researched precipitation changes, relatively in-depth, in northern China. However, due to the fact that the above studies were based on meteorological data and historical information, the time scale was either too short (less than a hundred years) or the historical records were vague, resulting in the low accuracy of the research results.
Therefore, it is necessary to conduct an in-depth analysis of climate change mechanisms related to precipitation changes on a longer timescale and higher temporal resolution in northern China. Hence, we took the Yanshan region as the research area and used tree rings of Carya cathayensis Sarg (Carya cathayensis) to study precipitation changes over the past 480 years. The results reveal the characteristics of climate change on a timescale of several hundred years and help us understand the driving mechanisms of climate change. The main scientific problems addressed in this study were as follows:
(1) Understanding the impact mechanism of climate factors on tree growth based on the relationship between tree rings and climate factors.
(2) Extracting extreme precipitation using precipitation data of hundreds of years reconstructed from annual rings to reveal the occurrence of drought and flood over 480 years.
(3) Revealing the mechanism of regional precipitation changes by utilizing the characteristics of precipitation changes at different time scales since 1540.

2. Materials and Methods

2.1. Study Area and Tree Ring Sampling

The north of the study area is mainly focused on animal husbandry, while the south is a traditional agricultural area in China [20]. The precipitation is concentrated in July and August, with the highest temperature affected by the East Asian monsoon climate [21]. According to the instrumental climate data from the four climate stations in this region (Figure 1), the annual mean temperature was 9.9 °C, with the lowest monthly mean temperature of −7.2 °C in January and the highest monthly mean temperature of 24.7 °C in July (Figure 2a,c). The annual precipitation was 694 mm, with precipitation during the summer (May to September) accounting for 88% of the total annual precipitation (Figure 2b,c). There are scattered Carya cathayensis in the Yanshan Mountains, which have a long history of survival. The population in the study area is relatively small due to the mountainous region, and there is weak interference with the growth of Carya cathayensis [22]. Therefore, the growth of Carya cathayensis is sensitive to climate change, especially precipitation changes, and may help to reconstruct historical precipitation data and reveal precipitation change over a long time scale [23]. We used Haglof increment borers (5.15 mm) to collect two cores per tree, offset by as close to 90° as possible, approximately 1.3 m above ground. A total of 116 cores (four cores were removed due to damage) from the diameter at breast height greater than 30 cm were collected at breast height from 2 July 2018 to 14 September 2018 in six plots of the study area (Figure 1). All cores were dried, mounted, surfaced, and cross-dated following standard dendrochronological procedures [24]. Each ring width was measured with a resolution of 0.001 mm using a dendrometer (Velmex Measuring System, American Forests in PA of USA) [25].

2.2. Chronology Development

The COFECHA program may eliminate cores with poor consistency between the ring series and the master series caused by young age and abnormal growth (including multiple singular points) of cores [26] due to the low correlation coefficients between abnormal growth cores and the master series. Therefore, the COFECHA program has become a special program for the cross-dating and detection of measurement errors in tree rings and is widely used in current tree ring research [27]. The final cross-dating was checked using the COFECHA program, and the Pearson critical correlation with a 99% confidence level and r = 0.3665 for analysis windows of 40 years was overlapped every 20 years, with a 32-year spline. Finally, the cores that had a low correlation (47 cores) with the master series were removed from 116 samples for chronology development using the COFECHA program [28]. The ARSTAN program is a commonly used software for establishing tree chronology. Based on removing the growth trend from tree ring data, the series is standardized, and the chronology is established, including climate information, which may be used to study climate change [29]. The chronological order was developed with a bi-weight robust mean method using the ARSTAN program [30]. To remove undesirable growth trends linked to age, we chose smoothing curves to standardize the data [31], which can be used for growth–climate analysis [32]. A standardized (STD) chronology yielded the strongest correlation with the instrumental annual precipitation based on chronological parameters (mean index (MI) > 0.95, standard deviation (SD) = 0.03, and variance first eigenvector (PCA1) = 43.28%) [33]. Finally, we used the STD chronology for our final reconstruction. The mean series intercorrelation was 0.36, and the first-order autocorrelation was 0.46 for chronology reliability, which showed that the STD was sufficient for climate change analysis [34]. Due to the decreasing number of samples with the move back in time, the chronology confidence decreased. The expressed population signal (EPS) above the level of 0.85 (>0.85) was used to truncate the ring width chronologies for climate analysis [35] (Figure 3).

2.3. Meteorological Data and Correlation Analysis

The monthly average temperature and precipitation data were obtained from Qinglong (118.57° E, 40.25° N), Funing (119.23° E, 39.88° N), Qinhuangdao (119.60° E, 39.93° N), and Lulong stations (118.53° E, 39.53° N) near the tree ring sampling spots for 1961–2019 (Figure 1). Based on the average data of the four stations, the climate factors were calculated and extracted for the study area from 1961 to 2019. We calculated the correlation coefficients (Rs) between the STD and climatic factors to reveal the impact of climatic factors on tree growth. The climatic factors included the monthly climate averages (temperature and precipitation) from March of the previous growth year through November of the current year (Figure 4). In addition, the relationship between the STD and annual precipitation was examined using correlation analysis.

2.4. Reconstruction of Annual Precipitation

The relationship was computed from 1961 to 2019 using the linear equation between the STD (independent variable) and annual precipitation (dependent variable) (Equation (1)). The equation passed the test of the leave-one-out model (reduction of errors (RE): 0.334; Durbin–Watson statistical coefficient (DW): 1.717; and product mean test (PMT): 3.504 (p < 0.05)). These values show that the annual precipitation may be computed by the equation [36]. Therefore, the annual precipitation from 1540 to 1960 was calculated according to Equation (1), as follows:
Y = −1214 + 1934·x (r = 0.687, R2 = 0.472, R2adj = 0.462, p < 0.01),
where the annual precipitation is represented as Y, and the tree ring width index is represented as x. The annual precipitation records were calculated based on data from four weather stations for 1961–2019. Finally, a series for the annual precipitation from 1540 to 2019 was reconstructed by combining these two results. We used the mean of the annual precipitation over 480 years and the positive or negative difference of one SD to reveal the characteristics of extreme precipitation (Figure 5). Based on the method of Zhang et al. (2014) [37], when the precipitation is greater than 927 mm (mean (666 mm) + 1 SD (261 mm)), it is a wet year; when the precipitation is less than 405 mm (mean (666 mm) − 1 SD (261 mm)), it is a dry year.

2.5. Periodic Analysis of Precipitation

Wavelet analysis can extract low-frequency periodic signals from climate data for long time scales. We obtained the wavelet coefficients using wavelet transform to reveal the long-term change of the reconstructed precipitation based on the wavelet coefficient changes (curve closure is a period) [38]. However, due to the complexity of the curve changes, the segmentation points were not accurate. Therefore, we also used breakpoint analysis to determine the accurate year of the periodic changes. Finally, the long-term periodic changes were analyzed using wavelet analysis combined with breakpoint analysis. The annual precipitation series was divided into six different periods using wavelet analysis and breakpoint analysis (Figure 6). The precipitation change in each period was revealed by linear and sixth-degree function fitting methods (Figure 7). The multi-taper method (MTM) is a low-variance, high-resolution spectral analysis method, which is particularly suitable for the periodical analysis of weak signals under high noise backgrounds in nonlinear climate time series and has strong recognition ability in high-frequency time periods (short time scales) [39]. When the confidence level of the estimated spectrum value of the reconstructed precipitation for a certain year (reciprocal of power) is higher than 90%, especially higher than 99%, this indicates that the reconstructed precipitation has strong periodicity in the numerical values of that year [40]. The pattern of 480 years for precipitation change may be understood using the MTM for short time scales (Figure 8).

3. Results

3.1. Climate–Growth Relationships

The Rs between the STD and the average temperature in June, July, and August of the current year were 0.35 (p < 0.05), 0.49 (p < 0.01), and 0.28 (p < 0.05), respectively (Figure 4a), which reached significance, indicating that during the active growth period (June, July and August), the increase in temperature accelerated the growth of the tree ring width [41]. The mean of the average monthly temperature from 1961 to 2019 was 22 °C in June, 25 °C in July, and 24 °C in August in this area (Figure 2a). These three months were the most active period for tree growth. High temperatures cause trees to enter an active growth stage. The rapid growth of tree cells promotes ring width expansion [42]. In addition, the R was 0.26 between the February temperatures, and the STD also reached significance (p < 0.05) (Figure 4a), indicating that trees survive the cold period by using reserve resources. If the temperature rises in the cold period and trees lose fewer resources, this will result in relatively larger ring width growth [43]. The Rs were not significant (p > 0.05) between the tree width and all temperature factors of the previous year, indicating that tree growth responds quickly to temperature change without a lag (Figure 4a). The Rs between the STD and the average precipitation in June, July, and August of the current year were 0.33 (p < 0.05), 0.42 (p < 0.01), and 0.52 (p < 0.01), respectively (Figure 4b), indicating that the impact of the precipitation on the tree growth was very significant. The precipitation was highest in June, July, and August, with 100 mm, 231 mm, and 175 mm of rainfall, respectively (Figure 2b). The precipitation was concentrated in these three months in the study area. Sufficient precipitation is an important condition to ensure the wide growth of tree rings in the active growth period in the forest–steppe ecotone [44]. At the same time, there was a significant negative correlation between the STD and the precipitation in April of the previous year (Figure 4b), indicating that the impact of the precipitation changes on tree growth has a certain lag, and tree growth relies on the accumulation of nutrients stored in the previous year. Insufficient nutrient reserves in the previous year limit the growth of the tree ring width in the current year [45]. The positive response of tree growth to climate change further confirms that northern China is a region sensitive to climate change.

3.2. Extraction and Analysis of Extreme Precipitation

Among the reconstructed precipitation series over 480 years, there were 73 wet years (accounting for 15.2% of 480 years), 79 dry years (accounting for 16.5% of 480 years), and 328 normal years (accounting for 68.3% of 480 years). The normal precipitation in most years provides climate security for the study area to become one of the main agricultural areas in China. The maximum annual precipitation was 1615 mm (1898), and the minimum was 0 mm (1642). We considered a wet year (>mean + 1 SD: 927 mm) to be a flooding year and a dry year (<mean − 1 SD: 405 mm) to be a drought. Flooding years occurred twice for a continuous period of 3 years, and 11 times for a continuous period of 2 years, with intervals of 1 year, 2 years, and 3 years occurring 13 times, 7 times, and 7 times, respectively (Table 1). Dry years occurred once, twice, and eight times in a row for 9, 3, and 2 years, respectively, appearing 10 times, 5 times, and 7 times for intervals of 1 year, 2 years, and 3 years, respectively (Table 1). Extreme floods and droughts did occur over the 480 years with large fluctuations. Therefore, the threat to agricultural production may not be ignored. In response to the frequent occurrence of droughts and floods caused by extreme precipitation, it is necessary to reserve a certain amount of food to cope with the possible reduction in food production caused by disasters. Necessary water storage facilities should be built to cope with droughts, and necessary canal and flood discharge regions should be established to cope with floods caused by excessive precipitation.

3.3. The Fluctuation in Precipitation

3.3.1. Long-Term Changes

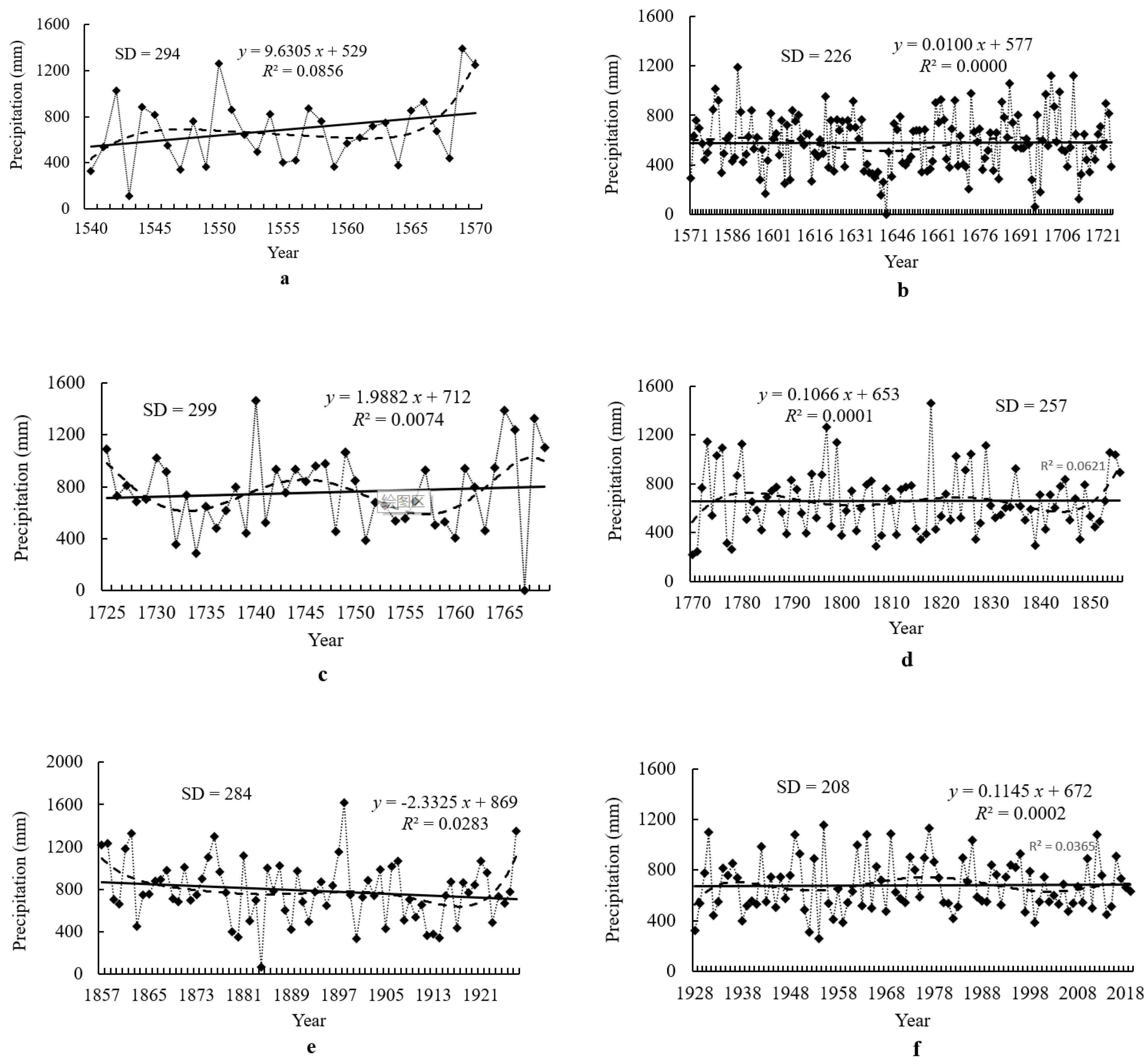
The wavelet analysis showed that the annual precipitation change over 480 years was divided into six periods, namely three wet periods and three dry periods (Figure 6). The first wet period was 1540–1570 (684 mm (mean) ± 294 mm (SD)), the second wet period was 1725–1769 (758 mm ± 299 mm), and the third wet period was 1857–1927 (785 mm ± 284 mm) (Figure 6). The first dry period was 1571–1724 (578 mm ± 227 mm), the second dry period was 1770–1856 (658 mm ± 257 mm), and the third dry period was 1928–2019 (678 mm ± 208 mm) (Figure 6). The duration of the wet periods gradually extended from 31 years (the first wet period) to 45 years (the second wet period) and 71 years (the third wet period) (Figure 6). The average of the annual precipitation in each period gradually increased from 684 mm to 758 mm and 785 mm. The SD of the annual precipitation ranged from 294 mm to 299 mm and 284 mm, with a decreasing trend in fluctuation amplitude. The duration of the drought periods decreased from 154 years (the first dry period) to 87 years (the second dry period) and 91 years (the third dry period) (Figure 6). The average of the annual precipitation in each period gradually increased from 578 mm to 658 mm and 678 mm. The standard deviation of the annual precipitation in each period ranged from 227 mm to 257 mm and 208 mm, with a decreasing trend in the fluctuation amplitude. Two periods of 2–7 years, mainly during 1560–1590 and 1690–1960, and a quasi-20-year period during 1690–1760 can also be observed in the wavelet analyses (Figure 6), reflecting the major periodicity of the ENSO and the Pacific Decadal Oscillation (PDO). Therefore, the ENSO and PDO can exert a robust influence on regional precipitation. Based on the long-term change pattern in precipitation, it is possible to predict disasters that precipitation change can cause in advance and take measures to mitigate their impact.
Although there were five periods in which the slope values of the linear trend lines were positive, except for period (e), each period had low R2s (R2 < 0.1) for the linear trend lines (Figure 7), indicating that precipitation does not strictly follow a linear change. The numbers of inflection points on the sixth-degree function curves from period (a) to period (f) were two, three, four, four, three, and five, with an increasing trend (Figure 7), indicating that the fluctuation process of precipitation tended to become more complex from 1540 to 2019. The SDs from period (a) to (f) were 294, 266, 299, 257, 284, and 208 (Figure 7), respectively. Combined with the low R2s of all linear trend lines, this indicates that the precipitation variability is high, and there may be some periodic changes during fluctuations within each period. Therefore, with the increasing variability in precipitation, water conservancy construction should be gradually strengthened to cope with larger and more frequent droughts and floods that may occur in the future.

3.3.2. Short Time Changes

The results of the multi-taper method (MTM) showed spectral peaks for 2.2–2.4-year (90%), 4.8–4.9-year (90%), 7.4-year (90%), 2.4-year (99%), and 4-year (99%) periods (Figure 8), as detected in our reconstruction. The reconstruction cycle had a relatively concentrated period of 2–7 years, and the precipitation change was significantly affected by the ENSO. In addition, spectral peaks for 36.5-year (90%), 19.6-year (99%), and 10-year (90%) (Figure 8) cycles were detected in our reconstruction. The interdecadal variation of precipitation was strongly correlated with solar activity and multi-year intergenerational oscillations between the atmosphere and the ocean. Based on the periodicity of the precipitation change on a short time scale, some measures should be taken in advance to mitigate the impact of droughts and floods.

4. Discussion

4.1. The Drought Threat

Based on the extreme precipitation changes, dry years numbered 79, and wet years numbered 73. Average annual precipitation of one consecutive 8-year extreme drought was 226 mm from 1637 to 1642, and average annual precipitation of one consecutive 3-year extreme drought was 332 mm from 1670 to 1672. In Northern China, drought is a greater threat than floods. During the 8-year continuous drought period, the droughts led to a significant reduction in food, which exacerbated social unrest. This research result is similar to one that determined that there were 25 floods and 13 droughts, which resulted in a significant reduction in food production and a rapid decline in population [46]. It is also consistent with the frequent occurrence of floods and disasters in Northern China since 1900, causing huge losses [47]. The impact of continuous floods and droughts in this area is obvious. The unbalanced interactions of the human–climate–ecosystem resulted in the downfall of the Ming Dynasty [48]. Prolonged and severe drought for eight consecutive years has occurred in many parts of China, such as Southwest China [49], North China [50], and the Yangtze River Basin [51]. Severe famine has caused a large number of deaths in the population. Europe [52], South Asia [53], and North America [54] have also experienced severe droughts for around eight consecutive years. There have been records of droughts occurring for three consecutive years (1670–1672) in history. For example, there were reports of drought and disaster relief in North China in 1670 [55], 45 counties in Northern China were affected by drought in 1671 [56], and more than 10 counties were affected in Inner Mongolia, where a large amount of stored grain had to be used for disaster relief [57]. Therefore, addressing drought is an important issue that humanity must face in the region and across the globe.

4.2. Comparisons of the Precipitation Reconstruction in the Study Area with Other Regions

To verify our reconstructed precipitation based on the tree ring data of Carya cathayensis in the study area, we compared it with other precipitation records in some areas of Asia (Figure 9a–e). The precipitation in this study area, Northeast China [37] (Figure 9b), the Qinling Bashan region [33] (Figure 9c), Northwest China [58] (Figure 9d), and Southwest China [44] (Figure 9e) all had similar long-term variation characteristics, indicating that the influencing factors of climate change in the Eastern Asian monsoon zone have similar mechanisms. The two periods of high precipitation in the five regions were 1737–1741 and 1816–1820, while the five periods of low precipitation were 1595–1598, 1642–1643, 1911–1916, 1927–1932, and 1952–1957. The transition period from high to low precipitation was 1898–1903. High precipitation periods (five) were greater than low precipitation periods (two), further confirming that droughts are not only the main threat to the study area but also to the Asian monsoon climate zone. However, the precipitation curve of the study area had the highest similarity with the Northeast region and the lowest similarity with the Southwest region, indicating obvious differences in precipitation changes from the middle- to low-latitude regions. In addition, even Northeast China had some differences in precipitation from the study area. For example, from the mid-18th century to the early 19th century, the interannual change in precipitation in Northeast China was larger than that in the study area. From the mid-19th century to the late 19th century, the period of higher precipitation in Northeast China occurred later than that in the study area. Therefore, precipitation changes differ between regions, and climate change has obvious regional characteristics.

4.3. Possible Driving Forces for Precipitation Change

The 2–7-year periods of precipitation reconstructed based on the MTM were similar to the cycles of ENSO and the Indian Ocean Dipole (IOD), which shows that the ENSO and IOD play important roles in climate change in the study area. The influence of the ENSO and IOD occurs almost everywhere in the world. For example, the 2–5-year cycle of precipitation changes in the Qinling–Bashan mountainous area from 1760 up to the present was highly consistent with the cyclical change controlled by the ENSO and IOD [45]. By applying the Dipole Mode Index, the monthly reanalysis datasets were studied for the ERA-Interim with 1° × 1° grids. The results indicated that the seasonal precipitation variation over eastern China has been associated with the IOD and ENSO since 1982 [59]. Seasonal rainfall changes associated with the ENSO and IOD were found in the continent’s 13 major river basins and the Northern and North East Coast of Australia using multilinear regression and complex empirical orthogonal function analyses from 1991 to 2014 [60]. The observed summer precipitation responded to the IOD and ENSO in the European region. Precipitation may increase up to 10–12 mm/month, according to numerical ensemble AGCM simulation experiments over the Central European area, and it may decrease in the eastern part of the Russian Plain and the Ural Mountains [61]. These studies indicate that precipitation changes are closely related to the IOD and ENSO on a short-term scale in many parts of the world. The results of the wavelet analysis indicate that the reconstructed precipitation over 480 years was divided into six periods, with an average of 80 years for each period. This is consistent with the 60–80-year fluctuation period in the AMO and PDO, indicating that precipitation changes in Northern China are influenced by the AMO and PDO on the medium- to long-term time scale. This study is also consistent with other research results. For example, in the western Qinling Mountain range, Northwest China, based on 101 tree cores of 68 old-growth Chinese pine (Pinus tabulaeformis), researchers reconstructed the annual (prior July to current June) precipitation and associated it with AMO and PDO episodes after 1637 [62]. The temporal variability in precipitation strongly responds to the AMO–PDO cycle at a regional scale in the semi-arid area of South Texas in North America [63]. The drought variations related to the precipitation decrease may have been modulated by the AMO and PDO in the Hengduan Mountains of the southeastern Tibetan Plateau since 1704, based on tree ring studies for Abies spectabilis (D. Don) Mirb and Tsuga dumosa (D. Don) Eichler [64]. Central Mexican precipitation has been predominantly controlled by the combined influence of the PDO and AMO. The markedly reduced precipitation is mostly associated with the co-occurrence of a highly positive PDO and a negative AMO between 1600 and 1900 [65]. These findings suggest that the precipitation variation in the world has strong linkages with large-scale ocean–atmosphere–land circulations. However, there was a significant difference in the time length among the six periods divided by wavelet analysis, especially the second dry period, which lasted for 150 years, almost equivalent to the sum of two periods, indicating that precipitation changes are affected by other factors on a longer time scale. Therefore, the factors affecting precipitation changes are different at different time scales, and in the future, it is necessary to study the influencing factors of precipitation changes on a longer time scale.

4.4. The Limitations and Prospects of the Study

Our study used tree ring data from Carya cathayensis to reconstruct precipitation over the past 480 years, which has certain theoretical implications for how to reconstruct long-term climate data, analyze climate change characteristics, and reveal the patterns of disasters caused by climate change. The research results have certain practical implications for maintaining the sustainable development of local and even Northern Chinese agriculture, warning of drought and flood disasters caused by precipitation changes, and reducing the losses caused by disasters. The analysis of the research results was based on the reconstructed precipitation of tree rings, without analyzing the mechanism of interaction between the land (ocean) and atmosphere to understand the causes of climate change, and without analyzing the change in atmospheric circulation caused by solar activity. Therefore, the analysis of precipitation changes remains at the stage of analyzing the characteristics of the data themselves. Based on the limitations of this study, it is necessary to further study the driving mechanisms of precipitation changes from the interaction between solar activity and atmospheric circulation, as well as the interaction between land, ocean, and atmosphere. In addition, further extracting other climate factors that affect tree ring signals in tree growth may enrich research on climate change. More accurate research on the characteristics and driving mechanisms of precipitation changes should be further developed in the future.

5. Conclusions

We established a chronology using tree ring data from Carya cathayensis to determine the precipitation of the forest–steppe ecotone of North China since 1540. The growth of the tree ring width is closely related to climate change. There were 328 normal years (in which the precipitation was within the mean plus or minus one SD), accounting for 68.3% of the 480 years, indicating that relatively stable climate conditions have enabled North China to become one of the main agricultural areas in China. However, the years with less than 405 mm and years with more than 927 mm account for a certain proportion; in particular, floods occurred ten times and drought occurred seven times for two continuous years, and severe drought occurred once for eight consecutive years. The impact of droughts and floods on North China and China as a whole is obvious. Three wet periods and three dry periods were determined for the reconstructed annual precipitation over 480 years, according to wavelet analysis. The period lasted 2–7 years, indicating that precipitation change was closely related to the IOD and ENSO on a short time scale and was affected by AMO and PDO on a medium and long time scale.

Author Contributions

Conceptualization, methodology, and writing—original draft preparation, X.W.; methodology, investigation, and writing—original draft preparation, X.L. (Xiaoqiang Li); formal analysis, J.M.; investigation, L.F.; editing and project administration, X.L. (Xiaohui Liu). All authors have read and agreed to the published version of the manuscript.

Funding

This research was funded by Joint Funds of the National Natural Science Foundation of China (42230516), the Technology Development Program of Jilin Province (YDZJ202301ZYTS524), and the Natural Science Foundation of Changchun Normal University (CSJJ2022008ZK).

Data Availability Statement

The data presented in this study are available from the author upon reasonable request.

Acknowledgments

The authors would like to thank the anonymous reviewers and handling editors for their constructive comments.

Conflicts of Interest

The authors declare no conflicts of interest.

References

  1. Santosh, M.; Groves, D.I.; Yang, C.X. Habitable planet to sustainable civilization: Global climate change with related clean energy transition reliant on declining critical metal resources. Gondwana Res. 2024, 130, 220–233. [Google Scholar] [CrossRef]
  2. Sun, J.N.; Zhang, H.L.; Wang, T.Z.; Xu, Y.; Huang, C.; Dan, S.Y. Spatiotemporal variations of global precipitation concentration and potential links to flood-drought events in past 70 years. Atmos. Res. 2025, 321, 108086. [Google Scholar] [CrossRef]
  3. Peng, J.F.; Peng, K.Y.; Li, X.; Peng, M.; Li, J.K.; Wei, X.X.; Liu, Y.M.; Li, J.X. Tree-ring widths of Pinus tabulaeformis Carr reveal variability of winter half-year precipitation on the north-south transition zone in central China over the past 220 years. Sci. Total Environ. 2024, 931, 172719. [Google Scholar] [CrossRef]
  4. Rodriguez-Robles, U.; Arredondo, T.; Smart, D. Wood anatomical and physiological differences between semiarid pine and oak, stand up for their tree ring sensibility to precipitation variability. Agric. For. Meteorol. 2023, 338, 109530. [Google Scholar] [CrossRef]
  5. Ballesteros-Canovas, J.A.; Kariya, Y.; Imaizumi, F.; Manchado, A.M.T.; Nishii, R.; Matsuoka, N.; Stoffel, M. Debris-flow activity in the Japanese Alps is controlled by extreme precipitation and ENSO—Evidence from multi-centennial tree-ring records. Glob. Planet. Change 2023, 231, 104296. [Google Scholar] [CrossRef]
  6. Huang, X.; Dai, D.; Xiang, Y.; Yan, Z.G.; Teng, M.J.; Wang, P.C.; Zhou, Z.X.; Zeng, L.X.; Xiao, W.F. Radial growth of Pinus massoniana is influenced by temperature, precipitation, and site conditions on the regional scale: A meta-analysis based on tree-ring width index. Ecol. Indic. 2021, 126, 107659. [Google Scholar] [CrossRef]
  7. Chen, Y.P.; Gagen, M.H.; Chen, F.; Zhang, H.L.; Shang, H.M.; Xu, H.F. Precipitation variations recorded in tree rings from the upper Salween and Brahmaputra River valleys, China. Ecol. Indic. 2020, 113, 106189. [Google Scholar] [CrossRef]
  8. Till, C.; Guiot, J. Reconstruction of precipitation in Morocco since 1100 A.D. Based on Cedrus atlantica tree-ring widths. Quat. Res. 1990, 33, 337–351. [Google Scholar] [CrossRef]
  9. Wu, G.J.; Xu, G.B.; Wang, B.; Liu, X.H.; Chen, T.; Kang, H.H. Post-drought moisture condition determines tree growth recovery after extreme drought events in the Tianshan Mountains, northwestern China. Ecol. Indic. 2023, 151, 110275. [Google Scholar] [CrossRef]
  10. Mitchell, T.J.; Knapp, P.A. Reconstructing historical intense and total summer rainfall in central North Carolina using tree-ring data (1770–2020). Water 2024, 16, 513. [Google Scholar] [CrossRef]
  11. Cao, H.H.; Zhao, X.E.; Chen, F.; Wang, S.J.; Liu, X.H. Reconstructing January-June precipitation in Southeastern Shanxi over the past 296 years inferred from tree-ring records of Pinus tabuliformis. Chin. J. Appl. Ecol. 2021, 32, 3618–3626, (In Chinese with English Abstract). [Google Scholar]
  12. Gaire, N.P.; Bhuju, D.R.; Koirala, M.; Shah, S.K.; Carrer, M.; Timilsena, R. Tree-ring based spring precipitation reconstruction in western Nepal Himalaya since AD 1840. Dendrochronologia 2017, 42, 21–30. [Google Scholar] [CrossRef]
  13. An, H.; Yan, J.P.; Zhang, T.T.; Liao, G.M. Temporal and spatial characteristics of extreme precipitation events in North China plain on background of climate warming. Bull. Soil Water Conserv. 2013, 33, 144–148, (In Chinese with English Abstract). [Google Scholar]
  14. Zhai, Q. Influence of solar activity on the precipitation in the North-central China. New Astron. 2017, 51, 161–168. [Google Scholar] [CrossRef]
  15. Zhou, X.; Cao, J.; Chen, H.S.; Sun, J.S.; Zhao, W.; Qiu, X.B.; Zhang, L.N.; Jing, H. Comparative analysis of synoptic characteristics and causes of regional persistent extreme precipitation events over North China Plain between the year of 2021 and historical years. Atmos. Res. 2023, 286, 106697. [Google Scholar] [CrossRef]
  16. Guo, J.; Ren, G.Y.; Xiong, M.M.; Huang, H. The spatiotemporal pattern of rainy-season precipitation in the Haihe river basin, North China. Hydrology 2019, 6, 73. [Google Scholar] [CrossRef]
  17. Zhang, M.X.; Zhang, Y.; Tian, Y.L.; Xie, D.; Cao, Y.; Mei, Y.T.; Li, T.J.; Wang, G.Q.; Zhong, D.Y. On the moisture transport regimes for extreme precipitation over North China. Atmos. Res. 2024, 300, 107254. [Google Scholar] [CrossRef]
  18. Shao, S.Y.; Li, X.Y.; Xu, Z.Q.; Chen, G.B.R.; Zhang, H.D.; Liu, Y. Simulation of decadal variation of summer precipitation over North China in the Late Ming and Early Qing dynasties. Quat. Sci. 2023, 43, 1113–1122, (In Chinese with English Abstract). [Google Scholar]
  19. Zhu, Q.Z.; Liu, Y.Z. The combined effect of multiple water vapor transport channels can better reflect the variability in summer precipitation over North China. Clim. Dyn. 2023, 61, 5887–5904. [Google Scholar] [CrossRef]
  20. Hou, Y.D.; Long, H.; Tsukamoto, S.; Lu, Z.Y.; Chen, J.; Ibarra, D.E.; Tamura, T.; Zhang, Q.; Sun, W.Y.; Zhang, J.R.; et al. Sahara’s surface transformation forced an abrupt hydroclimate decline and Neolithic culture transition in northern China. Innovation 2024, 5, 100550. [Google Scholar] [CrossRef]
  21. Cheng, Y.; Liu, H.Y.; Dong, Z.B.; Duan, K.Q.; Wang, H.Y.; Han, Y. East Asian summer monsoon and topography co-determine the Holocene migration of forest-steppe ecotone in northern China. Glob. Planet Change 2020, 187, 103135. [Google Scholar] [CrossRef]
  22. Stokes, M.; Harlan, T.; Harris, M.; Storey, J.B. Datability of pecan tree ring. HortScience 1995, 30, 523–524. [Google Scholar] [CrossRef]
  23. Wang, D.L.; Zhang, B.Z.; Feng, H.M.; Fei, Y.H.; Wei, Z.; Di, F.; Tian, Y.L. Assessing the groundwater deficit for agriculture requirements under precipitation change while achieving food and water security in the North China Plain. Ecol. Indic. 2023, 155, 111038. [Google Scholar] [CrossRef]
  24. Yamaguchi, D.K.; Cook, E.R. Methods of dendrochronology, applications in the environmental sciences. Arct. Alp. Res. 1991, 23, 120. [Google Scholar] [CrossRef]
  25. Velmex, Inc. The Velmex “TA” System for Research and Non-Contact Measurement Analysis; Velmex Inc.: Bloomfield, NY, USA, 1992. [Google Scholar]
  26. Schaberg, P.G.; Murakami, P.F.; Hansen, C.F.; Hawley, G.J. Assessing the influence of climate on the growth of green ash trees from five Plant Hardiness Zones growing in a range-wide provenance test near the species’ northern range limit. Can. J. For. Res. 2024, 54, 907–917. [Google Scholar] [CrossRef]
  27. He, H. Measurement of tree-ring width with windendro and crossdating methods. J. Chongqing Norm. Univ. (Nat. Sci. Ed.) 2005, 12, 39–44, (In Chinese with English Abstract). [Google Scholar]
  28. Cook, E.R.; Kairiukstis, L.A. Methods of Dendrochronology: Applications in the Environmental Sciences; Springer: Dordrecht, The Netherlands, 1990. [Google Scholar]
  29. Cook, E.R. A Time Series Analysis Approach to Tree Ring Standardization. Ph.D. Thesis, University of Arizona, Tucson, AZ, USA, 1985. [Google Scholar]
  30. Chen, G.Q.; Zhang, F.; Wang, Y.; Liu, W.H.; Gou, X.H. Hydrothermal environments lead to differences in the radial growth response of Pinus tabulaeformis to climate in the monsoon marginal zone, Northwestern China. Sci. Total Environ. 2024, 951, 175739. [Google Scholar] [CrossRef]
  31. Mirzakhani, M.; Moradi, H.; Therrell, M.; Seim, A.; Yousefpour, R.; Safari, E.; Pourtahmasi, K.; Tegel, W.; Varnosfaderany, M.N.; Kahle, H.P. The dendroclimatic and dendrohydrologic potential of riparian plane trees (Platanus orientalis) along the Zayandeh-Rud River, Iran. Dendrochronologia 2024, 86, 126228. [Google Scholar] [CrossRef]
  32. Helama, S.; Begin, Y.; Vartiainen, M.; Peltola, H.; Kolstrom, T.; Merilainen, J. Quantifications of dendrochronological information from contrasting microdensitometric measuring circumstances of experimental wood samples. Appl. Radiat. Isot. 2012, 70, 1014–1023. [Google Scholar] [CrossRef]
  33. Wang, Q.; Zhang, C.H.; Feng, D.F.; Sun, Y.Y.; Liu, J.F. Tree ring growth response of Castanopsis delavayi to climate in the Huafo Mountain, Yunnan. Terr. Ecosyst. Conserv. 2022, 2, 86–93, (In Chinese with English Abstract). [Google Scholar]
  34. Davi, N.K.; Jacoby, G.C.; Wiles, G.C. Boreal temperature variability inferred from maximum latewood density and tree-ring width data, Wrangell Mountain region, Alaska. Quat. Res. 2003, 60, 252–262. [Google Scholar] [CrossRef]
  35. Wigley, T.M.L.; Briffa, K.R.; Jones, P.D. On the average value of correlated time series, with applications in dendroclimatology and hydrometeorology. J. Clim. Appl. Meteorol. 1984, 23, 201–213. [Google Scholar] [CrossRef]
  36. Gaire, N.P.; Dhakal, Y.R.; Shah, S.K.; Fan, Z.X.; Brauning, A.; Thapa, U.K.; Bhandari, S.; Aryal, S.; Bhuju, D.R. Drought (scPDSI) reconstruction of trans-Himalayan region of central Himalaya using Pinus wallichiana tree-rings. Palaeogeogr. Palaeoclimatol. Palaeoecol. 2019, 514, 251–264. [Google Scholar] [CrossRef]
  37. Zhang, T.W.; Yuan, Y.J.; Wei, W.S.; Yu, S.L.; Zhang, R.B.; Chen, F.; Shang, H.M.; Qin, L. A tree-ring based precipitation reconstruction for the Mohe region in the northern Greater Higgnan Mountains, China, since AD 1724. Quat. Res. 2014, 82, 14–21. [Google Scholar] [CrossRef]
  38. Zhang, L.; Jiang, H.; Zhang, S.; Bei, Z.H.; Huang, N. Recognition of multi-parameter characteristics of tunnel cavity fillings based on spectral analysis and wavelet packet entropy techniques. Measurement 2025, 253, 117561. [Google Scholar] [CrossRef]
  39. Wang, X.R.; Wang, Z.P.; Liu, M.X.; Zhang, D.Y.; Lou, T.R.; Li, X.Y.; Du, B.Y.; Qiu, Y.; Li, L.L.; Zhao, Y.R. Reconstruction of minimum May temperatures in northeast China since 1797 AD based on tree ring width in Pinus sylvestris var. mongolica. Forests 2024, 15, 2015. [Google Scholar] [CrossRef]
  40. Jiang, Z.H.; Tu, Q.; Shi, N. Multi-taper method of spectral analysis and applications in global warming study. Acta Meteorol. Sin. 2001, 59, 480–490, (In Chinese with English Abstract). [Google Scholar]
  41. Singh, V.; Misra, K.G.; Yadav, R.R.; Yadava, A.K.; Vishwakarma, S.; Maurya, R.S. High-elevation tree-ring record of 263-year summer temperature for a cold-arid region in the western Himalaya, India. Dendrochronologia 2022, 73, 125956. [Google Scholar] [CrossRef]
  42. Chen, Z.J.; Zhang, X.L.; Cui, M.X.; He, X.Y.; Ding, W.H.; Peng, J.J. Tree-ring based precipitation reconstruction for the forest-steppe ecotone in northern Inner Mongolia, China and its linkages to the Pacific Ocean variability. Glob. Planet Change 2012, 86–87, 45–56. [Google Scholar] [CrossRef]
  43. Piovesan, G.; Rita, A.; Biondi, F.; Baliva, M.; Borghetti, M.; Brunetti, M.; Vivo, G.D.; Filippo, A.D.; Dinella, A.; Gentilesca, T.; et al. Bell-shaped tree-ring responses to air temperature drive productivity trends in long-lived mountain Mediterranean pines. Sci. Total Environ. 2023, 890, 164103. [Google Scholar] [CrossRef]
  44. Liu, J.J.; Yang, B.; Qin, C. Tree-ring based annual precipitation reconstruction since AD 1480 in south central Tibet. Quat. Int. 2011, 236, 75–81. [Google Scholar] [CrossRef]
  45. Wang, S.J.; Man, W.M.; Chen, F.; Chen, Y.P.; Yu, S.L.; Cao, H.H.; Hu, M.; Hou, T.Y.; Hadad, M.A.; Roig, F.A. Reconstructed springtime (March–June) precipitation tracked by tree rings dating back to 1760 CE in the Qinling-Bashan mountainous area. Palaeogeogr. Palaeoclimatol. Palaeoecol. 2022, 604, 111211. [Google Scholar] [CrossRef]
  46. Zhang, X.D.; Ren, G.Y.; Yang, Y.D.; Bing, H.; Hao, Z.X.; Zhang, P.F. Extreme historical droughts and floods in the Hanjiang River Basin, China, since 1426. Clim. Past. 2022, 18, 1775–1796. [Google Scholar] [CrossRef]
  47. Yao, S.Y. The geographical distribution of floods and droughts in Chinese history, 206 B.C.-A.D. 1911. Far East. Q. 1943, 4, 357–378. [Google Scholar]
  48. Xiao, L.B.; Fang, X.Q.; Zheng, J.Y.; Zhao, W.Y. Famine, migration and war: Comparison of climate change impacts and social responses in North China between the late Ming and late Qing dynasties. Holocene 2015, 25, 900–910. [Google Scholar] [CrossRef]
  49. Yan, Q.Y. A Study on the Distribution and Regional Characteristic of Flood and Drought in Guizhou during Ming and Qing Dynasties. Agric. Hist. China 2009, 4, 54–62, (In Chinese with English Abstract). [Google Scholar]
  50. Li, X.L.; Bi, S.J.; Wei, J.; Yan, T.X.; Bi, S.B. Change laws of drought and flood disasters in Shijiazhuang region in Qing dynasty. J. Arid Land Resour. Environ. 2014, 18, 161–165, (In Chinese with English Abstract). [Google Scholar]
  51. Wu, Z.Y.; Yin, S.Y.; Liu, J.; Zhao, Y.L. Analysis on the temporal and spatial characteristics and causes of mass deaths in the Yangtze River Basin in the Ming dynasty. J. Zhejiang Univ. (Sci. Ed.) 2022, 49, 85–95, (In Chinese with English Abstract). [Google Scholar]
  52. Buntgen, U.; Trouet, V.; Frank, D.; Leuschner, H.H.; Friedrichs, D.; Luterbacher, J.; Esper, J. Tree-ring indicators of German summer drought over the last millennium. Quat. Sci Rev. 2010, 29, 1005–1016. [Google Scholar] [CrossRef]
  53. Arsalani, M.; Grieinger, J.; Pourtahmasi, K.; Brauning, A. Multi-centennial reconstruction of drought events in South-Western Iran using tree rings of Mediterranean cypress (Cupressus sempervirens L). Palaeogeogr. Palaeoclimatol. Palaeoecol. 2021, 567, 110296. [Google Scholar] [CrossRef]
  54. Sutheimer, C.M.; Meunier, J.; Hotchkiss, S.C.; Rebitzke, E.; Radeloff, V.C. Historical fire regimes of North American hemiboreal peatlands. For. Ecol. Manag. 2021, 498, 119561. [Google Scholar] [CrossRef]
  55. Zhou, Q.A. Research on the establishment of the early Qing’s disaster information report system. J. Lanzhou Univ. (Soc. Sci.) 2021, 29, 37–53, (In Chinese with English Abstract). [Google Scholar]
  56. Wang, Z.G. A historical investigation of Anhui’s natural disasters in the Qing dynasty: 1644–1840. J. Hefei Norm. Univ. 2012, 30, 76–83, (In Chinese with English Abstract). [Google Scholar]
  57. Zhang, Y.J. The demand for grain and the rise of agriculture in inner Mongolia in the early Qing dynasty. Stud. Qing Hist. 2003, 3, 30–42, (In Chinese with English Abstract). [Google Scholar]
  58. Li, M.Q.; Shao, X.M.; Nie, W.Z. Precipitation variation reconstructed based on tree-ring width data for the past 399 years in the eastern Yinshan Mountains, China. Chin. J. Appl. Ecol. 2022, 33, 2796–2804, (In Chinese with English Abstract). [Google Scholar]
  59. Zhang, Y.; Zhou, W.; Wang, X.; Wang, X.; Zhang, R.H.; Li, Y.N.; Gan, J.P. IOD, ENSO, and seasonal precipitation variation over Eastern China. Atmos. Res. 2022, 270, 106042. [Google Scholar] [CrossRef]
  60. Forootan, E.; Khandu, K.; Awange, J.L.; Schumacher, M.; Anyah, R.O.; van Dijk, A.I.J.M.; Kusche, J. Quantifying the impacts of ENSO and IOD on rain gauge and remotely sensed precipitation products over Australia. Remote Sens. Environ. 2016, 172, 50–66. [Google Scholar] [CrossRef]
  61. Basharin, D.; Stankunavicius, G. European precipitation response to Indian ocean dipole events. Atmos. Res. 2022, 273, 106142. [Google Scholar] [CrossRef]
  62. Fang, K.Y.; Frank, D.; Gou, X.H.; Liu, C.Z.; Zhou, F.F.; Li, J.B.; Li, Y.J. Precipitation over the past four centuries in the Dieshan Mountains as inferred from tree rings: An introduction to an HHT-based method. Glob. Planet Change 2013, 107, 109–118. [Google Scholar] [CrossRef]
  63. Murgulet, D.; Valeriu, M.; Hay, R.R.; Tissot, P.; Mestas-Nunez, A.M. Relationships between sea surface temperature anomalies in the Pacific and Atlantic Oceans and South Texas precipitation and streamflow variability. J. Hydrol. 2017, 550, 726–739. [Google Scholar] [CrossRef]
  64. Tang, W.R.; Fang, K.Y.; Mei, Z.P.; Zhou, F.F.; Wu, H.; Seftigen, K.; Cao, X.G.; Dong, Z.P.; Bai, M.W.; Chen, Y. Drought variations in the southeastern Tibetan Plateau region since 1704 and their link to the Atlantic Multidecadal Oscillation. Palaeogeogr. Palaeoclimatol. Palaeoecol. 2023, 630, 111813. [Google Scholar] [CrossRef]
  65. Park, J.; Byrne, R.; Bohnel, H. The combined influence of Pacific decadal oscillation and Atlantic multidecadal oscillation on central Mexico since the early 1600s. Earth Planet. Sci. Lett. 2017, 464, 1–9. [Google Scholar] [CrossRef]
Figure 1. Map of the study area and sample plot.
Figure 1. Map of the study area and sample plot.
Forests 16 00847 g001
Figure 2. Mean monthly temperature (a) and annual precipitation (b) in the study area for the period of 1961–2019. (c) Monthly mean temperature (line with squares) and monthly precipitation (bars) for each year between 1961 and 2019. The lines in the rectangular box represent the mean, and the dots represent the median. top short dashes represent maximum value, and bottom short dashes represent maximum value of (a,b).
Figure 2. Mean monthly temperature (a) and annual precipitation (b) in the study area for the period of 1961–2019. (c) Monthly mean temperature (line with squares) and monthly precipitation (bars) for each year between 1961 and 2019. The lines in the rectangular box represent the mean, and the dots represent the median. top short dashes represent maximum value, and bottom short dashes represent maximum value of (a,b).
Forests 16 00847 g002
Figure 3. Tree ring width chronologies of Carya cathayensis in the study area. The numbers of cores are represented by a dashed line; an arrow is used to mark the years with an expressed population signal (EPS) > 0.85.
Figure 3. Tree ring width chronologies of Carya cathayensis in the study area. The numbers of cores are represented by a dashed line; an arrow is used to mark the years with an expressed population signal (EPS) > 0.85.
Forests 16 00847 g003
Figure 4. Correlation coefficients between the tree ring indices and the monthly mean temperatures (a) and monthly total precipitation (b) from the previous March to the current November from 1960 to 2019.
Figure 4. Correlation coefficients between the tree ring indices and the monthly mean temperatures (a) and monthly total precipitation (b) from the previous March to the current November from 1960 to 2019.
Forests 16 00847 g004
Figure 5. Reconstructed annual precipitation from 1540 to 2019 for the study area. The horizontal middle line presents the mean of the annual precipitation. The horizontal dotted lines represent the mean +1 SD and the mean –1 SD.
Figure 5. Reconstructed annual precipitation from 1540 to 2019 for the study area. The horizontal middle line presents the mean of the annual precipitation. The horizontal dotted lines represent the mean +1 SD and the mean –1 SD.
Forests 16 00847 g005
Figure 6. Wavelet analysis (a) and breakpoint analysis (b) of the reconstructed precipitation from 1540 to 2019. Six circles represent the time-ranges of six periods in the (a).
Figure 6. Wavelet analysis (a) and breakpoint analysis (b) of the reconstructed precipitation from 1540 to 2019. Six circles represent the time-ranges of six periods in the (a).
Forests 16 00847 g006
Figure 7. The linear and sixth-order fitting functions between the time (independent variable) and precipitation (dependent variable) in each period, as determined by the wavelet analysis. (a) The period from 1540 to 1570. (b) The period from 1571 to 1724. (c) The period from 1725 to 1769. (d) The period from 1770 to 1856. (e) The period from 1557 to 1927. (f) The period from 1928 to 2019.
Figure 7. The linear and sixth-order fitting functions between the time (independent variable) and precipitation (dependent variable) in each period, as determined by the wavelet analysis. (a) The period from 1540 to 1570. (b) The period from 1571 to 1724. (c) The period from 1725 to 1769. (d) The period from 1770 to 1856. (e) The period from 1557 to 1927. (f) The period from 1928 to 2019.
Forests 16 00847 g007
Figure 8. The multi-taper method (MTM) of the reconstructed precipitation from 1540 to 2019.
Figure 8. The multi-taper method (MTM) of the reconstructed precipitation from 1540 to 2019.
Forests 16 00847 g008
Figure 9. Comparisons of our reconstruction (a) with four other tree ring-based precipitation reconstructions (be). (b) A tree ring-based precipitation reconstruction for the Mohe region in the northern Greater Hinggan Mountains, China, since 1724 (Zhang et al. [37]. (c) Reconstructed springtime (March–June) precipitation tracked by tree rings dating back to 1760 in the Qinling–Bashan mountainous area (Wang et al. [33]). (d) Precipitation variation reconstructed based on tree ring width data for the past 399 years in the eastern Yinshan Mountains, China (Li et al. [58]). (e) Tree ring-based annual precipitation reconstruction since 1480 in south-central Tibet (Liu et al. [44]). The light and dark bands indicate the relatively low and high periods for precipitation, respectively.
Figure 9. Comparisons of our reconstruction (a) with four other tree ring-based precipitation reconstructions (be). (b) A tree ring-based precipitation reconstruction for the Mohe region in the northern Greater Hinggan Mountains, China, since 1724 (Zhang et al. [37]. (c) Reconstructed springtime (March–June) precipitation tracked by tree rings dating back to 1760 in the Qinling–Bashan mountainous area (Wang et al. [33]). (d) Precipitation variation reconstructed based on tree ring width data for the past 399 years in the eastern Yinshan Mountains, China (Li et al. [58]). (e) Tree ring-based annual precipitation reconstruction since 1480 in south-central Tibet (Liu et al. [44]). The light and dark bands indicate the relatively low and high periods for precipitation, respectively.
Forests 16 00847 g009
Table 1. Wet and dry years.
Table 1. Wet and dry years.
Year IntervalOccurrenceWet Year
Three years long21764–1766, 1875–1877
Two years long111569–1570, 1746–1747, 1764–1765, 1768–1769, 1775–1776, 1854–1855, 1857–1858, 1861–1862, 1897–1898, 1906–1907, 1921–1922
One-year interval131620/1622, 1700/1702, 1740/1742, 1742/1744, 1744/1746, 1747/1749, 1766/1768, 1773/1775, 1797/1799, 1855/1857, 1885/1887, 1904/1906, 1962/1964
Two-year interval71702/1705, 1761/1764, 1823/1826, 1826/1829, 1858/1861, 1868/1871, 1887/1890
Three-year interval71757/1761, 1769/1773, 1776/1780, 1871/1875, 1877/1881, 1881/1885, 1927/1931
Year intervalTimeDry year
Nine years long11634–1642
Three years long21670–1672, 1912–1914
Two years long81657–1658, 1695–1696, 1712–1713, 1770–1771, 1777–1778, 1807–1808, 1816–1817, 1879–1880
One-year interval101596/1598, 1605/1607, 1621/1623, 1642/1644, 1655/1657, 1668/1670, 1681/1683, 1696/1698, 1732/1734, 1952/1954
Two-year interval51540/1543, 1665/1668, 1713/1716, 1767/1770, 1808/1811
Three-year interval71543/1547, 1555/1559, 1623/1627, 1677/1681, 1708/1712, 1789/1793, 1880/1884
Disclaimer/Publisher’s Note: The statements, opinions and data contained in all publications are solely those of the individual author(s) and contributor(s) and not of MDPI and/or the editor(s). MDPI and/or the editor(s) disclaim responsibility for any injury to people or property resulting from any ideas, methods, instructions or products referred to in the content.

Share and Cite

MDPI and ACS Style

Wang, X.; Ma, J.; Fei, L.; Liu, X.; Li, X. The Changes in Annual Precipitation in the Forest–Steppe Ecotone of North China Since 1540. Forests 2025, 16, 847. https://doi.org/10.3390/f16050847

AMA Style

Wang X, Ma J, Fei L, Liu X, Li X. The Changes in Annual Precipitation in the Forest–Steppe Ecotone of North China Since 1540. Forests. 2025; 16(5):847. https://doi.org/10.3390/f16050847

Chicago/Turabian Style

Wang, Xiaodong, Jinfeng Ma, Long Fei, Xiaohui Liu, and Xiaoqiang Li. 2025. "The Changes in Annual Precipitation in the Forest–Steppe Ecotone of North China Since 1540" Forests 16, no. 5: 847. https://doi.org/10.3390/f16050847

APA Style

Wang, X., Ma, J., Fei, L., Liu, X., & Li, X. (2025). The Changes in Annual Precipitation in the Forest–Steppe Ecotone of North China Since 1540. Forests, 16(5), 847. https://doi.org/10.3390/f16050847

Note that from the first issue of 2016, this journal uses article numbers instead of page numbers. See further details here.

Article Metrics

Back to TopTop