A Digital Twin Approach to Forest Fire Re-Ignition: Mechanisms, Prediction, and Suppression Visualization
Abstract
1. Introduction
- (1)
- Utilizing digital twin technology to integrate multi-source data from topography, meteorology, and vegetation, a dynamic 3D forest scene was constructed to visualize the entire process of the StF transformation. The system supports the adjustment of dynamic parameters, such as ambient wind, and simulates the delivery of extinguishing agents, thereby providing a high-fidelity platform for fire deduction in complex environments and compensating for the limitations of traditional 1D and 2D models in representing spatial interactions.
- (2)
- A logistic regression algorithm was incorporated into the mathematical model of forest fire recombination [6]. Key parameters, including wind speed and slope, were calibrated via reverse iteration of historical data, resulting in the construction of an interpretable 3D trigger model for recombination state-driven and probabilistic prediction of the virtual scene.
- (3)
- 3D simulation experiments revealed the fire extinguishing effects of hydrogel and cured foam extinguishing agents, offering intuitive data support for the design of fire extinguishing strategies.
2. Related Research
2.1. Impact Factors of Smoldering
2.2. Digital Twins
2.3. State-Driven Model
2.4. Firefighting Materials and Equipment
3. Overview
4. Materials and Methods
4.1. Data Integration and Scenario Building
4.2. Heat Transfer Principles and State Transitions
4.2.1. Principle of Heat Conduction
4.2.2. Vegetation State Transition
- If the state of the target cells (i, j) at time t is “0” and there are no surrounding cells in the burning state, the state of “t + 1” is still “0”.
- If the state of the target cells (i, j) at time t is “0” and there are surrounding cells in the burning state, the state at “t + 1” will be “1”.
- The state of the target cells (i, j) at time t is “1” and satisfies the modified mathematical expression, then the state at “t + 1” will be “2”.
- The state of the target cells (i, j) at time t is “2”, and as the fuel runs out, the state at “t + 1” will change to “3”.
- The state of the target cells (i, j) at time t is “1” or “2”, and the operation of the UAV to drop the fire extinguishing agent is carried out, and depending on the different doses of the drop, the state of “t + 1” will change to “0” or “1”.
- The state of the target cells (i, j) at time t is “2”, and if the UAV drops the extinguishing agent to form a barrier, the state at “t + 1” will change to “3”.
4.3. Suppression Principles
4.3.1. Physical Asphyxiation
4.3.2. Cooling Down
4.3.3. Isolation and Blocking
4.4. Visualization
5. Algorithm Implementation
| Algorithm 1. The reignition of forest fires is driven by dynamic historical data. | ||||||
| Input: Vegetation Data {T1, T2, …, Tn} (position, organic content, moisture content, initial state), Meteorological and Topographic Data (wind speed, slope angle, temperature, humidity), Historical Dataset (), Suppression Parameters. | ||||||
| Output: Final states of all vegetation units, optimal mathematical model. | ||||||
| 1: | Initialize: Load digital twin scene (Figure 3), Model parameters (, k0, D…), Bind historical data to virtual scene (Figure 5) | |||||
| 2: | While not converged and iterations < max_iterations then | |||||
| 3: | For each sample in D: Calculate predicted probability by Equation (5), Compute the loss by Equation (16) and backward propagation, and update by Equations (17) and (18); | |||||
| 4: | If then | |||||
| 5: | Output optimized coefficients (); | |||||
| 6: | end if | |||||
| 7: | for each i = 1, 2, …, n do | |||||
| 8: | Update the surface temperature and oxygen concentration and organic matter content of the Ti according to the relative humidity of the environment by Equations (4) and (8)–(10); | |||||
| 9: | If Ti in smoldering (State 1) then | |||||
| 10: | If Equation (5) holds and adjacent flames exist then | |||||
| 11: | Transition to flaming (State 2); | |||||
| 12: | else if conduct fire-fighting operations and update the data of fire scene by Equations (4) and (8)–(10) then | |||||
| 13: | Transition to unburned (State 1); | |||||
| 14: | end if | |||||
| 15: | If Ti in flaming (State 2) then | |||||
| 16: | if conduct fire-fighting operations and update the data of fire scene by Equations (4) and (8)–(10) then | |||||
| 17: | Transition to smoldering (State 1); | |||||
| 18: | else if fuel depletion in Ti or extinguish the fire by creating firebreaks Equation (10) then | |||||
| 19: | Transition to extinguished (State 3); | |||||
| 20: | end if | |||||
| 21: | end if | |||||
| 22: | If Ti in fextinguished (State 3) and mass drops to zero by Equation (10) then | |||||
| 23: | Remove Ti from {T}; | |||||
| 24: | end if | |||||
| 25: | end if | |||||
| 26: | Update the vegetation state according to Equation (14); | |||||
| 27: | end for | |||||
| 28: | end for | |||||
| 29: | Get the termination status of all vegetation and optimal mathematical model. | |||||
6. Experimental Results and Analysis
6.1. Simulation Validation of Impact Factors
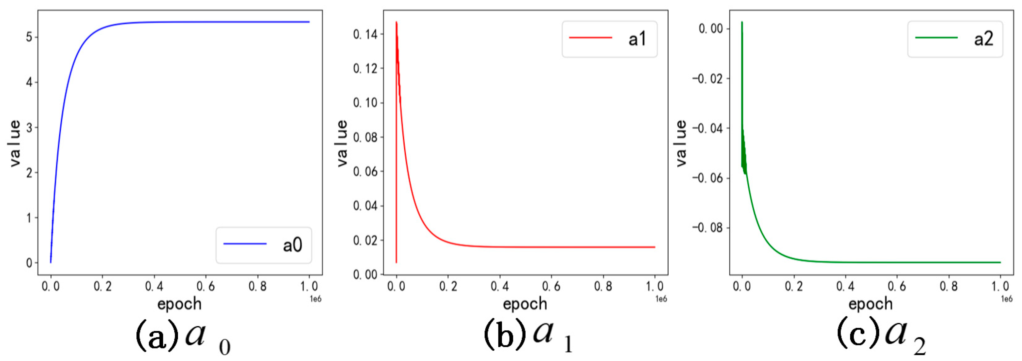
6.2. Model Accuracy Validation
6.3. Fire Suppression Visualization
7. Conclusions and Outlook
- (1)
- A virtual scene was created using digital twin technology. The simulation accounts for various factors, including combustible materials, static elements, and dynamic factors. These factors are integrated to visualize the re-ignition behavior within a 3D forest environment.
- (2)
- Based on Peng’s mathematical model, a logistic regression algorithm was utilized to examine the impacts of ambient wind and terrain slope on StF transition. The resulting model provides a framework for predicting the triggering of forest fire re-ignition in a virtual environment, using state-driven and probabilistic predictions.
- (3)
- The study conducted an initial exploration of the suppression efficacy of UAVs equipped with hydrogel and solidified foam extinguishing agents. The 3D visualizations generated offer valuable insights for developing more effective fire suppression strategies on the ground, providing a scientific foundation for firefighter decision-making.
- (1)
- The study focused on constructing a virtual scene based on historical data. The real-time interactions between the virtual scene and real-world entities were not considered, and the spatial discretization for forest fire recombustion was not further examined.
- (2)
- To broaden the applicability of the StF transformation mechanism, additional forest scenarios are required. This paper simulated only the forest scenarios of Xichang and Panzhihua, which imposes significant limitations on its scope. Given the complex physical and chemical processes of forest fire re-ignition, employing digital twins to develop multiple forest scenarios could yield more comprehensive validation.
- (3)
- The transformation from cloudy ignition to open fire is highly complex. Consequently, beyond the influences of combustibles, wind speed, slope, and other factors addressed herein, further investigation into additional factors affecting forest fire re-ignition is warranted. For instance, the potential for wind to alter the distribution of combustibles (i.e., bringing them into contact with external oxygen and triggering secondary re-ignition) has not been considered.
Supplementary Materials
Author Contributions
Funding
Data Availability Statement
Conflicts of Interest
References
- Meng, Q.; Lu, H.; Huai, Y.; Xu, H.; Yang, S. Forest Fire Spread Simulation and Fire Extinguishing Visualization Research. Forests 2023, 14, 1371. [Google Scholar] [CrossRef]
- Meng, Q.; Huai, Y.; You, J.; Nie, X. Visualization of 3d Forest Fire Spread Based on the Coupling of Multiple Weather Factors. Comput. Graph. 2023, 110, 58–68. [Google Scholar] [CrossRef]
- Rein, G.; Huang, X. Smouldering Wildfires in Peatlands, Forests and the Arctic: Challenges and Perspectives. Curr. Opin. Environ. Sci. Health 2021, 24, 100296. [Google Scholar] [CrossRef] [PubMed]
- Huang, X.; Lin, S.; Liu, N. A Review of Smoldering Wildfire: Research Advances and Prospects. J. Eng. Thermophys. 2021, 42, 512–528. [Google Scholar]
- Zhang, H.; Li, H.; Liu, X.; Ma, Y.; Zhou, Q.; Sa, R.; Zhang, Q. Emissions Released by Forest Fuel in the Daxing’an Mountains, China. Forests 2022, 13, 1220. [Google Scholar] [CrossRef]
- Peng, L.; Zhou, X.; Zhou, J. A Model of Transition from Smoldering to Flaming with Natural Diffusion. Fire Saf. Sci. 2004, 13, 28–34. [Google Scholar]
- Encinas, L.H.; White, S.H.; Del Rey, A.M.; Sánchez, G.R. Modelling Forest Fire Spread Using Hexagonal Cellular Automata. Appl. Math. Model. 2007, 31, 1213–1227. [Google Scholar] [CrossRef]
- Koo, E.; Pagni, P.; Woycheese, J.; Stephens, S.; Weise, D.; Huff, J. A Simple Physical Model for Forest Fire Spread Rate. Fire Saf. Sci. 2005, 8, 851–862. [Google Scholar] [CrossRef]
- Yassemi, S.; Dragićević, S.; Schmidt, M. Design and Implementation of an Integrated Gis-Based Cellular Automata Model to Characterize Forest Fire Behaviour. Ecol. Model. 2008, 210, 71–84. [Google Scholar] [CrossRef]
- Bisquert, M.; Caselles, E.; Sánchez, J.M.; Caselles, V. Application of Artificial Neural Networks and Logistic Regression to the Prediction of Forest Fire Danger in Galicia Using Modis Data. Int. J. Wildland Fire 2012, 21, 1025–1029. [Google Scholar] [CrossRef]
- Parisien, M.-A.; Snetsinger, S.; Greenberg, J.A.; Nelson, C.R.; Schoennagel, T.; Dobrowski, S.Z.; Moritz, M.A. Spatial Variability in Wildfire Probability across the Western United States. Int. J. Wildland Fire 2012, 21, 313–327. [Google Scholar] [CrossRef]
- Renard, Q.; Pélissier, R.; Ramesh, B.; Kodandapani, N. Environmental Susceptibility Model for Predicting Forest Fire Occurrence in the Western Ghats of India. Int. J. Wildland Fire 2012, 21, 368–379. [Google Scholar] [CrossRef]
- Lozano, F.J.; Suárez-Seoane, S.; Kelly, M.; Luis, E. A Multi-Scale Approach for Modeling Fire Occurrence Probability Using Satellite Data and Classification Trees: A Case Study in a Mountainous Mediterranean Region. Remote Sens. Environ. 2008, 112, 708–719. [Google Scholar] [CrossRef]
- Guo, F.; Su, Z.; Ma, X.; Song, Y.; Sun, L.; Hu, H.; Yang, T. Climatic and Non-Climatic Factors Driving Lightning-Induced Fire in Tahe, Daxing’ an Mountain. Acta Ecol. Sin. 2015, 35, 6439–6448. [Google Scholar]
- Guo, F.; Hu, H.; Jin, S.; Ma, Z.; Zhang, Y. Relationship between Forest Lighting Fire Occurrence and Weather Factors in Daxing’ an Mountains Based on Negative Binomial Model and Zero-Inflated Negative Binomial Models. Chin. J. Plant Ecol. 2010, 34, 571. [Google Scholar]
- Qin, K.; Guo, F.; Di, X.; Sun, L.; Song, Y.; Wu, Y.; Pan, J. Selection of Advantage Prediction Model for Forest Fire Occurrence in Tahe, Daxing’ an Mountain. Chin. J. Appl. Ecol. 2014, 25, 731. [Google Scholar]
- Guo, F.; Hu, H.; Ma, Z.; Zhang, Y. Applicability of Different Models in Simulating the Relationships between Forest Fire Occurrence and Weather Factors in Daxing’ an Mountains. Chin. J. Appl. Ecol. 2010, 21, 159. [Google Scholar]
- Han, Y.; Liu, H.; Tian, Y.; Chen, Z.; Nie, Z. Virtual Reality Oriented Modeling and Simulation of Water-Dropping from Helicopter. In Proceedings of the 2018 International Conference on Artificial Intelligence and Virtual Reality, New York, NY, USA, 23 November 2018. [Google Scholar] [CrossRef]
- Jellouli, O.; Bernoussi, A.; Mâatouk, M.; Amharref, M. Forest Fire Modelling Using Cellular Automata: Application to the Watershed Oued Laou (Morocco). Math. Comput. Model. Dyn. Syst. 2016, 22, 493–507. [Google Scholar] [CrossRef]
- Chen, H.; Rein, G.; Liu, N. Numerical Investigation of Downward Smoldering Combustion in an Organic Soil Column. Int. J. Heat Mass Transf. 2015, 84, 253–261. [Google Scholar] [CrossRef]
- Frandsen, W.H. The Influence of Moisture and Mineral Soil on the Combustion Limits of Smoldering Forest Duff. Can. J. For. Res. 1987, 17, 1540–1544. [Google Scholar] [CrossRef]
- Huang, X.; Rein, G.; Chen, H. Computational Smoldering Combustion: Predicting the Roles of Moisture and Inert Contents in Peat Wildfires. Proc. Combust. Inst. 2015, 35, 2673–2681. [Google Scholar] [CrossRef]
- Yin, S.; Shan, Y.; Tang, S.; Douglas, G.; Yu, B.; Cui, C.; Cao, L. Study on the Limit of Moisture Content of Smoldering Humus during Sub-Surface Fires in the Boreal Forests of China. Forests 2023, 14, 252. [Google Scholar] [CrossRef]
- Xin, Y.; Wang, X.; LI, Y. Experimental Study on the Transition of Forest Humus from Smoldering to Open Flame. Fire Sci. Technol. 2018, 37, 1162–1166. [Google Scholar]
- Yang, D.; Zhang, Z.; Yang, H.; Wu, J. Study on Forest Fire Ember Resurgence Conditions. For. Mach. Woodwork. Equip. 2016, 44, 21–25. [Google Scholar]
- Aldushin, A.; Bayliss, A.; Matkowsky, B. On the Transition from Smoldering to Flaming. Combust. Flame 2006, 145, 579–606. [Google Scholar] [CrossRef]
- Wang, S.; Huang, X.; Chen, H.; Liu, N. Interaction between Flaming and Smouldering in Hot-Particle Ignition of Forest Fuels and Effects of Moisture and Wind. Int. J. Wildland Fire 2016, 26, 71–81. [Google Scholar] [CrossRef]
- Santoso, M.A.; Christensen, E.G.; Yang, J.; Rein, G. Review of the Transition from Smouldering to Flaming Combustion in Wildfires. Front. Mech. Eng. 2019, 5, 49. [Google Scholar] [CrossRef]
- Lin, S.; Sun, P.; Huang, X. Can Peat Soil Support a Flaming Wildfire? Int. J. Wildland Fire 2019, 28, 601–613. [Google Scholar] [CrossRef]
- Yang, J.; Chen, H.; Liu, N. Modeling of Two-Dimensional Natural Downward Smoldering of Peat. Energy Fuels 2016, 30, 8765–8775. [Google Scholar] [CrossRef]
- Yang, J.; Chen, H. Natural Downward Smouldering of Peat: Effects of Inorganic Content and Piled Bed Height. Fire Technol. 2018, 54, 1219–1247. [Google Scholar] [CrossRef]
- Valdivieso, J.P.; Rivera, J.d.D. Effect of Wind on Smoldering Combustion Limits of Moist Pine Needle Beds. Fire Technol. 2014, 50, 1589–1605. [Google Scholar] [CrossRef]
- Christensen, E.G.; Hu, Y.; Purnomo, D.M.; Rein, G. Influence of Wind and Slope on Multidimensional Smouldering Peat Fires. Proc. Combust. Inst. 2021, 38, 5033–5041. [Google Scholar] [CrossRef]
- Walther, D.C.; Fernandez-Pello, A.C.; Urban, D.L. Space Shuttle Based Microgravity Smoldering Combustion Experiments. Combust. Flame 1999, 116, 398–414. [Google Scholar] [CrossRef]
- Wagner, N.; Son, L.H.; Joo, M. Complex Evolutionary Artificial Intelligence in Cognitive Digital Twinning. J. Intell. Fuzzy Syst. 2021, 40, 2013–2016. [Google Scholar] [CrossRef]
- Niță, M.D. Testing Forestry Digital Twinning Workflow Based on Mobile Lidar Scanner and Ai Platform. Forests 2021, 12, 1576. [Google Scholar] [CrossRef]
- Li, H.; Tao, F.; Wang, H.; Song, W.; Zhang, Z.; Beibei, F.; Wu, C.; Li, Y.; Linli, L.; Xiaoyu, W.; et al. Integration Framework and Key Technologies of Complex Product Design-Manufacturing Based on Digital Twin. Comput. Integr. Manuf. Syst. 2019, 25, 1320–1336. [Google Scholar]
- Zhang, X.; Zhang, C.; Wang, M.; Wang, Y.; Du, Y.; Mao, Q.; Lyu, X. Digital Twin-Driven Virtual Control Technology of Cantilever Roadheader. Comput. Integr. Manuf. Syst. 2021, 27, 1617. [Google Scholar]
- For the Entrustment of the General Secretary|“Digital Twin” Recreates a Forest Sea in the Cloud. Available online: https://news.qq.com/rain/a/20240828A04KNZ00 (accessed on 20 October 2024).
- Tang, W.; Chen, X.; Qian, T.; Liu, G.; Li, M.; Li, L. Technologies and Applications of Digital Twin for Developing Smart Energy Systems. Strateg. Study CAE 2020, 22, 74–85. [Google Scholar] [CrossRef]
- Buonocore, L.; Yates, J.; Valentini, R. A Proposal for a Forest Digital Twin Framework and Its Perspectives. Forests 2022, 13, 498. [Google Scholar] [CrossRef]
- Li, W.; Yang, M.; Xi, B.; Huang, Q. Framework of Virtual Plantation Forest Modeling and Data Analysis for Digital Twin. Forests 2023, 14, 683. [Google Scholar] [CrossRef]
- Tang, G. Research on the Whole Process Engineering Consulting Application Based on Bim+ Digital Twin Technology—Taking a Forest Park Project as an Example. Proj. Manag. 2024, 35, 9–12+29. [Google Scholar] [CrossRef]
- Zhou, H.; Zhu, P.; Jiang, H.; Yu, H.; Shen, X. Application of Static-Dynamic Coupling Model Optimized by Logistic Regressionin Landslide Displacement Prediction. Resour. Environ. Eng. 2024, 38, 446–456. [Google Scholar]
- Fan, T.; Jia, Y.; Li, Y.; Zhao, J. Prediction of Gully Distribution Probability in Yanhe Basin Based on Remote Sensing Image and Logistic Regression Model. Res. Soil Water Conserv. 2022, 29, 316–321. [Google Scholar]
- Ma, G. Logistic Regression Model-Based Approach for Predicting the Hazard of Glacial Lake Outburst in Tibet. J. Nat. Disasters 2014, 23, 177–184. [Google Scholar] [CrossRef]
- Kang, W.; Li, S.; Chai, J.; Wu, Y. Progress in Research on Forest Fire-Fighting Technologies. J. Wildland Fire Sci. 2024, 42, 20–24. [Google Scholar]
- Li, Y.; Kou, X.; Zhang, M.; He, C. Forest Chemical Extinguishing Mechanism and Type of Fire Extinguishing Agents. For. Labour Saf. 2015, 28, 33–34. [Google Scholar]
- Huang, C.; Dai, Z.; Chen, Y.; Meng, W. Experimental Study on Extinguishing Southwest Pine Forest Fire by Polymer Hydrogel Fire Extinguishing Agent. J. Saf. Sci. Technol. 2023, 19, 114–120. [Google Scholar]
- Yang, H.; Yang, Z.; Ma, T. Research Progress on Properties and Applications of Hydrogel Fire Extinguishing Agents. Shandong Chem. Ind. 2023, 52, 103–106. [Google Scholar] [CrossRef]
- Shi, Q.; Qin, B. Study of the Formation Mechanism and Characteristics of Elastic Hydrogel for Preventing Spontaneous Combustion of Coal. J. China Univ. Min. Technol. 2022, 51, 1106–1116. [Google Scholar] [CrossRef]
- Gong, D.-p.; Shi, Y.; Wang, J.; Binde, Q. A Review of Research on Light Forest Fire Extinguishing Equipment in China. For. Mach. Woodwork. Equip. 2022, 50, 9–13. [Google Scholar] [CrossRef]
- León Villalobos, J.M.; Anaya Garduño, M.; Oropeza Mota, J.L.; Ojeda Trejo, E.; Rodríguez Trejo, D.A.; García Rodríguez, J.L. Aptitud Territorial Para Establecer Sistemas De Captación Del Agua De Lluvia Para Combatir Incendios Forestales. Rev. Mex. Cienc. For. 2014, 5, 42–56. [Google Scholar]
- Xu, M. Experimental Study on the Effect of Fuel Moisture Content on Smoldering and Its Transition to Flaming. In Engineering Science and Technology I; University of Science and Technology of China: Hefei, China, 2023. [Google Scholar] [CrossRef]
- Wu, Z.; Wang, B.; Li, M.; Tian, Y.; Quan, Y.; Liu, J. Simulation of Forest Fire Spread Based on Artificial Intelligence. Ecol. Indic. 2022, 136, 108653. [Google Scholar] [CrossRef]
- Yang, Q. Theoretical Expression of the Specific Heat of Wood. J. Appl. Sci. 1993, 11, 345–352. [Google Scholar]
- Hädrich, T.; Banuti, D.T.; Pałubicki, W.; Pirk, S.; Michels, D.L. Fire in Paradise: Mesoscale Simulation of Wildfires. ACM Trans. Graph. (TOG) 2021, 40, 163. [Google Scholar] [CrossRef]
- Li, Y. Experimental Study on the Transformation of Forest Humus from Smoldering to Flaming. In Forest Engineering; Northeast Forestry University: Harbin, China, 2018. [Google Scholar]
- Kang, Q.; Li, C. The Research on Comprehensive Evaluation System of Foam Extinguishing Agent and Its Application. Fire Sci. Technol. 2019, 8, 1123–1126. [Google Scholar]













| Category | Impact Factor | |||
|---|---|---|---|---|
| Meteorology | Ambient wind | Temperature and humidity | Oxygen concentration | Light intensity |
| Terrain | Slope | Elevation | Aspect | Longitude and latitude |
| Fireground | Thickness of residual layer | Intensity of heat | Degree of carbonization | Area of fire |
| Vegetation | Water content | Organic content | Inorganic content | Vegetation cover |
| Forest Fire Suppression Materials | ||||
|---|---|---|---|---|
| TYPE | Raw Material | Fire Suppression Principle | Advantage | Disadvantage |
| FOREST CHEMICAL FIRE SUPPRESSANT | Diammonium phosphate, ammonium polyphosphate [48] | Interrupts combustion chain by free radical pyrolysis |
|
|
| HYDROGEL FIRE SUPPRESSANT | Various polymers, natural ingredients, additives |
|
|
|
| WATER-BASED FOAM FIRE EXTINGUISHER | Foaming agent, foam stabilizer, deionized water, additive |
|
|
|
| GEL FOAM FIRE SUPPRESSANT | Water-based foam, gelling agent | Cover combustible surfaces and isolate from oxygen |
|
|
| SOLIDIFIED FOAM FIRE EXTINGUISHER | Water-based foam, silicate-based inorganic powder |
|
| High cost |
| Variable | Mean | Deviation | Minimum | Maximum | 25% Quartile | 75% Quartile |
|---|---|---|---|---|---|---|
| Oxygen concentration (%) | 4.2 | 2.1 | 1 | 9 | 3 | 6 |
| Slope (°) | 32.4 | 3 | 5 | 83 | 25 | 65 |
| Wind speed (m/s) | 4.3 | 2.5 | 1 | 10.1 | 3.6 | 8 |
| Residual layer thickness (cm) | 4.1 | 2.1 | 2 | 8 | 3.2 | 6.4 |
| Temperature (°C) | 410 | 224 | 45 | 850 | 236 | 615 |
| Humidity (%) | 26 | 40 | 2 | 64 | 15 | 52 |
| Ambient Light | Light Rotation | Light Intensity | Temperature | Humidity | Oxygen Content | Residual Layer Thickness |
| Cloudy plain | 15° | 1.05lx | 120 °C | 25% | 16% | 7 cm |
| Flame particle volume | Emission direction | Emission range | Maximum lifetime | Minimum lifetime | Interface response form | Timing duration |
| 1 | Spread outwards | Round | 5 ms | 2 ms | Json | 10 ms |
Disclaimer/Publisher’s Note: The statements, opinions and data contained in all publications are solely those of the individual author(s) and contributor(s) and not of MDPI and/or the editor(s). MDPI and/or the editor(s) disclaim responsibility for any injury to people or property resulting from any ideas, methods, instructions or products referred to in the content. |
© 2025 by the authors. Licensee MDPI, Basel, Switzerland. This article is an open access article distributed under the terms and conditions of the Creative Commons Attribution (CC BY) license (https://creativecommons.org/licenses/by/4.0/).
Share and Cite
Fan, W.; Zai, W.; Li, W. A Digital Twin Approach to Forest Fire Re-Ignition: Mechanisms, Prediction, and Suppression Visualization. Forests 2025, 16, 519. https://doi.org/10.3390/f16030519
Fan W, Zai W, Li W. A Digital Twin Approach to Forest Fire Re-Ignition: Mechanisms, Prediction, and Suppression Visualization. Forests. 2025; 16(3):519. https://doi.org/10.3390/f16030519
Chicago/Turabian StyleFan, Wenping, Wenjiao Zai, and Wenyan Li. 2025. "A Digital Twin Approach to Forest Fire Re-Ignition: Mechanisms, Prediction, and Suppression Visualization" Forests 16, no. 3: 519. https://doi.org/10.3390/f16030519
APA StyleFan, W., Zai, W., & Li, W. (2025). A Digital Twin Approach to Forest Fire Re-Ignition: Mechanisms, Prediction, and Suppression Visualization. Forests, 16(3), 519. https://doi.org/10.3390/f16030519

