Growth, Productivity, and Nutrient Return of a Mixed Plantation of Fast-Growing Eucalyptus Hybrid and Acacia auriculiformis Trees in Thailand
Abstract
1. Introduction
2. Materials and Methods
2.1. Site Description and Plant Materials
2.2. Experimental Design
2.3. Tree Growth and Aboveground Biomass
2.4. Litterfall Production
2.5. Soil Nutrients
3. Data Analysis
4. Results
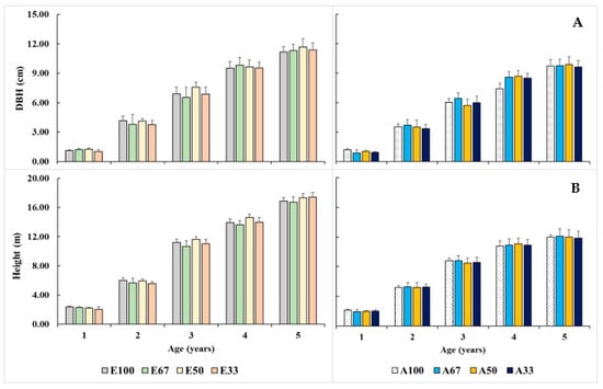
4.1. Growth Performance
4.2. Aboveground Biomass
4.3. Litterfall
4.4. Nutrient Return
4.5. Soil Nutrients
5. Discussion
5.1. Growth Performance
5.2. Aboveground Biomass
5.3. Litterfall and Nutrient Return
5.4. Soil Nutrients
6. Conclusions
Author Contributions
Funding
Data Availability Statement
Acknowledgments
Conflicts of Interest
References
- Thaiutsa, B. Silvicultural management of private Eucalyptus plantation for wood chips in Thailand. In Proceedings of the International Symposium on Eucalyptus Plantations Research, Management and Development; Wei, R., Xu, D., Eds.; World Scientific Publishing Co. Pte. Ltd.: Singapore, 2003; pp. 404–413. [Google Scholar]
- Doran, J.C.; Turnbull, J.W. Australian Trees and Shrubs: Species for Land Rehabilitation and Farm Planting in the Tropics; ACIAR Monograph No. 24; CABI: Wallingford, UK, 1997. [Google Scholar]
- GISDA. Eucalyptus Data from Satellites and Ground Image Sensors; Geo-Informatics and Space Technology Development Agency (Public Organization): Bangkok, Thailand, 2023. [Google Scholar]
- Vanguelova, E.; Pitman, R. Impacts of short rotation forestry on soil sustainability. In Short Rotation Forestry: Review of Growth and Environmental Impacts: Forest Research Monograph 2; McKay, H., Ed.; Forest Research: UK, 2009; pp. 37–78. [Google Scholar]
- Yimam, M.M.; Hailu, L. Effects of eucalyptus plantation on environment and water resource. Int. J. Adv. Res. Biol. Sci. 2022, 9, 156–163. [Google Scholar]
- Koutika, L.S.; Richardson, D.M. Acacia mangium Willd: Benefits and threats associated with its increasing use around the world. For. Ecosyst. 2019, 6. [Google Scholar] [CrossRef]
- Wongprom, J.; Poolsiri, R.; Diloksumpun, S.; Ngernsaengsaruay, C. Soil properties and tree composition in a 27-year-old Acacia mangium Willd. plantation on abandoned mining area at Phangnga Forestry Research Station. Biotropia 2020, 27, 125–133. [Google Scholar] [CrossRef]
- Saharjo, B.H.; Watanabe, H. Estimation of litter fall and seed production of Acacia mangium in a forest plantation in South Sumatra, Indonesia. For. Ecol. Manag. 2000, 130, 265–268. [Google Scholar] [CrossRef]
- Wongprom, J.; Poolsiri, R.; Diloksumpun, S.; Ngernsaengsaruay, C.; Tansakul, S.; Chandaeng, W. Litterfall, litter decomposition and nutrient return of rehabilitated mining areas and natural forest in Phangnga Forestry Research Station, southern Thailand. Biotropia 2022, 29, 74–85. [Google Scholar] [CrossRef]
- Nambiar, E.K.S.; Harwood, C.E. Productivity of acacia and eucalypt plantations in Southeast Asia. 1. Bio-physical determinants of production: Opportunities and challenges. Int. For. Rev. 2014, 16, 225–248. [Google Scholar] [CrossRef]
- Hai, P.H.; Harwood, C.; Kha, L.D.; Pinyopusarerk, K.; Thinh, H.H. Genetic gain from breeding Acacia auriculiformis in Vietnam. J. Trop. For. Sci. 2008, 20, 313–327. [Google Scholar]
- Parrotta, J.A. Productivity, nutrient cycling, and succession in single- and mixed-species plantations of Casuarina equisetifolia, Eucalyptus robusta, and Leucaena leucocephala in Puerto Rico. For. Ecol. Manag. 1999, 124, 45–77. [Google Scholar] [CrossRef]
- Bouillet, J.P.; Laclau, J.P.; de Moraes Gonçalves, J.L.; Moreira, M.Z.; Trivelin, P.; Jourdan, C.; Galiana, A. Mixed-species Plantations of Acacia mangium and Eucalyptus grandis in Brazil. In Proceedings of the Site Management and Productivity in Tropical Plantation Forests, Proceedings of Workshops in Piracicaba (Brazil) 22–26 November 2004 and Bogor (Indonesia) 6–9 November 2006, Bogor, Indonesia; Nambiar, E.K.S., Ed.; Center for International Forestry Research (CIFOR): Bogor, Indonesia, 2008; pp. 157–172. [Google Scholar]
- Bouillet, J.P.; Laclau, J.P.; de Moraes Gonçalves, J.L.; Voigtlaender, M.; Gava, J.L.; Leite, F.; Hakamada, R.; Mareschal, L.; Mabiala, A.; Tardy, F.; et al. Eucalyptus and Acacia tree growth over entire rotation in single and mixed-species plantations across five sites in Brazil and Congo. For. Ecol. Manag. 2013, 301, 89–101. [Google Scholar] [CrossRef]
- Forrester, D.I.; Bauhus, J.; Khanna, P.K. Growth dynamics in a mixed-species plantation of Eucalyptus globulus and Acacia mearnsii. For. Ecol. Manag. 2004, 193, 81–95. [Google Scholar] [CrossRef]
- Forrester, D.I.; Bauhus, J.; Cowie, A.L.; Mitchell, P.A.; Brockwell, J. Productivity of three young mixed-species plantation containing N2-fixing Acacia and non-N2-fixing Eucalyptus and Pinus trees in Southern Australia. For. Sci. 2007, 53, 426–434. [Google Scholar] [CrossRef]
- Bauhus, J.; van Winden, A.P.; Nicotra, A.B. Aboveground interactions and productivity in mixed-species plantations of Acacia mearnsii and Eucalyptus globulus. Can. J. Res. 2004, 34, 686–694. [Google Scholar] [CrossRef]
- Forrester, D.I.; Lancaster, K.; Collopy, J.J.; Warren, C.R.; Tausz, M. Photosynthetic capacity of Eucalyptus globulus is higher when grown in mixture with Acacia mearnsii. Trees 2012, 26, 1203–1213. [Google Scholar] [CrossRef]
- Debell, D.S.; Whitesell, C.D.; Schubert, T.H. Mixed Plantation of Eucalyptus and Leguminous Trees Enhance Biomass Production; Pacific Southwest Forest and Range Experiment Station, Forest Service: Berkeley, CA, USA, 1985. [Google Scholar]
- Forrester, D.I.; Schortemeyer, M.; Stock, W.D.; Bauhus, J.; Khanna, P.K.; Cowie, A. Assessing nitrogen fixation in mixed-and single -species plantations of Eucalyptus globulus and Acacia mearnsii. Tree Physiol. 2007, 27, 1319–1328. [Google Scholar] [CrossRef]
- da Silva, N.F.; de Barros, N.F.; Neves, J.C.L.; Schulthais, F.; de Novais, R.F.; Mattiello, E.M. Yield and nutrient demand and efficiency of eucalyptus under coppicing regime. Forests 2020, 11, 852. [Google Scholar] [CrossRef]
- Tang, G.; Li, K.; Zhang, C.; Gao, C.; Li, B. Accelerated nutrient cycling via leaf litter, and not root interaction, increases growth of Eucalyptus in mixed-species plantations with Leucaena. For. Ecol. Manag. 2013, 310, 45–53. [Google Scholar] [CrossRef]
- Pereira, A.P.A.; Durrer, A.; Gumiere, T.; Gonçalves, J.L.M.; Robin, A.; Bouillet, J.P.; Wang, J.; Verma, J.P.; Singh, B.K.; Cardoso, E.J.B.N. Mixed Eucalyptus plantations induce changes in microbial communities and increase biological functions in the soil and litter layers. For. Ecol. Manag. 2019, 433, 332–342. [Google Scholar] [CrossRef]
- Santos, F.M.; Chaer, G.M.; Diniz, A.R.; Balieiro, F.d.C. Nutrient cycling over five years of mixed-species plantations of Eucalyptus and Acacia on a sandy tropical soil. For. Ecol. Manag. 2017, 384, 110–121. [Google Scholar] [CrossRef]
- Marron, N.; Epron, D. Are mixed-tree plantations including a nitrogen-fixing species more productive than monocultures? For. Ecol. Manag. 2019, 441, 242–252. [Google Scholar] [CrossRef]
- Thomas, A.; Priault, P.; Piutti, S.; Dallé, E.; Marron, N. Growth dynamics of fast-growing tree species in mixed forestry and agroforestry plantations. For. Ecol. Manag. 2021, 480, 118672. [Google Scholar] [CrossRef]
- Vanclay, J.K.; Gregorio, N.O.; Herbohn, J.L. Competition in a mixed-species planting with four contrasting tree species. Small-Scale For. 2023, 22, 351–369. [Google Scholar] [CrossRef]
- Wongchai, W.; Promwungkwa, A.; Insuan, W. Above-ground biomass allometric equation and dynamics accumulation of Eucalyptus camaldulensis and Acacia hybrid plantations in northern Thailand. Int. J. Renew. Energy Res. 2020, 10, 1664–1673. [Google Scholar]
- Walkley, A.; Black, I.A. An examination of degtjareff method for determining soil organic matter and a proposed modification of the chromic acid titration method. Soil Sci. 1934, 37, 29–37. [Google Scholar] [CrossRef]
- Bray, R.H.; Kurtz, L.T. Determination of total, organic, and available forms of phosphorus in soils. Soil Sci. 1945, 59, 39–45. [Google Scholar] [CrossRef]
- Sahunalu, S.; Dhanmanonda, P.; Prachaiyo, B.; Muangnil, K. Growth and yield for various uses of Eucalyptus camaldulensis Dehnh. planted in an agroforestry system on the degraded land. Thai J. For. 1993, 12, 144–158. [Google Scholar]
- Suraj, P.G.; Hegde, R.; Varghese, M.; Kamalakannan, R.; Sahoo, D.R.; Bush, D.J.; Harwood, C.E. Growth and pulpwood traits of Leucaena leucocephala and Eucalyptus camaldulensis at rainfed and irrigated sites in southern India. Trees For. People 2024, 15, 100482. [Google Scholar] [CrossRef]
- Royampaeng, S. Physiology of Intraspecific and Interspecific Hybrids of Acacia auriculiformis A. Cunn. ex Benth. Ph.D. Thesis, Northern Territory University, Australia, 2001. [Google Scholar]
- Watanabe, Y.; Masunaga, T.; Fashola, O.O.; Agboola, A.; Oviasuyi, P.K.; Wakatsuki, T. Eucalyptus camaldulensis and Pinus caribaea growth in relation to soil physico-chemical properties in plantation forests in Northern Nigeria. Soil Sci. Plant Nutr. 2009, 55, 132–141. [Google Scholar] [CrossRef]
- Klangprapan, A.; Maelim, S.; Meunpong, P. Growth, yields and financial return of 4-year-old Eucalyptus clone K58 and K62 planted in paired rows at Sa Kaeo Plantation, Sa Kaeo Province. KKU Res. J. Grad. Stud. 2019, 19, 22–34. [Google Scholar]
- Diloksumpun, S.; Wongprom, J.; A-kakhun, S. Growth and phyllode function traits of Acacia hybrid clones planted for post mining rehabilitation site in southern Thailand. In Proceedings of the SEAMEO BIOTROP 2nd International Conference on Tropical Biology: “Biology Ecological Restoration in Southeast Asia: Challenges, Gains, and Future Directions”, Held at Bogor, Indonesia, 12–13 October 2015; Damayanti, E.K., Fernandez, J.C., Eds.; Seameo Biotrop: Bogor, Indonesia, 2016; pp. 98–112. [Google Scholar]
- Hnukaew, M.; Poolsiri, R.; Haruthaithanasan, M.; Chompoowiset, P. Yield and nutrient contents of various 5-year-old Eucalypt clones in the upper northeast. Thai J. For. 2015, 34, 11–21. [Google Scholar]
- Luangviriyasaeng, V. Growth of different eucalypt clones planted on paddy bunds. Thai J. For. 2009, 28, 1–12. [Google Scholar]
- Kha, L.D.; Hardwood, C.E.; Kien, N.D.; Baltunis, B.S.; Hai, N.D.; Thinh, H.H. Growth and wood basic density of acacia hybrid clones at three locations in Vietnam. New For. 2012, 43, 13–29. [Google Scholar] [CrossRef]
- Huong, V.D.; Nambiar, E.K.S.; Quang, L.T.; Mendham, D.S.; Dung, P.T. Improving productivity and sustainability of successive rotations of Acacia auriculiformis plantations in south Vietnam. South. For. 2015, 77, 51–58. [Google Scholar] [CrossRef]
- Fisher, R.F.; Binkley, D. Ecology and Management of Forest Soils, 3rd ed.; John Wiley & Sons: New York, NY, USA, 2000. [Google Scholar]
- Paula, R.R.; Bouillet, J.P.; de Moraes Gonçalves, J.L.; Trivelin, P.C.; de Carvalho Balieiro, F.; Nouvellon, Y.; Oliveira, J.d.C.; de Deus Júnior, J.C.; Bordron, B.; Laclau, J.P. Nitrogen fixation rate of Acacia mangium Willd at mid rotation in Brazil is higher in mixed plantations with Eucalyptus grandis Hill ex Maiden than in monocultures. Ann. For. Sci. 2018, 75, 14. [Google Scholar] [CrossRef]
- Tchichelle, S.V.; Mareschal, L.; Koutika, L.S.; Epron, D. Biomass production, nitrogen accumulation and symbiotic nitrogen fixation in a mixed-species plantation of eucalyptus and acacia on a nutrient-poor tropical soil. For. Ecol. Manag. 2017, 403, 103–111. [Google Scholar] [CrossRef]
- Amatayakula, P.; Chomtha, T. Agricultural Meteorology to Know for Prachuap Khiri Khan; Agrometeorological Division, Meteorological Development Bureau: Bangkok, Thailand, 2017. [Google Scholar]
- Stape, J.L.; Binkley, D.; Ryan, M.G. Eucalyptus production and the supply, use and efficiency of use of water, light and nitrogen across a geographic gradient in Brazil. For. Ecol. Manag. 2004, 193, 17–31. [Google Scholar] [CrossRef]
- White, D.A.; Silberstein, R.P.; Balocchi-Contreras, F.; Quiroga, J.J.; Palma, J.H.N.; de Arellana, P.R. Growth, water use, and water use efficiency of Eucalyptus globulus and Pinus radiata plantations compared with natural stands of Roble-Hualo forest in the coastal mountains of central Chile. For. Ecol. Manag. 2021, 501, 119676. [Google Scholar] [CrossRef]
- Richards, A.E.; Forrester, D.I.; Bauhus, J.; Lorenzen, M.S. The influence of mixed tree plantations on the nutrition of individual species: A review. Tree Physiol. 2010, 30, 1192–1208. [Google Scholar] [CrossRef] [PubMed]
- Nouvellon, Y.; Laclau, J.P.; Epron, D.; Maire, G.L.; Bonnefond, J.M.; Gonçalves, J.L.M.; Bouillet, J.P. Production and carbon allocation in monocultures and mixed-species plantations of Eucalyptus grandis and Acacia mangium in Brazil. Tree Physiol. 2012, 32, 680–695. [Google Scholar] [CrossRef] [PubMed]
- Santos, F.M.; Balieiro, F.d.C.; dos SAtaíde, D.H.; Diniz, A.R.; Chaer, G.M. Dynamics of aboveground biomass accumulation in monospecific and mixed-species plantations of Eucalyptus and Acacia on a Brazilian sandy soil. For. Ecol. Manag. 2016, 363, 86–97. [Google Scholar] [CrossRef]
- Maire Gl Nouvellon, Y.; Christina, M.; Ponzoni, F.J.; de Moraes Gonçalves, J.L.; Bouillet, J.B.; Laclau, J.P. Tree and stand light use efficiencies over a full rotation of single-and mixed-species Eucalyptus grandis and Acacia mangium plantations. For. Ecol. Manag. 2013, 288, 31–42. [Google Scholar] [CrossRef]
- Wongprom, J.; Wachrinrat, C.; Srigongpan, R.; Klangsap, N. Water use and water use efficiency of eucalypt clones planted on paddy bunds in Phanom Sarakham District, Chachoengsao Province. Thai J. For. 2009, 28, 38–46. [Google Scholar]
- Koutika, L.S.; Tchichelle, S.V.; Mareschal, L.; Epron, D. Nitrogen dynamics in a nutrient-poor soil under mixed-species plantations of eucalyptus and acacias. Soil Biol. Biochem. 2017, 108, 84–90. [Google Scholar] [CrossRef]
- Li, T.; Sun, Y.; Wang, L.; Xu, R.; Tigabu, M.; Li, M.; Wang, D. Effects of species mixture on understory vegetation, soil properties and bacterial diversity of Acacia cincinnata, Eucalyptus robusta and Acacia mangium plantations in Southeastern China. Plant Stress 2023, 10, 100278. [Google Scholar] [CrossRef]
- Liu, C.L.C.; Kuchma, O.; Krutovsky, K.V. Mixed-species versus monocultures in plantation forestry: Development, benefits ecosystem services and perspectives for the future. Glob. Ecol. Conserv. 2018, 15, e00419. [Google Scholar] [CrossRef]
- Wang, H.C.; Wang, S.F.; Lin, K.C.; Shaner, P.J.L.; Lin, T.C. Litterfall and element fluxes in a natural hardwood forest and a Chinese-fir plantation experiencing frequent typhoon disturbance in central Taiwan. Biotropica 2013, 45, 541–548. [Google Scholar] [CrossRef]
- Rachid, C.T.C.C.; Balieiro, F.C.; Peixoto, R.S.; Pinheiro, Y.A.S.; Piccolo, M.C.; Chaer, G.M.; Rosado, A.S. Mixed plantations can promote microbial integration and soil nitrate increases with changes in the N cycling genes. Soil Biol. Biochem. 2013, 66, 146–153. [Google Scholar] [CrossRef]
- Wang, F.; Li, Z.; Xia, H.; Zou, B.; Li, N.; Liu, J.; Zhu, W. Effects of nitrogen-fixing and non-nitrogen-fixing tree species on soil properties and nitrogen transformation during forest restoration in southern China. Soil Sci. Plant Nutr. 2010, 56, 297–306. [Google Scholar] [CrossRef]
- Laclau, J.P.; Deleporte, P.; Ranger, J.; Bouillet, J.P.; Kazotti, G. Nutrient dynamics throughout the rotation of Eucalyptus clonal stands in Congo. Ann. Bot. 2003, 91, 879–892. [Google Scholar] [CrossRef]
- Formaglio, G.; Krusche, A.V.; Mareschal, L.; Bouillet, J.P.; de Moraes Goncalves, J.L.; Nouvellon, Y.; Delgado-Rojas, J.S.; Montebelo, A.; Ranger, J. Planting nitrogen-fixing trees in tropical Eucalyptus plantations does not increase nutrient losses through drainage. For. Ecol. Manag. 2023, 537, 120940. [Google Scholar] [CrossRef]

) and Acacia
auriculiformis (
) in the mixed-species and monoculture plantations, with
the location of litter traps (
), at the ratios A100,
E100, E67:A33, E50:A50, and E33:A67 at the Had Wanakorn Forestry Research and
Student Training Station, Thap Sakae
district, Prachuap Khiri Khan province, Thailand.
) and Acacia
auriculiformis (
) in the mixed-species and monoculture plantations, with
the location of litter traps (
), at the ratios A100,
E100, E67:A33, E50:A50, and E33:A67 at the Had Wanakorn Forestry Research and
Student Training Station, Thap Sakae
district, Prachuap Khiri Khan province, Thailand.




| Species | Components | Equations |
|---|---|---|
| Eucalyptus | Stem | 0.027 (DBH)1.625 H1.212 |
| Branch | 0.004 (DBH + 1)2.642 | |
| Bark | 0.009 (DBH)1.800 H0.670 | |
| Leaf | −1.121 + 0.272 (DBH) | |
| Acacia | Stem | 0.044 [(DBH)2 H]0.894 |
| Branch | 0.022 (DBH)2 H0.727 | |
| Bark | 0.006 [(DBH)2 H]0.894 | |
| Leaf | −0.701 + 0.361 (DBH) |
| Treatment | Tree Species | |
|---|---|---|
| A. auriculiformis (A) | Eucalyptus Hybrid (E) | |
| E100 | - | 2.02 |
| E67:A33 | 3.18 | 2.07 |
| E50:A50 | 3.20 | 2.06 |
| E33:A67 | 3.45 | 2.10 |
| A100 | 3.51 | - |
| p-Value | 0.28 ns | 0.96 ns |
| Nutrient | A100 (kg ha−1 yr−1) | E100 (kg ha−1 yr−1) | E67:A33 (kg ha−1 yr−1) | E50:A50 (kg ha−1 yr−1) | E33:A67 (kg ha−1 yr−1) | F-Value |
|---|---|---|---|---|---|---|
| N | 88.63 d | 22.36 a | 42.92 b | 47.84 b | 57.50 c | 93.10 ** |
| P | 0.54 b | 0.40 a | 0.48 ab | 0.47 ab | 0.55 b | 12.65 * |
| K | 19.38 | 20.86 | 16.69 | 14.32 | 20.43 | 3.17 ns |
| Ca | 61.33 b | 46.19 a | 58.93 b | 68.79 bc | 79.00 c | 27.12 ** |
| Mg | 8.40 b | 8.97 b | 8.73 b | 9.50 b | 7.16 a | 9.39 * |
| Soil Depth (cm) | Treatment | OM (g kg−1) | Total N (g kg−1) | Avai. P (g kg−1) | K (g kg−1) | Ca (g kg−1) | Mg (g kg−1) |
|---|---|---|---|---|---|---|---|
| 0–5 | A100 | 16.60 c | 0.90 c | 4.60 b | 61.80 b | 164.33 | 60.17 |
| E100 | 10.67 a | 0.59 a | 3.51 a | 28.50 a | 189.33 | 52.17 | |
| E67:A33 | 12.90 ab | 0.71 ab | 3.58 ab | 35.50 a | 210.67 | 76.10 | |
| E50:A50 | 16.10 bc | 0.82 bc | 4.40 ab | 55.23 b | 236.00 | 66.97 | |
| E33:A67 | 15.33 bc | 0.83 bc | 4.22 ab | 45.83 ab | 169.07 | 72.67 | |
| F-value | 12.53 ** | 19.99 ** | 4.96 * | 12.54 * | 0.96 ns | 3.38 ns | |
| 5–10 | A100 | 7.89 | 0.46 | 3.14 | 34.13 | 27.47 | 41.57 |
| E100 | 8.72 | 0.39 | 3.34 | 20.17 | 41.17 | 40.27 | |
| E67:A33 | 8.96 | 0.43 | 2.75 | 27.03 | 31.27 | 46.30 | |
| E50:A50 | 9.70 | 0.46 | 3.85 | 30.97 | 44.57 | 56.53 | |
| E33:A67 | 7.60 | 0.44 | 3.56 | 31.77 | 36.67 | 57.23 | |
| F-value | 0.31 ns | 0.89 ns | 1.64 ns | 3.07 ns | 1.60 ns | 4.01 ns | |
| 10–20 | A100 | 5.24 | 0.38 | 2.65 | 18.27 | 25.87 | 30.10 |
| E100 | 6.46 | 0.30 | 2.75 | 13.70 | 20.70 | 36.67 | |
| E67:A33 | 4.76 | 0.33 | 2.84 | 18.80 | 26.33 | 33.93 | |
| E50:A50 | 7.58 | 0.37 | 2.56 | 19.13 | 36.00 | 49.10 | |
| E34:A67 | 4.76 | 0.35 | 2.63 | 15.33 | 35.93 | 45.53 | |
| F-value | 1.01 ns | 0.74 ns | 0.23 ns | 1.97 ns | 1.52 ns | 2.39 ns |
Disclaimer/Publisher’s Note: The statements, opinions and data contained in all publications are solely those of the individual author(s) and contributor(s) and not of MDPI and/or the editor(s). MDPI and/or the editor(s) disclaim responsibility for any injury to people or property resulting from any ideas, methods, instructions or products referred to in the content. |
© 2025 by the authors. Licensee MDPI, Basel, Switzerland. This article is an open access article distributed under the terms and conditions of the Creative Commons Attribution (CC BY) license (https://creativecommons.org/licenses/by/4.0/).
Share and Cite
Wongprom, J.; Jumwong, N.; Sangvisitpirom, P.; Diloksumpun, S.; Thaopimai, L.-o. Growth, Productivity, and Nutrient Return of a Mixed Plantation of Fast-Growing Eucalyptus Hybrid and Acacia auriculiformis Trees in Thailand. Forests 2025, 16, 182. https://doi.org/10.3390/f16010182
Wongprom J, Jumwong N, Sangvisitpirom P, Diloksumpun S, Thaopimai L-o. Growth, Productivity, and Nutrient Return of a Mixed Plantation of Fast-Growing Eucalyptus Hybrid and Acacia auriculiformis Trees in Thailand. Forests. 2025; 16(1):182. https://doi.org/10.3390/f16010182
Chicago/Turabian StyleWongprom, Jetsada, Narinthorn Jumwong, Pattama Sangvisitpirom, Sapit Diloksumpun, and La-ongdao Thaopimai. 2025. "Growth, Productivity, and Nutrient Return of a Mixed Plantation of Fast-Growing Eucalyptus Hybrid and Acacia auriculiformis Trees in Thailand" Forests 16, no. 1: 182. https://doi.org/10.3390/f16010182
APA StyleWongprom, J., Jumwong, N., Sangvisitpirom, P., Diloksumpun, S., & Thaopimai, L.-o. (2025). Growth, Productivity, and Nutrient Return of a Mixed Plantation of Fast-Growing Eucalyptus Hybrid and Acacia auriculiformis Trees in Thailand. Forests, 16(1), 182. https://doi.org/10.3390/f16010182

