Identification of Suitable Reference Genes for RT-qPCR Normalization in Amylostereum areolatum Cultured on Pinus sylvestris var. mongholica Wood Powder
Abstract
1. Introduction
2. Materials and Methods
2.1. Sample Collection
2.2. Total RNA Extraction, Detection and cDNA Synthesis
2.3. Reference Genes Selection and Primer Design
2.4. RT-qPCR Analysis
2.5. Statistical Analysis
2.5.1. Stability Analysis of Candidate Reference Genes
- The delta Ct method was employed to assess the expression stability of all candidates. The average standard deviation (SD) of Ct values for each gene was calculated in all samples. Genes with lower SD values were considered to be more stably expressed [31].
- The geNorm method [21] was employed to further assess the expression stability of the candidates. The initial Ct values were first converted to 2−∆Ct values (∆Ct = original Ct value—the lowest Ct in each group). The average expression stability value (M) was used to rank the candidates. Genes with lower M values were considered to be more stably expressed. Genes with an M value > 1.5 were considered unsuitable as reference. Further, geNorm aided in identifying the ideal number of reference genes by examining genes pairwise variations (Vn/Vn+1, pairwise variations between the normalization factors NFn and NFn+1), proposing n as the optimal count when Vn/Vn+1 falls below 0.15, or otherwise suggesting n + 1.
- The 2−∆Ct value was also required when using NormFinder for gene expression stability evaluation. This approach determines the stability of candidate reference genes by analyzing their variations across and within groups. Candidate reference genes with lower S values exhibited higher expression stability and were thus more appropriate for use as reference genes [32].
- BestKeeper was used to evaluate the expression stability of all candidates by computing their coefficient of variation (CV) and SD. Genes demonstrating stability were characterized by minimal CV and SD values. Importantly, genes with an SD value greater than 1 were considered unsuitable as reference genes [33].
2.5.2. Validation of Reference Genes
3. Results
3.1. Amplification Specificity and Efficiency Analysis
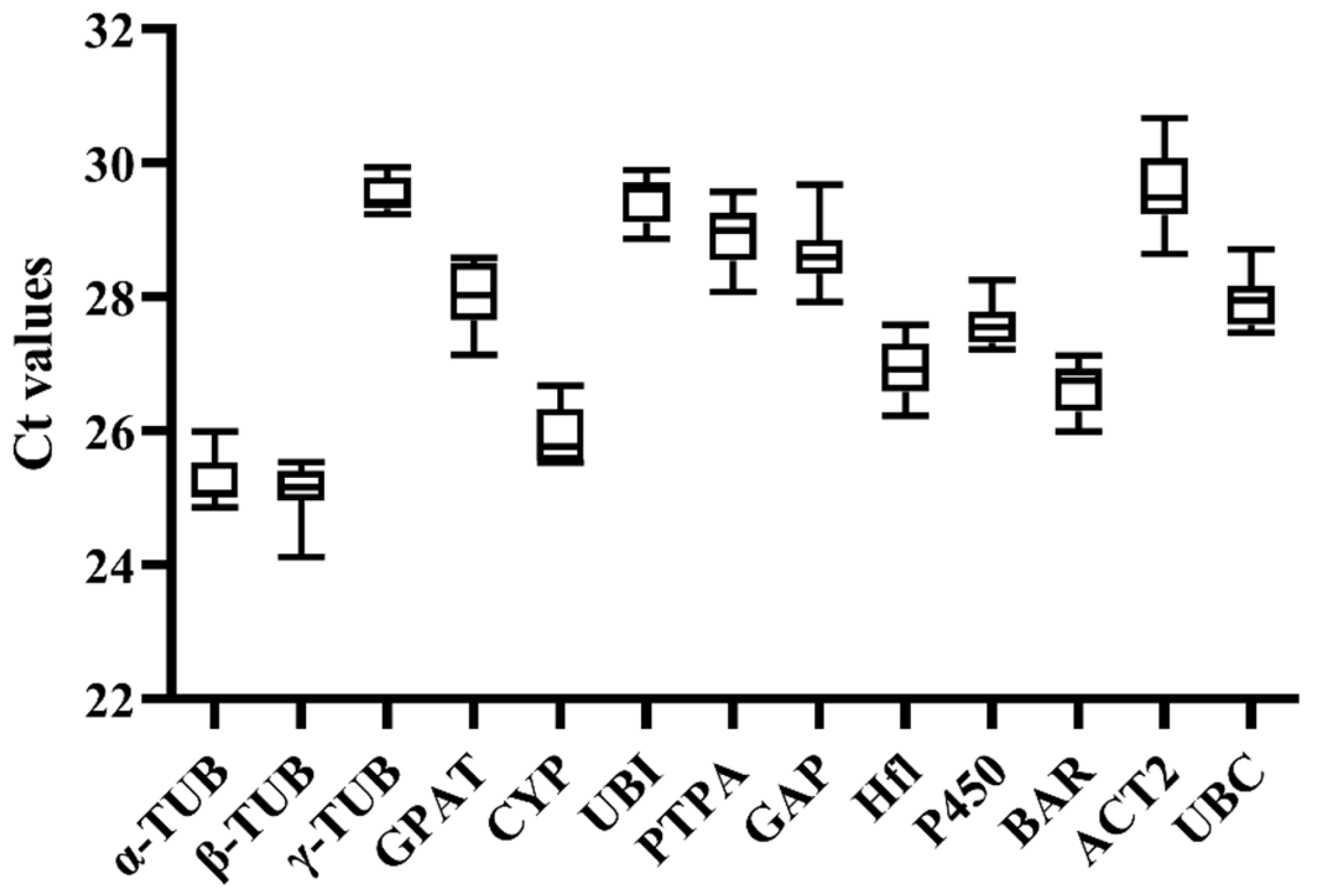
3.2. Expression Analysis of Reference Genes
3.3. Stability Analysis of Reference Genes
3.3.1. Delta Ct Analysis
3.3.2. geNorm Analysis
3.3.3. NormFinder Analysis
3.3.4. BestKeeper Analysis
3.3.5. RefFinder Analysis
3.4. Validation of Reference Genes
4. Discussion
5. Conclusions
Supplementary Materials
Author Contributions
Funding
Data Availability Statement
Conflicts of Interest
Abbreviations
References
- Li, D.; Shi, J.; Luo, Y. Mutualism Between the Eurasian Woodwasp, Sirex noctilio (Hymenoptera: Siricidae) and Its Fungal Symbiont Amylostereum areolatum (Russulales: Amylostereaceae). Acta Entomol. Sin. 2015, 58, 1019–1029. [Google Scholar]
- Groot, P.; Nystrom, K.; Scarr, T. Discovery of Sirex noctilio (Hymenoptera: Siricidae) in Ontario, Canada. Great Lakes Entomol. 2006, 39, 49–53. [Google Scholar] [CrossRef]
- Ajó Fernández, A.A.F.; Martínez, A.S.; Villacide, J.M.; Corley, J.C. Behavioural response of the woodwasp Sirex noctilio to volatile emissions of its fungal symbiont. J. Appl. Entomol. 2015, 139, 654–659. [Google Scholar] [CrossRef]
- Ciesla, W.M. European woodwasp: A potential threat to North America’s conifer forests. J. For. 2003, 101, 18–23. [Google Scholar] [CrossRef]
- Carnegie, A.; Eldridge, R.H.; Waterson, D.G. History and Management of Sirex Wood Wasp in Pine Plantations in New South Wales, Australia. N. Z. J. For. Sci. 2005, 35, 3–24. [Google Scholar]
- Slippers, B.; Coutinho, T.; Wingfield, B.; Wingfield, M. A Review of the Genus Amylostereum and Its Association with Woodwasps. S. Afr. J. Sci. 2003, 99, 70–74. [Google Scholar]
- Slippers, B.; De Groot, P.; Wingfield, M.J. The Sirex Woodwasp and Its Fungal Symbiont: Research and Management of a Worldwide Invasive Pest; Springer: Dordrecht, The Netherlands, 2012. [Google Scholar]
- Li, H.; Young, S.E.; Poulsen, M.; Currie, C.R. Symbiont-Mediated Digestion of Plant Biomass in Fungus-Farming Insects. Annu. Rev. Entomol. 2021, 66, 297–316. [Google Scholar] [CrossRef] [PubMed]
- Biedermann, P.H.W.; Vega, F.E. Ecology and Evolution of Insect-Fungus Mutualisms. Annu. Rev. Entomol. 2020, 65, 431–455. [Google Scholar] [CrossRef]
- Wang, M.; Wang, L.; Li, D.; Fu, N.; Li, C.; Luo, Y.; Ren, L. Advances in the Study of Mutualism Relationship between Amylostereum areolatum and Sirex noctilio. J. Temp. For. Res. 2020, 3, 1–11. [Google Scholar]
- Talbot, P.H.B. The Sirex-Amylostereum-Pinus Association. Annu. Rev. Phytopathol. 1977, 15, 41–54. [Google Scholar] [CrossRef]
- Hajek, A.E.; Nielsen, C.; Kepler, R.M.; Long, S.J.; Castrillo, L. Fidelity Among Sirex Woodwasps and Their Fungal Symbionts. Microb. Ecol. 2013, 65, 753–762. [Google Scholar] [CrossRef][Green Version]
- Thompson, B.M.; Bodart, J.; McEwen, C.; Gruner, D.S. Adaptations for Symbiont-Mediated External Digestion in Sirex noctilio (Hymenoptera: Siricidae). Ann. Entomol. Soc. Am. 2014, 107, 453–460. [Google Scholar] [CrossRef]
- Humber, R.A.; Batra, L.R. Insect-Fungus Symbiosis: Nutrition, Mutualism, and Commensalism. Mycologia 1980, 72, 848. [Google Scholar] [CrossRef]
- Wang, L. The Influence of Host Tree Endophytic Fungi on the Invasive Species Sirex noctilio (Hymenoptera: Siricidae). Ph.D. Thesis, Beijing Forestry University, Beijing, China, 2019. [Google Scholar]
- Madden, J. Egg and Larval Development in the Woodwasp, Sirex noctilio F. Aust. J. Zool. 1981, 29, 493. [Google Scholar] [CrossRef]
- Fu, N.; Wang, M.; Gao, C.; Ren, L.; Luo, Y. Transcriptomics Analysis of Amylostereum areolatum at Different Development Stages. Mycosystema 2021, 40, 2771–2784. [Google Scholar]
- Gao, P.; Wang, J.; Wen, J. Selection of Reference Genes for Tissue/Organ Samples of Adults of Eucryptorrhynchus scrobiculatus. PLoS ONE 2020, 15, e0228308. [Google Scholar] [PubMed]
- Zhao, M.; Fan, H.; Tu, Z.; Cai, G.; Zhang, L.; Li, A.; Xu, M. Stable Reference Gene Selection for Quantitative Real-Time PCR Normalization in Passion Fruit (Passiflora edulis Sims.). Mol. Biol. Rep. 2022, 49, 5985–5995. [Google Scholar] [CrossRef]
- Derveaux, S.; Vandesompele, J.; Hellemans, J. How to Do Successful Gene Expression Analysis Using Real-Time PCR. Methods 2010, 50, 227–230. [Google Scholar] [CrossRef] [PubMed]
- Vandesompele, J.; De Preter, K.; Pattyn, F.; Poppe, B.; Van Roy, N.; De Paepe, A.; Speleman, F. Accurate Normalization of Real-Time Quantitative RT-PCR Data by Geometric Averaging of Multiple Internal Control Genes. Genome Biol. 2002, 3, research0034.1. [Google Scholar] [CrossRef]
- Kozera, B.; Rapacz, M. Reference Genes in Real-Time PCR. J. Appl. Genet. 2013, 54, 391–406. [Google Scholar] [CrossRef]
- Yang, Z.; Zhang, R.; Zhou, Z. Identification and Validation of Reference Genes for Gene Expression Analysis in Schima superba. Genes 2021, 12, 732. [Google Scholar] [CrossRef] [PubMed]
- Gutierrez, L.; Mauriat, M.; Guénin, S.; Pelloux, J.; Lefebvre, J.; Louvet, R.; Rusterucci, C.; Moritz, T.; Guerineau, F.; Bellini, C.; et al. The Lack of a Systematic Validation of Reference Genes: A Serious Pitfall Undervalued in Reverse Transcription-polymerase Chain Reaction (RT-PCR) Analysis in Plants. Plant Biotechnol. 2008, 6, 609–618. [Google Scholar] [CrossRef] [PubMed]
- Chen, X.; Chen, X.; Tan, Q.; He, Y.; Wang, Z.; Zhou, G.; Liu, J. Selection of Potential Reference Genes for RT-QPCR in the Plant Pathogenic Fungus Colletotrichum fructicola. Front. Microbiol. 2022, 13, 982748. [Google Scholar] [CrossRef] [PubMed]
- Guenin, S.; Mauriat, M.; Pelloux, J.; Van Wuytswinkel, O.; Bellini, C.; Gutierrez, L. Normalization of QRT-PCR Data: The Necessity of Adopting a Systematic, Experimental Conditions-Specific, Validation of References. J. Exp. Bot. 2009, 60, 487–493. [Google Scholar] [CrossRef] [PubMed]
- Fu, N.; Li, J.; Wang, M.; Ren, L.; Zong, S.; Luo, Y. Identification and Validation of Reference Genes for Gene Expression Analysis in Different Development Stages of Amylostereum areolatum. Front. Microbiol. 2022, 12, 827241. [Google Scholar] [CrossRef]
- Wang, M.; Fu, N.; Gao, C.; Wang, L.; Ren, L.; Luo, Y. Multilocus Genotyping and Intergenic Spacer Single Nucleotide Polymorphisms of Amylostereum areolatum (Russulales: Amylostereacea) Symbionts of Native and Non-Native Sirex Species. J. Fungi 2021, 7, 1065. [Google Scholar] [CrossRef] [PubMed]
- Kõressaar, T.; Lepamets, M.; Kaplinski, L.; Raime, K.; Andreson, R.; Remm, M. Primer3_masker: Integrating Masking of Template Sequence with Primer Design Software. Bioinformatics 2018, 34, 1937–1938. [Google Scholar] [CrossRef] [PubMed]
- Radonić, A.; Thulke, S.; Mackay, I.M.; Landt, O.; Siegert, W.; Nitsche, A. Guideline to Reference Gene Selection for Quantitative Real-Time PCR. Biochem. Biophys. Res. Commun. 2004, 313, 856–862. [Google Scholar] [CrossRef] [PubMed]
- Silver, N.; Best, S.; Jiang, J.; Thein, S.L. Selection of Housekeeping Genes for Gene Expression Studies in Human Reticulocytes Using Real-Time PCR. BMC Mol. Biol. 2006, 7, 33. [Google Scholar] [CrossRef]
- Andersen, C.L.; Jensen, J.L.; Ørntoft, T.F. Normalization of Real-Time Quantitative Reverse Transcription-PCR Data: A Model-Based Variance Estimation Approach to Identify Genes Suited for Normalization, Applied to Bladder and Colon Cancer Data Sets. Cancer Res. 2004, 64, 5245–5250. [Google Scholar] [CrossRef]
- Pfaffl, M.W.; Tichopad, A.; Prgomet, C.; Neuvians, T.P. Determination of Stable Housekeeping Genes, Differentially Regulated Target Genes and Sample Integrity: BestKeeper–Excel-Based Tool Using Pair-Wise Correlations. Biotechnol. Lett. 2004, 26, 509–515. [Google Scholar] [CrossRef] [PubMed]
- Xie, F.; Wang, J.; Zhang, B. RefFinder: A Web-based Tool for Comprehensively Analyzing and Identifying Reference Genes. Funct. Integr. Genom. 2023, 23, 125. [Google Scholar] [CrossRef] [PubMed]
- Xie, F.; Xiao, P.; Chen, D.; Xu, L.; Zhang, B. MiRDeepFinder: A MiRNA Analysis Tool for Deep Sequencing of Plant Small RNAs. Plant Mol. Biol. 2012, 80, 75–84. [Google Scholar] [CrossRef] [PubMed]
- Schmittgen, T.D.; Livak, K.J. Analyzing Real-Time PCR Data by the Comparative CT Method. Nat. Protoc. 2008, 3, 1101–1108. [Google Scholar] [CrossRef] [PubMed]
- Thompson, B.M.; Grebenok, R.J.; Behmer, S.T.; Gruner, D.S. Microbial Symbionts Shape the Sterol Profile of the Xylem-Feeding Woodwasp, Sirex noctilio. J. Chem. Ecol. 2013, 39, 129–139. [Google Scholar] [CrossRef] [PubMed]
- Van der Merwe, E.; Slippers, B.; Dittrich-Schröder, G. Mechanical Egg Activation and Rearing of First Instar Larvae of Sirex noctilio (Hymenoptera: Siricidae). Insects 2023, 14, 931. [Google Scholar] [CrossRef] [PubMed]
- Bordeaux, J.M. Characterization of Growth Conditions for Production of a Laccase-like Phenoloxidase by Amylostereum areolatum, a Fungal Pathogen of Pines and Other Conifers. Ph.D. Thesis, University of Georgia, Athens, GA, USA, 2008. [Google Scholar]
- Chen, Z.; Bai, X.; Li, X.; Zeng, B.; Hu, B. Selection of Reference Genes for Gene Expression Analysis in Acacia melanoxylon under Different Conditions. Forests 2023, 14, 2245. [Google Scholar] [CrossRef]
- Wang, G.; Cheng, H.; Li, M.; Zhang, C.; Deng, W.; Li, T. Selection and Validation of Reliable Reference Genes for Tolypocladium guangdongense Gene Expression Analysis under Differentially Developmental Stages and Temperature Stresses. Gene 2020, 734, 144380. [Google Scholar] [CrossRef] [PubMed]
- Liu, Y.; Zhou, J.; Qiu, Z.; Hu, P.; Chen, X.; Yang, Z. Identification and Validation of Reference Genes for Expression Analysis Using RT-qPCR in Leptocybe invasa Fisher and La Salle (Hymenoptera: Eulophidae). Insects 2023, 14, 456. [Google Scholar] [CrossRef]
- Li, R.; Xie, W.; Wang, S.; Wu, Q.; Yang, N.; Yang, X.; Pan, H.; Zhou, X.; Bai, L.; Xu, B.; et al. Reference gene selection for qRT-PCR analysis in the sweetpotato whitefly, Bemisia tabaci (Hemiptera: Aleyrodidae). PLoS One 2013, 8, e53006. [Google Scholar] [CrossRef]
- Tong, C.; Wei, J.; Mao, X.; Pan, G.; Li, C.; Zhou, Z. Stable Reference Gene Selection for Ophiocordyceps sinensis Gene Expression Studies under Different Developmental Stages and Light-Induced Conditions. PLoS ONE 2023, 18, e0284486. [Google Scholar] [CrossRef] [PubMed]
- Ni, Y.; Zhang, Q.; Li, W.; Cao, L.; Feng, R.; Zhao, Z.; Zhao, X. Selection and Validation of Reference Genes for Normalization of Gene Expression in Floccularia luteovirens. Fungal Biol. 2024, 128, 1596–1606. [Google Scholar] [CrossRef] [PubMed]
- Jia, D.; Wang, B.; Li, X.; Tan, W.; Gan, B.; Peng, W. Validation of Reference Genes for Quantitative Gene Expression Analysis in Auricularia cornea. J. Microbiol. Meth. 2019, 163, 105658. [Google Scholar] [CrossRef] [PubMed]
- Lv, Y.; Li, Y.; Liu, X.; Xu, K. Identification of Ginger (Zingiber officinale Roscoe) Reference Genes for Gene Expression Analysis. Front. Genet. 2020, 11, 586098. [Google Scholar] [CrossRef] [PubMed]
- Alexandraki, D.; Ruderman, J. Sequence Heterogeneity, Multiplicity, and Genomic Organization of Alpha- and Beta-tubulin Genes in Sea Urchins. Mol. Cell. Biol. 1981, 1, 1125–1137. [Google Scholar] [CrossRef]
- Yang, H.; Yan, Y.; Weng, P.; Sun, C.; Yu, J.; Tang, L.; Li, J.; Mo, Z. Evaluation of Reference Genes for Quantitative Real-time PCR Normalization in The Neopyropia (Pyropia) Oomycete Pathogen Pythium porphyrae. J. Appl. Phycol. 2023, 35, 219–231. [Google Scholar] [CrossRef]
- Daúde, M.M.; Teixeira, R.C.; Cardon, C.H.; de Araujo Santos, G.C.; de Almeida, A.F.; Chalfun-Junior, A.; Barreto, H.G. Selection and Validation of Reference Genes for RT-qPCR Gene Expression Studies in Candida viswanathii Cultivated under Different Grown Conditions. J. Microbiol. Methods 2023, 211, 106777. [Google Scholar] [CrossRef]
- Dong, D.; Huang, R.; Hu, Y.; Yang, X.; Xu, D.; Jiang, Z. Assessment of Candidate Reference Genes for Gene Expression Studies Using RT-qPCR in Colletotrichum fructicola from Litchi. Genes 2023, 14, 2216. [Google Scholar] [CrossRef]




| Symbol | Gene Description | Primer (5′-3′) | Product (bp) | E (%) | R2 |
|---|---|---|---|---|---|
| α-TUB | α-tubulin | F: CGTGTTTCGAGAGCGGTAAT R: GGATCGTGCGCTTAGTCTTAAT | 114 | 90.1 | 0.993 |
| β-TUB | β-tubulin | F: CATTGACAACGAGGCTCTCTAC R: GACATGACGATGGAAACGAGAT | 99 | 92.7 | 0.992 |
| γ-TUB | γ-tubulin | F: TGTGTCGGCATGATTGAGAG R: TGCGTGTGATTGAGCATTTAAC | 102 | 104.4 | 0.998 |
| GPAT | Glycerol-3-phosphate acyltransferase | F: AACTCTGTCCTCTCCTCGCT R: TGAGAAGGGTGAAAACGCGA | 88 | 91.1 | 0.993 |
| CYP | Cyclophilin | F: CTCGATGACGGGTTTGGATATAA R: GTCACCACCCTGGATCATAAA | 75 | 92.3 | 0.991 |
| UBI | Ubiquitin | F: ACGCATTTGAGCCATCGAGA R: GAGGTACGAGTCCAGAACGC | 84 | 98.6 | 0.992 |
| PTPA | Phosphotyrosyl phosphatase activator | F: GCCGCAGTTCTGGATGTACT R: AACGTCCTAAATGCCGGGTT | 104 | 95.0 | 0.997 |
| GAP | GTPase activating protein | F: CCTCCACGAAGCACCAGAAT R: CAAGCGTCGAGTCCAGTTCT | 134 | 97.7 | 0.993 |
| Hfl | ATP-dependent metallopeptidase Hfl | F: CATCGACCCAGTCCTCATCG R: CGTCAGTACCTTGGGCAGAG | 147 | 92.9 | 0.993 |
| P450 | Cytochrome P450 | F: CACCTTTGCAGTCTACCTACTT R: CAGCTCCTTCAGATCGTCTATG | 118 | 94.4 | 0.997 |
| BAR | BAR domain-containing family protein | F: CTTGTGCAGAAGACCGAGGT R: TCGTTCAGGTTCTTGACGGG | 80 | 99.4 | 0.997 |
| ACT2 | Actin 2 | F: CGACAATGGCTCTGGGATGT R: ACGATGGATGGGAAGACAGC | 75 | 92.7 | 0.992 |
| UBC | Ubiquitin-conjugating enzyme | F: CATCTTGCGGGATCAGTGGA R: TCCTTCAGTTGTGCAGCGAT | 126 | 94.9 | 0.993 |
| Reference Genes | Delta Ct | geNorm | NormFinder | BestKeeper | RefFinder | ||||||
|---|---|---|---|---|---|---|---|---|---|---|---|
| Avg. SD | Rank | M | Rank | SV | Rank | SD | CV | Rank | GM | Rank | |
| α-TUB | 0.31 | 1 | 0.19 | 1 | 0.15 | 1 | 0.30 | 1.17 | 5 | 1.50 | 1 |
| P450 | 0.32 | 2 | 0.21 | 3 | 0.16 | 2 | 0.24 | 0.87 | 2 | 2.21 | 2 |
| UBC | 0.33 | 3 | 0.23 | 4 | 0.17 | 3 | 0.31 | 1.12 | 7 | 3.98 | 3 |
| CYP | 0.35 | 8 | 0.19 | 2 | 0.23 | 7 | 0.35 | 1.36 | 10 | 4.86 | 4 |
| GAP | 0.34 | 4 | 0.25 | 6 | 0.22 | 4 | 032 | 1.12 | 8 | 5.57 | 5 |
| BAR | 0.35 | 6 | 0.28 | 8 | 0.22 | 5 | 0.30 | 1.12 | 6 | 5.83 | 6 |
| γ-TUB | 0.43 | 11 | 0.33 | 11 | 0.34 | 10 | 0.22 | 0.74 | 1 | 5.90 | 7 |
| Hfl | 0.35 | 5 | 0.26 | 7 | 0.23 | 6 | 0.34 | 1.25 | 9 | 6.59 | 8 |
| UBI | 0.36 | 9 | 0.30 | 9 | 0.24 | 9 | 0.29 | 1.00 | 4 | 7.14 | 9 |
| PTPA | 0.35 | 7 | 0.25 | 5 | 0.24 | 8 | 0.36 | 1.25 | 11 | 7.67 | 10 |
| β-TUB | 0.49 | 12 | 0.35 | 12 | 0.44 | 12 | 0.28 | 1.13 | 3 | 8.49 | 11 |
| ACT2 | 0.43 | 10 | 0.31 | 10 | 0.36 | 11 | 0.46 | 1.54 | 13 | 10.94 | 12 |
| GPAT | 0.51 | 13 | 0.38 | 13 | 0.44 | 13 | 0.38 | 1.36 | 12 | 12.74 | 13 |
Disclaimer/Publisher’s Note: The statements, opinions and data contained in all publications are solely those of the individual author(s) and contributor(s) and not of MDPI and/or the editor(s). MDPI and/or the editor(s) disclaim responsibility for any injury to people or property resulting from any ideas, methods, instructions or products referred to in the content. |
© 2024 by the authors. Licensee MDPI, Basel, Switzerland. This article is an open access article distributed under the terms and conditions of the Creative Commons Attribution (CC BY) license (https://creativecommons.org/licenses/by/4.0/).
Share and Cite
Gao, C.; Fu, N.; Huang, H.; Hu, L.; Li, Y.; Ren, L.; Zhao, D. Identification of Suitable Reference Genes for RT-qPCR Normalization in Amylostereum areolatum Cultured on Pinus sylvestris var. mongholica Wood Powder. Forests 2024, 15, 1172. https://doi.org/10.3390/f15071172
Gao C, Fu N, Huang H, Hu L, Li Y, Ren L, Zhao D. Identification of Suitable Reference Genes for RT-qPCR Normalization in Amylostereum areolatum Cultured on Pinus sylvestris var. mongholica Wood Powder. Forests. 2024; 15(7):1172. https://doi.org/10.3390/f15071172
Chicago/Turabian StyleGao, Chenglong, Ningning Fu, Huayi Huang, Lili Hu, Yinghui Li, Lili Ren, and Danyang Zhao. 2024. "Identification of Suitable Reference Genes for RT-qPCR Normalization in Amylostereum areolatum Cultured on Pinus sylvestris var. mongholica Wood Powder" Forests 15, no. 7: 1172. https://doi.org/10.3390/f15071172
APA StyleGao, C., Fu, N., Huang, H., Hu, L., Li, Y., Ren, L., & Zhao, D. (2024). Identification of Suitable Reference Genes for RT-qPCR Normalization in Amylostereum areolatum Cultured on Pinus sylvestris var. mongholica Wood Powder. Forests, 15(7), 1172. https://doi.org/10.3390/f15071172

