Abstract
Trees growing in urban environments are often impacted by maintenance or construction work involving the cutting of roots. Tree protection zones have been proposed to avoid critical damage to the tree. However, despite incorporating quantitative information, they heavily rely on expert judgement that remains to be validated. In a study conducted across six parks in Quebec City, Canada, two commonly found tree species, Acer platanoides L. and Tilia cordata Mill., presumed to be different in terms of vulnerability to root damage, were subjected to a range of trenching treatments. The trees were between 23 and 40 cm diameter at breast height (DBH). A safety factor was calculated relating the turning moment the tree can withstand to the turning moment imposed by high winds likely to occur. The safety factor against uprooting was assessed for each tree before and after root trenching using a non-destructive pulling approach. The effects of tree species, distance to the trench, and their combined interaction were tested on tree stability. The relationship between tree stability and soil texture, tree characteristics, and the number of damaged roots were also tested. Safety factors were initially variable, ranging from 0.5 to 4.5. T. cordata safety factors were lower than those of A. platanoides and influenced by soil texture. Trenching treatments had no effect on the safety factor, even when two perpendicular trenches were dug at 1 m from the stem. No index of the amount of root damaged was significantly related to the safety factor. Root trenching treatments that encroached closer to the tree trunk than the recommended tree protection zones did not affect the stability of both species. Nevertheless, it is essential to recognize that other ecophysiological processes might still be influenced, and long-term monitoring is crucial. Both should be taken into account when determining these zones.
1. Introduction
Urban trees offer myriad benefits to the ecosystem and the surrounding community [1,2,3,4]. Trees enhance the aesthetic appeal of neighbourhoods [5] while mitigating heat island effects and providing protection against harmful ultraviolet radiation for pedestrians [1,6]. Nonetheless, urban trees constantly face the demanding and challenging task of co-existing with anthropogenic interventions [7].
Road works and construction activities in cities have become an inevitable part of urban development. As cities develop and expand, road maintenance, repairs, and construction projects are required to improve transport infrastructure and provide better connectivity for the growing population. The effects of these activities on urban trees are often overlooked and little empirical evidence exists [7,8]. Their proximity to infrastructure increases the risk of interference with grey infrastructure (e.g., buildings, roads) [9,10]. One of the main effects of roadwork and construction activities on trees in cities is the physical damage to their root systems, in particular root cutting.
Cutting roots significantly alters a tree’s biology and stability [11,12]. As a result, the tree will experience water stress to some extent [11], which can lead to the premature shedding of foliage to limit water loss, further reducing the tree’s growth [13]. If the tree is healthy and vigorous, it may be able to repair its root system. However, the potential recovery capacity of roots and recovery times in urban forests are not sufficiently documented, requiring further research. Tree stability can also be affected by the tree size, soil moisture, and texture [14,15]. The type of soil will influence root development and the quality of root anchorage, and this effect can be species-dependent [14,16,17,18,19,20,21]. For instance, Pinus banksiana can develop a strong root system in deep soils and is more resistant to uprooting than Picea mariana whereas both species are comparable in shallow or stony soils [22]. In urban environments, single isolated trees are frequently planted, and their size can influence their vulnerability to strong winds [15]. Urban soils are often compacted, which can limit root development. More specifically, urban soils are collections of heterogeneous materials with often unique physical and chemical profiles, based on land use history, in situ and imported non-organic materials, and organic materials, which changes soil compositions [23,24]. In a study by Bartens et al., (2010), it was observed that extensive irrigation of various urban engineered soil mixes did not impact tree stability; however, they did observe species-specific responses to different types of engineered soil mixes [21]. Having a comprehensive understanding of our tree’s stability prior to root cutting enables us to make informed decisions regarding the appropriate protective measures to implement.
Trees have a complex root system, which is essential to their survival. In search of moisture, tree roots can infiltrate areas such as porous or cracked pavements and leaking pipes in urban environments [10]. As a result, tree roots can potentially generate more damage, hinder the grey infrastructure’s intended function, and reduce its longevity [10]. Furthermore, in some cases where the infrastructure remains unaffected, maintenance work will require cutting tree roots [25], leading to adverse effects on the health and stability of the trees [26]. In urban settings, where space is limited, trees often coexist in close proximity to various grey infrastructures (e.g., power lines, skyscrapers, and houses), increasing the likelihood of potential targets in case of a tree fall [27]. These incidents can have substantial financial repercussions if grey infrastructures are damaged. Additionally, in extreme cases, these incidents pose severe risks to public safety if residents are found near the falling tree [27,28]. While identifying a dying tree can be accomplished through simple visual observation [29], accurately estimating the loss of stability caused by root cutting can be difficult. The condition of the tree’s root system remains unknown unless extensive excavation work is performed. Destructive tree-pulling studies have been extensively used to characterize tree stability in forest conditions [30,31]. These studies have formed the basis of models predicting vulnerability to wind, but these models cannot be applied in urban environments [32]. Given the added complexity of underground infrastructure, an assessment of the impact of root cutting on tree stability can be extremely challenging in urban environments [12,33].
Despite a few studies on the effect of root cutting on tree stability [12,33,34], it remains an underexplored domain of research in urban forestry. There is a need to thoroughly understand the impact of root cutting to preserve the benefits of trees, considering that these ecosystem services are directly linked to the tree’s size and percent canopy cover [2,4,35]. Guidelines exist to define tree protection zones around trees during construction work. In Quebec, two guidelines exist in the French language (e.g., BNQ, 2019 [36]; SIAQ, 2019 [37]) using approaches similar to those of the International Society of Arboriculture [36,37]. However, they rely on expert judgement and a limited set of documented trenching tests [12,33,34]. In addition, recommendations for a given species can differ between guidelines. Such is the case for Tilia spp. that are rated as having a low to moderate tolerance to root damage in SIAQ (2019) and having a moderate tolerance in BNQ (2019) [36,37].
Destructive tree-pulling studies have been used in order to build windthrow risk predictive models for forest trees [32]. However, these are available for a limited set of species growing in conditions quite different from those of urban trees. Non-destructive pulling tests where the force applied and the stem displacement are measured have been used to estimate the impact of root severing for individual trees in urban areas and have been considered a valuable approach [12,34]. However, the number of root-severing studies remains limited in urban ecosystems, especially in the northern hemisphere [38].
The present study aims to measure tree stability following various root-cutting treatments on two commonly found urban tree species in Quebec City, Canada, namely Tilia cordata and Acer platanoides. We employ a non-destructive tree-pulling test [15,39] used in the arboriculture practice. We address the following questions: (1) Does root-cutting impact tree stability? (2) Does root-cutting closer to, at the distance of, or further from the protection zones recommended by different guides (SIAQ 2019 and BNQ 2019) closely following the standards set by the International Society of Arboriculture have any effect? (3) Do multiple trenches (more than one side of the tree) impact tree stability in the short term? (4) What factors influence tree stability in the short term?
2. Materials and Methods
2.1. Tree Selection and Measurements
During two consecutive summers to early fall seasons (May to October in the years 2021 and 2022), a total of 28 individuals of 2 of the most abundant tree species from the public inventory of trees of Quebec City [40], Quebec, Canada (Acer platanoides L. and Tilia cordata Mill.) were sampled across 6 municipal parks: (1) des Capucins, (2) de l’Apprenti-Sage, (3) des Brumes, (4) Place de Verneuil, (5) Près de Lisieux, and (6) Courcival. The selection of municipal parks was contingent upon the presence of at least three individual trees that met our established criteria. The trees sampled were selected to meet the following criteria:
- A species commonly found in the City of Quebec (verified using the city’s public tree inventory).
- Trees located in isolated placements, maintaining a minimum distance of 20 m from significant vertical infrastructures (e.g., buildings), avoiding contact with overhead wires, and minimizing proximity to other trees.
- Trees in good health, retaining over 60% of their live crown, with little to no structural defects were determined visually.
- A tree diameter at breast height (DBH) ranging from 23 to 40 cm across both species. This range was chosen to represent the municipal tree population, as larger trees are rare in urban areas, and researchers did not want these legacy assets to be harmed. Smaller trees (>20 cm DBH) were avoided because they were less of a safety issue.
Special attention was devoted to locating any potential underground infrastructures that could be damaged by trenching (e.g., water pipes, underground wires) with the help of Info-Excavation (https://www.info-ex.com/, accessed on 2 August 2021). All sampled trees are in proximity to roads, spanning distances from 1.9 m to 10 m (Figure 1). We chose to sample trees in this distance range, as trees in urban areas are found along streets, boulevards, and avenues in residential and built-up areas. The decision to avoid conducting these experiments on sidewalks was based on safety concerns, with the trenching and pull testing. For each tree sampled, tree height (m) was measured using an angle (inclinometer), and DBH was recorded for each tree using a diameter tape at 1.3 m height. To characterize the soil properties and conditions at each site, two soil samples at each tree were collected at a depth between 5 and 30 cm with a stainless-steel hand auger. All soils collected were stored in air-tight plastic bags and placed in a cooler until we returned to the laboratory for processing. The samples at each tree were mixed, dried, and sieved to 2 mm. Bulk density was also calculated by dividing dry soil mass by volume. The percent of sand, silt, and clay was then measured by decantation using the Bouyoucos method [41].
Figure 1.
A sampled tree (T. cordata) near the road in Courcival park.
2.2. Static Pull Test Apparatus
Modeling tree resistance against wind involves two calculations: (1) the resistance to uprooting and (2) the resistance to stem breakage [32]. Resistance to stem breakage is a function of wood properties and stem defects whereas resistance to uprooting is a function of root configuration and soil properties [32,42,43]. A critical turning moment is calculated separately for uprooting and stem breakage and the lowest turning moment is considered the overall resistance of the tree. Since the immediate trunk resistance of the tree is likely not impacted by root trenching, this study concentrates on the resistance to uprooting.
In arboriculture and urban forestry, the static pull tests for single trees are frequently used to appraise the structural attributes of the trunk, as well as to gauge its anchorage to the ground [33,34]. This is particularly pertinent when construction activities are near roads and other infrastructures [15]. The methodology followed the principles outlined by Brudi and van Wassenaer (2002), where we used static pull tests to evaluate tree stability based on their structural properties and root anchorage [15]. The experimental setup consisted of connecting a tree to a mechanical winch and a solid anchoring point using a cable. The tree attachment protocol is illustrated in Figure 2, which began at the tree trunk, where a strap was connected to a dynamometer for force measurement. Subsequently, the dynamometer was linked to a cable, which was connected to a mechanical winch with a capacity of 1600 kN. The winch, in turn, was secured to an anchoring point using another strap. In this study, we used a 3-ton Ford-E250 van as the anchoring point, mainly selected for its sturdiness. To ensure accurate measurements, the selection of the attachment point on the tree was based on trunk diameter and the presence of forks. The chosen tree trunk section must be sufficiently robust to withstand the test without breaking. In order to minimize movement during testing, several chocks were placed beneath the van’s wheels. An elastomer, positioned at 1 m above the ground on the compression side of the trunk, measured wood fiber deformation during the test with a precision of 1 µm. This measurement facilitated the assessment of wood deformation and the determination of its proximity to the elastic deformation limits established for the sampled species (A. platanoides L. and T. cordata Mill.), corresponding to the threshold for permanent tree trunk damage [44]. The aim here was not to model stem resistance but rather to ensure the safety of the operations and to avoid permanent damage to the stem. To measure the inclination induced by the test accurately, two inclinometers were positioned at the base of the tree trunk. To mitigate potential measurement errors caused by tree trunk bending, the inclinometers were placed as close as possible to the roots, while avoiding being directly placed on them. The precision of these inclinometers was set to 0.0002°. Throughout the testing process, the angle of the cable was continuously monitored using a sensor integrated into the dynamometer. Communication among the elastometer, inclinometers, and dynamometer was established wirelessly with a computer station. Data acquisition was conducted using TreeQinetic MD version 5.0.0.3 software, which is part of the TreeQinetic PiCUS system MD.
Figure 2.
Diagram of static pull test apparatus.
Each test involved a series of three winching operations. Initially, the inclinometers were positioned perpendicular to the winching axis. Winching continued until one of the inclinometers reached an inclination of 0.25° or until the elastic deformation limit of the wood, as measured by the elastometer, was reached. Adhering to the 0.25° inclination limit is suggested by the system used to ensure the trees’ root systems were preserved. Subsequently, two additional winching operations were performed, each repositioning the inclinometer with the lowest inclination, first behind and then in front of the tree. This approach enabled the characterization of each side of the trunk’s behaviour. The position of the elastometer, cable, and anchoring point remained constant throughout the three winching operations. The maximum resistive moment to uprooting is then derived from a generalized tipping curve relating tree inclination to resistive moment up to failure [33].
2.3. Tree Root Trenching Experiments
To investigate the impact of root loss on tree stability, a series of four experiments were conducted (Figure 3). Each experiment involved tree measurements before and after the excavation of trenches to simulate root cutting. The trenches were created using an excavator, with a depth of 50 cm and a length equivalent to the tree crown projection. This ensured disturbance to the majority of roots, and the details of each tree experiment can be found in the Supplementary Files (refer to Supplementary Material for full descriptions). To mitigate root damage by tearing, the use of an excavator involved the careful removal of thin layers of soil. Visible roots were then cleared with a shovel and precisely cut using a power saw. Excess roots were subsequently removed with the excavator and the trench was filled back (Figure 4).
Figure 3.
Description of experimental structure.
Figure 4.
An illustration of the trenching treatment. (A–C) The trench at 1 m of a Tilia cordata, and (D) after the trench has been filled back.
During Experiment 1, a trench was excavated perpendicular to the traction axis with four treatments corresponding to a control and varying trench distances. The treatments are the following: (1) Control: measurement taken before trench excavation, (2) Treatment 1: trench excavated at 1.5 times the distance recommended by the local guides, (3) Treatment 2: trench excavated at the recommended distance by the local guides, and (4) Treatment 3: trench excavated at 0.5 times the recommended distance by the local guides [36,37]. These treatments were assigned to trees randomly, except when logistical constraints or practical considerations arose as obstacles (e.g., underground pipe detected). For all treatments, the tree was pulled toward the trench (using the method described in Section 2.2). For this study, we considered T. cordata to have a low tolerance to root damage and A. platanoides to be moderately tolerant, leading to multiplication factors of 12× DBH and 15× DBH, respectively, for the recommended protection zones. Distances between each tree and the trench can be found in Table S4.
In Experiment 2, a subsample of eleven (six A. platanoides L. and five Tilia cordata Mill.) trees underwent a new trench, 1 m from the tree trunk on the same side as Experiment 1. Static pull tests were repeated with the new trenches. The traction axis remained the same as in Experiment 1. A subset of eight trees (four A. platanoides L. and four Tilia cordata Mill.) from Experiment 2, underwent Experiment 3, where a second trench was created 1 m from the tree and at a 90° angle to Experiment 2′s trench. Similarly, static pull tests were conducted toward both trenches. Finally, in Experiment 4, all trees from Experiment 3 were used to assess the combined impact (simultaneously pulling toward both trenches at 45° and the original direction) of all root trenches from Experiment 3. However, only the four A. platanoides L. underwent further tests to observe the changes in tree stability based on pulling direction (pulling toward the trenches at a 45° angle and pulling away from the trenches at a 225° angle). No new trenches were formed in Experiment 4. In all subsequent experiments, the number of trees is reduced based on logistical and practical considerations, where we tried to limit disturbances to underground infrastructures (e.g., water pipelines, electrical wiring). After each trenching treatment, all roots with a diameter larger than 2 cm were counted, and their diameters were measured.
2.4. Data Processing and Statistical Analysis
Data collected using TreeQinetic MD were analyzed using Arbostat MD version 2.2.0.13 (https://www.arbosafe.com/en/arbostat/software/). This software facilitated the computation of both the moment of force induced by the specified wind conditions and the maximum force tolerance of the tree. These parameters were pivotal in determining the tree’s safety factor for uprooting. Based on the computed moment of force and the maximum force tolerance of the tree, a safety factor was determined. This safety factor was calculated by dividing the tree’s maximum force that it can withstand by the force exerted by the chosen wind, which was set at 81 km/h. This wind speed was chosen to approximate the 50-year return period for mean wind speed in Quebec City [45]. The safety factor categorizes tree safety as follows: ≥1.5 implies safety, as the tree withstands wind forces 1.5 times stronger than predicted; 1.5 to 1 indicates uncertainty, unsure if the tree can tolerate the specified wind; and <1 signifies danger, as the tree cannot withstand predicted winds. Each tree’s safety factor was determined by averaging the three tests with different positions of inclinometers, yielding both pre-treatment and post-treatment averages. The exposure and proximity factors were estimated from known cases presented in the Arbostat MD software.
All statistical analyses were performed using R v. 4.1.1 (R Foundation for Statistical Computing, Vienna, Austria) (https://www.r-project.org/). Linear mixed-effects models were used to analyze pre-treatment (control, before trenching) safety factors as a function of various tree and soil metrics (DBH (cm), height (m), soil type, soil bulk density, tree crown vigour (%), etc., see Table S5), with a random park effect accounting for the nested design of clustered trees sampled within parks (using the R lme4 package) [46]; other factors were considered fixed. The Pearson correlation matrix among the predictors was examined to test for collinearity among the predictors. To select the best model, using the above parameters (Table S5), a global model was fit utilizing the ‘lme’ function through the R ‘nlme’ package allowing for a nested random effect [47,48]. Following this, the “AIC” function in the AICcmodavg package [49] was applied to generate an automated model selection with subsets of the given model minimizing AICc weights.
To link the amount of root damage to tree stability, a number of indices using two size thresholds were calculated. Indices include the number of roots cut, their total cross-sectional area, and the ratio of total cross-sectional area over DBH. The root size thresholds were 2 and 4 cm. The models evaluating the effect of the number and size of roots cut on tree stability were fit utilizing the ‘lmer’ function through the R ‘lmerTest’ package allowing for a nested random effect [50]. They have been analyzed with an ANOVA and an AICc table from the AICcmodavg package. The models used data from all experiments and included one of the indices, the species, and their interaction.
3. Results
3.1. Characteristics of Sample Trees
Fourteen isolated A. platanoides and fourteen T. cordata, distributed across six parks, are included in the study. A. platanoides had a mean DBH of 28 cm (range: 23–34 cm) and a mean height of 10 m (range: 8–13 m). All A. platanoides trees were located in two parks. T. cordata had a mean DBH of 31 cm (range: 29–40 cm) and a mean height of 12 m (range: 10–14 m). All T. cordata were distributed among four parks.
3.2. Variables Influencing Initial Tree Stability
According to the model selection using minimized AICc, the most likely models are models 19 and 20 (Table S6). Both models include species and a variable related to soil texture, clay content (%) for model 20, and sand content (%) for model 19. None of these variables are sufficient to explain the initial safety factor since models with single variables had higher AICc. Figure 5 shows the relationship between the safety factor, species, and clay content (%). The safety factor increases with clay content (%) and A. platanoides tends to show higher values than T. cordata. The correlation between predicted and observed values for model 20 is 0.67.
Figure 5.
Variation of safety factor for uprooting in relation to species and clay content. Data from A. platanoides and T. cordata prior to root trenching in 6 parks of Quebec City.
3.3. Characteristics of Root Systems
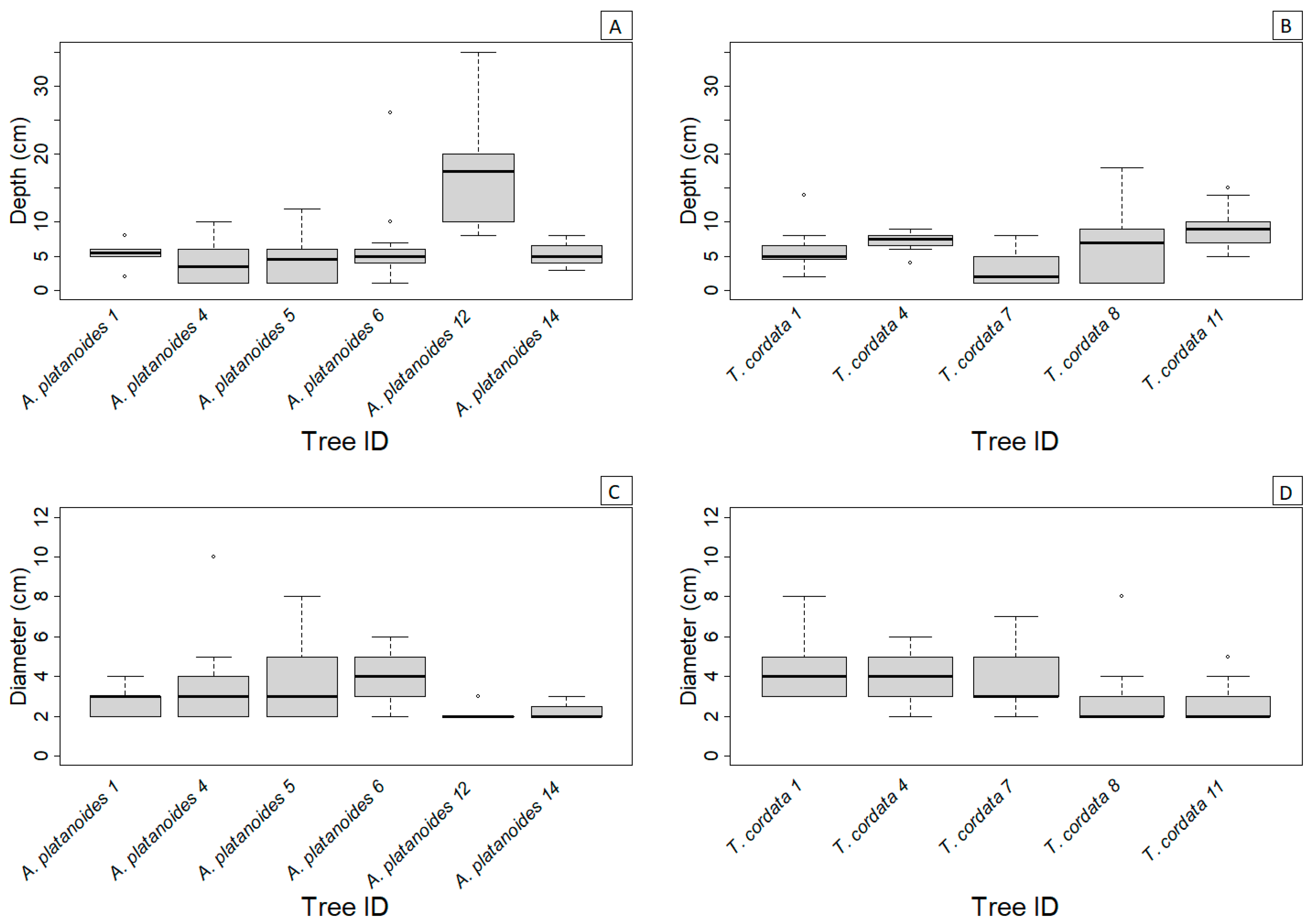
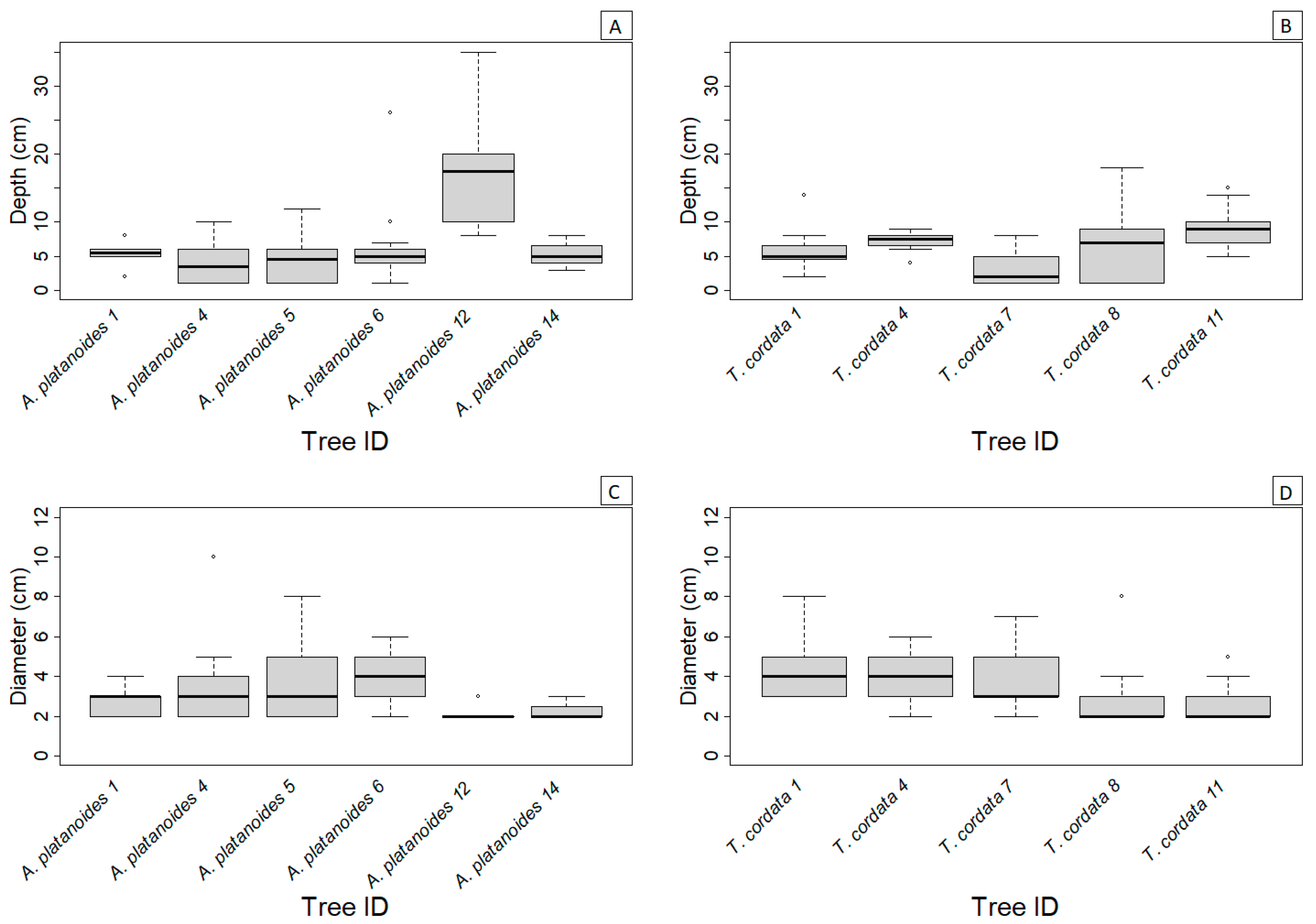
The root systems of both species remained near the surface, with the majority of the roots within 20 cm of the surface at a distance of 1 m from the trunk. The mean rooting depth was approximately 7 cm for A. platanoides and 6 cm for T. cordata (Figure 6). The mean root diameter was also similar between species, with a mean of 3 cm for A. platanoides and 4 cm for T. cordata. The number of roots with a diameter > 2 cm at 1 m from the tree stem was also comparable between species, although the mean number was slightly lower for A. platanoides (12 roots for A. platanoides and 14 for T. cordata), which is likely explained by its smaller size (mean DBH for A. platanoides = 28 cm, mean DBH for T. cordata = 31 cm).
Figure 6.
Root characteristics at 1 m from stem. (A) Depth of roots of A. platanoides. Data from 2 parks in Quebec City. (B) Depth of roots of T. cordata. Data from 3 parks in Quebec City. (C) Diameter of roots of A. platanoides. Data from 2 parks in Quebec City. (D) Diameter of roots of T. cordata. Data from 3 parks in Quebec City. Numbers refer to identification of individual trees.
3.4. Impact of Trenching on Safety Factor
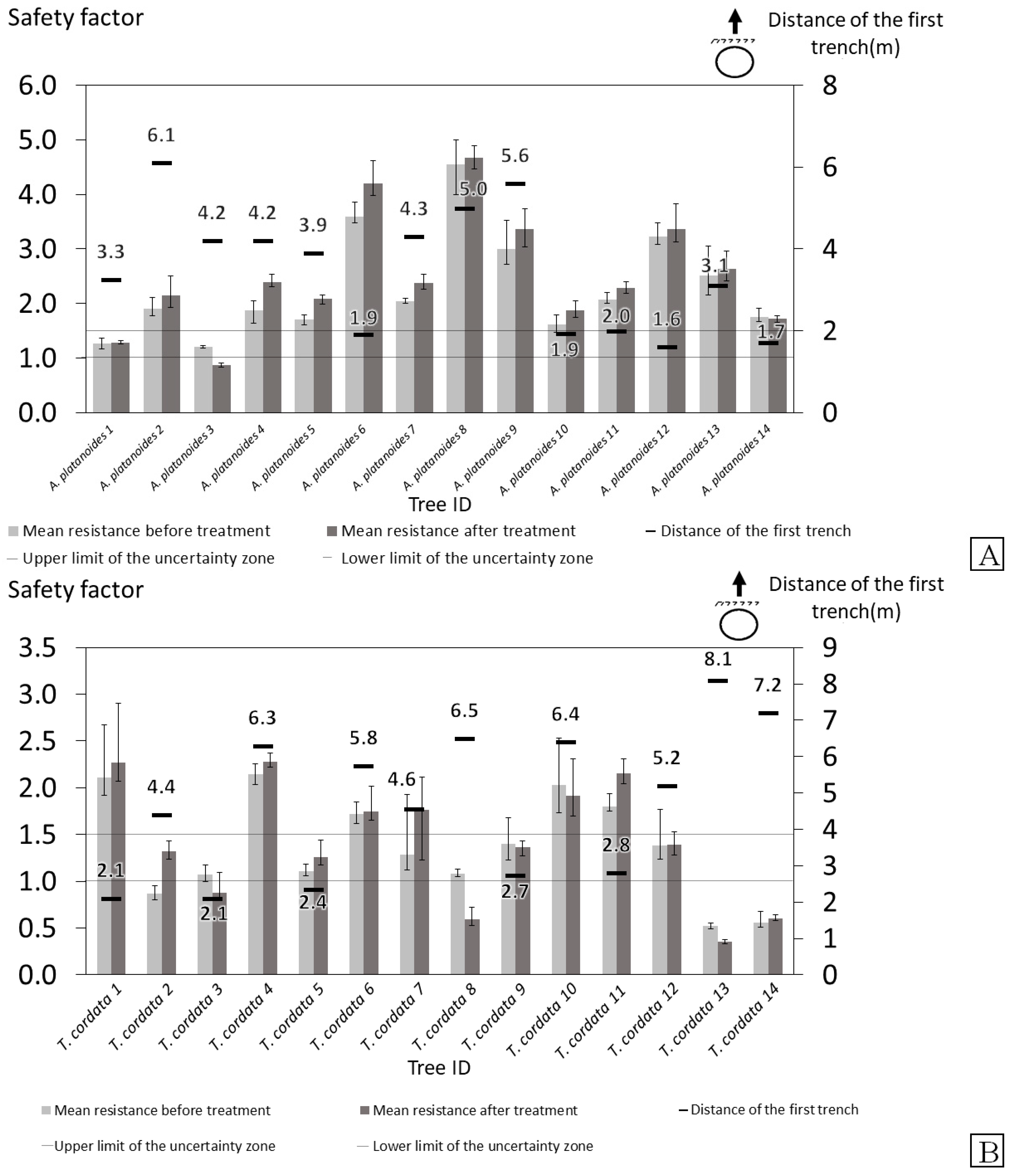
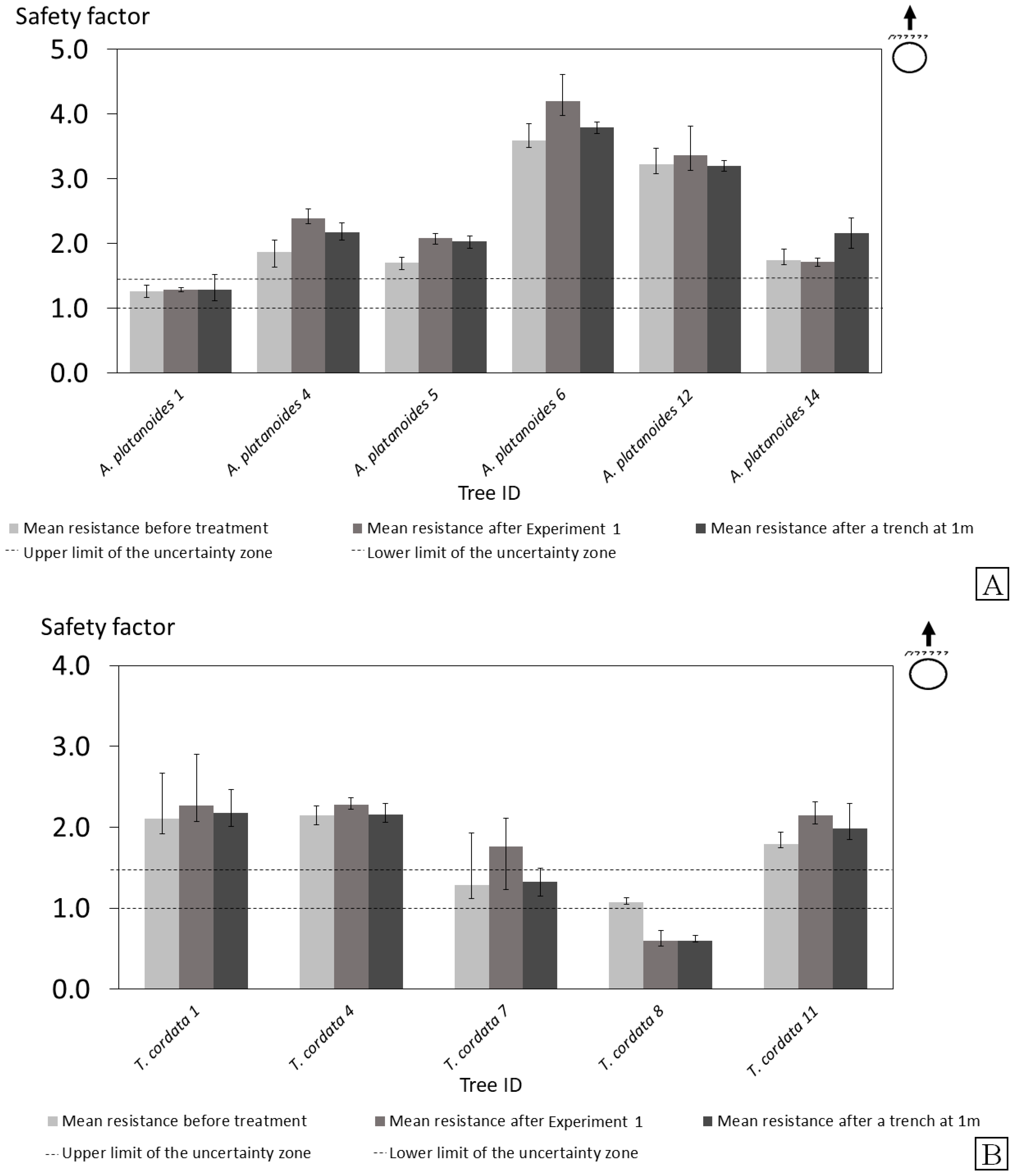
Figure 7 compares the safety factor before and after trenching at various distances linked to existing guidelines [36,37]. Dotted horizontal lines highlight the lower (safety factor = 1) and the higher limit of the uncertainty zone (safety factor = 1.5). Error bars show maximum and minimum values for a given tree. Initial tree stability was quite variable between trees; many trees had safety factors between 1 and 1.5 but most were above 1.5. Only three trees that initially had a safety factor above 1 dropped below 1 after trenching; these trees were only slightly above this threshold before trenching. The reverse effect was observed for one tree.
Figure 7.
Mean safety factors for uprooting of individual trees before and after trenching at range of distances from stem. Error bars represent maximum and minimum safety values for given tree. Distance between trunk and trench is presented for each tree. (A) A. platanoides. Data from 2 parks in Quebec City. (B) T. cordata. Data from 4 parks in Quebec City.
Species had no influence on the treatment effect, and overall, the treatment effect was found to be non-significant (Table 1). However, the species effect was significant, with the mean stability of A. platanoides being higher than that of T. cordata.
Table 1.
ANOVA of species and treatment effects on safety factor. Experiment 1. Treatments: no trench, trench at 0.5, 1, 1.5 times the recommended distances suggested by SIAQ (2019). Based on this guide, A. platanoides was considered moderately tolerant to root damage and T. cordata was considered weakly tolerant. Twenty-eight trees located across 6 parks in Quebec City, Canada. Experiment 2. Treatments: trenching at 1 m from the tree stem. Data extracted from 5 parks in Quebec City, Canada (n = 11). Experiment 3. Treatments: no trench, two perpendicular trenches at 1 m from the tree stem, and pulling in the direction of the first trench. Data extracted from 8 trees distributed in 3 parks across Quebec City, Canada.
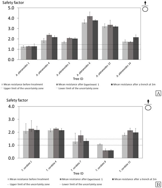
In the second experiment, a trench was dug at 1 m on a subsample (n = 11) of trees from Experiment 1. This treatment induced little change in the safety factor relative to the initial values (Figure 8). All trees remained within the same safety factor class, except one that had already changed after the first experiment. The treatment effect remained non-significant and did not vary by species (Table 1). The species effect is also non-significant.
Figure 8.
Mean safety factors for uprooting of individual trees before and after 2 trenching treatments. Experiment 1: one trench at distance based on guidelines recommendations (BNQ 2019, SIAQ 2019); Experiment 2: trench at 1 m from stem. Error bars represent minimum and maximum values for given test. (A) A. platanoides. Data from 2 parks in Quebec City. (B) T. cordata. Data from 3 parks in Quebec City.
In the third experiment, a second trench perpendicular to the first one was created at 1 m from the tree for a small sample (n = 8) with a trench at 1 m. When trees were pulled in the direction of the first trench, no effect of treatment was detected regardless of species. The species effect was also non-significant (Table 1). Results were similar when trees were pulled in the direction of the second trench. Pulling in diagonal with both trenches identified a treatment effect but this would represent an increase in stability after the creation of the second trench (see Supplementary Material).
The study created a gradient of root damage from none before the experiment to a maximum impact after a combination of two trenches. All models using species and indices of root damage were superior to the null model and equally likely (Table 2). ANOVAs for these models identified a species effect without an effect of the variable describing root damage or its interaction with species (Supplementary Material).
Table 2.
Results from model selection using minimized AICc, comparing models describing the effect of species and indices of root damage on the safety factor. Each model includes species, an index of root damage and their interaction. Data from 28 trees located across 6 parks in Quebec City, Canada.
4. Discussion
To our knowledge, there are few studies on root trenching in urban areas [12,51]. This study can be regarded as one of the pioneering studies in Canada and the first comprehensive study to evaluate perpendicular trenches and their combined effects closer to the tree trunk. The study examines the stability of T. cordata Mill. and A. platanoides L. trees growing in parks before and after a range of root severing treatments. Our findings indicate that the initial stability of these trees exhibited notable variability but was comparatively higher for A. platanoides in contrast to T. cordata. We also found that the array of root damage treatments did not have any impact on tree stability.
Initial stability was influenced by species and soil texture, primarily clay content. Despite similarities in root characteristics, we were unable to explain species differences. It is important to highlight that roots at 1 m away from the trunk were small and superficial. In this study, the initial safety factor increased with clay content. Clay content has been identified by others as an important factor influencing root development [14,17,18,20]. Clays have a higher density, which may hinder root development, and they also have lower porosity, leading to slower drainage, and potentially restricting rooting depth [17]. However, clay content remained under 45%, and this parameter positively affected tree stability rather than limiting it. An important element of resistance to overturning is the soil mass retained within the root–soil plate [16,19]. Given the higher density of clays, clay could help hold a higher mass within the root–soil plate. According to Coutts (1986), soil resistance is the major component of resistance in the early stages of the overturning process [16]. The higher cohesion of clay could then have played a positive role in tree stability.
Variables related to tree size did not exert any influence on the safety factors. This is likely because tree size is already factored into the calculation of the safety factors, and that the trees had not yet reached a size where deterioration would set in. During this phase of development, trees enhance their resistance to uprooting in direct proportion to their stem mass or volume [52,53,54,55,56]. Moreover, tree selection was focused on those without significant defects that might correspond with age-related tree decline. The results could be different for older or larger trees for which allometric relationships may differ. However, destructive pulling studies have found a stable relationship between stem mass and uprooting resistance for a wide range of tree sizes [52].
Urban soils are often compacted, and soil bulk density can shape and influence root development [38,57,58]. However, our study reveals that soil bulk density had no significant effect on tree stability. Our values of soil density (mean = 1.11 g/cm³) are lower than those reported in other studies [59,60,61]. This may have resulted from the fact that our measurements only encompass the upper 20 cm of soil, and it is plausible that densities at lower depths could be higher. Moreover, the soil coring process might have led to some material loss, potentially reducing the precision of this parameter. Variables related to the proximity of obstacles or other trees were not retained in the best models because they did not vary much, as all study trees were located in city parks. Furthermore, some of these variables are already factored into the calculation of the safety factor. Urban soils are also very variable, depending on the infrastructure installed.
Contrary to our expectations, the act of severing roots closer than the recommended protection distances had no short-term impact on tree stability; only a species effect was evident. The absence of interaction between species and treatment slightly contradicts existing guidelines [36,37], which categorize A. platanoides as having average to good tolerance to root cutting, and as average to low tolerance for T. cordata. Despite, no reduction in stability being observed after trenching in the short term, it is worth noting that the initial stability of T. cordata was relatively lower, so if a decrease in stability was to occur, T. cordata would be more likely to move into the instability zone. The potential for variation in susceptibility to root cutting might become more evident at more advanced levels of damage. The species effect diminished and was non-significant in certain tests conducted on a subset of trees, with the small sample size leading to a reduction in the statistical power of these tests.
The absence of an effect of trenching, even after creating two perpendicular trenches at 1 m from the stem, is particularly interesting for species that are generally rated as having only average tolerance. Working with Eugenia grandis Wight, Ghani et al. (2009) reported no stability loss after cutting roots at 0.5 m from the stem for trees of 21 cm DBH [12]. Our findings align with those of Smiley (2008), who indicated a loss of stability when roots were cut at a distance twice the size of the tree’s DBH [34]. In our case, this would correspond to 0.5 m for a 25 cm DBH tree and 0.7 m for a 35 cm DBH tree. The ISA guidelines recommend avoiding trenching within three times the DBH [10]. With an average tree of 29 cm DBH and a trench at 1 m from the trunk, we were still at 3.4 times the DBH and yet we did not see any loss of stability in the short term. The distance recommended by the ISA [10] is much lower than the one suggested by the BNQ (2019) and SIAQ (2019) [36,37]. However, this may change if these studies were conducted over the long term, as underground roots can potentially degrade or decompose over time, affecting tree stability.
Elements of the root system that influence tree stability are the tap root, sinker roots, and the zone of rapid taper [12,14]. In our study, no roots were found below the depth of 35 cm. Hence, digging trenches to a depth of 50 cm proved adequate to effectively assess tree stability. However, deeper trenches may be required for tree species found in soil conditions that would be associated with deeper rooting (e.g., natural areas). Our study lacks information on the presence of a tap root, but it is evident that this tap root would remain unaffected by our trenching treatment. Sinker roots are predominantly more abundant in the zone of rapid taper [12]. Given the small diameter of the roots at 1 m, it is likely that this zone was located closer to the trunk and remained unaltered by our trenching treatments. The small root diameter could be related to planting practices that often involve root severing that favors branching [26]. Root branching close to the trunk has a major impact on their stiffness since it is a function of the diameter raised to the fourth power [14]. The small roots that were damaged in our study hence did not play a critical role in resistance to uprooting.
To be able to better understand the impact of the amount of root damage, a number of linear mixed models using various indices of root damage were tested, using data from all experiments. All the models were equally likely. However, when conducting ANOVAs on these models, only a species effect could be identified, with none of the indices being significant. The results from Smiley (2008) showed that, at the base of the tree, each major root contributed to tree stability, suggesting that the number of damaged roots or of roots larger than a certain size could explain the loss of resistance, but we did not find such an effect [34]. Replacing the number of roots cut by their total cross-sectional area or using a larger size threshold did not lead to better predictions of stability, even though root diameter has a major impact on root stiffness [34]. Using the ratio of the cross-sectional area over DBH was also not helpful, even though this ratio has proven efficient in explaining many physiological responses after root damage [62]. Therefore, the fact that the various trenching treatments had no effect on tree stability and that no root damage index was a significant predictor of tree stability would tend to support the idea that the critical root zone for stability was not affected.
It is important to maintain perspective on the scope of this study, which offers a singular snapshot of the consequences of root damage without delving into the broader implications of other processes. The potential for root growth over time could help replace and replenish the roots lost during trenching, thereby facilitating the recovery of tree stability. However, if decay enters the severed roots, the stability could decrease over time. According to Watson et al. (2014), root decay would not be a major problem after such damage if we adhere to the best practices which recommend clean cuts to reduce the exposed surface for invasive decay organisms [38].
While small roots may not play a central role in resisting uprooting, they remain pivotal for water and nutrient uptake [10,38]. Trenching will reduce the capacity for water uptake without reducing the demand. The tree will have to tap into its reserves to replace the roots that have been lost. This depletion can trigger water-related stress, hindered growth, and even crown dieback [11,13,63]. The impact will likely vary with species, initial tree vigour, and the extent of root loss, potentially extending over several years [10,64]. In extreme cases, tree death can occur.
Several studies involving tree pulling have been conducted encompassing various tree species [31,52,56]. Most of them were destructive tests conducted in natural environments. However, it is important to note that destructive studies cannot be used to decide whether a tree can be kept or would need to be removed, due to a loss of stability. Natural and urban soils are also very different. The findings from natural stands should be approached cautiously when applied to urban environments. Moreover, the distinct growth conditions and competition levels of natural and urban trees lead to very different tree architectures. The method used in this study offers an approach tailored to evaluating the stability of urban trees. This approach considers the disparities between natural and urban settings, thus providing a more suitable method for assessing the stability of urban trees.
Non-destructive studies of overturning resistance often use the rotational stiffness of the root plate as an index [21,34]. The method used here adopts this principle but assumes that the maximum resistance of a tree against uprooting can be predicted by measuring the force required to induce a slight change in the angle of the stem. This approach has been employed by others and yields reliable outcomes [54]. Additionally, it also assumes that the ratio between this force and the tree’s maximum resisting force is not contingent on the species. Based on this premise, the approach applied here adopts a generalized tipping curve [33]. The selected curve does not represent the mean tendency but rather aligns more closely with the tendency of the weakest trees [33]. Consequently, the method would then tend to underestimate the safety factor, remaining on the side of caution regarding the risks to people and infrastructures. This means that we may underestimate the safety factor, but this has no impact on the before/after comparisons, as the same curve is used throughout. The choice of parameters in the software could also have an impact on the safety factor, without influencing the before/after comparisons. In this study, we used the safety factor rather than the critical turning moment the tree can resist to characterize tree stability. Given that the safety factor is the ratio of the critical turning moment to the applied moment and that the latter is kept constant for a given tree, both approaches would lead to the same conclusions regarding the effect of trenching. However, we believe the safety factor is more informative to arboriculturists.
When a tree experiences wind-induced pressure or is subjected to pulling tests, one side of the root plate acts in tension, while the other faces compression. Root behaviour in both states is different, thus indicating the direction of the pulling force could have an impact. Prior studies have involved pulling trees away from trenches (e.g., Smiley, 2008) [34]. In our study, although it was more convenient to pull towards the trench, we still deemed it crucial to confirm the consequences of this choice. Within a subset of trees, we tested various pulling directions and observed no effects on the direction of pull. This assures us about the validity of our findings. However, it would be interesting to carry out the same comparison for trenches closer to the trunk that would be more likely to lead to reductions in stability.
Similar to other methods, the one used here has some imprecisions. The tests were conducted on separate days, which led to the removal and subsequent reinstallation of sensors. Despite taking all necessary precautions to reinstate them in our original positions and to maintain consistent pulling directions, some inevitable variations arose. The water content of the soil could also differ between tests. For some trees, the safety factor increased after the first trench or decreased after the first trench but came back to the initial value after digging a second trench, reflecting some variability in the method. Some root damage could occur during tree pulling and could influence subsequent results. Bartens et al. (2010) considered that pulling up to an angle of 2° did not lead to significant root damage [21]. However, Jonsson et al. (2006) observed that the rotational stiffness of the root–soil plate decreased when trees were tested a second time, suggesting that the method was not completely non-destructive [65]. However, the rotation at the stem base in their study reached 2.5°, whereas we stopped at 0.25°. Moreover, our study revealed no decline in the safety factor even after subjecting trees to multiple winching tests and trenching treatments, suggesting that the method can be reasonably deemed non-destructive.
5. Conclusions
Our study has shown that trenches dug closer to the trunk than recommended tree protection zones did not influence the stability of two abundant tree species. Even though the stability of T. cordata was lower than that of A. platanoides, both species were not affected by the most severe trenching treatments. The absence of a trenching effect and the fact that no index of root damage was significant suggests that the critical zone for uprooting resistance occurs close to the trunk where larger roots would be found. These conclusions apply to the species and soil conditions tested and the superficial root systems associated. Large roots have a significant impact on tree stability but small roots such as those impacted here play an important role in terms of water and nutrient uptake. Their loss could have a longer-term impact that should also be considered in defining tree protection zones.
Supplementary Materials
The following supporting information can be downloaded at: https://www.mdpi.com/article/10.3390/f15061041/s1, Table S1: Anova of the effect of species and various indices of root damage on tree stability. NbrRoot: number of roots cut; SurfRoot: cross sectional area of cut roots; Ratio: cross sectional area of cut roots/DBH; NbrRoot4cm: number of roots larger than 4 cm; SurfRoot4cm: cross sectional area of cut roots larger than 4 cm; Ratio4cm: ratio of cut roots larger than 4 cm/DBH. Table S2: Effect of pulling away from two trenches dug at 1m from the stem. Table S3: Experiments carried out on each tree. Table S4: Description of the trenches. Table S5: Variables included in models predicting tree resistance to uprooting before trenching. Description of variables are as follows: center of thrust: height (m) at which the wind pressure is applied; Exposure and proximity: variables in Arbostats describing the level of local wind exposure; Crown vigour: crown density (%); Rootlim: presence of elements restraining rooting; Clay: soil clay content (%); Sand: soil sand content (%), and Silt: soil silt content (%).Table S6: Results from model selection using minimized AICc, comparing models explaining the safety factor before root trenching in 6 parks across Quebec City, Canada; Figure S1: Pulling test in opposite direction of the two trenches.
Author Contributions
Conceptualization, C.P., S.S. and J.-C.R.; Methodology, C.P., S.S. and J.-C.R.; Software, C.P.; Validation, C.P. and S.S.; Formal analysis, C.P. and S.S.; Investigation, C.P.; Resources, S.S. and J.-C.R.; Data curation, C.P.; Writing—original draft, C.P., S.S. and J.-C.R.; Writing—review & editing, C.P., S.S. and J.-C.R.; Visualization, C.P.; Supervision, S.S. and J.-C.R.; Project administration, C.P. and J.-C.R.; Funding acquisition, S.S. and J.-C.R. All authors have read and agreed to the published version of the manuscript.
Funding
The authors gratefully acknowledge the funding from the Research Chair of Urban Trees and their Environment, in partnership with the City of Québec.
Data Availability Statement
The original contributions presented in the study are included in the article/Supplementary Material, further inquiries can be directed to the corresponding author.
Acknowledgments
The authors would like to acknowledge the support received from staff from the Division of Urban Forestry and Horticulture and the Division of Sustainable Development in the City of Québec. Thanks to Patrick Leclerc for technical support, and the many volunteers who helped collect data in the field: Anthony Coulon, Juliette Lafortune, and Charles Villeneuve. We also want to acknowledge helpful comments from Andres Detter, Philip van Wassenaer, and Alexis Achim.
Conflicts of Interest
The authors declare no conflict of interest.
References
- Ziter, C.D.; Pedersen, E.J.; Kucharik, C.J.; Turner, M.G. Scale-dependent interactions between tree canopy cover and impervious surfaces reduce daytime urban heat during summer. Proc. Natl. Acad. Sci. USA 2019, 116, 7575–7580. [Google Scholar] [CrossRef] [PubMed]
- Sivarajah, S.; Smith, S.M.; Thomas, S.C. Tree cover and species composition effects on academic performance of primary school students. PLoS ONE 2018, 13, e0193254. [Google Scholar] [CrossRef] [PubMed]
- Nowak, D.J.; Crane, D.E.; Stevens, J.C. Air pollution removal by urban trees and shrubs in the United States. Urban For. Urban Green. 2006, 4, 115–123. [Google Scholar] [CrossRef]
- Chen, W.Y.; Jim, C.Y. Assessment and Valuation of the Ecosystem Services Provided by Urban Forests. In Ecology, Planning, and Management of Urban Forests; Carreiro, M.M., Song, Y.-C., Wu, J., Eds.; Springer: New York, NY, USA, 2008; pp. 53–83. [Google Scholar]
- Anderson, L.M.; Cordell, H.K. Residential property values improved by landscaping with trees. South. J. Appl. For. 1985, 9, 162–166. [Google Scholar] [CrossRef]
- Sivarajah, S.; Thomas, S.C.; Smith, S.M. Evaluating the ultraviolet protection factors of urban broadleaf and conifer trees in public spaces. Urban For. Urban Green. 2020, 51, 126679. [Google Scholar] [CrossRef]
- Koeser, A.; Hauer, R.; Norris, K.; Krouse, R. Factors influencing long-term street tree survival in Milwaukee, WI, USA. Urban For. Urban Green. 2013, 12, 562–568. [Google Scholar] [CrossRef]
- Hauer, J.H.; Hruska, C.; Dawson, J.O. Trees and Ice Storms: The Development of Ice Storm-Resistant Urban Populations; University of Illinois: Champaign, IL, USA, 1994; 12p. [Google Scholar]
- Dean, J. Said tree is a veritable nuisance: Ottawa’s Street Trees 1869–1939. Urban Hist. Rev. 2005, 34, 46–57. [Google Scholar] [CrossRef]
- Costello, L.; Watson, G.W.; Smiley, E.T. Root Management; International Society of Arboriculture: Atlanta, GA, USA, 2017. [Google Scholar]
- Ferree, D.C. Time of Root Pruning Influences Vegetative Growth, Fruit Size, Biennial Bearing, and Yield of ‘Jonathan’ Apple. J. Am. Soc. Hortic. Sci. 1992, 117, 198–202. [Google Scholar] [CrossRef]
- Ghani, M.A.; Stokes, A.; Fourcaud, T. The effect of root architecture and root loss through trenching on the anchorage of tropical urban trees (Eugenia grandis Wight). Trees 2009, 23, 197–209. [Google Scholar] [CrossRef]
- Birot, Y.; Gracia, C.; Matteucci, G.; Mavsar, R.; Muys, B.; Palahi, M. Water for forests and people in the Mediterranean region. For. Mediterr. 2011, 32, 363–366. [Google Scholar]
- Coutts, M.P. Root architecture and tree stability. In Tree Root Systems and Their Mycorrhizas; Springer: Dordrecht, The Netherlands, 1983; pp. 171–188. [Google Scholar]
- Brudi, E.; van Wassenaer, P. Trees and Statics: Non-Destructive Failure Analysis. In Tree Structure and Mechanics Conference Proceedings: How Trees Stand Up and Fall Down; ISA: Atlanta, GA, USA, 2002. [Google Scholar]
- Coutts, M.P. Components of Tree Stability in Sitka Spruce on Peaty Gley Soil. Forestry 1986, 59, 173–197. [Google Scholar] [CrossRef]
- Coutts, M.P. Developmental processes in tree root systems. Can. J. For. Res. 1987, 17, 761–767. [Google Scholar] [CrossRef]
- Dahle, G.A.; James, K.R.; Kane, B.; Grabosky, J.C.; Detter, A. A Review of Factors That Affect the Static Load-Bearing Capacity of Urban Trees. Arboric. Urban For. 2017, 43, 89–106. [Google Scholar] [CrossRef]
- Danjon, F.; Fourcaud, T.; Bert, D. Root architecture and wind-firmness of mature Pinus pinaster. New Phytol. 2005, 168, 387–400. [Google Scholar] [CrossRef] [PubMed]
- Fourcaud, T.; Ji, J.-N.; Zhang, Z.-Q.; Stokes, A. Understanding the Impact of Root Morphology on Overturning Mechanisms: A Modelling Approach. Ann. Bot. 2007, 101, 1267–1280. [Google Scholar] [CrossRef] [PubMed]
- Bartens, J.; Wiseman, P.E.; Smiley, E.T. Stability of landscape trees in engineered and conventional urban soil mixes. Urban For. Urban Green. 2010, 9, 333–338. [Google Scholar] [CrossRef]
- Élie, J.-G.; Ruel, J.-C. Windthrow hazard modelling in boreal forests of black spruce and jack pine. Can. J. For. Res. 2005, 35, 2655–2663. [Google Scholar] [CrossRef]
- Craul, P.J. Urban Soil in Landscape Design; John Wiley & Sons: Hoboken, NJ, USA, 1992. [Google Scholar]
- Pickett, S.T.; Cadenasso, M.L. Altered resources, disturbance, and heterogeneity: A framework for comparing urban and non-urban soils. Urban Ecosyst. 2009, 12, 23–44. [Google Scholar] [CrossRef]
- Suchocka, M.; Jankowski, P.; Błaszczyk, M. Tree protection on construction sites—Knowledge and perception of Polish professionals. Urban For. Urban Green. 2019, 46, 126436. [Google Scholar] [CrossRef]
- Watson, G.W.; Hewitt, A.M.; Custic, M.; Lo, M. The management of tree root systems in urban and suburban settings II: A review of strategies to mitigate human impacts. Arboric. Urban For. 2014, 40, 249–271. [Google Scholar] [CrossRef]
- Klein, R.; Koeser, A.; Hauer, R.; Hansen, G.; Escobedo, F. Risk Assessment and Risk Perception of Trees: A Review of Literature Relating to Arboriculture and Urban Forestry. Arboric. Urban For. 2019, 45, 26–38. [Google Scholar] [CrossRef]
- Lopes, A.; Oliveira, S.; Fragoso, M.; Andrade, J.A.; Pedro, P. Wind Risk Assessment in Urban Environments: The Case of Falling Trees During Windstorm Events in Lisbon. In Bioclimatology and Natural Hazards; Střelcová, K., Mátyás, C., Kleidon, A., Lapin, M., Matejka, F., Blaženec, M., Škvarenina, J., Holécy, J., Eds.; Springer: Dordrecht, The Netherlands, 2009; pp. 55–74. [Google Scholar]
- Matheny, N.P.; Clark, J.R. A Photographic Guide to the Evaluation of Hazard Trees in Urban Areas; International Society of Arboriculture: Savoy, IL, USA, 1994. [Google Scholar]
- Fraser, A.I. The soil and the roots as factors in tree stability. Forestry 1962, 35, 117–127. [Google Scholar] [CrossRef]
- Nicoll, B.C.; Gardiner, B.A.; Rayner, B.; Peace, A.J. Anchorage of coniferous trees in relation to species, soil type and rooting depth. Can. J. For. Res. 2006, 36, 1871–1883. [Google Scholar] [CrossRef]
- Gardiner, B.; Byrne, K.; Hale, S.; Kamimura, K.; Mitchell, S.J.; Peltola, H.; Ruel, J.-C. A review of mechanistic modelling of wind damage risk to forests. Forestry 2008, 81, 447–463. [Google Scholar] [CrossRef]
- Sani, L.; Lisci, R.; Moschi, M.; Sarri, D.; Rimediotti, M.; Vieri, M.; Tofanelli, S. Preliminary experiments and verification of controlled pulling tests for tree stability assessments in Mediterranean urban areas. Biosyst. Eng. 2012, 112, 218–226. [Google Scholar] [CrossRef]
- Smiley, E.T. Root Pruning and Stability of Young Willow Oak. International Society of Arboriculture. Arboric. Urban For. 2008, 34, 123–128. [Google Scholar] [CrossRef]
- Ulmer, J.M.; Wolf, K.L.; Backman, D.R.; Tretheway, R.L.; Blain, C.J.; O’Neil-Dunne, J.P.; Frank, L.D. Multiple health benefits of urban tree canopy: The mounting evidence for a green prescription. Health Place 2016, 42, 54–62. [Google Scholar] [CrossRef]
- BNQ. Aménagement Paysager à l’Aide de Végétaux; Bureau de normalisation du Québec: Québec, QC, Canada, 2019; ISBN 978-2-551-26446-9. [Google Scholar]
- SIAQ. Meilleures Pratiques de Gestion—Gestion des Arbres Lors de Travaux de Construction; Société Internationale d’Arboriculture Québec: Québec, QC, Canada, 2019. [Google Scholar]
- Watson, G. Root Growth Response to Fertilizers. Arboric. Urban For. 1994, 20, 4–8. [Google Scholar] [CrossRef]
- Allison, R.B.; Wang, X.; Senalik, C.A. Methods for nondestructive testing of urban trees. Forests 2020, 11, 1341. [Google Scholar] [CrossRef]
- Ville de Québec. 2012. Available online: https://www.donneesquebec.ca/recherche/dataset/vque_26 (accessed on 1 June 2021).
- Centre d’Expertise en Analyse Environnementale du Québec. Détermination de la Granulométrie dans les sols Agricoles et les Sédiments: Méthode Bouyoucos, MA. 205—GRA 1.0; Ministère de l’Environnement du Québec: Québec, QC, Canada, 2003; 16p.
- Ruel, J.-C.; Achim, A.; Espinoza Herrara, R.; Cloutier, A. Relating mechanical strength at the stem level to values obtained from defect-free wood samples. Trees 2010, 24, 1127–1135. [Google Scholar] [CrossRef]
- Silva, G.; Ruel, J.C.; Samson, M.; Pin, D. Influence de quelques defauts externes sur la stabilite des arbres face a une simulation mecanique de l’action du vent. Can. J. For. Res. 1998, 28, 123–131. [Google Scholar] [CrossRef]
- Wessolly, L.; Erb, M. Handbuch der Baumstatik und Baumkontrolle; Patzer Verlag: Berlin, Germany, 1998. [Google Scholar]
- Tang, Q. Estimation of Wind Hazard over Canada and Reliability-Based Assignment of Design Wind Load. Ph.D. Dissertation, The University of Western Ontario, London, ON, Canada, 2016. [Google Scholar]
- Bates, D.; Mächler, M.; Bolker, B.; Walker, S. Fitting Linear Mixed-Effects Models Using lme4. J. Stat. Soft. 2015, 67, 1–48. [Google Scholar] [CrossRef]
- Pinheiro, J.C.; Bates, D.M. Mixed-Effects Models in S and S-PLUS; Springer: New York, NY, USA, 2000. [Google Scholar]
- Pinheiro, J.; Bates, D.; R Core Team. nlme: Linear and Nonlinear Mixed Effects Models. R Package Version 3.1-152. 2021. Available online: https://CRAN.R-project.org/package=nlme (accessed on 21 September 2021).
- Mazerolle, M.J. AICcmodavg: Model Selection and Multimodel Inference Based on (Q)AIC(c). R Package Version 2.3-1. 2020. Available online: https://cran.r-project.org/package=AICcmodavg (accessed on 21 September 2021).
- Kuznetsova, A.; Brockhoff, P.B.; Christensen, R.H.B. lmerTest Package: Tests in Linear Mixed Effects Models. J. Stat. Soft. 2017, 82, 1–26. [Google Scholar] [CrossRef]
- Fini, A.; Frangi, P.; Mori, J.; Sani, L.; Vigevani, I.; Ferrini, F. Evaluating the effects of trenching on growth, physiology and uprooting resistance of two urban tree species over 51-months. Urban For. Urban Green. 2020, 53, 126734. [Google Scholar] [CrossRef]
- Achim, A.; Ruel, J.-C.; Gardiner, B.A.; Laflamme, G.; Meunier, S. Modelling the vulnerability of balsam fir forests to wind damage. For. Ecol. Manag. 2005, 204, 37–52. [Google Scholar] [CrossRef]
- Cannon, J.B.; Barrett, M.E.; Peterson, C.J. The effect of species, size, failure mode, and fire-scarring on tree stability. For. Ecol. Manag. 2015, 356, 196–203. [Google Scholar] [CrossRef]
- Detter, A.; Rust, S.; Krišāns, O. Experimental Test of Non-Destructive Methods to Assess the Anchorage of Trees. Forests 2023, 14, 533. [Google Scholar] [CrossRef]
- Lundström, T.; Jonas, T.; Stockli, V.; Ammann, W. Anchorage of mature conifers: Resistive turning moment, root-soil plate geometry and root growth orientation. Tree Physiol. 2007, 27, 1217–1227. [Google Scholar] [CrossRef]
- Peltola, H.; Kellomäki, S.; Hassinen, A.; Granander, M. Mechanical stability of Scots pine, Norway spruce and birch: An analysis of tree-pulling experiments in Finland. For. Ecol. Manag. 2000, 135, 143–153. [Google Scholar] [CrossRef]
- Coutts, M.P.; Philipson, J.J. The Influence of Mineral Nutrition on the Root Development of Trees: I. The growth of sitka spruce with divided root systems. J. Exp. Bot. 1976, 27, 1102–1111. [Google Scholar] [CrossRef]
- Mickovski, S.B. Anchorage Mechanics of Different Types of Root Systems. Ecology, Environment; University of Manchester: Manchester, UK, 2002. [Google Scholar]
- Rivenshield, A.; Bassuk, N. Using Organic Amendments to Decrease Bulk Density and Increase Macroporosity in Compacted Soils. Arboric. Urban For. 2007, 33, 140–146. [Google Scholar] [CrossRef]
- Scharenbroch, B.C.; Lloyd, J.E.; Johnson-Maynard, J.L. Distinguishing urban soils with physical, chemical, and biological properties. Pedobiologia 2005, 49, 283–296. [Google Scholar] [CrossRef]
- Yang, J.-L.; Zhang, G.-L. Formation, characteristics and eco-environmental implications of urban soils—A review. Soil Sci. Plant Nutr. 2015, 61, 30–46. [Google Scholar] [CrossRef]
- Benson, A.R.; Morgenroth, J.; Koeser, A.K. The effects of root pruning on growth and physiology of two Acer species in New Zealand. Urban For. Urban Green. 2019, 38, 64–73. [Google Scholar] [CrossRef]
- Aussenac, G. La sécheresse de 1976: Influence des déficits hydriques sur la croissance des arbres forestiers. Rev. For. Française 1978, 30, 103–114. [Google Scholar] [CrossRef]
- Vitali, V.; Ramirez, J.A.; Perrette, G.; Delagrange, S.; Paquette, A.; Messier, C. Complex Above- and Below-Ground Growth Responses of Two Urban Tree Species Following Root, Stem, and Foliage Damage—An Experimental Approach. Front. Plant Sci. 2019, 10, 1100. [Google Scholar] [CrossRef]
- Jonsson, M.J.; Foetzki, A.; Kalberer, M.; Lundström, T.; Ammann, W.; Stöckli, V. Root-soil rotation stiffness of Norway spruce (Picea abies (L.) Karst) growing on subalpine forested slopes. Plant Soil 2006, 285, 267–277. [Google Scholar]
Disclaimer/Publisher’s Note: The statements, opinions and data contained in all publications are solely those of the individual author(s) and contributor(s) and not of MDPI and/or the editor(s). MDPI and/or the editor(s) disclaim responsibility for any injury to people or property resulting from any ideas, methods, instructions or products referred to in the content. |
© 2024 by the authors. Licensee MDPI, Basel, Switzerland. This article is an open access article distributed under the terms and conditions of the Creative Commons Attribution (CC BY) license (https://creativecommons.org/licenses/by/4.0/).







