The Effects of Long-Term Precipitation Exclusion on Leaf Photosynthetic Traits, Stomatal Conductance, and Water Use Efficiency in Phyllostachys edulis
Abstract
1. Introduction
2. Materials and Methods
2.1. Study Site
2.2. Method
2.2.1. Experimental Materials and Sample Site Setup
2.2.2. Design of Precipitation Exclusion Experiments
2.2.3. Determination of Soil Moisture Content
2.2.4. Photosynthesis and Changes in Light Response Parameters
2.2.5. Data Analysis
3. Results
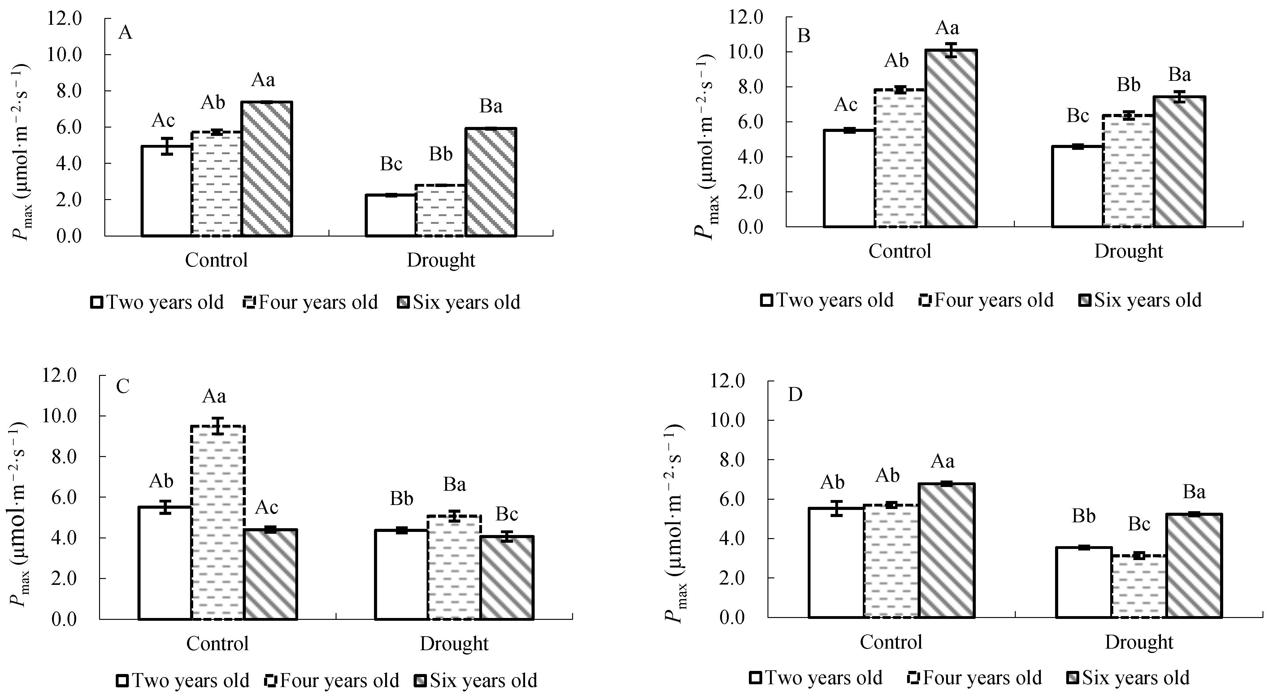
3.1. Effects of Drought Stress on Photosynthetic Properties of P. edulis at Different Ages
3.2. Effect of Drought Stress on the Stomatal Conductance of P. edulis
3.3. Effect of Drought Stress on the Water Use Efficiency of P. edulis
3.4. Relationship between Vapor Pressure Deficit, Stomatal Conductance, and Water Use Efficiency
4. Discussion
4.1. Responses of P. edulis Photosynthetic Parameters to Drought Stress
4.2. Stomatal Conductance and Water Use Efficiency’s Response to Light under Drought Stress
5. Conclusions
Author Contributions
Funding
Data Availability Statement
Acknowledgments
Conflicts of Interest
References
- Jaume, F.; Josefina, B.; Jeroni, G.; Hipolito, M.; Miquel, R.C. Keeping a positive carbon balance under adverse conditions: Responses of photosynthesis and respiration to water stress. Physiol. Plant. 2006, 127, 343–352. [Google Scholar] [CrossRef]
- Bolte, A.; Czajkowski, T.; Cocozza, C.; Tognetti, R.; de Miguel, M.; Pšidová, E.; Ditmarová, Ĺ.; Dinca, L.; Delzon, S.; Cochard, H.; et al. Desiccation and mortality dynamics in seedlings of different european beech (Fagus sylvatica L.) populations under extreme drought conditions. Front. Plant Sci. 2016, 7, 751. [Google Scholar] [CrossRef] [PubMed]
- Brodribb, T.J.; Holbrook, N.M.; Edwards, E.J.; Gutierrez, M.V. Relations between stomatal closure, leaf turgor and xylem vulnerability in eight tropical dry forest trees. Plant Cell Environ. 2003, 26, 443–450. [Google Scholar] [CrossRef]
- Theroux Rancourt, G.; Ethier, G.; Pepin, S. Greater efficiency of water use in poplar clones having a delayed response of mesophyll conductance to drought. Tree Physiol. 2015, 35, 172–184. [Google Scholar] [CrossRef]
- McDowell, N.; Pockman, W.T.; Allen, C.D.; Breshears, D.D.; Cobb, N.; Kolb, T.; Plaut, J.; Sperry, J.; West, A.; Williams, D.G.; et al. Mechanisms of plant survival and mortality during drought: Why do some plants survive while others succumb to drought? New Phytol. 2008, 178, 719–739. [Google Scholar] [CrossRef]
- Keenan, T.F.; Hollinger, D.Y.; Bohrer, G.; Dragoni, D.; William, J.; Schmid, H.P.; Richardson, A.D. Increase in forest water-use efficiency as atmospheric carbon dioxide concentrations rise. Nature 2013, 499, 324–327. [Google Scholar] [CrossRef]
- Song, X.; Zhou, G.; Xu, Z.; Lv, X.; Wang, Y. A self-photoprotection mechanism helps Stipa baicalensis adapt to future climate change. Sci. Rep. 2016, 6, 25839. [Google Scholar] [CrossRef]
- Li, Y.L.; Liu, X.G.; Hao, K.; Yang, Q.L.; Yang, X.Q.; Zhang, W.H.; Cong, Y. Light-response curve of photosynthesis and model fitting in leavesof Mangifera indica under different soil water conditions. Photosynthetica 2019, 57, 796–803. [Google Scholar] [CrossRef]
- Song, X.L.; Yue, X.; Chen, W.F.; Jiang, H.X.; Han, Y.Y.; Li, X. Detection of Cadmium Risk to the Photosynthetic Performance of Hybrid Pennisetum. Front. Plant Sci. 2019, 10, 461577. [Google Scholar] [CrossRef]
- Medlyn, B.E.; De Kauwe, M.G.; Lin, Y.S.; Knauer, J.; Duursma, R.A.; Williams, C.A.; Arneth, A.; Clement, R.; Isaac, P.; Limousin, J.M.; et al. How do leaf and ecosystem measures of water-use efficiency compare? New Phytol. 2017, 216, 758–770. [Google Scholar] [CrossRef]
- Adams, M.A.; Buckley, T.N.; Turnbull, T.L. Diminishing CO2-driven gains in water-use efficiency of global forests. Nat. Clim. Change 2020, 10, 466–471. [Google Scholar] [CrossRef]
- Davidson, K.J.; Lamour, J.; Rogers, A.; Ely, K.S.; Li, Q.Y.; McDowell, N.G.; Pivovaroff, A.L.; Wolfe, B.T.; Joseph Wright, S.; Zambrano, A.; et al. Short-term variation in leaf-level water use efficiency in a tropical forest. New Phytol. 2023, 237, 2069–2087. [Google Scholar] [CrossRef]
- Klein, T.; Shpringer, I.; Fikler, B.; Elbaz, G.; Cohen, S.; Yakir, D. Relationships between stomatal regulation, water-use, and water-use efficiency of two coexisting key Mediterranean tree species. For. Ecol. Manag. 2013, 302, 34–42. [Google Scholar] [CrossRef]
- Wang, X.; Chen, G.; Wu, M.Q.; Li, X.Z.; Wu, Q.; Wang, P.; Zeng, H.; Yang, R.; Tang, X.L. Differences in the patterns and mechanisms of leaf and ecosystem-scale water use efficiencies on the Qinghai-Tibet Plateau. Catena 2022, 222, 106874. [Google Scholar] [CrossRef]
- Dewar, R.C.; Medlyn, B.E.; Mcmutrie, R.E. Acclimation of the respiration and photosynthesis ratio to temperature: Insights from a model. Glob. Change Biol. 1999, 5, 615–622. [Google Scholar] [CrossRef]
- Jarvis, A.J.; Mansfield, T.A.; Davies, W.J. Stomatal behavior, photosynthesis and transpiration under rising CO2. Plant Cell Environ. 1999, 22, 639–648. [Google Scholar] [CrossRef]
- Mandal, K.J.; Sinha, A.C. Nutrient management effects on light interception, photosynthesis, growth, dry-matter production and yield of Indian mustard (Brassica juncea). J. Agron. Crop Sci. 2004, 190, 119–129. [Google Scholar] [CrossRef]
- Sensuła, B.; Wilczyński, S. Dynamics changes in basal area increment, carbon isotopes composition and water use efficiency in pine as response to water and heat stress in Silesia, Poland. Plants 2022, 11, 3569. [Google Scholar] [CrossRef]
- Sensuła, B.; Pazdur, A. Stable carbon isotopes of glucose received from pine tree-rings as bioindicators of local industrial emission of CO2 in Niepołomice Forest (1950–2000). Isot. Environ. Health Stud. 2013, 49, 532–541. [Google Scholar] [CrossRef]
- Sensuła, B.M. Spatial and short-temporal variability of δ13C and δ15N and water-use efficiency in pine needles of the three forests along the most industrialized part of Poland. Water Air Soil Pollut. 2015, 226, 1–13. [Google Scholar] [CrossRef]
- Sensuła, B.; Wilczynski, S.; Opała, M. Tree growth and climate relationship: Dynamics of Scots pine (Pinus sylvestris L.) growing in the near-source region of the combined heat and power plant during the development of the proecological strategy in Poland. Water Air Soil Pollut. 2015, 226, 1–17. [Google Scholar] [CrossRef] [PubMed]
- Sensuła, B.M. δ13C and water use efficiency in the glucose of annual pine tree rings as ecological indicators of the forests in the most industrialized part of Poland. Water Air Soil Pollut. 2016, 227, 1–13. [Google Scholar] [CrossRef] [PubMed]
- Tarin, T.; Nolan, R.H.; Medlyn, B.E.; Cleverly, J.; Eamus, D. Water-use efficiency in a semi-arid woodland with high rainfall variability. Glob. Change Biol. 2020, 26, 496–508. [Google Scholar] [CrossRef] [PubMed]
- Song, X.Z.; Zhou, G.M.; Jang, H.; Yu, S.Q.; Fu, J.H.; Li, W.Z.; Wang, W.F.; Ma, Z.H.; Peng, C. Carbon sequestration by Chinese bamboo forests and their ecological benefits: Assessment of potential, problems, and future challenges. Environ. Rev. 2011, 19, 418–428. [Google Scholar] [CrossRef]
- Wang, B.; Wei, W.J.; Liu, C.J.; You, W.Z.; Niu, X.; Man, R.Z. Biomass and carbon stock in Moso bamboo forests in subtropical China: Characteristics and implications. J. Trop. For. Sci. 2013, 25, 137–148. [Google Scholar]
- Chen, L.; Liu, Y.L.; Zhou, G.M.; Mao, F.J.; Du, H.Q.; Xu, X.J.; Li, P.H.; Li, X.J. Diurnal and seasonal variations in carbon fluxes in bamboo forests during the growing season in Zhejiang province, China. J. For. Res. 2019, 30, 657–668. [Google Scholar] [CrossRef]
- Wang, X.; Keplinger, T.; Gierlinger, N.; Ingo, B. Plant material features responsible for bamboo’s excellent mechanical performance: Acomparison of tensile properties of bamboo and spruce at the tissue, fibre and cell wall levels. Ann. Bot. 2014, 114, 1627–1635. [Google Scholar] [CrossRef]
- Lian, C.P.; Yuan, J.; Luo, J.J.; Zhang, S.Q.; Liu, R.; Chen, H.; Wang, X.H.; Cao, M.X.; Wu, Z.H.; Fei, B.H. Microfibril orientation of the secondary cell wall in parenchyma cells of Phyllostachys edulis culms. Cellulose 2022, 29, 3153–3161. [Google Scholar] [CrossRef]
- d’Oliveira, M.V.; Guarino ED, S.; Oliveira, L.C.; Ribas, L.A.; Acuña, M.H. Can forest management be sustainable in a bamboo dominated forest? A 12-year study of forest dynamics in western Amazon. For. Ecol. Manag. 2013, 310, 672–679. [Google Scholar] [CrossRef]
- Wu, X.P.; Liu, S.R.; Luan, J.W.; Wang, Y.; Gao, X.M.; Chen, C. Nitrogen addition alleviates drought effects on water status and growth of Moso bamboo (Phllostachys edulis). For. Ecol. Manag. 2023, 530, 120768. [Google Scholar] [CrossRef]
- Wen, G.S.; Zhang, L.Y.; Zhang, R.M.; Cao, Z.H.; Zhou, G.M.; Huang, H.; Wong, M.H. Temporal and spatial dynamics of carbon fixation by Moso bamboo (Phyllostachys pubescens) in subtropical China. Bot. Rev. 2011, 77, 271–277. [Google Scholar] [CrossRef] [PubMed]
- Lin, Q. Medicinal plant resources of Illicium L. Chin. Tradit. Herb. Drugs 2002, 33, 54–57. (In Chinese) [Google Scholar]
- Zhao, C.; Ling, H.E.; Zhang, L.Y.; Shan, M. Anti-inflammatory and analgesic effects of two extracts isolated from Illicium. Chin. J. Nat. Med. 2009, 7, 307–311. [Google Scholar] [CrossRef]
- Li, R.; Werger, M.J.A.; De Kroon, H.; During, H.J.; Zhong, Z.C. Interactions between shoot age structure, nutrient availability and physiological integration in the giant bamboo (Phyllostachys pubescens). Plant Biol. 2000, 2, 437–446. [Google Scholar] [CrossRef]
- Abrams, M.D.; Kloeppel, B.D.; Kubiske, M.E. Ecophysiological and morphological responses to shade and drought in two contrasting ecotypes of Prunus serotina. Tree Physiol. 1992, 10, 343–355. [Google Scholar] [CrossRef]
- Seibt, U.; Rajabi, A.; Griffiths, H.; Berry, J.A. Carbon isotopes and water use efficiency: Sense and sensitivity. Oecologia 2008, 155, 441–454. [Google Scholar] [CrossRef] [PubMed]
- LY/T 1228-2015; Nitrogen Determination Methods of Forest Soils. China Standard Publishing House: Beijing, China, 2016.
- LY/T 1232-2015; Determination of Phosphorus in Forest Soil. China Standard Publishing House: Beijing, China, 2016.
- LY/T 1237-1999; Determination of Organic Matter in Forest Soil and Calculation Carbon-Nitrogen Ratio. China Standard Publishing House: Beijing, China, 1999.
- Ye, Z.P.; Suggett, D.J.; Robakowski, P.; Kang, H.J. A mechanistic model for the photosynthesis-light response based on the photosynthetic electron transport of photosystem II in C3 and C4 species. New Phytol. 2013, 199, 110–120. [Google Scholar] [CrossRef]
- Pflug, E.E.; Buchmann, N.; Siegwolf, R.T.W.; Schaub, M.; Rigling, A.; Arend, M. Resilient leaf physiological response of european beech (Fagus sylvatica L.) to summer drought and drought release. Front. Plant Sci. 2018, 9, 187. [Google Scholar] [CrossRef]
- Silim, S.; Nash, R.; Reynard, D.; White, B.; Schroeder, W. Leaf gas exchange and water potential responses to drought in nine poplar (Populus spp.) clones with contrasting drought tolerance. Trees 2009, 23, 959–969. [Google Scholar] [CrossRef]
- Thornley, J.H.M. Mathematical Models in Plant Physiology; Academic Press: London, UK, 1976; pp. 85–106. [Google Scholar]
- Zhou, H.H.; Chen, Y.N.; Li, W.H.; Chen, Y.P. Photosynthesis of Populus euphratica in relation to groundwater depths and high temperature in arid environment, northwest China. Photosynthetica 2010, 48, 257–268. [Google Scholar] [CrossRef]
- Tartachnyk, I.I.; Blanke, M.M. Effect of delayed fruit harvest on photosynthesis, transpiration and nutrient remobilization of apple leaves. New Phytol. 2004, 164, 441–450. [Google Scholar] [CrossRef]
- Nunes, C.; Araújo, S.S.; Silva, J.M.; Fevereiro, P.; Silva, A.B. Photosynthesis light curves: A method for screening water deficit resistance in the model legume Medicago truncatula. Ann. Appl. Biol. 2010, 155, 321–332. [Google Scholar] [CrossRef]
- Fan, B.L.; Ma, Z.Q.; Gao, P.F.; Lu, J.; Ding, N.; Sun, K. Functional traits of male and female leaves of Hippophae tibetana on the eastern edge of the Tibetan Plateau and their altitudinal variability. Plants 2022, 11, 2484. [Google Scholar] [CrossRef] [PubMed]
- Shao, H.B.; Chu, L.Y.; Jaleel, C.A.; Manivannan, P.; Panneerselvam, R.; Shao, M.A. Understanding water deficit stress induced changes in the basic metabolism of higher plants biotechnologically and sustainably improving agriculture and the eco-environment in arid regions of the globe. Crit. Rev. Biotechnol. 2009, 29, 131–151. [Google Scholar] [CrossRef] [PubMed]
- Schuldt, B.; Buras, A.; Arend, M.; Vitasse, Y.; Beierkuhnlein, C.; Damm, A.; Gharun, M.; Grams, T.E.E.; Hauck, M.; Hajek, P.; et al. A first assessment of the impact of the extreme 2018 summer drought on Central European forests. Basic Appl. Ecol. 2020, 45, 86–103. [Google Scholar] [CrossRef]
- Cocozza, C.; de Miguel, M.; Pšidová, E.; Ditmarová, L.; Marino, S.; Maiuro, L.; Alvino, A.; Czajkowski, T.; Bolte, A.; Tognetti, R. Variation in ecophysiological traits and drought tolerance of beech (Fagus sylvatica L.) seedlings from different populations. Front. Plant Sci. 2016, 7, 886. [Google Scholar] [CrossRef] [PubMed]
- Ruzana Adibah, M.S.; Ainuddin, A.N. Epiphytic plants responses to light and water stress. Asian J. Plant Sci. 2011, 10, 97–107. [Google Scholar] [CrossRef]
- Montanaro, G.; Dichio, B.; Xiloyannis, C. Shade mitigates photoinhibition and enhances water use efficiency in kiwifruit under drought. Photosynthetica 2009, 47, 363–371. [Google Scholar] [CrossRef]
- Netzer, F.; Thöm, C.; Celepirovic, N.; Ivankovic, M.; Alfarraj, S.; Dounavi, A.; Simon, J.; Herschbach, C.; Rennenberg, H. Drought effects on C, N and P nutrition and the antioxidative system of beech (Fagus sylvatica L.) seedlings depend on geographic origin. J. Plant Nutr. Soil Sci. 2016, 179, 136–150. [Google Scholar] [CrossRef]
- Ganji, A.; Shekarrizfard, M.A. A modified constrained state formulation of stochastic soil moisture for crop water allocation. Water Resour. Manag. 2010, 2, 547–561. [Google Scholar] [CrossRef]
- Lawson, T.; Blatt, M.R. Stomatal size, speed, and responsiveness impact on photosynthesis and water use efficiency. Plant Physiol. 2014, 164, 1556–1570. [Google Scholar] [CrossRef] [PubMed]
- Zhou, S.X.; Duursma, R.A.; Medlyn, B.E.; Kelly, J.W.G.; Prentice, I.C. How should we model plant responses to drought? An analysis of stomatal and non-stomatal responses to water stress. Agric. For. Meteorol. 2013, 182, 204–214. [Google Scholar] [CrossRef]
- Aranda, I.; Cano, F.J.; Gascó, A.; Cochard, H.; Nardini, A.; Mancha, J.A.; López, R.; Sánchez-Gómez, D. Variation in photosynthetic performance and hydraulic architecture across European beech (Fagus sylvatica L.) populations supports the case for local adaptation to water stress. Tree Physiol. 2015, 35, 34–46. [Google Scholar] [CrossRef]
- Lawson, T.; Vialet-Chabrand, S. Speedy stomata, photosynthesis and plant water use efficiency. New Phytol. 2019, 221, 93–98. [Google Scholar] [CrossRef] [PubMed]
- Ma, W.T.; Tcherkez, G.; Wang, X.M.; Schäufele, R.; Schnyder, H.; Yang, Y.S.; Gong, X.Y. Accounting for mesophyll conductance substantially improves 13C-based estimates of intrinsic water-use efficiency. New Phytol. 2021, 229, 1326–1338. [Google Scholar] [CrossRef]
- Ofori-Amanfo, K.K.; Klem, K.; Veselá, B.; Holub, P.; Agyei, T.; Juráň, S.; Grace, J.; Marek, M.V.; Urban, O. The effect of elevated CO2 on photosynthesis is modulated by nitrogen supply and reduced water availability in Picea abies. Tree Physiol. 2023, 43, 925–937. [Google Scholar] [CrossRef]









Disclaimer/Publisher’s Note: The statements, opinions and data contained in all publications are solely those of the individual author(s) and contributor(s) and not of MDPI and/or the editor(s). MDPI and/or the editor(s) disclaim responsibility for any injury to people or property resulting from any ideas, methods, instructions or products referred to in the content. |
© 2024 by the authors. Licensee MDPI, Basel, Switzerland. This article is an open access article distributed under the terms and conditions of the Creative Commons Attribution (CC BY) license (https://creativecommons.org/licenses/by/4.0/).
Share and Cite
Cao, Y.; Li, J.; Li, S.; Zhou, B. The Effects of Long-Term Precipitation Exclusion on Leaf Photosynthetic Traits, Stomatal Conductance, and Water Use Efficiency in Phyllostachys edulis. Forests 2024, 15, 849. https://doi.org/10.3390/f15050849
Cao Y, Li J, Li S, Zhou B. The Effects of Long-Term Precipitation Exclusion on Leaf Photosynthetic Traits, Stomatal Conductance, and Water Use Efficiency in Phyllostachys edulis. Forests. 2024; 15(5):849. https://doi.org/10.3390/f15050849
Chicago/Turabian StyleCao, Yonghui, Jianming Li, Sheng Li, and Benzhi Zhou. 2024. "The Effects of Long-Term Precipitation Exclusion on Leaf Photosynthetic Traits, Stomatal Conductance, and Water Use Efficiency in Phyllostachys edulis" Forests 15, no. 5: 849. https://doi.org/10.3390/f15050849
APA StyleCao, Y., Li, J., Li, S., & Zhou, B. (2024). The Effects of Long-Term Precipitation Exclusion on Leaf Photosynthetic Traits, Stomatal Conductance, and Water Use Efficiency in Phyllostachys edulis. Forests, 15(5), 849. https://doi.org/10.3390/f15050849
