Hierarchical Integration of UAS and Sentinel-2 Imagery for Spruce Bark Beetle Grey-Attack Detection by Vegetation Index Thresholding Approach
Abstract
1. Introduction
2. Materials and Methods
2.1. Study Area
2.2. Data Overview
2.2.1. Forest Inventory and Sample Plots Data
2.2.2. UAS Imagery
2.2.3. Sentinel-2 Satellite Imagery
2.3. Methods
2.3.1. Dead Tree Separation by VI Thresholding on UAS-Based Imagery
2.3.2. Effectiveness of Sentinel-2-Based VIs for Spruce Deadwood Cover Detection
3. Results
3.1. Dead Spruce Separation by VI Thresholding Using UAS-Based Imagery
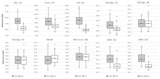
3.2. Deadwood Separation by VI Thresholding Using Sentinel-2 Imagery
4. Discussion
4.1. Effectiveness of Dead Spruce Separation by UAS-Based VI Thresholding
4.2. Effectiveness of Dead Spruce Separation by Sentinel-2-Based VI Thresholding
4.3. Practical Recommendations and Limitations
5. Conclusions
Author Contributions
Funding
Data Availability Statement
Acknowledgments
Conflicts of Interest
Appendix A
| Vegetation Index | Formula |
|---|---|
| NDVI—Normalised Difference Vegetation Index | |
| BNDVI—Blue-normalised difference VI | |
| RBNDVI—Red-Blue Normalised Difference VI | |
| RVI—Simple Ratio Vegetation Index | |
| VARI—Visible Atmospherically Resistant Index | |
| NGRDI—Normalised Difference Green/Red index | |
| IKAW—Kawashima Index | |
| NDMI—Normalised Difference Moisture Index | |
| NBR—Normalized Burned Ratio Index | |
| EVI—Enhanced Vegetation Index |
| Band | Wavelength Range (nm) | Resolution (m) |
|---|---|---|
| Band 2—Blue | 458–523 | 10 |
| Band 3—Green | 543–578 | 10 |
| Band 4—Red | 650–680 | 10 |
| Band 5—Vegetation Red Edge | 698–713 | 20 |
| Band 6—Vegetation Red Edge | 734–748 | 20 |
| Band 7—Vegetation Red Edge | 765–785 | 20 |
| Band 8—NIR | 785–900 | 10 |
| Band 8A—Vegetation Red Edge | 855–875 | 20 |
| Band 11—SWIR | 1565–1655 | 20 |
| Band 12—SWIR | 2100–2280 | 20 |


References
- Hlásny, T.; König, L.; Krokene, P.; Lindner, M.; Montagné-Huck, C.; Müller, J.; Qin, H.; Raffa, K.F.; Schelhaas, M.-J.; Svoboda, M.; et al. Bark Beetle Outbreaks in Europe: State of Knowledge and Ways Forward for Management. Curr. For. Rep. 2021, 7, 138–165. [Google Scholar] [CrossRef]
- Senf, C.; Sebald, J.; Seidl, R. Increasing canopy mortality affects the future demographic structure of Europe’s forests. One Earth 2021, 4, 749–755. [Google Scholar] [CrossRef]
- Hlásny, T.; Krokene, P.; Liebhold, A.; Montagné-Huck, C.; Müller, J.; Qin, H.; Raffa, K.; Schelhaas, M.; Seidl, R.; Svoboda, M. Living with Bark Beetles: Impacts, Outlook and Management Options; European Forest Institute: Joensuu, Finland, 2019. [Google Scholar]
- Latvian Official Statistics Portal. Available online: https://stat.gov.lv/en/statistics-themes/business-sectors/forestry (accessed on 15 November 2023).
- Leišavnieks, E. The Most Disgusting Pest Is the Spruce Bark Beetle (in Latvian). Available online: https://www.la.lv/visnegantakais-kaitnieks-egles-astonzobu-mizgrauzis (accessed on 4 December 2023).
- Biedermann, P.H.W.; Müller, J.; Grégoire, J.-C.; Gruppe, A.; Hagge, J.; Hammerbacher, A.; Hofstetter, R.W.; Kandasamy, D.; Kolarik, M.; Kostovcik, M.; et al. Bark Beetle Population Dynamics in the Anthropocene: Challenges and Solutions. Trends Ecol. Evol. 2019, 34, 914–924. [Google Scholar] [CrossRef] [PubMed]
- Edburg, S.L.; Hicke, J.A.; Brooks, P.D.; Pendall, E.G.; Ewers, B.E.; Norton, U.; Gochis, D.; Gutmann, E.D.; Meddens, A.J. Cascading impacts of bark beetle-caused tree mortality on coupled biogeophysical and biogeochemical processes. Front. Ecol. Environ. 2012, 10, 416–424. [Google Scholar] [CrossRef] [PubMed]
- Huo, L.; Lindberg, E.; Bohlin, J.; Persson, H.J. Assessing the detectability of European spruce bark beetle green attack in multispectral drone images with high spatial- and temporal resolutions. Remote Sens. Environ. 2023, 287, 113484. [Google Scholar] [CrossRef]
- How to Prevent the Proliferation of Spruce Bark Beetles. Specialist Recommendations for Forest Owners. Available online: https://baltics.news/2023/01/31/how-to-prevent-the-proliferation-of-spruce-bark-beetles-specialist-recommendations-for-forest-owners/ (accessed on 2 November 2023).
- de Groot, M.; Diaci, J.; Kandare, K.; Krajnc, N.; Pisek, R.; Ščap, Š.; Stare, D.; Ogris, N. Private Forest Owner Characteristics Affect European Spruce Bark Beetle Management under an Extreme Weather Event and Host Tree Density. Forests 2021, 12, 346. [Google Scholar] [CrossRef]
- Piltz, K. Early-Stage Detection of Bark Beetle Infested Spruce Forest Stands Using Sentinel-2 Data and Vegetation Indices; Lund University: Lund, Sweden, 2022. [Google Scholar]
- Šmits, A. Meža Kaitēkļu Un Slimību Monitoringa 2022. Gada Rezultāti (in Latvian); Latvia’s State Forests: Riga, Latvia, 2023. [Google Scholar]
- JSC “Latvia’s State Forests”. Spruce Bark Beetle Control Measures (in Latvian). Available online: https://www.vmd.gov.lv/lv/jaunums/mizgrauza-ierobezosanas-pasakumi-vertejami-pozitivi (accessed on 2 November 2023).
- Abdollahnejad, A.; Panagiotidis, D.; Surový, P.; Modlinger, R. Investigating the Correlation between Multisource Remote Sensing Data for Predicting Potential Spread of Ips typographus L. Spots in Healthy Trees. Remote Sens. 2021, 13, 4953. [Google Scholar] [CrossRef]
- Meddens, A.J.H.; Hicke, J.A.; Vierling, L.A. Evaluating the potential of multispectral imagery to map multiple stages of tree mortality. Remote Sens. Environ. 2011, 115, 1632–1642. [Google Scholar] [CrossRef]
- Hall, R.J.; Castilla, G.; White, J.C.; Cooke, B.J.; Skakun, R.S. Remote sensing of forest pest damage: A review and lessons learned from a Canadian perspective. Can. Entomol. 2016, 148, S296–S356. [Google Scholar] [CrossRef]
- Lechner, A.M.; Foody, G.M.; Boyd, D.S. Applications in Remote Sensing to Forest Ecology and Management. One Earth 2020, 2, 405–412. [Google Scholar] [CrossRef]
- Marvasti-Zadeh, S.M.; Goodsman, D.; Ray, N.; Erbilgin, N. Early Detection of Bark Beetle Attack Using Remote Sensing and Machine Learning: A Review. ACM Comput. Surv. 2023, 56, 97. [Google Scholar] [CrossRef]
- Toth, C.; Jóźków, G. Remote sensing platforms and sensors: A survey. ISPRS J. Photogramm. Remote Sens. 2016, 115, 22–36. [Google Scholar] [CrossRef]
- Fassnacht, F.E.; White, J.C.; Wulder, M.A.; Næsset, E. Remote sensing in forestry: Current challenges, considerations and directions. For. Int. J. For. Res. 2023, 97, 11–37. [Google Scholar] [CrossRef]
- Senf, C.; Seidl, R.; Hostert, P. Remote sensing of forest insect disturbances: Current state and future directions. Int. J. Appl. Earth Obs. Geoinf. 2017, 60, 49–60. [Google Scholar] [CrossRef] [PubMed]
- Otsu, K.; Pla, M.; Duane, A.; Cardil, A.; Brotons, L. Estimating the Threshold of Detection on Tree Crown Defoliation Using Vegetation Indices from UAS Multispectral Imagery. Drones 2019, 3, 80. [Google Scholar] [CrossRef]
- Huete, A.; Didan, K.; Miura, T.; Rodriguez, E.P.; Gao, X.; Ferreira, L.G. Overview of the radiometric and biophysical performance of the MODIS vegetation indices. Remote Sens. Environ. 2002, 83, 195–213. [Google Scholar] [CrossRef]
- Li, Y.; Zhang, H.; Xue, X.; Jiang, Y.; Shen, Q. Deep learning for remote sensing image classification: A survey. WIREs Data Min. Knowl. Discov. 2018, 8, e1264. [Google Scholar] [CrossRef]
- Koreň, M.; Jakuš, R.; Zápotocký, M.; Barka, I.; Holuša, J.; Ďuračiová, R.; Blaženec, M. Assessment of Machine Learning Algorithms for Modeling the Spatial Distribution of Bark Beetle Infestation. Forests 2021, 12, 395. [Google Scholar] [CrossRef]
- Kattenborn, T.; Leitloff, J.; Schiefer, F.; Hinz, S. Review on Convolutional Neural Networks (CNN) in vegetation remote sensing. ISPRS J. Photogramm. Remote Sens. 2021, 173, 24–49. [Google Scholar] [CrossRef]
- Turkulainen, E.; Honkavaara, E.; Näsi, R.; Oliveira, R.A.; Hakala, T.; Junttila, S.; Karila, K.; Koivumäki, N.; Pelto-Arvo, M.; Tuviala, J.; et al. Comparison of Deep Neural Networks in the Classification of Bark Beetle-Induced Spruce Damage Using UAS Images. Remote Sens. 2023, 15, 4928. [Google Scholar] [CrossRef]
- Zabihi, K.; Surovy, P.; Trubin, A.; Singh, V.V.; Jakuš, R. A review of major factors influencing the accuracy of mapping green-attack stage of bark beetle infestations using satellite imagery: Prospects to avoid data redundancy. Remote Sens. Appl. Soc. Environ. 2021, 24, 100638. [Google Scholar] [CrossRef]
- Commission, E.; Environment, D.-G.f.; Atzberger, C.; Zeug, G.; Defourny, P.; Aragão, L.; Hammarström, L.; Immitzer, M. Monitoring of Forests through Remote Sensing—Final Report; Publications Office: Luxembourg, 2020. [Google Scholar]
- Klouček, T.; Komárek, J.; Surový, P.; Hrach, K.; Janata, P.; Vašíček, B. The Use of UAV Mounted Sensors for Precise Detection of Bark Beetle Infestation. Remote Sens. 2019, 11, 1561. [Google Scholar] [CrossRef]
- Duarte, A.; Borralho, N.; Cabral, P.; Caetano, M. Recent Advances in Forest Insect Pests and Diseases Monitoring Using UAV-Based Data: A Systematic Review. Forests 2022, 13, 911. [Google Scholar] [CrossRef]
- Huo, L.; Persson, H.J.; Lindberg, E. Early detection of forest stress from European spruce bark beetle attack, and a new vegetation index: Normalized distance red & SWIR (NDRS). Remote Sens. Environ. 2021, 255, 112240. [Google Scholar] [CrossRef]
- Bárta, V.; Lukeš, P.; Homolová, L. Early detection of bark beetle infestation in Norway spruce forests of Central Europe using Sentinel-2. Int. J. Appl. Earth Obs. Geoinf. 2021, 100, 102335. [Google Scholar] [CrossRef]
- Kattenborn, T.; Lopatin, J.; Förster, M.; Braun, A.C.; Fassnacht, F.E. UAV data as alternative to field sampling to map woody invasive species based on combined Sentinel-1 and Sentinel-2 data. Remote Sens. Environ. 2019, 227, 61–73. [Google Scholar] [CrossRef]
- Alvarez-Vanhard, E.; Corpetti, T.; Houet, T. UAV & satellite synergies for optical remote sensing applications: A literature review. Sci. Remote Sens. 2021, 3, 100019. [Google Scholar] [CrossRef]
- Schiefer, F.; Schmidtlein, S.; Frick, A.; Frey, J.; Klinke, R.; Zielewska-Büttner, K.; Junttila, S.; Uhl, A.; Kattenborn, T. UAV-based reference data for the prediction of fractional cover of standing deadwood from Sentinel time series. ISPRS Open J. Photogramm. Remote Sens. 2023, 8, 100034. [Google Scholar] [CrossRef]
- Eichhorn, J.; Roskams, P.; Potocic, N.; Timmermann, V.; Ferretti, M.; Mues, V.; Szepesi, A.; Durrant, D.; Seletkovic, I.; Schroeck, H.-W. Part IV Visual assessment of crown condition and damaging agents. In Manual on Methods and Criteria for Harmonized Sampling, Assessment, Monitoring and Analysis of the Effects of Air Pollution on Forests; Thünen Institute of Forest Ecosystems: Eberswalde, Germany, 2016. [Google Scholar]
- University of Bonn, Institute of Crop Science and Resource Conservation (INRES), Index-Data-Base (IDB). Available online: https://www.indexdatabase.de/ (accessed on 1 November 2023).
- Tharwat, A. Classification assessment methods. Appl. Comput. Inform. 2021, 17, 168–192. [Google Scholar] [CrossRef]
- Lausch, A.; Heurich, M.; Gordalla, D.; Dobner, H.J.; Gwillym-Margianto, S.; Salbach, C. Forecasting potential bark beetle outbreaks based on spruce forest vitality using hyperspectral remote-sensing techniques at different scales. For. Ecol. Manag. 2013, 308, 76–89. [Google Scholar] [CrossRef]
- Abdullah, H.; Darvishzadeh, R.; Skidmore, A.K.; Groen, T.A.; Heurich, M. European spruce bark beetle (Ips typographus, L.) green attack affects foliar reflectance and biochemical properties. Int. J. Appl. Earth Obs. Geoinf. 2018, 64, 199–209. [Google Scholar] [CrossRef]
- Junttila, S.; Näsi, R.; Koivumäki, N.; Imangholiloo, M.; Saarinen, N.; Raisio, J.; Holopainen, M.; Hyyppä, H.; Hyyppä, J.; Lyytikäinen-Saarenmaa, P.; et al. Multispectral Imagery Provides Benefits for Mapping Spruce Tree Decline Due to Bark Beetle Infestation When Acquired Late in the Season. Remote Sens. 2022, 14, 909. [Google Scholar] [CrossRef]
- Heurich, M.; Ochs, T.; Andresen, T.; Schneider, T. Object-orientated image analysis for the semi-automatic detection of dead trees following a spruce bark beetle (Ips typographus) outbreak. Eur. J. For. Res. 2010, 129, 313–324. [Google Scholar] [CrossRef]
- Hart, S.J.; Veblen, T.T. Detection of spruce beetle-induced tree mortality using high- and medium-resolution remotely sensed imagery. Remote Sens. Environ. 2015, 168, 134–145. [Google Scholar] [CrossRef]
- Näsi, R.; Honkavaara, E.; Blomqvist, M.; Lyytikäinen-Saarenmaa, P.; Hakala, T.; Viljanen, N.; Kantola, T.; Holopainen, M. Remote sensing of bark beetle damage in urban forests at individual tree level using a novel hyperspectral camera from UAV and aircraft. Urban For. Urban Green. 2018, 30, 72–83. [Google Scholar] [CrossRef]
- Sylvain, J.-D.; Drolet, G.; Brown, N. Mapping dead forest cover using a deep convolutional neural network and digital aerial photography. ISPRS J. Photogramm. Remote Sens. 2019, 156, 14–26. [Google Scholar] [CrossRef]
- Candotti, A.; De Giglio, M.; Dubbini, M.; Tomelleri, E. A Sentinel-2 Based Multi-Temporal Monitoring Framework for Wind and Bark Beetle Detection and Damage Mapping. Remote Sens. 2022, 14, 6105. [Google Scholar] [CrossRef]
- Bryk, M.; Kołodziej, B.; Pliszka, R. Changes of Norway Spruce Health in the Białowieża Forest (CE Europe) in 2013–2019 during a Bark Beetle Infestation, Studied with Landsat Imagery. Forests 2021, 12, 34. [Google Scholar] [CrossRef]
- Lastovicka, J.; Svec, P.; Paluba, D.; Kobliuk, N.; Svoboda, J.; Hladky, R.; Stych, P. Sentinel-2 Data in an Evaluation of the Impact of the Disturbances on Forest Vegetation. Remote Sens. 2020, 12, 1914. [Google Scholar] [CrossRef]
- Klimavičius, L.; Rimkus, E.; Stonevičius, E.; Mačiulytė, V. Seasonality and long-term trends of NDVI values in different land use types in the eastern part of the Baltic Sea basin. Oceanologia 2023, 65, 171–181. [Google Scholar] [CrossRef]
- Rautiainen, M.; Lukeš, P. Spectral contribution of understory to forest reflectance in a boreal site: An analysis of EO-1 Hyperion data. Remote Sens. Environ. 2015, 171, 98–104. [Google Scholar] [CrossRef]
- Woodcock, C.E.; Strahler, A.H. The factor of scale in remote sensing. Remote Sens. Environ. 1987, 21, 311–332. [Google Scholar] [CrossRef]
- Rautiainen, M.; Lukeš, P.; Homolová, L.; Hovi, A.; Pisek, J.; Mõttus, M. Spectral Properties of Coniferous Forests: A Review of In Situ and Laboratory Measurements. Remote Sens. 2018, 10, 207. [Google Scholar] [CrossRef]










| Training Folds | Test Fold | NDVI Thr. | Weather Conditions | Classification Metrics | |||
|---|---|---|---|---|---|---|---|
| (Trees) | (Trees) | Training Set | Test Set | (ACC) | TPR (Dead Trees) | TNR (Live Trees) | |
| 1–2 (893) | 3 (447) | 0.48 | Mostly cloudy | Sunny | 0.99 | 0.99 | 0.98 |
| 2–3 (893) | 1 (447) | 0.47 | Mostly sunny | Clouds | 0.98 | 0.98 | 0.97 |
| 1–3 (894) | 2 (446) | 0.46 | Mix | Mix | 0.97 | 0.97 | 0.97 |
| S2 Date (Threshold Mask) | Predicted | Classification Metrics | |||||
|---|---|---|---|---|---|---|---|
| Dead | Live | ||||||
| 22 April (0.52–0.72) | 79 | 60 | Accuracy (ACC) | 0.80 | |||
| Actual | Dead | 69 | 60 | 9 | Deadwood detection rate (TPR) | 0.87 | |
| Live | 70 | 19 | 51 | Live spruce detection rate (TNR) | 0.73 | ||
| Dead | Live | ||||||
| 08 June (0.57–0.77) | 66 | 73 | Accuracy (ACC) | 0.85 | |||
| Actual | Dead | 69 | 57 | 12 | Deadwood detection rate (TPR) | 0.83 | |
| Live | 70 | 9 | 61 | Live spruce detection rate (TNR) | 0.87 | ||
| Dead | Live | ||||||
| 21 September (0.60–0.81) | 79 | 60 | Accuracy (ACC) | 0.81 | |||
| Actual | Dead | 69 | 61 | 8 | Deadwood detection rate (TPR) | 0.88 | |
| Live | 70 | 18 | 52 | Live spruce detection rate (TNR) | 0.74 | ||
Disclaimer/Publisher’s Note: The statements, opinions and data contained in all publications are solely those of the individual author(s) and contributor(s) and not of MDPI and/or the editor(s). MDPI and/or the editor(s) disclaim responsibility for any injury to people or property resulting from any ideas, methods, instructions or products referred to in the content. |
© 2024 by the authors. Licensee MDPI, Basel, Switzerland. This article is an open access article distributed under the terms and conditions of the Creative Commons Attribution (CC BY) license (https://creativecommons.org/licenses/by/4.0/).
Share and Cite
Goldbergs, G.; Upenieks, E.M. Hierarchical Integration of UAS and Sentinel-2 Imagery for Spruce Bark Beetle Grey-Attack Detection by Vegetation Index Thresholding Approach. Forests 2024, 15, 644. https://doi.org/10.3390/f15040644
Goldbergs G, Upenieks EM. Hierarchical Integration of UAS and Sentinel-2 Imagery for Spruce Bark Beetle Grey-Attack Detection by Vegetation Index Thresholding Approach. Forests. 2024; 15(4):644. https://doi.org/10.3390/f15040644
Chicago/Turabian StyleGoldbergs, Grigorijs, and Emīls Mārtiņš Upenieks. 2024. "Hierarchical Integration of UAS and Sentinel-2 Imagery for Spruce Bark Beetle Grey-Attack Detection by Vegetation Index Thresholding Approach" Forests 15, no. 4: 644. https://doi.org/10.3390/f15040644
APA StyleGoldbergs, G., & Upenieks, E. M. (2024). Hierarchical Integration of UAS and Sentinel-2 Imagery for Spruce Bark Beetle Grey-Attack Detection by Vegetation Index Thresholding Approach. Forests, 15(4), 644. https://doi.org/10.3390/f15040644
