Divergent Nitrogen, Phosphorus, and Carbon Concentrations among Growth Forms, Plant Organs, and Soils across Three Different Desert Ecosystems
Abstract
1. Introduction
2. Materials and Methods
2.1. Data Sources
2.2. Statistical Analysis
3. Results
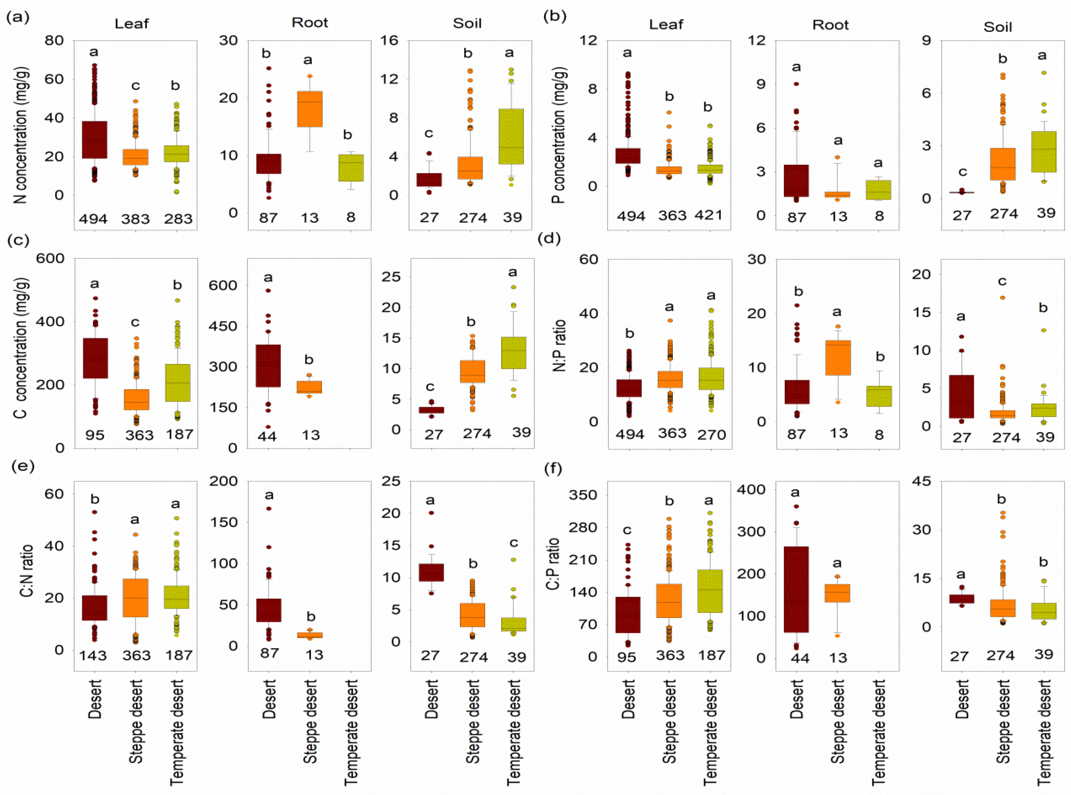
3.1. Patterns of Element Concentrations and Stoichiometry among Plant Organs across Growth Forms and in the Soil across Three Desert Ecosystems
3.1.1. Changes in Concentrations and Ratios among Leaves, Roots, and Soils
3.1.2. Changes in Leaf Concentrations and Ratios among Growth Forms
3.2. N vs. P Scaling Exponents across Desert Ecosystems
3.3. Effects of Climate on Leaf Elements and Stoichiometry
4. Discussion
4.1. Variations in Elements and Stoichiometry among Growth Forms of Organs According to Soil Factors across Three Desert Ecosystems
4.2. Variations in Leaf vs. Root N, P, and N:P Scaling Exponents in Different Desert Ecosystems
4.3. Effects of Environmental Conditions on Element Concentrations and Stoichiometry
5. Conclusions
Supplementary Materials
Author Contributions
Funding
Data Availability Statement
Acknowledgments
Conflicts of Interest
References
- Wang, Z.; Gong, H.; Sardans, J.; Zhou, Q.; Deng, J.; Niklas, K.J.; Hu, H.; Li, Y.; Ma, Z.; Mipam, T.D.; et al. Divergent nitrogen and phosphorus allocation strategies in terrestrial plant leaves and fine roots: A global meta-analysis. J. Ecol. 2022, 110, 2745–2758. [Google Scholar] [CrossRef]
- Xiong, J.; Dong, L.; Lu, J.; Hu, W.; Gong, H.; Xie, S.; Zhao, D.; Zhang, Y.; Wang, X.; Deng, Y.; et al. Variation in plant carbon, nitrogen and phosphorus contents across the drylands of China. Funct. Ecol. 2022, 36, 174–186. [Google Scholar] [CrossRef]
- Penuelas, J.; Janssens, I.A.; Ciais, P.; Obersteiner, M.; Sardans, J. Anthropogenic global shifts in biospheric N and P concentrations and ratios and their impacts on biodiversity, ecosystem productivity, food security, and human health. Glob. Chang. Biol. 2020, 26, 1962–1985. [Google Scholar] [CrossRef] [PubMed]
- Elser, J.J.; Bracken, M.E.; Cleland, E.E.; Gruner, D.S.; Harpole, W.S.; Hillebrand, H.; Ngai, J.T.; Seabloom, E.W.; Shurin, J.B.; Smith, J.E. Global analysis of nitrogen and phosphorus limitation of primary producers in freshwater, marine and terrestrial ecosystems. Ecol. Lett. 2007, 10, 1135–1142. [Google Scholar] [CrossRef] [PubMed]
- Güsewell, S. N : P ratios in terrestrial plants: Variation and functional significance. New Phytol. 2004, 164, 243–266. [Google Scholar] [CrossRef]
- Chapin, F.S., III. The Mineral Nutrition of Wild Plants. Annu. Rev. Ecol. Syst. 1980, 11, 233–260. [Google Scholar] [CrossRef]
- Ofori-Amanfo, K.K.; Klem, K.; Veselá, B.; Holub, P.; Agyei, T.; Juráň, S.; Grace, J.; Marek, M.V.; Urban, O. The effect of elevated CO2 on photosynthesis is modulated by nitrogen supply and reduced water availability in Picea abies. Tree Physiol. 2023, 43, 925–937. [Google Scholar] [CrossRef] [PubMed]
- Li, L.; Liu, B.; Gao, X.; Li, X.; Li, C. Nitrogen and phosphorus addition differentially affect plant ecological stoichiometry in desert grassland. Sci. Rep. 2019, 9, 18673. [Google Scholar] [CrossRef] [PubMed]
- Vrede, T.; Dobberfuhl, D.R.; Kooijman, S.A.L.M.; Elser, J.J. Fundamental connections among organism C:N:P stoichiometry, macromolecular composition, and growth. Ecology 2004, 85, 1217–1229. [Google Scholar] [CrossRef]
- Elser, J.J.; Fagan, W.F.; Kerkhoff, A.J.; Swenson, N.G.; Enquist, B.J. Biological stoichiometry of plant production: Metabolism, scaling and ecological response to global change. New Phytol. 2010, 186, 593–608. [Google Scholar] [CrossRef]
- Tang, Z.; Xu, W.; Zhou, G.; Bai, Y.; Li, J.; Tang, X.; Chen, D.; Liu, Q.; Ma, W.; Xiong, G.; et al. Patterns of plant carbon, nitrogen, and phosphorus concentration in relation to productivity in China’s terrestrial ecosystems. Proc. Natl. Acad. Sci. USA 2018, 115, 4033–4038. [Google Scholar] [CrossRef]
- Hu, Y.K.; Liu, X.Y.; He, N.P.; Pan, X.; Long, S.Y.; Li, W.; Zhang, M.Y.; Cui, L.J. Global patterns in leaf stoichiometry across coastal wetlands. Glob. Ecol. Biogeogr. 2021, 30, 852–869. [Google Scholar] [CrossRef]
- Reich, P.B.; Oleksyn, J. Global patterns of plant leaf N and P in relation to temperature and latitude. Proc. Natl. Acad. Sci. USA 2004, 101, 11001–11006. [Google Scholar] [CrossRef] [PubMed]
- He, J.S.; Wang, L.; Flynn, D.F.; Wang, X.; Ma, W.; Fang, J. Leaf nitrogen: Phosphorus stoichiometry across Chinese grassland biomes. Oecologia 2008, 155, 301–310. [Google Scholar] [CrossRef]
- Elser, J.; Sterner, R.; Gorokhova, E.; Fagan, W.; Markow, T.; Cotner, J.; Harrison, J.; Hobbie, S.; Odell, G.; Weider, L. Biological stoichiometry from genes to ecosystems. Ecol. Lett. 2000, 3, 540–550. [Google Scholar] [CrossRef]
- Niklas, K.J.; Cobb, E.D. N, P, and C stoichiometry of Eranthis hyemalis (Ranunculaceae) and the allometry of plant growth. Am. J. Bot. 2005, 92, 1256–1263. [Google Scholar] [CrossRef] [PubMed]
- Tian, D.; Yan, Z.; Niklas, K.J.; Han, W.; Kattge, J.; Reich, P.B.; Luo, Y.; Chen, Y.; Tang, Z.; Hu, H. Global leaf nitrogen and phosphorus stoichiometry and their scaling exponent. Natl. Sci. Rev. 2018, 5, 728–739. [Google Scholar] [CrossRef]
- Wang, Z.; Niklas, K.J.; Ma, Z.; Jiang, D.; Deng, J. The 2/3 scaling of twig nitrogen to phosphorus in woody plants. For. Ecosyst. 2022, 9, 100049. [Google Scholar] [CrossRef]
- Wang, Z.; Yu, K.; Lv, S.; Niklas, K.J.; Mipam, T.D.; Crowther, T.W.; Umaña, M.N.; Zhao, Q.; Huang, H.; Reich, P.B. The scaling of fine root nitrogen versus phosphorus in terrestrial plants: A global synthesis. Funct. Ecol. 2019, 33, 2081–2094. [Google Scholar] [CrossRef]
- Zhao, M.; Luo, Y.; Chen, Y.; Shen, H.; Zhao, X.; Fang, J.; Hu, H. Varied nitrogen versus phosphorus scaling exponents among shrub organs across eastern China. Ecol. Indic. 2021, 121, 107024. [Google Scholar] [CrossRef]
- Westoby, M.; Wright, I.J. Land-plant ecology on the basis of functional traits. Trends Ecol. Evol. 2006, 21, 261–268. [Google Scholar] [CrossRef] [PubMed]
- Pallardy, S.G. Physiology of Woody Plants; Academic Press: Cambridge, MA, USA, 2010. [Google Scholar]
- Laliberté, E. Below-ground frontiers in trait-based plant ecology. New Phytol. 2017, 213, 1597–1603. [Google Scholar] [CrossRef] [PubMed]
- McCormack, M.L.; Dickie, I.A.; Eissenstat, D.M.; Fahey, T.J.; Fernandez, C.W.; Guo, D.; Helmisaari, H.S.; Hobbie, E.A.; Iversen, C.M.; Jackson, R.B. Redefining fine roots improves understanding of below-ground contributions to terrestrial biosphere processes. New Phytol. 2015, 207, 505–518. [Google Scholar] [CrossRef]
- Akram, M.A.; Wang, X.; Hu, W.; Xiong, J.; Zhang, Y.; Deng, Y.; Ran, J.; Deng, J. Convergent variations in the leaf traits of desert plants. Plants 2020, 9, 990. [Google Scholar] [CrossRef] [PubMed]
- Reich, P.B. The world-wide ‘fast–slow’ plant economics spectrum: A traits manifesto. J. Ecol. 2014, 102, 275–301. [Google Scholar] [CrossRef]
- Chen, X.; Wang, M.; Li, M.; Sun, J.; Lyu, M.; Zhong, Q.; Cheng, D. Convergent nitrogen–phosphorus scaling relationships in different plant organs along an elevational gradient. AoB Plants 2020, 12, plaa021. [Google Scholar] [CrossRef]
- Palmroth, S.; Katul, G.G.; Maier, C.A.; Ward, E.; Manzoni, S.; Vico, G. On the complementary relationship between marginal nitrogen and water-use efficiencies among Pinus taeda leaves grown under ambient and CO2-enriched environments. Ann. Bot. 2013, 111, 467–477. [Google Scholar] [CrossRef]
- Wright, I.J.; Reich, P.B.; Westoby, M.; Ackerly, D.D.; Baruch, Z.; Bongers, F.; Cavender-Bares, J.; Chapin, T.; Cornelissen, J.H.C.; Diemer, M.; et al. The worldwide leaf economics spectrum. Nature 2004, 428, 821–827. [Google Scholar] [CrossRef]
- Deng, W.; Liu, X.; Hu, H.; Liu, Z.; Ge, Z.; Xia, C.; Wang, P.; Liang, L.; Zhu, Z.; Sun, Y. Carbon storages and densities of different ecosystems in Changzhou city, China: Subtropical forests, urban green spaces, and wetlands. Forests 2024, 15, 303. [Google Scholar] [CrossRef]
- Ågren, G.I. Stoichiometry and nutrition of plant growth in natural communities. Annu. Rev. Ecol. Evol. Syst. 2008, 39, 153–170. [Google Scholar] [CrossRef]
- Wei, L.; Hong, H.; Bee, M.Y.; Wu, Y.; Ndayambaje, P.; Yan, C.; Kao, S.-J.; Chee, P.S.; Wang, Y. Different adaptive strategies of three mangrove species to nutrient enrichment. Plant Ecol. 2022, 223, 1093–1102. [Google Scholar] [CrossRef]
- Ordoñez, J.C.; Bodegom, P.M.v.; Witte, J.-P.M.; Wright, I.J.; Reich, P.B.; Aerts, R. A global study of relationships between leaf traits, climate and soil measures of nutrient fertility. Glob. Ecol. Biogeogr. 2009, 18, 137–149. [Google Scholar] [CrossRef]
- Chadwick, O.A.; Derry, L.A.; Vitousek, P.M.; Huebert, B.J.; Hedin, L.O. Changing sources of nutrients during four million years of ecosystem development. Nature 1999, 397, 491–497. [Google Scholar] [CrossRef]
- He, M.; Dijkstra, F.A.; Zhang, K.; Li, X.; Tan, H.; Gao, Y.; Li, G. Leaf nitrogen and phosphorus of temperate desert plants in response to climate and soil nutrient availability. Sci. Rep. 2014, 4, 6932. [Google Scholar] [CrossRef] [PubMed]
- Delgado-Baquerizo, M.; Eldridge, D.J.; Maestre, F.T.; Ochoa, V.; Gozalo, B.; Reich, P.B.; Singh, B.K. Aridity decouples C: N: P stoichiometry across multiple trophic levels in terrestrial ecosystems. Ecosystems 2018, 21, 459–468. [Google Scholar] [CrossRef]
- Luo, W.; Li, M.H.; Sardans, J.; Lü, X.T.; Wang, C.; Peñuelas, J.; Wang, Z.; Han, X.G.; Jiang, Y. Carbon and nitrogen allocation shifts in plants and soils along aridity and fertility gradients in grasslands of China. Ecol. Evol. 2017, 7, 6927–6934. [Google Scholar] [CrossRef]
- Poorter, L.; McDonald, I.; Alarcón, A.; Fichtler, E.; Licona, J.C.; Peña-Claros, M.; Sterck, F.; Villegas, Z.; Sass-Klaassen, U. The importance of wood traits and hydraulic conductance for the performance and life history strategies of 42 rainforest tree species. New Phytol. 2010, 185, 481–492. [Google Scholar] [CrossRef] [PubMed]
- Reich, P.B.; Oleksyn, J.; Wright, I.J.; Niklas, K.J.; Hedin, L.; Elser, J.J. Evidence of a general 2/3-power law of scaling leaf nitrogen to phosphorus among major plant groups and biomes. Proc. R. Soc. B Biol. Sci. 2010, 277, 877–883. [Google Scholar] [CrossRef] [PubMed]
- Zhao, N.; Yu, G.; He, N.; Xia, F.; Wang, Q.; Wang, R.; Xu, Z.; Jia, Y. Invariant allometric scaling of nitrogen and phosphorus in leaves, stems, and fine roots of woody plants along an altitudinal gradient. J. Plant Res. 2016, 129, 647–657. [Google Scholar] [CrossRef]
- Chen, Z.; Huang, D.; Zhang, H. The characteristics of element chemistry of 122 plants on the Xilin river valley, Inner Mongolia. Res. Grassl. Ecosyst. 1985, 1, 112–131. [Google Scholar]
- Mo, D.-L.; Wu, J.-X. A Study on the Characteristics of the Chemical Composition and the Interrelationship Between the Elements in the Plants of 86 Species in Hainan Island. Chin. J. Plant Ecol. 1988, 12, 51–62. [Google Scholar]
- Han, W.; Fang, J.; Guo, D.; Zhang, Y. Leaf nitrogen and phosphorus stoichiometry across 753 terrestrial plant species in China. New Phytol. 2005, 168, 377–385. [Google Scholar] [CrossRef] [PubMed]
- Hou, X. Chinese Vegetable Geography and Chemical Elements: Analyses of the Dominant Plant Species; Science Press: Beijing, China, 1982. [Google Scholar]
- Huang, J.; Wang, P.; Niu, Y.; Yu, H.; Ma, F.; Xiao, G.; Xu, X. Changes in C: N: P stoichiometry modify N and P conservation strategies of a desert steppe species Glycyrrhiza uralensis. Sci. Rep. 2018, 8, 12668. [Google Scholar] [CrossRef] [PubMed]
- Huang, J.-H.; Chen, L.-Z. A study of chemical contents in a mixed shrubland near Baihuashan mountain in Beijing. Chin. J. Plant Ecol. 1991, 15, 224. [Google Scholar]
- Jiang, X.; Jia, X.; Gao, S.; Jiang, Y.; Wei, N.; Han, C.; Zha, T.; Liu, P.; Tian, Y.; Qin, S. Plant nutrient contents rather than physical traits are coordinated between leaves and roots in a desert shrubland. Front. Plant Sci. 2021, 12, 734775. [Google Scholar] [CrossRef] [PubMed]
- Luo, Y.; Lian, C.; Gong, L.; Mo, C. Leaf Stoichiometry of Halophyte Shrubs and Its Relationship with Soil Factors in the Xinjiang Desert. Forests 2022, 13, 2121. [Google Scholar] [CrossRef]
- Nurbolat, S.; Guanghui, L.; Lamei, J.; Lei, Z. Convergent Variation in the Leaf Traits of Desert Plants in the Ebinur Lake Basin. Front. Environ. Sci. 2022, 10, 927572. [Google Scholar] [CrossRef]
- Tao, Y.; Qiu, D.; Gong, Y.-M.; Liu, H.-L.; Zhang, J.; Yin, B.-F.; Lu, H.Y.; Zhou, X.B.B.; Zhang, Y.M. Leaf-root-soil N: P stoichiometry of ephemeral plants in a temperate desert in Central Asia. J. Plant Res. 2022, 135, 55–67. [Google Scholar] [CrossRef] [PubMed]
- Tao, Y.; Zhou, X.-B.; Zhang, Y.M.; Yin, B.F.; Li, Y.G.; Zang, Y.-X. Foliar C: N: P stoichiometric traits of herbaceous synusia and the spatial patterns and drivers in a temperate desert in Central Asia. Glob. Ecol. Conserv. 2021, 28, e01620. [Google Scholar] [CrossRef]
- Li, J.-Q.; Gong, W.-G. Characteristic Analysis of Nutrient Contents of Major Tree Species in Northeast China. Chin. J. Plant Ecol. 1991, 15, 380–385. [Google Scholar]
- Yin, H.; Zheng, H.; Zhang, B.; Tariq, A.; Lv, G.; Zeng, F.; Graciano, C. Stoichiometry of C: N: P in the roots of alhagi sparsifolia is more sensitive to soil nutrients than aboveground organs. Front. Plant Sci. 2021, 12, 698961. [Google Scholar] [CrossRef]
- Zhang, K.; Li, M.; Su, Y.; Yang, R. Stoichiometry of leaf carbon, nitrogen, and phosphorus along a geographic, climatic, and soil gradients in temperate desert of Hexi Corridor, northwest China. J. Plant Ecol. 2020, 13, 114–121. [Google Scholar] [CrossRef]
- Zhang, X.; Guan, T.; Zhou, J.; Cai, W.; Gao, N.; Du, H.; Jiang, L.; Lai, L.; Zheng, Y. Community characteristics and leaf stoichiometric traits of desert ecosystems regulated by precipitation and soil in an arid area of China. Int. J. Environ. Res. Public Health 2018, 15, 109. [Google Scholar] [CrossRef] [PubMed]
- Zhu, Z.X.; Harris, A.; Nizamani, M.M.; Thornhill, A.H.; Scherson, R.A.; Wang, H.F. Spatial phylogenetics of the native woody plant species in Hainan, China. Ecol. Evol. 2021, 11, 2100–2109. [Google Scholar] [CrossRef] [PubMed]
- Legendre, P. lmodel2: Model II Regression, R Package v.2018; Elsevier Science BV: Amsterdam, The Netherlands, 2018.
- Kerkhoff, A.J.; Fagan, W.F.; Elser, J.J.; Enquist, B.J. Phylogenetic and growth form variation in the scaling of nitrogen and phosphorus in the seed plants. Am. Nat. 2006, 168, E103–E122. [Google Scholar] [CrossRef] [PubMed]
- Luo, Y.; Peng, Q.; Li, K.; Gong, Y.; Liu, Y.; Han, W. Patterns of nitrogen and phosphorus stoichiometry among leaf, stem and root of desert plants and responses to climate and soil factors in Xinjiang, China. Catena 2021, 199, 105100. [Google Scholar] [CrossRef]
- Khan, A.; Yan, L.; Hasan, M.M.; Wang, W.; Xu, K.; Zou, G.; Liu, X.-D.; Fang, X.-W. Leaf traits and leaf nitrogen shift photosynthesis adaptive strategies among functional groups and diverse biomes. Ecol. Indic. 2022, 141, 109098. [Google Scholar] [CrossRef]
- Ma, S.; He, F.; Tian, D.; Zou, D.; Yan, Z.; Yang, Y.; Zhou, T.; Huang, K.; Shen, H.; Fang, J. Variations and determinants of carbon content in plants: A global synthesis. Biogeosciences 2018, 15, 693–702. [Google Scholar] [CrossRef]
- Freschet, G.T.; Valverde-Barrantes, O.J.; Tucker, C.M.; Craine, J.M.; McCormack, M.L.; Violle, C.; Fort, F.; Blackwood, C.B.; Urban-Mead, K.R.; Iversen, C.M. Climate, soil and plant functional types as drivers of global fine-root trait variation. J. Ecol. 2017, 105, 1182–1196. [Google Scholar] [CrossRef]
- Freschet, G.T.; Kichenin, E.; Wardle, D.A. Explaining within-community variation in plant biomass allocation: A balance between organ biomass and morphology above vs below ground? J. Veg. Sci. 2015, 26, 431–440. [Google Scholar] [CrossRef]
- Roumet, C.; Birouste, M.; Picon-Cochard, C.; Ghestem, M.; Osman, N.; Vrignon-Brenas, S.; Cao, K.F.; Stokes, A. Root structure-function relationships in 74 species: Evidence of a root economics spectrum related to carbon economy. New Phytol. 2016, 210, 815–826. [Google Scholar] [CrossRef]
- Wang, Z.; Huang, H.; Yao, B.; Deng, J.; Ma, Z.; Niklas, K.J. Divergent scaling of fine-root nitrogen and phosphorus in different root diameters, orders and functional categories: A meta-analysis. For. Ecol. Manag. 2021, 495, 119384. [Google Scholar] [CrossRef]
- Ning, Z.-Y.; Li, Y.-L.; Yang, H.-L.; Sun, D.-C.; Bi, J.-D. Carbon, nitrogen and phosphorus stoichiometry in leaves and fine roots of dominant plants in Horqin Sandy Land. Chin. J. Plant Ecol. 2017, 41, 1069. [Google Scholar]
- Wardle, D.; Greenfield, L. Release of mineral nitrogen from plant root nodules. Soil Biol. Biochem. 1991, 23, 827–832. [Google Scholar] [CrossRef]
- Venterink, H.O. Legumes have a higher root phosphatase activity than other forbs, particularly under low inorganic P and N supply. Plant Soil 2011, 347, 137–146. [Google Scholar] [CrossRef]
- McGroddy, M.E.; Daufresne, T.; Hedin, L.O. Scaling of C: N: P stoichiometry in forests worldwide: Implications of terrestrial redfield-type ratios. Ecology 2004, 85, 2390–2401. [Google Scholar] [CrossRef]
- Liu, G.; Ye, X.; Huang, Z.; Dong, M.; Cornelissen, J.H. Leaf and root nutrient concentrations and stoichiometry along aridity and soil fertility gradients. J. Veg. Sci. 2019, 30, 291–300. [Google Scholar] [CrossRef]
- Yang, X.; Chi, X.; Ji, C.; Liu, H.; Ma, W.; Mohhammat, A.; Shi, Z.; Wang, X.; Yu, S.; Yue, M. Variations of leaf N and P concentrations in shrubland biomes across northern China: Phylogeny, climate, and soil. Biogeosciences 2016, 13, 4429–4438. [Google Scholar] [CrossRef]
- Lambers, H.; Chapin, F.S.; Pons, T.L. Plant Physiological Ecology; Springer: Berlin/Heidelberg, Germany, 2008; Volume 2. [Google Scholar]
- Sardans, J.; Grau, O.; Chen, H.Y.; Janssens, I.A.; Ciais, P.; Piao, S.; Peñuelas, J. Changes in nutrient concentrations of leaves and roots in response to global change factors. Glob. Chang. Biol. 2017, 23, 3849–3856. [Google Scholar] [CrossRef]
- Yuan, Z.; Chen, H.Y.; Reich, P.B. Global-scale latitudinal patterns of plant fine-root nitrogen and phosphorus. Nat. Commun. 2011, 2, 344. [Google Scholar] [CrossRef]
- Zhao, H.; He, N.; Xu, L.; Zhang, X.; Wang, Q.; Wang, B.; Yu, G. Variation in the nitrogen concentration of the leaf, branch, trunk, and root in vegetation in China. Ecol. Indic. 2019, 96, 496–504. [Google Scholar] [CrossRef]
- Sterner, R.W.; Elser, J.J. Ecological Stoichiometry: The Biology of Elements from Molecules to the Biosphere; Princeton University Press: Princeton, NJ, USA, 2003. [Google Scholar]
- Geng, Y.; Wang, L.; Jin, D.; Liu, H.; He, J.-S. Alpine climate alters the relationships between leaf and root morphological traits but not chemical traits. Oecologia 2014, 175, 445–455. [Google Scholar] [CrossRef] [PubMed]
- Vitousek, P.M.; Porder, S.; Houlton, B.Z.; Chadwick, O.A. Terrestrial phosphorus limitation: Mechanisms, implications, and nitrogen-phosphorus interactions. Ecol. Appl. 2010, 20, 5–15. [Google Scholar] [CrossRef] [PubMed]
- Wardle, D.A.; Walker, L.R.; Bardgett, R.D. Ecosystem properties and forest decline in contrasting long-term chronosequences. Science 2004, 305, 509–513. [Google Scholar] [CrossRef] [PubMed]
- Zhang, J.; He, N.; Liu, C.; Xu, L.; Yu, Q.; Yu, G. Allocation strategies for nitrogen and phosphorus in forest plants. Oikos 2018, 127, 1506–1514. [Google Scholar] [CrossRef]
- Hobbie, S.E.; Nadelhoffer, K.J.; Högberg, P. A synthesis: The role of nutrients as constraints on carbon balances in boreal and arctic regions. Plant Soil 2002, 242, 163–170. [Google Scholar] [CrossRef]
- Yang, X.; Tang, Z.; Ji, C.; Liu, H.; Ma, W.; Mohhamot, A.; Shi, Z.; Sun, W.; Wang, T.; Wang, X. Scaling of nitrogen and phosphorus across plant organs in shrubland biomes across Northern China. Sci. Rep. 2014, 4, 5448. [Google Scholar] [CrossRef] [PubMed]
- Oleksyn, J.; Reich, P.; Zytkowiak, R.; Karolewski, P.; Tjoelker, M. Nutrient conservation increases with latitude of origin in European Pinus sylvestris populations. Oecologia 2003, 136, 220–235. [Google Scholar] [CrossRef]
- Zheng, S.; Shangguan, Z. Spatial patterns of leaf nutrient traits of the plants in the Loess Plateau of China. Trees 2007, 21, 357–370. [Google Scholar] [CrossRef]
- Reich, P.; Walters, M.; Ellsworth, D.; Uhl, C. Photosynthesis-nitrogen relations in Amazonian tree species: I. Patterns Among Species Communities. Oecologia 1994, 97, 62–72. [Google Scholar] [CrossRef]




| Ecosystem Type | n | αRMA (95% CLs) | ßRMA (95% CLs) | r2 | p |
|---|---|---|---|---|---|
| N | |||||
| All | 108 | 0.817 (0.677; 0.985) | −0.559 (−1.090; −0.029) | 0.039 | =0.041 |
| Desert | 87 | 1.169 (0.956; 1.424) a | −2.022 (−2.847; −1.197) | 0.147 | <0.01 |
| Steppe desert | 13 | 0.912 (0.572; 1.455) a | 0.061 (−1.319; 1.441) | 0.469 | <0.01 |
| Temperate desert | 8 | 0.360 (0.237; 0.548) b | 1.279 (0.943; 1.615) | 0.812 | <0.01 |
| P | |||||
| All | 108 | 2.102 (1.749; 2.528) | 0.290 (−0.076; 0.655) | 0.074 | <0.01 |
| Desert | 87 | 0.742 (0.609; 0.905) a | 1.735 (1.595; 1.875) | 0.145 | <0.01 |
| Steppe desert | 13 | −0.128 (−0.195; −0.084) b | 0.434 (0.381; 0.486) | 0.578 | <0.01 |
| Temperate desert | 8 | 1.106 (0.665; 1.838) a | 0.190 (−0.064; 0.443) | 0.718 | <0.01 |
| N:P | |||||
| All | 108 | 1.987 (1.653; 2.389) | −3.606 (−4.589; −2.622) | 0.077 | <0.01 |
| Desert | 87 | 2.111 (1.734; 2.568) a | −4.060 (−5.174; −2.946) | 0.161 | <0.01 |
| Steppe desert | 13 | 0.740 (0.484; 1.130) b | 0.713 (−0.067; 1.493) | 0.568 | <0.01 |
| Temperate desert | 8 | 1.307 (0.747; 2.289) ab | −2.362 (−4.674; −0.050) | 0.651 | =0.016 |
Disclaimer/Publisher’s Note: The statements, opinions and data contained in all publications are solely those of the individual author(s) and contributor(s) and not of MDPI and/or the editor(s). MDPI and/or the editor(s) disclaim responsibility for any injury to people or property resulting from any ideas, methods, instructions or products referred to in the content. |
© 2024 by the authors. Licensee MDPI, Basel, Switzerland. This article is an open access article distributed under the terms and conditions of the Creative Commons Attribution (CC BY) license (https://creativecommons.org/licenses/by/4.0/).
Share and Cite
Khan, A.; Liu, X.-D.; Waseem, M.; Qi, S.-H.; Ghimire, S.; Hasan, M.M.; Fang, X.-W. Divergent Nitrogen, Phosphorus, and Carbon Concentrations among Growth Forms, Plant Organs, and Soils across Three Different Desert Ecosystems. Forests 2024, 15, 607. https://doi.org/10.3390/f15040607
Khan A, Liu X-D, Waseem M, Qi S-H, Ghimire S, Hasan MM, Fang X-W. Divergent Nitrogen, Phosphorus, and Carbon Concentrations among Growth Forms, Plant Organs, and Soils across Three Different Desert Ecosystems. Forests. 2024; 15(4):607. https://doi.org/10.3390/f15040607
Chicago/Turabian StyleKhan, Alamgir, Xu-Dong Liu, Muhammad Waseem, Shi-Hua Qi, Shantwana Ghimire, Md. Mahadi Hasan, and Xiang-Wen Fang. 2024. "Divergent Nitrogen, Phosphorus, and Carbon Concentrations among Growth Forms, Plant Organs, and Soils across Three Different Desert Ecosystems" Forests 15, no. 4: 607. https://doi.org/10.3390/f15040607
APA StyleKhan, A., Liu, X.-D., Waseem, M., Qi, S.-H., Ghimire, S., Hasan, M. M., & Fang, X.-W. (2024). Divergent Nitrogen, Phosphorus, and Carbon Concentrations among Growth Forms, Plant Organs, and Soils across Three Different Desert Ecosystems. Forests, 15(4), 607. https://doi.org/10.3390/f15040607
