Impact of Intercropping on Nitrogen and Phosphorus Nutrient Loss in Camellia oleifera Forests on Entisol Soil
Abstract
1. Introduction
2. Materials and Methods
2.1. Study Site
2.2. Cite Selection and Site Preparation
2.3. Experimental Design and Runoff Sampling
2.4. Water Sample Analysis
2.5. Calculations
2.6. Statistical Analysis
3. Results
3.1. Effects of Treatments on N Concentration in Surface Runoff and Interflow in Purple Soil under Three Treatments
3.2. Effects of Treatments on P Concentration in Surface Runoff and Interflow in Purple Soil under Three Treatments
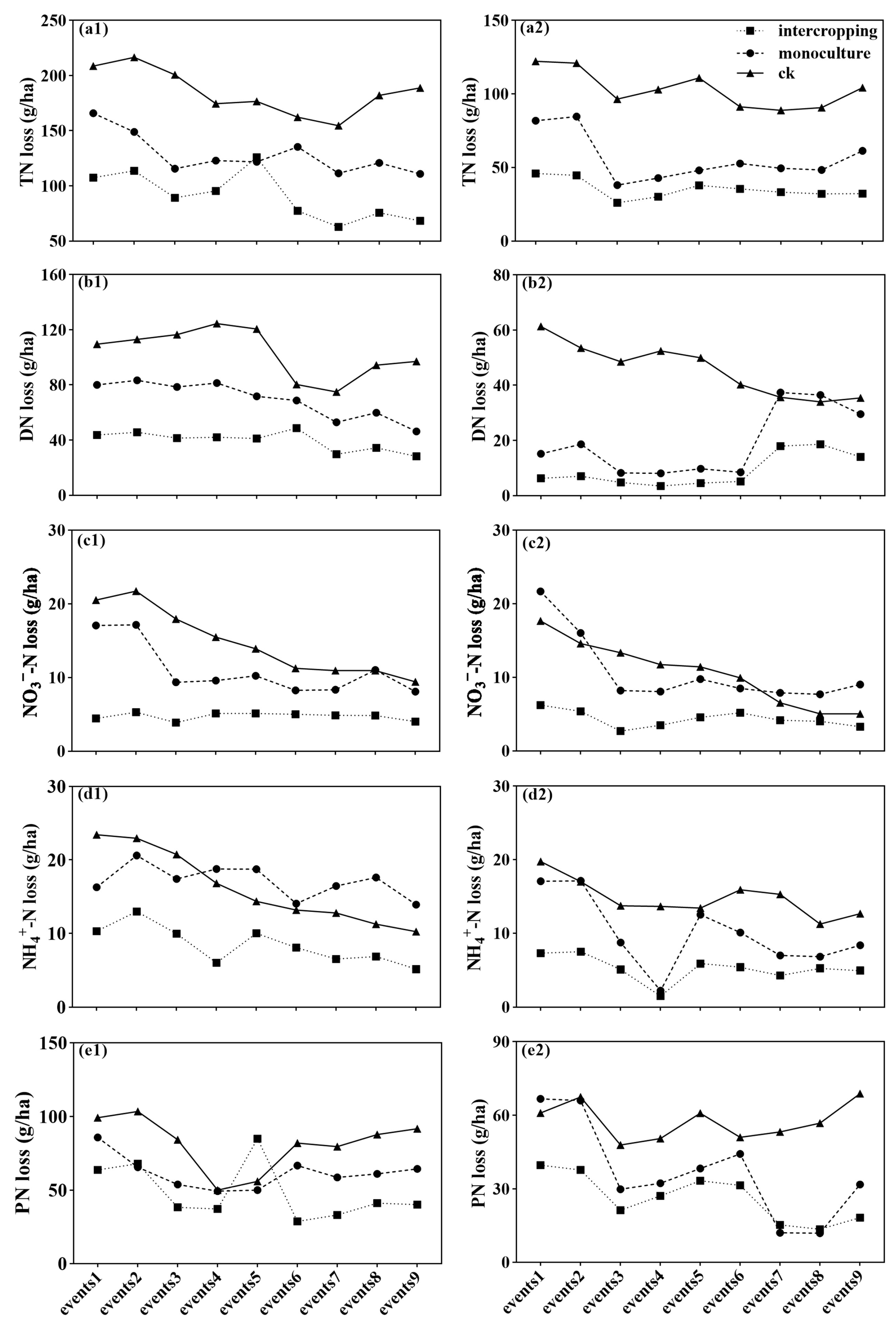
3.3. Effects of Intercropping on Surface Runoff and Interflow N Loss in C. oleifera Forests
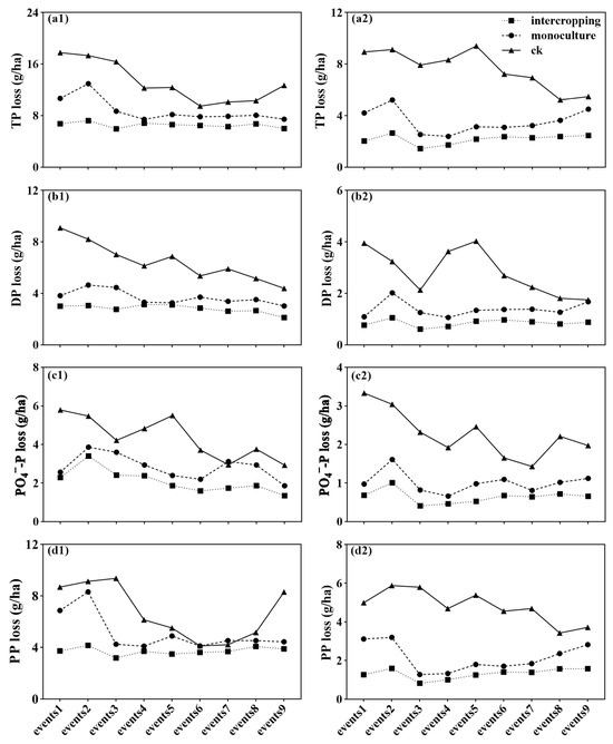
3.4. Effects of Treatments on Soil Surface Runoff and Interflow in Relation to P Loss in Purple Soil under Three Treatments
4. Discussion
4.1. The effects of Intercropping on N Loss in C. oleifera Forests on Purple Soil Slope Cultivated Land
4.2. The Effects of Treatments on Phosphorus Loss in C. oleifera Forests on Purple Soil Slope-Cultivated Land
5. Conclusions
Author Contributions
Funding
Data Availability Statement
Acknowledgments
Conflicts of Interest
References
- Bhat, S.A.; Dar, M.U.D.; Meena, R.S. Soil Erosion and Management Strategies. In Sustainable Management of Soil and Environment; Springer: Singapore, 2019; pp. 73–122. [Google Scholar]
- Quinton, J.N.; Govers, G.; Van Oost, K.; Bardgett, R.D. The impact of agricultural soil erosion on biogeochemical cycling. Nat. Geosci. 2010, 3, 311–314. [Google Scholar] [CrossRef]
- Goyette, J.O.; Bennett, E.M.; Maranger, R. Differential influence of landscape features and climate on nitrogen and phosphorus transport throughout the watershed. Biogeochemistry 2019, 142, 155–174. [Google Scholar] [CrossRef]
- Natural Resources Conservation Service, U.S. DEPARTMENT OF AGRICULTURE (USDA). Entisols. Available online: https://www.nrcs.usda.gov/conservation-basics/natural-resource-concerns/soils/entisols (accessed on 20 February 2024).
- de Lima, N.M.M.; Munoz-Rojas, M.; Vazquez-Campos, X.; Branco, L.H.Z. Biocrust cyanobacterial composition, diversity, and environmental drivers in two contrasting climatic regions in Brazil. Geoderma 2021, 386, 114914. [Google Scholar] [CrossRef]
- Yuan, X.; Shao, Y.; Li, Y.; Liu, Y.; Zhao, Y. Cultivated land quality improvement to promote revitalization of sandy rural areas along the Great Wall in northern Shaanxi Province, China. J. Rural Stud. 2022, 93, 367–374. [Google Scholar] [CrossRef]
- Tefera, B.; Sterk, G. Land management, erosion problems and soil and water conservation in Fincha’a watershed, western Ethiopia. Land Use Policy 2010, 27, 1027–1037. [Google Scholar] [CrossRef]
- Xu, Y.; Yang, X.; Xu, G.; Fu, J.; Cai, S.; Mu, X.; Zhou, T.; Zhang, W.; Chen, J.; Li, L.; et al. Assessment of Integrated Soil and Water Conservation Practices on Soil Erosion Risk in a Typical Red-Beds Watershed in South China. Water 2023, 15, 2613. [Google Scholar] [CrossRef]
- Yang, N.; Zou, D.; Yang, M.; Lin, Z. Variations in soil microbial biomass carbon and soil dissolved organic carbon in the re-vegetation of hilly slopes with purple soil. PLoS ONE 2016, 11, e0166536. [Google Scholar] [CrossRef][Green Version]
- Zhang, Y.; Xie, D.; Ni, J.; Zeng, X. Optimizing phosphate fertilizer application to reduce nutrient loss in a mustard (Brassica juncea var. tumida)-maize (Zea mays L.) rotation system in Three Gorges Reservoir area. Soil Tillage Res. 2019, 190, 78–85. [Google Scholar] [CrossRef]
- Khan, A.; Jan, M.T.; Marwat, K.B.; Arif, M. Organic and inorganic nitrogen treatments effects on plant and yield attributes of maize in a different tillage systems. Pak. J. Bot. 2009, 41, 99–108. [Google Scholar]
- Luo, S.; Yu, L.; Liu, Y.; Zhang, Y.; Yang, W.; Li, Z.; Wang, J. Effects of reduced nitrogen input on productivity and N2O emissions in a sugarcane/soybean intercropping system. Eur. J. Agron. 2016, 81, 78–85. [Google Scholar] [CrossRef]
- Zheng, F.; Huang, C.; Norton, L.D. Effects of near-surface hydraulic gradients on nitrate and phosphorus losses in surface runoff. J. Environ. Qual. 2004, 33, 2174–2182. [Google Scholar] [CrossRef]
- Himmatrao, M.S.; Raghavaiah, R.; Malamasuri Kadasiddappa, B.S. Influence of row ratio and zinc nutrition on yield, nutrient uptake and soil fertility status of maize (Zea mays)–soybean (Glycine max) intercropping systems under rainfed conditions. Environ. Ecol. 2014, 32, 169–173. [Google Scholar]
- Tu, S.; Chen, Y.; Zhu, Q.; Guo, Y.; Zhu, Z. Role and effect of cash crop hedgerows on controlling soil and water losses from sloping farmlands in the upper reaches of Yangtze River. J. Soil Water Conserv. 2005, 19, 1–5. [Google Scholar]
- Hauggaard-Nielsen, H.; Gooding, M.; Ambus, P.; Corre-Hellou, G.; Crozat, Y.; Dahlmann, C.; Dibet, A.; Von Fragstein, P.; Pristeri, A.; Monti, M. Pea–barley intercropping for efficient symbiotic N2-fixation, soil N acquisition and use of other nutrients in European organic cropping systems. Field Crop Res. 2009, 113, 64–71. [Google Scholar] [CrossRef]
- Song, Y.; Zhang, F.; Marschner, P.; Fan, F.; Gao, H.; Bao, X.; Sun, J.; Li, L. Effect of intercropping on crop yield and chemical and microbiological properties in rhizosphere of wheat (Triticum aestivum L.), maize (Zea mays L.), and faba bean (Vicia faba L.). Biol. Fertil. Soils 2007, 43, 565–574. [Google Scholar] [CrossRef]
- Li, L.; Zhang, F.; Li, X.; Christie, P.; Sun, J.; Yang, S.; Tang, C. Interspecific facilitation of nutrient uptake by intercropped maize and faba bean. Nutr. Cycl. Agroecosystems 2003, 65, 61–71. [Google Scholar] [CrossRef]
- Xia, H.; Wang, Z.; Zhao, J.; Sun, J.; Bao, X.; Christie, P.; Zhang, F.; Li, L. Contribution of interspecific interactions and phosphorus application to sustainable and productive intercropping systems. Field Crop Res. 2013, 154, 53–64. [Google Scholar] [CrossRef]
- Shittu, W.; Adedoyin, F.F.; Shah, M.I.; Musibau, H.O. An investigation of the nexus between natural resources, environmental performance, energy security and environmental degradation: Evidence from Asia. Resour. Policy 2021, 73, 102227. [Google Scholar] [CrossRef]
- Li, C.; Wu, Y.; Gao, B.; Zheng, K.; Wu, Y.; Li, C. Multi-scenario simulation of ecosystem service value for optimization of land use in the Sichuan-Yunnan ecological barrier, China. Ecol. Indic. 2021, 132, 108328. [Google Scholar] [CrossRef]
- Roberts, D.P.; Mattoo, A.K. Sustainable agriculture—Enhancing environmental benefits, food nutritional quality and building crop resilience to abiotic and biotic stresses. Agriculture 2018, 8, 8. [Google Scholar] [CrossRef]
- Zhang, J.; Yin, B.; Xie, Y.; Li, J.; Yang, Z.; Zhang, G. Legume-cereal intercropping improves forage yield, quality and degradability. PLoS ONE 2015, 10, e0144813. [Google Scholar] [CrossRef]
- Strehmel, A.; Schmalz, B.; Fohrer, N. Evaluation of land use, land management and soil conservation strategies to reduce non-point source pollution loads in the three gorges region, China. Environ. Manag. 2016, 58, 906–921. [Google Scholar] [CrossRef]
- Gou, F.; Van Ittersum, M.K.; Couëdel, A.; Zhang, Y.; Wang, Y.; van Der Putten, P.E.; Zhang, L.; Van Der Werf, W.J.A.P. Intercropping with wheat lowers nutrient uptake and biomass accumulation of maize, but increases photosynthetic rate of the ear leaf. AoB Plants 2018, 10, ply010. [Google Scholar] [CrossRef]
- Min, J.; Shi, W. Nitrogen discharge pathways in vegetable production as non-point sources of pollution and measures to control it. Sci. Total Environ. 2018, 613, 123–130. [Google Scholar] [CrossRef] [PubMed]
- Bright, M.B.; Diedhiou, I.; Bayala, R.; Assigbetse, K.; Chapuis-Lardy, L.; Ndour, Y.; Dick, R.P. Long-term Piliostigma reticulatum intercropping in the Sahel: Crop productivity, carbon sequestration, nutrient cycling, and soil quality. Ecosyst. Environ. 2017, 242, 9–22. [Google Scholar] [CrossRef]
- Mateus, G.; Crusciol, C.; Pariz, C.; Borghi, E.; Costa, C.; Martello, J.; Franzluebbers, A.; Castilhos, A.J.A.J. Sidedress nitrogen application rates to sorghum intercropped with tropical perennial grasses. Agron. J. 2016, 108, 433–447. [Google Scholar] [CrossRef]
- Xu, B.; Xu, W.; Wang, Z.; Chen, Z.; Palta, J.A.; Chen, Y. Accumulation of N and P in the legume Lespedeza davurica in controlled mixtures with the grass Bothriochloa ischaemum under varying water and fertilization conditions. Front. Plant Sci. 2018, 9, 165. [Google Scholar] [CrossRef] [PubMed]
- Lin, K.; Pei, J.; Li, P.; Ma, J.; Li, Q.; Yuan, D. Simultaneous determination of total dissolved nitrogen and total dissolved phosphorus in natural waters with an on-line UV and thermal digestion. Talanta 2018, 185, 419–426. [Google Scholar] [CrossRef]
- Worsfold, P.J.; Monbet, P.; Tappin, A.D.; Fitzsimons, M.F.; Stiles, D.A.; McKelvie, I.D. Characterisation and quantification of organic phosphorus and organic nitrogen components in aquatic systems: A review. Anal. Chim. Acta 2008, 624, 37–58. [Google Scholar] [CrossRef]
- Hodges, C.B.; Stone, B.M.; Johnson, P.K.; Carter, J.H., III; Sawyers, C.K.; Roby, P.R.; Lindsey, H.M. Researcher degrees of freedom in statistical software contribute to unreliable results: A comparison of nonparametric analyses conducted in SPSS, SAS, Stata, and R. Behav. Res. Methods 2023, 55, 2813–2837. [Google Scholar] [CrossRef]
- Glaze-Corcoran, S.; Hashemi, M.; Sadeghpour, A.; Jahanzad, E.; Herbert, S.J. Understanding intercropping to improve agricultural resiliency and environmental sustainability. Adv. Agron. 2020, 162, 199–256. [Google Scholar]
- Wang, Y.; He, L.; Xing, Y.; Zheng, Y.; Zhou, W.; Pian, R.; Yang, F.; Chen, X.; Zhang, Q. Dynamics of bacterial community and fermentation quality during ensiling of wilted and unwilted Moringa oleifera leaf silage with or without lactic acid bacterial inoculants. mSphere 2019, 4, 10–1128. [Google Scholar] [CrossRef] [PubMed]
- MacLaren, C.; Storkey, J.; Menegat, A.; Metcalfe, H.; Dehnen-Schmutz, K. An ecological future for weed science to sustain crop production and the environment. A review. Agron. Sustain. Dev. 2020, 40, 24. [Google Scholar] [CrossRef]
- Grogan, D.; Gilliland, T. A review of perennial ryegrass variety evaluation in Ireland. Ir. J. Agric. Food Res. 2011, 50, 65–81. [Google Scholar]
- O’neill, E.; Johnson, D.; Ledford, J.; Todd, D. Acute seasonal drought does not permanently alter mass loss and nitrogen dynamics during decomposition of red maple (Acer rubrum L.) litter. Glob. Change Biol. 2003, 9, 117–123. [Google Scholar] [CrossRef]
- Dai, X.; Li, X.; Zhang, D.; Chen, Y.; Dai, L. Simultaneous enhancement of methane production and methane content in biogas from waste activated sludge and perennial ryegrass anaerobic co-digestion: The effects of pH and C/N ratio. Bioresour. Technol. 2016, 216, 323–330. [Google Scholar] [CrossRef] [PubMed]
- Vrbnicanin, S.; Kresovic, M.; Bozic, D.; Simic, A.; Maletic, R.; Uludağ, A. The effect of ryegrass (Lolium italicum L.) stand densities on its competitive interaction with cleavers (Galium aparine L.). Turk. J. Agric. For. 2012, 36, 121–131. [Google Scholar] [CrossRef]
- Xu, S.; Li, P.; Sayer, E.J.; Zhang, B.; Wang, J.; Qiao, C.; Peng, Z.; Diao, L.; Chi, Y.; Liu, W. Initial soil organic matter content influences the storage and turnover of litter, root and soil carbon in grasslands. Ecosystems 2018, 21, 1377–1389. [Google Scholar] [CrossRef]
- Baptista, I.; Ritsema, C.; Querido, A.; Ferreira, A.; Geissen, V. Improving rainwater-use in Cabo Verde drylands by reducing runoff and erosion. Geoderma 2015, 237, 283–297. [Google Scholar] [CrossRef]
- Li, T.; Zhou, P.; Ding, Y.; Tang, Q.; Zhou, S.; Liu, Y. Distribution characteristics and source analysis of nitrogen and phosphorus in different rivers in two water period: A case study of Pi River and Shiting River in the upper reaches of Tuo River in China. Int. J. Environ. Res. Public Health 2022, 19, 12433. [Google Scholar] [CrossRef]
- Zheng, H.; Liu, Z.; Zuo, J.; Wang, L.; Nie, X. Characteristics of nitrogen loss through surface-subsurface flow on red soil slopes of Southeast China. Eurasian Soil Sci. 2017, 50, 1506–1514. [Google Scholar] [CrossRef]
- Chen, X.; Huang, Y.; Zhao, Y.; Mo, B.; Mi, H. Comparison of loess and purple rill erosions measured with volume replacement method. J. Hydrol. 2015, 530, 476–483. [Google Scholar] [CrossRef]
- Zhao, P.; Tang, X.; Tang, J.; Zhu, B. The nitrogen loss flushing mechanism in sloping farmlands of shallow Entisol in southwestern China: A study of the water source effect. Arab. J. Geosci. 2015, 8, 10325–10337. [Google Scholar] [CrossRef]
- Meyer, R.; Sinnett, A.; Perera, R.; Cullen, B.; Malcolm, B.; Eckard, R.J. The potential of deep roots to mitigate impacts of heatwaves and declining rainfall on pastures in Southeast Australia. Plants 2021, 10, 1641. [Google Scholar] [CrossRef] [PubMed]
- Barger, N.N.; Castle, S.C.; Dean, G.N. Denitrification from nitrogen-fixing biologically crusted soils in a cool desert environment, southeast Utah, USA. Ecol. Process. 2013, 2, 16. [Google Scholar] [CrossRef]
- Li, J.; Luo, J.; Shi, Y.; Lindsey, S.; Houlbrooke, D.; Ledgard, S. Nitrous oxide emissions from dairy farm effluent applied to a New Zealand pasture soil. Soil Use Manag. 2015, 31, 279–289. [Google Scholar] [CrossRef]
- Coskun, D.; Britto, D.T.; Shi, W.; Kronzucker, H.J. Nitrogen transformations in modern agriculture and the role of biological nitrification inhibition. Nat. Plants 2017, 3, 17074. [Google Scholar] [CrossRef]
- Yang, D.; Zhao, J.; Bi, C.; Li, L.; Wang, Z. Transcriptome and Proteomics Analysis of Wheat Seedling Roots Reveals That Increasing NH4+/NO3– ratio induced root lignification and reduced nitrogen utilization. Front. Plant Sci. 2022, 12, 797260. [Google Scholar] [CrossRef]
- Wang, Z.; Li, S. Nitrate N loss by leaching and surface runoff in agricultural land: A global issue (a review). Adv. Agron. 2019, 156, 159–217. [Google Scholar]
- Wang, T.; Xiao, W.; Huang, Z.; Zeng, L. Interflow pattern govern nitrogen loss from tea orchard slopes in response to rainfall pattern in Three Gorges Reservoir Area. Agric. Water Manag. 2022, 269, 107684. [Google Scholar] [CrossRef]
- Vanni, M.J.; Renwick, W.H.; Headworth, J.L.; Auch, J.D.; Schaus, M.H. Dissolved and particulate nutrient flux from three adjacent agricultural watersheds: A five-year study. Biogeochemistry 2001, 54, 85–114. [Google Scholar] [CrossRef]
- Jing, X.; Li, L.; Chen, S.; Shi, Y.; Xu, M.; Zhang, Q. Straw returning on sloping farmland reduces the soil and water loss via surface flow but increases the nitrogen loss via interflow. Agric. Ecosyst. Environ. 2022, 339, 108154. [Google Scholar] [CrossRef]
- Lin, J.; Fang, N.; Zhang, Y.; Zeng, Y.; Yang, D.; Dai, W.; Wang, L.; Shi, Z. Dynamics of soil organic carbon in different-sized aggregates under splash erosion. J. Soils Sediments 2022, 22, 1713–1723. [Google Scholar] [CrossRef]
- Guzha, A.C.; Rufino, M.C.; Okoth, S.; Jacobs, S.; Nóbrega, R.L.B. Impacts of land use and land cover change on surface runoff, discharge and low flows: Evidence from East Africa. J. Hydrol.-Reg. Stud. 2018, 15, 49–67. [Google Scholar] [CrossRef]
- Jones, J.A.; Creed, I.F.; Hatcher, K.L.; Warren, R.J.; Adams, M.B.; Benson, M.H.; Williams, M.W. Ecosystem processes and human influences regulate streamflow response to climate change at long-term ecological research sites. BioScience 2012, 62, 390–404. [Google Scholar] [CrossRef]
- Wang, S.; Fu, Z.; Chen, H.; Nie, Y.; Xu, Q.J.E. Mechanisms of surface and subsurface runoff generation in subtropical soil-epikarst systems: Implications of rainfall simulation experiments on karst slope. J. Hydrol. 2020, 580, 124370. [Google Scholar] [CrossRef]
- Jarvis, N.J. A review of non-equilibrium water flow and solute transport in soil macropores: Principles, controlling factors and consequences for water quality. Eur. J. Soil Sci. 2007, 58, 523–546. [Google Scholar] [CrossRef]
- Du, E.; Jackson, C.R.; Klaus, J.; McDonnell, J.J.; Griffiths, N.A.; Williamson, M.F.; Greco, J.L.; Bitew, M. Interflow dynamics on a low relief forested hillslope: Lots of fill, little spill. J. Hydrol. 2016, 534, 648–658. [Google Scholar] [CrossRef]
- Blanco-Canqui, H.; Gantzer, C.; Anderson, S.; Alberts, E.; Thompson, A. Grass barrier and vegetative filter strip effectiveness in reducing runoff, sediment, nitrogen, and phosphorus loss. Soil Sci. Soc. Am. J. 2004, 68, 1670–1678. [Google Scholar] [CrossRef]
- Wang, Z.; Bao, X.; Li, X.; Jin, X.; Zhao, J.; Sun, J.; Christie, P.; Li, L. Intercropping maintains soil fertility in terms of chemical properties and enzyme activities on a timescale of one decade. Plant Soil 2015, 391, 265–282. [Google Scholar] [CrossRef]
- Kamh, M.; Abdou, M.; Chude, V.; Wiesler, F.; Horst, W.J. Mobilization of phosphorus contributes to positive rotational effects of leguminous cover crops on maize grown on soils from northern Nigeria. J. Plant Nutr. Soil Sci. 2002, 165, 566–572. [Google Scholar] [CrossRef]
- Palanivell, P.; Ahmed, O.H.; Omar, L.; Majid, N.M.A. Nitrogen, Phosphorus, and Potassium Adsorption and Desorption Improvement and Soil Buffering Capacity Using Clinoptilolite Zeolite. Agronomy 2021, 11, 379. [Google Scholar] [CrossRef]
- Dougherty, W.J.; Mason, S.D.; Burkitt, L.L.; Milham, P.J. Relationship between phosphorus concentration in surface runoff and a novel soil phosphorus test procedure (DGT) under simulated rainfall. Soil Res. 2011, 49, 523–528. [Google Scholar] [CrossRef]







| Index | Soil Depth (cm) | Treatments | |
|---|---|---|---|
| CK | Monoculture | ||
| pH | 0–20 | 4.1 ± 0.03 b | 4.4 ± 0.03 a |
| SOC (g/kg) | 0–20 | 4.73 ± 0.08 b | 5.76 ± 0.15 a |
| TN (g/kg) | 0–20 | 0.59 ± 0.06 b | 0.74 ± 0.04 a |
| TP (g/kg) | 0–20 | 0.05 ± 0.01 a | 0.06 ± 0.01 a |
| NO3−-N (mg/kg) | 0–20 | 37.46 ± 1.57 a | 39.88 ± 0.91 a |
| NH4+-N (mg/kg) | 0–20 | 3.45 ± 0.11 a | 3.87 ± 0.18 a |
| Source | DF | TN | DN | NO3−-N | NH4+-N | PN | |||||
|---|---|---|---|---|---|---|---|---|---|---|---|
| F | p | F | p | F | p | F | p | F | p | ||
| Treatment (T) | 2 | 1195.228 | 0.000 *** | 4633.242 | 0.000 *** | 558.196 | 0.000 *** | 400.033 | 0.000 *** | 2055.354 | 0.000 *** |
| Runoff layer (R) | 1 | 846.858 | 0.000 *** | 809.804 | 0.000 *** | 2714.924 | 0.000 *** | 2321.004 | 0.000 *** | 211.884 | 0.000 *** |
| Event (E) | 8 | 172.422 | 0.000 *** | 85.641 | 0.000 *** | 206.306 | 0.000 *** | 203.679 | 0.000 *** | 233.856 | 0.000 *** |
| T × R | 2 | 19.522 | 0.000 *** | 128.096 | 0.000 *** | 201.720 | 0.000 *** | 27.314 | 0.000 *** | 741.550 | 0.000 *** |
| T × E | 16 | 6.492 | 0.000 *** | 139.004 | 0.000 *** | 35.196 | 0.000 *** | 20.617 | 0.000 *** | 53.324 | 0.000 *** |
| R × E | 8 | 7.051 | 0.000 *** | 309.342 | 0.000 *** | 57.086 | 0.000 *** | 60.360 | 0.000 *** | 28.379 | 0.000 *** |
| T × R × E | 16 | 2.874 | 0.001 ** | 119.340 | 0.000 *** | 9.069 | 0.000 *** | 27.267 | 0.000 *** | 41.261 | 0.000 *** |
| Source | DF | TP | DP | PO4−-P | PP | ||||||
| F | p | F | p | F | p | F | p | ||||
| Treatment (T) | 2 | 16.562 | 0.000 *** | 3.360 | 0.002 ** | 3.317 | 0.002 * | 6.871 | 0.000 *** | ||
| Runoff layer (R) | 1 | 172.429 | 0.000 *** | 33.636 | 0.000 *** | 16.930 | 0.000 *** | 51.599 | 0.000 *** | ||
| Event (E) | 8 | 36.479 | 0.000 *** | 0.203 | 0.653 | 0.217 | 0.642 | 41.941 | 0.000 *** | ||
| T × R | 2 | 5.661 | 0.000 *** | 2.093 | 0.014 * | 0.854 | 0.622 | 2.658 | 0.001 ** | ||
| T × E | 16 | 1.025 | 0.422 | 0.445 | 0.891 | 0.258 | 0.978 | 0.413 | 0.911 | ||
| R × E | 8 | 8.618 | 0.000 *** | 0.463 | 0.630 | 0.456 | 0.635 | 12.665 | 0.000 *** | ||
| T × R × E | 16 | 1.434 | 0.140 | 0.216 | 0.999 | 0.246 | 0.999 | 1.093 | 0.371 | ||
Disclaimer/Publisher’s Note: The statements, opinions and data contained in all publications are solely those of the individual author(s) and contributor(s) and not of MDPI and/or the editor(s). MDPI and/or the editor(s) disclaim responsibility for any injury to people or property resulting from any ideas, methods, instructions or products referred to in the content. |
© 2024 by the authors. Licensee MDPI, Basel, Switzerland. This article is an open access article distributed under the terms and conditions of the Creative Commons Attribution (CC BY) license (https://creativecommons.org/licenses/by/4.0/).
Share and Cite
Zhang, Y.; Lei, J.; Peng, Y.; Chen, X.; Li, B.; Chen, Y.; Xu, Y.; Farooq, T.H.; Wu, X.; Wang, J.; et al. Impact of Intercropping on Nitrogen and Phosphorus Nutrient Loss in Camellia oleifera Forests on Entisol Soil. Forests 2024, 15, 461. https://doi.org/10.3390/f15030461
Zhang Y, Lei J, Peng Y, Chen X, Li B, Chen Y, Xu Y, Farooq TH, Wu X, Wang J, et al. Impact of Intercropping on Nitrogen and Phosphorus Nutrient Loss in Camellia oleifera Forests on Entisol Soil. Forests. 2024; 15(3):461. https://doi.org/10.3390/f15030461
Chicago/Turabian StyleZhang, Yi, Junjie Lei, Yuanying Peng, Xiaoyong Chen, Bowen Li, Yazhen Chen, Yichen Xu, Taimoor Hassan Farooq, Xiaohong Wu, Jun Wang, and et al. 2024. "Impact of Intercropping on Nitrogen and Phosphorus Nutrient Loss in Camellia oleifera Forests on Entisol Soil" Forests 15, no. 3: 461. https://doi.org/10.3390/f15030461
APA StyleZhang, Y., Lei, J., Peng, Y., Chen, X., Li, B., Chen, Y., Xu, Y., Farooq, T. H., Wu, X., Wang, J., & Yan, W. (2024). Impact of Intercropping on Nitrogen and Phosphorus Nutrient Loss in Camellia oleifera Forests on Entisol Soil. Forests, 15(3), 461. https://doi.org/10.3390/f15030461

