Next Article in Journal
A Novel Framework for Forest Above-Ground Biomass Inversion Using Multi-Source Remote Sensing and Deep Learning
Next Article in Special Issue
Involvement of the Transporter CgTrk1 in Potassium Uptake, Invasive Growth, and Full Virulence in Colletotrichum gloeosporioides
Previous Article in Journal
A Review of the Sediment Production and Transport Processes of Forest Road Erosion
Previous Article in Special Issue
The Influence of Bioclimates and Soil Physicochemical Properties on Bacterial and Archaeal Communities from Forest Ecosystems in Côte d’Ivoire (West Africa)
 
 
Font Type:
Arial Georgia Verdana
Font Size:
Aa Aa Aa
Line Spacing:
Column Width:
Background:
Article

Production of Bamboo Source Microbial Fertilizer and Evaluate Its Effect on Soil Organic Carbon Fractions in Moso Bamboo Plantations in South China

1
China National Bamboo Research Center, Key Laboratory of State Forestry and Grassland Administration on Bamboo Forest Ecology and Resource Utilization, Hangzhou 310012, China
2
National Long-Term Observation and Research Station for Forest Ecosystem in Hangzhou-Jiaxing-Huzhou Plain, Hangzhou 310012, China
3
Engineering Research Center of Biochar of Zhejiang Province, Hangzhou 310012, China
*
Author to whom correspondence should be addressed.
Forests 2024, 15(3), 455; https://doi.org/10.3390/f15030455
Submission received: 17 January 2024 / Revised: 12 February 2024 / Accepted: 27 February 2024 / Published: 28 February 2024
(This article belongs to the Special Issue Diversity, Taxonomy and Functions of Forest Microorganisms)

Abstract

Bamboo shoot processing wastewater (BBPW) is rich in organic matter and organic acids and can be used as a nutrient source for microbial growth and biofertilization. In this study, Pseudomonas K22-D and Terribacillus goriness CS3 were isolated from bamboo forest soil with plant growth-promoting properties. Biofertilizers were prepared by inoculating bacteria into BBPW, and the effects of their application in a bamboo forest were evaluated. The chemical oxygen demand, TOC, TN, and NH4-N contents decreased after inoculation, indicating that the bacteria were able to degrade macromolecules in BBPW. The BBPW biofertilizer produced by mixed bacteria (CS3 + K22-D) significantly improved the soil organic carbon and mineral-associated organic carbon content and reduced the pH, alkali-hydrolysable nitrogen, available phosphorus, and available potassium content of the soils in the bamboo forest, which might be attributed to the high C:N ratio and microbial synergism in the biofertilizer and the fast growth period of bamboo shoots. Notably, the CS3 biofertilizer significantly increased soil-available phosphorus (90.25%), and the K22-D biofertilizer significantly decreased soil-available phosphorus (70.33%) compared with CK, suggesting that the presence of inorganic phosphorus-solubilizing bacteria can promote soil P. We believe that the return of inoculated bamboo shoot processing wastewater to bamboo plantations can be an eco-friendly, sustainable practice for bamboo forest management.

1. Introduction

Bamboo is widely distributed worldwide, and bamboo forests are “the world’s second-largest forest” type [1]. Notably, there are many bamboo and bamboo shoot processing factories, and they significantly boost local economies. China is the largest producer of bamboo shoots, with approximately 5–6 million tons of bamboo shoots annually [2,3].
The scale of bamboo shoot processing has expanded, and economic benefits have increased, but there are environmental risks [4]. In particular, the water demand for cleaning, boiling, and rinsing in bamboo shoot processing is high, and the seasonality of wastewater discharge is strong. Approximately 2 t of wastewater is discharged per 1 t of boiled bamboo shoots [5]. In China, bamboo shoot processing wastewater (BBPW) is discharged at a rate of approximately 10–12 million tons per year. Direct discharge of untreated bamboo shoot processing wastewater can cause severe water and soil pollution [6,7].
However, unlike industrial wastewater, BBPW contains almost no toxic or harmful substances. It is enriched with organic matter, lignin, cellulose, pectin, fructose, sodium sulfite, or salt [6]. Thus, BBPW resource recovery has substantial potential for sustainability.
Microbial fertilizer that provide nutrient-sourced wastewater have become an important initiative for sustainable development and agricultural production [8]. Microbial fertilizer is a new type of biological fertilizer that contains live beneficial microorganisms (e.g., nitrogen-fixing bacteria, phosphate-solubilizing bacteria, heavy metal ion-absorbing bacteria, and organic matter-decomposing bacteria), which have the advantage of improving soil fertility by maintaining the physical properties of the soil, encouraging the antagonism of plant pathogenic bacteria, and promoting plant growth [9,10,11]. Another study found that food wastewater can be used as a phosphate-solubilizing bacteria (PSB) liquid fertilizer to promote plant growth and increase the soil phosphorus and catalase activity [10]. This approach of using wastewater as a source of microbial nutrients not only reduces the workload of organic matter degradation in wastewater treatment factories but also provides a new pathway for the resourceful use of organic wastewater [8,11]. However, there is a shortage of germplasm resources and a single-bacterial function of the known biotrophic bacteria, which can only alleviate a certain fertility deficiency in the soil.
Plant growth-promoting bacteria (PGPB) help plants grow by supplying nitrogen, phosphorus, and potassium, and hormones [12]. Screening of PGPB from natural environments has been conducted in many fields [12,13,14]. Bamboo forests growth-promoting bacteria have received less attention than PGPB. Moreover, many PGPB have enzymatic properties (e.g., proteases, cellulases, lipases, amylases, and extracellular polysaccharides), essential for the degradation of complex organic matter and harmful substances [15,16,17,18]. However, according to our review of the literature, no studies have investigated the combination of BBPW and PGPB prepared as microbial fertilizers and applied in the field.
The main objectives of this study were to: (1) isolate PGPB from bamboo plantations and find the suitable conditions for the inoculation of the PGPB in the wastewater of bamboo shoot processing (liquid biofertilizer), and (2) apply the prepared liquid biofertilizers in the bamboo plantation and evaluate their effect on soil fertility. We hypothesized that (1) bacteria isolated from soil can survive in bamboo shoot processing wastewater and can degrade high concentrations of organic matter, and that (2) BBPW-biofertilizer affects soil fertility, with carbon being the primary sensitive element in Moso bamboo plantations soils. This study aims to provide a feasible solution to the pollution problem caused by bamboo shoot processing wastewater and open up a new method of wastewater resource utilization.

2. Materials and Methods

2.1. Isolation and Identification of PGPB

The soil was diluted to 10−2, 10−3, and 10−4 and incubated for 24–48 h at 30 °C, and 100 μL of the diluent was spread on Luria-Bertani (LB) medium. Microbial colonies obtained from the agar plates were screened for phosphorus solubilization, nitrogen fixation, iron carrier secretion, indole acetic acid, and enzyme function using bacterial functional media (organic phosphorus medium, inorganic phosphorus medium, chrome azurol S assay, Ashby’s medium, skimmed milk agar, soluble starch medium, and tryptophan medium). Reference to Supplementary Materials for medium composition. Strains with more than four functions were purified based on the appearance of a clear water ring or a chromogenic reaction on the functional medium; they were designated K22-D and CS3, respectively, and stored at −80 °C (broth to glycerol ratio 7:3, v/v).
We further extracted and amplified the genomes of the two strains using universal primers (27F: AGAGTTTGATCMTGGCTCAG and 1492R: GGTTACCTTGTTACGACTT) and performed biochemical tests for bacterial identification. The 16S rRNA sequencing of the two strains was performed by Sangon Biotech (Shanghai, China). The obtained 16S RNA sequences were compared with those from NCBI, and the neighbor-joining method was used to construct an evolutionary tree. The strains were conserved at the China General Microbiological Culture Collection Center (CGMCC No. 26735; CGMCC No. 26119).

2.2. Wastewater Collection and BBPW-Fertilizer Preparation

Wastewater samples were collected from a bamboo shoot processing factory in Anji County, Zhejiang Province, China (May 2022). The basic physical and chemical characteristics of the bamboo shoot processing wastewater are shown in Table 1. Wastewater samples were stored in a refrigerator at 4 °C for subsequent testing. To ensure homogeneity of the wastewater samples, the wastewater samples were collected from each of the five drums in the anaerobic reactor and mixed into one sample (Supplementary Materials).
The pH of wastewater samples was adjusted to 6.5–7 (2 mol·L−1 NaOH); the samples were centrifuged (4000 rpm, 4 °C, 5 min) and filtered through a glass fiber membrane (pore size 0.45 μm) [19]. The supernatant was sterilized in an autoclave (121 °C, 20 min), cooled, and used as a microbial culture for testing, with distilled water as control [20]. Then, the two isolated strains, CS3 and K22-D, were inoculated in sterile wastewater and cultured for 6 days, respectively. Meanwhile, the fermentation products were taken every 24 h under aseptic conditions and filtered through a 0.45 μm filter.
All experiments were performed with five biological replicates. The following parameters were determined: The physicochemical characteristics of the wastewater (Ammonium nitrogen (NH4-N), total phosphorus (TP), and chemical oxygen demand (COD), and turbidity) were determined using a multiparameter water quality meter 5B-6C by Lianhua YongXing Science and Technology Development Co., Ltd. (Beijing, China) (SEPA, 2002). The TN content was determined using a TOC analyzer (Multi N/C 3100, Analytik Jena, Germany). The pH and EC of each sample were measured using a benchtop pH meter (PHS-3E, Shanghai, China) and conductivity meter (Mettler Toledo S30, Shanghai, China), respectively.

2.3. Optimization of Various Growth Parameters

The PGPB isolates were grown in LB broth to study the various optimization conditions [21]. One-factor-at-a-time methods [22] with a carbon source (Carboxymethyl Cellulose-Na (CMC-Na), glucose, sucrose, maltose, and Na2CO3), nitrogen source (Peptone, pancreatic Peptone, urea, and (NH4)2SO4), pH (3~9), and inoculation rate (2%, 4%, 6%, 8%, and 10%) were used to determine the optimal environmental conditions for the growth of the CS3 and K22-D strains. Their growth was measured using a fully automated bacterial growth curve meter (Bioscreen C PRO, Helsinki, Finland) at the regular time interval of 24 h at 600 nm.

2.4. Field Experiment and Soil Sample Preparation

This study was conducted in Tianhuanping Town, Anji County, Zhejiang Province, China (30°29′ N, 119°42 E). This region has a subtropical monsoon climate, a mean annual temperature of 16.2 °C and an annual precipitation of 1300 mm. The plant types were dog’s spine fern, hare’s umbrella, lox, white septoria, baoduo grass, and bilberry, and the soil type was Ferralsols according to the FAO classification system [4]. Four 10 m × 10 m sampling plots with the same slope, slope surface, and elevation were established for the Moso bamboo plantation (August 2022). Before use, the liquid BBPW-fertilizer was diluted with tap water at a dilution ratio of 15:1 (v/v). The liquid BBPW-fertilizer was automatically sprayed on the soil surface (thrice at two-week intervals, 450 L/hm2); tap water was the control (no-fertilizer).
In each sampling plot, soil was collected using a 5-point sampling method (April, 2023). To remove visible roots, plant residues, and stones, the fresh soil samples were sieved through a 2 mm sieve. A total of 20 fresh soil samples were collected transported to the laboratory as soon as possible in holding boxes, partly air dried for testing, and partly frozen at −80 °C. Five replicates collected from each group, and five points were collected from each replicate.

2.5. Soil Fractions and Soil Sample Analyses

Soil bulk density was determined using the ring knife method. Soil pH was recorded from a soil suspension (with a soil: water ratio of 1:2.5) using a pH meter (PHS-3E; REX, Shanghai, China). Alkali-hydrolysable nitrogen (AN) content was determined using the 1 M NaOH alkali solution diffusion method. Available phosphorus (AP) content was determined using 0.03 M HCl-NH4F. Available potassium (AK) content was determined using the 1 M CH3COONH4 solution-flame photometer method. Total soil organic C (SOC) was analyzed using a total organic carbon analyzer (Multi N/C 3100; Analytik, Jena, Jena-Göschwitz, Germany). SOC fractions were measured using physical fractionation methods. Particulate organic carbon (POC) and mineral-associated organic carbon (MAOC) were measured using 5% Na(PO3)6 dispersion method and sieved over a 53 μm mesh sieve [23]. The aggregate fraction > 53 μm (POC) was dried at 60 °C and weighted, and their carbon content was determined. The second fraction < 53 μm (MAOC) was the difference between the SOC and POC. Soil samples were sieved through a 150 μm sieve, and the total soil organic C (SOC) was analyzed using a total organic carbon analyzer (Multi N/C 3100; Analytik Jena, Germany).

2.6. Statistical Analysis

All statistical analyses were performed using IBM SPSS Statistics software (version 26.0). One-way ANOVA and post-hoc Tukey’s tests were used to analyze the significance of the variations in wastewater properties and soil properties among the microbial fertilizers. Different letters in all the figures and tables indicate significant differences (p < 0.05). Graphs were plotted using the Origin (version 2023b) and R programming language (version 4.1.3). Principal component analysis (PCA) was conducted to analyze the relationships between basic soil properties and soil carbon fractions.

3. Results

3.1. Isolation and Screening of PGPB

Two bacterial strains with promoting functions were screened from bamboo plantation soil using seven special media, and the size of the clear water circle represented the ability to promote plant growth. The CS3 strain could fix nitrogen, solubilize inorganic phosphorus, and produce proteases, while the K22-D strain exhibited organic phosphorus solubilization, indole acetic acid, iron carrier, and amylase (Figure 1). Phylogenetic analysis and biochemical test revealed that the strains K22-D and CS3 were >99% identical to Pseudomonas (1012 CFU·mL−1) and Terribacillus goriness (108 CFU·mL−1) (Table 2, Figure 2A). On the basis of this information, K22-D and CS3 were identified as the species of Pseudomonas and Terribacillus goriness, respectively.

3.2. Optimization of CS3 and K22-D Culture Conditions

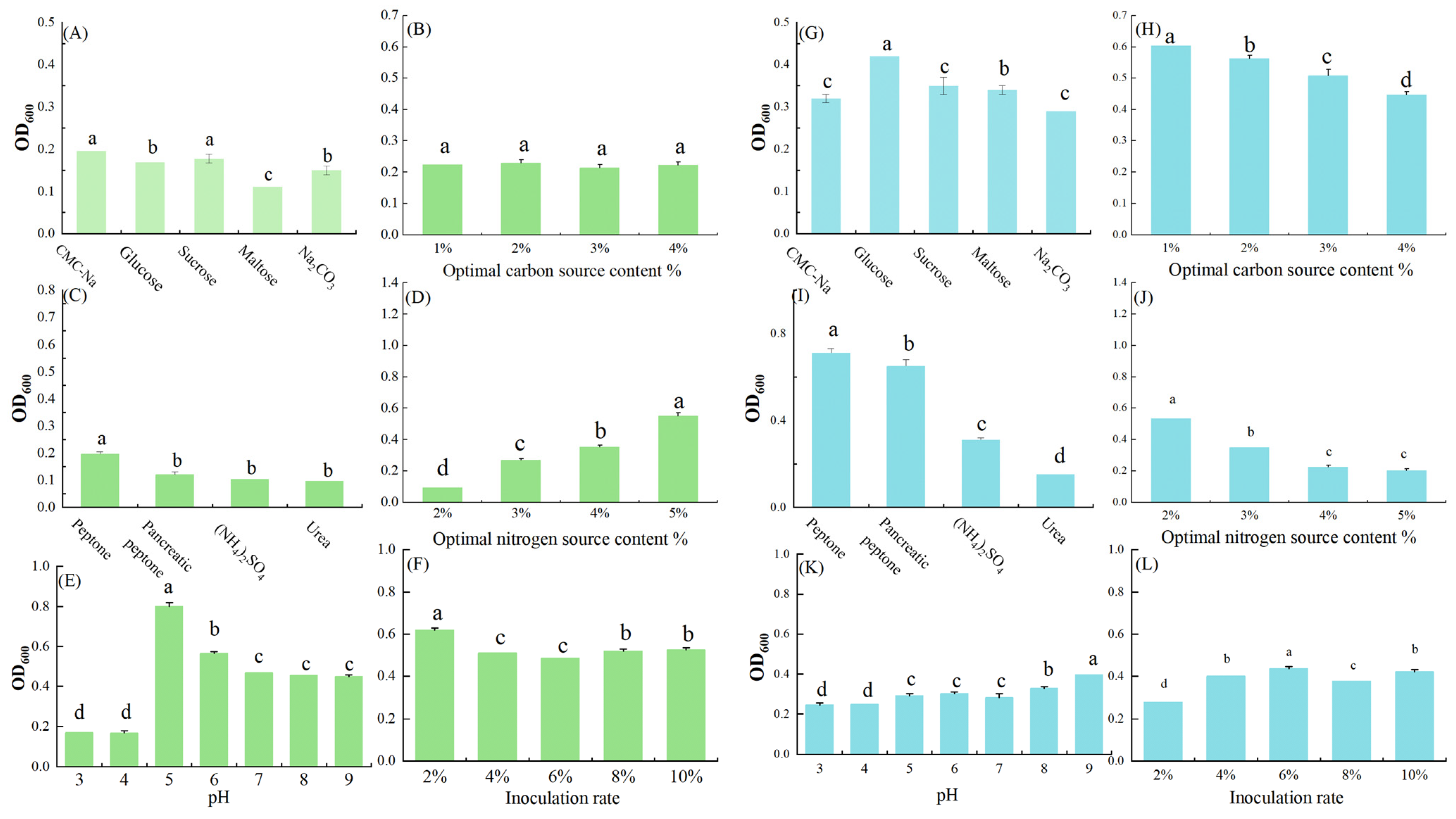
The liquid fertilizer preparation from culturing the CS3 and K22-D in BBPW, the pH, carbon and nitrogen sources, and the inoculum levels of the two bacteria were investigated in the culture conditions (Figure 3). It displays that CS3 strain had the highest OD600 value utilizing sucrose and peptone as carbon and nitrogen sources and the highest OD600 of CS3 strain at pH 5 (Figure 3A–F). Whereas the K22-D strain had the highest OD600 value utilizing glucose and peptone as carbon and nitrogen sources and adapted to neutral and alkaline environments. The sucrose and peptone were conducive to the growth of bacteria by providing sufficient nutrient (Figure 3G–L).

3.3. Biological Treatment of the Bamboo Shoot Wastewater

The growth rate of the K22-D strain in BBPW was significantly higher than that of the CS3 strain, and the mixture of the two bacteria entered the logarithmic growth phase at 40 h (Figure 4A). This finding indicates that the CS3 and K22-D strains could grow gradually in BBPW without any extra nutrients, and the OD600 value increased with time. The concentration of COD was 40.90%–79.40% less than the initial concentration for the single-bacteria and mixed-bacteria groups cultured in BBPW. Moreover, the COD concentration of mixed bacteria was lower than that of single-bacteria groups and gradually decreased to be the lowest (8.47 mg·L−1) (Figure 4B). Compared with CK, single-bacterial CS3 and K22-D groups had increased TN concentrations (the maximum values were 3.51 g·L−1 and 2.45 g·L−1, respectively), and mixed-bacterial groups were insignificant (Figure 4D). Compared with CK, NH4-N concentration increased initially and then decreased in the single-bacterial CS3 and K22-D group (the maximum values were 1.34 g·L−1 and 1.06 g·L−1, respectively), whereas the mixed group exhibited a continuous decrease with time (Figure 4E). The TP concentrations of the mixed-bacterial cultures in BBPW increased, reaching a maximum at 144 h (from 17.35 to 22.85 mg·L−1), and no significant change was observed in single-bacteria groups (Figure 4F).

3.4. Effect of Different Microbial Fertilizers on Soil Properties and Carbon Fractions

Soil AN and AK content decreased significantly with application of the three fertilizers compared to no fertilizer. Notably, the mixed fertilizer had the lowest values, decreasing by 6 4.42% and 17.62%, respectively (Table 3). Soil pH decreased significantly with the application of mix bacterial fertilizers, while single-bacterial fertilizers were not significant (p > 0.05). Compared with that of no-fertilizer treatment, the AP of the CS3 fertilizer increased by 90.25%, and K22-D and the mixed-bacterial fertilizers decreased by 70.33% and 30.93%, respectively (Table 3).
In the mixed-bacterial fertilizers, the SOC content was significantly higher (by 13.55%) than that of no-fertilizer group and lower in the K22-D and CS3 groups than in no-fertilizer group. The MAOC content in the mixed-bacterial fertilizers was higher than that in no-fertilizer, and that in the single-bacterial fertilizers was lower than that in no-fertilizer. The POC content did not change significantly in the microbial fertilizers (p > 0.05) (Figure 5).

3.5. Effects of Soil Properties on Soil Carbon Fractions

PCA analysis revealed that pH was significantly negatively correlated with SOC and MAOC in the soils (Figure 6A), and the MAOC content was highly and positively related to SOC (R2 = 0.996, p < 0.05) (Figure 6B).

4. Discussion

4.1. Isolation and Screening of Functions Bacteria

We screened two bacterial strains with promoting functions from bamboo plantation soil. The CS3 strain fixed nitrogen, solubilized inorganic phosphorus, and produced proteases. The K22-D strain exhibited organic phosphorus solubilization, IAA, iron carrier, and amylase (30 °C). These findings support those in the literature [24,25]. Phosphate-solubilizing and nitrogen-fixing bacteria can produce IAA, which partially explains why phosphate-solubilizing bacteria can improve the P and N uptake of plants [26,27]. IAA and iron carrier production by bacteria can stimulate plants to grow more root hairs; thus, root secretions are, in turn, directly and indirectly involved in the activation of ion, which promotes the uptake of additional nutrients and alleviates salt stress in plants [26,28]. Phylogenetic analysis revealed (Figure 2A) that the strains K22-D and CS3 were >99% identical to Pseudomonas (1012 CFU·mL−1) and Terribacillus goriness (108 CFU·mL−1). K22-D and CS3 function bacteria were further biologically characterized (Table 2, Figure 2B). Based on this information, K22-D and CS3 were identified as the species of Pseudomonas and Terribacillus goriness, respectively. Although studies have shown that Pseudomonas sp. and Terribacillus sp. can promote plant growth and degrade polybutylene succinate [29,30], there has been limited research on their use in combination with waste to prepare microbial fertilizers has been limited.

4.2. Biological Treatment of the Bamboo Shoot Wastewater

Using BBPW as a biofertilizer can result in renewable resources and an “energy saving” model. As shown in Figure 4A, strains CS3 and K22-D grew gradually in BBPW without extra nutrients, and both bacteria showed synergistic growth promotion. Wastewater is treated at high temperatures, increasing the solubility and liquefaction of organic matter [11]. Macromolecule organic matter is hydrolyzed into small molecules such as disaccharides, monosaccharides, amino acids, and fatty acids [31], which are sufficient to provide nutrients for microorganisms. High-temperature fermentation reduces the infectious activity of harmful bacteria or viruses in wastewater and facilitates more hygiene practical applications [32]. This might explain the survival of strains CS3 and K22-D strains in BBPW.
In the early stages of the single-bacteria and mixed-bacteria cultures in BBPW, the concentration of COD decreased by 40.90%–79.40% compared with the initial concentration. Mixed bacteria showed lower COD concentration than single bacteria, which gradually decreased with time to the lowest value (8.47 mg·L−1) (Figure 4B). These results are consistent with the finding of Wang et al. [10], who reported that Kosakonia cowanii was inoculated into food wastewater to prepare a phosphate-solubilizing bacteria (PSB) liquid fertilizer. Single and mixed bacteria were conducive to degrading the organic matter in BBPW without additional nutrient sources; thus, it is convenient for microbial utilization [33].
The concentration of NH4-N in single-bacterial groups was higher than that of the initial concentration, and then the NH4-N decreased sharply. These results are consistent with those of Wang et al. [10], who demonstrated that the increase in NH4-N content to microbial mineralization degrades free amino acids and large peptides and observed a decrease to microbial nitrification. However, the NH4-N concentration of the mixed bacteria decreased dramatically over time, suggesting that the interaction of the two bacteria (CS3 and K22-D) releases more out of NH3, N2O, N2 and NOx [34].
The TP concentration of mixed-bacterial cultures in BBPW increased with time and reached a maximum value of 22.85 mg·L−1 at 144 h, and single bacteria showed no significant change in BBPW (Figure 3F). Our microbial fertilizer had a higher phosphorus content than the biofertilizer made from a mushroom substrate (13.0 mg) of Zhu et al. [35]. This indicates that mixed bacteria can solubilize organophosphorus in BBPW, and their interaction accelerates the decomposition of organophosphorus compounds, increasing the ease with which elemental phosphorus is released. Studies have shown that microbial growth produces large amounts of organic acids (oxalic, malic, lactic, acetic, citric, and succinic acids) and enzymes (phytase and phosphatase) that play key roles in the release of phosphorus ions [36]. By 2070, 70% of the world’s energy is expected to originate from renewable sources. Bioenergy technologies focus on the recovery of bioenergy through the action of microorganisms and their enzymes, as well as the treatment of organic pollutants [37]. Therefore, the microbial fertilizers prepared using BBPW can reduce the operational costs of local bamboo shoot processing wastewater management and achieve promising environmental sustainability.

4.3. Effect of Different Microbial Fertilizers on Soil Properties

In our study, the soil pH, AN, and AK decreased significantly with the application of mixed-bacterial fertilizers, but there were no significant changes with single-bacterial fertilizers (Table 3). These findings are consistent with those of Roohi et al. [38], Ben et al. [39], and Mojid et al. [40], which may be the result of acidification due to microbial interactions that decompose organic matter and producing free hydrogen ions. However, other studies have reached the contrasting conclusions. For instance, Kaushik et al. [41] found that irrigation with distillery wastewater caused soil pH to increase, which they attributed to the K+ exchange between wastewater and soil cations, which led to an alkaline hydrolysis reaction and consequent deterioration of the soil structure. Our study discovered that the biofertilizer treatment had no effect on the soil bulk density. In contrast with the findings of Mojid et al. [40], agricultural wastewater with a high salt concentration hindered the dispersion of fine soil particles and lowered soil bulk density. Gou et al. [26] and Romero et al. [42] have found that the application of E. cloacae and Rhizobium chroococcum fertilizers increased soil TN content, which differs from our findings. On the one hand, we collected the during the explosive growth period of bamboo shoots when the nutrient transportation system was opened, leading to the rapid uptake of soil available nutrients by the bamboo. On the other hand, various nitrogen-fixing bacteria may have completely different Nif A-Nif L systems that control the gene expression of nitrogen-fixing enzymes. Terribacillus goriness CS3 was the first autotrophic N-fixation bacterium discovered in bamboo forest soil, and its N fixation regulatory system has not yet been studied. It may differ from other autotrophic nitrogen-fixing bacteria (Azospirillam brasilense, Herbaspirillum seropedicae, and Azotobacter vinelandii) [43]. Thus, the explosive growth period of bamboo shoots leads to the uptake of N and K fixed by microbial fertilizers into the vegetation.
Notably, compared to no-fertilizer, the AP of CS3 fertilizer application increased by 90.25%, whereas the AP of K22-D and mixed fertilizer application decreased by 70.33% and 30.93%, respectively (Table 3), indicating that differences exist in the adaptation of inorganic and organic phosphorus-solubilizing bacteria to the soil and influence the efficiency of phosphorus solubilization. Two reasons can be explained as follows: (1) Terribacillus goriness CS3 strain has more function of solubilizing inorganic phosphorus than K22-D strains (Figure 1), which is more favorable for P release. Zhu et al. [35] also applied inorganic phosphorus solubilizing bacterium P. farinose FL7 in soybean soil and found that soil AP increased above 200 mg/L, which was similar to the results of the CS3 fertilizer. (2) The optimum pH of CS3 was 5 (Figure 3E). Moso bamboo soil is acidic (pH 4.98), benefiting for phosphorus release by bacteria [25], which may be another reason for the reduced AP in the soil.

4.4. Effect of Different Microbial Fertilizers on Carbon Fractions

Moso bamboo planted with mixed microbial fertilizers increased the SOC and MAOC content, with no significant change in POC (Figure 5, Table 2). A possible reason for this result is the biochemical properties of the organic fertilizers. As Samson et al. [44] observed, liquid organic fertilizer favored the accumulation of SOC, especially MAOC. High C: N ratios in liquid swine manure resulted in the gradual formation of MAOC fractions through soil clay particles and microbial decomposition. In the prior subsection, we mentioned that the mixed microbial fertilizer prepared using BBPW had a higher C:N ratio (24) of than liquid swine manure, which was more favorable for the formation of the MAOC fraction (Figure 3). Moreover, the ability of the mixed bacteria to remove COD and NH4-N concentrations from the wastewater was greater (Figure 3E). This mixed-bacterial biofertilizer stimulates microbial activity and promote soil carbon mineralization and soil dehydrogenase activity; thus, synergistic effects among microorganisms should considered [38]. This may also be one of the reasons why the MAOC and SOC contents of single-bacterial fertilizers were lower than those without fertilizers. Furthermore, the metal oxides controlling the change in MAOC are poorly crystalline (Alo) and free (Ald) aluminum oxides, and Al co-precipitates with organic matter, thereby adsorbing organic molecules and isolating them from Moso bamboo soil surroundings [45]. These favorable conditions promote the synthesis and continuous accumulation of MAOC caused by the application of liquid-mixed biofertilizers in Moso bamboo plantations. PCA analysis revealed that pH was significantly negatively correlated with SOC and MAOC in the soils (Figure 6A), and the MAOC content was highly and positively related to SOC (R2 = 0.996, p < 0.05) (Figure 6B). These findings support those of Cotrufo et al. [23], who confirmed that soil edaphic factors (pH) control carbon by affecting MAOC. This may help to explain how mixed-bacterial fertilizers can increase the organic carbon content of Moso bamboo plantation soils as the MAOC fractions were most responsive. As a result, our study provides a completely new concept for carbon sequestration in bamboo plantations and demonstrates the potential of microbial fertilizers to replace chemical fertilizers. This minimizes the cost of chemical fertilizers and reduces harm to the environment.

5. Conclusions

To develop an environmentally friendly biofertilizer to increase soil fertility, two new strains of phosphorus-solubilizing, nitrogen-fixing, and enzyme-producing bacteria, Pseudomonas K22-D and Terribacillus goriness CS3, were isolated from bamboo plantations soil. The single and mixed bacteria were inoculated in BBPW, and the mixed bacteria favored the reduction of COD and NH4-N concentrations from wastewater more than the CK, and the CS3 bacteria were able to release more TOC and TN than the CK. Mixed microbial fertilizers could effectively increase the MAOC content and SOC of the soil in the Moso bamboo plantation and soil pH-controlled carbon by affecting the MAOC and higher C:N ratio of microbial fertilizers. Remarkably, the mixed-bacterial fertilizer reduced the soil nutrients due to the fact that available nutrients were absorbed and utilized by bamboo shoots during the explosive growth period. Therefore, microorganisms isolated from bamboo forests can not only degrade of degrading bamboo shoot processing wastewater but can also be prepared as microbial fertilizers and effectively sequester carbon for resource utilization.

Supplementary Materials

The following supporting information can be downloaded at: https://www.mdpi.com/article/10.3390/f15030455/s1. S1. Bacterial culture media; S2. Wastewater Sample Preparation; Figure S1. Anaerobic fermenter.

Author Contributions

Conceptualization, Q.L., X.Z. and Z.Z.; funding acquisition, X.Z.; investigation, Q.L., Z.H. and F.B.; writing—original draft, Q.L.; writing—review and editing, X.Z. All authors have read and agreed to the published version of the manuscript.

Funding

This research was supported by the Fundamental Research Funds of CAF (CAFYBB2021QB007, CAFYBB2018ZD002).

Institutional Review Board Statement

Not applicable.

Informed Consent Statement

Not applicable.

Data Availability Statement

Data are contained within the article.

Acknowledgments

We are sincerely grateful to the anonymous reviewers and editors for their valuable suggestions to improve the article.

Conflicts of Interest

The authors declare no conflicts of interest.

References

  1. Hong, S.; Jiang, Z.; Zhu, J.; Rao, Y.; Zhang, W.; Gao, J. A Deep Learning-Based System for Monitoring the Number and Height Growth Rates of Moso Bamboo Shoots. Appl. Sci. 2022, 12, 7389. [Google Scholar] [CrossRef]
  2. Chen, X.G.; Zhu, B.; He, Z.R. Research progress of the use of bamboo shoots processing tail materials. Food Nutr. 2012, 18, 29–32. [Google Scholar]
  3. Lin, Z.; Chen, J.; Zhang, J.; Brooks, M.S.L. Potential for Value-Added Utilization of Bamboo Shoot Processing Waste—Recommendations for a Biorefinery Approach. Food Bioprocess Tech. 2018, 11, 901–912. [Google Scholar] [CrossRef]
  4. IUSS Working Group WRB. World Reference Base for Soil Resources 2014, Update 2015 International Soil Classification System for Naming Soils and Creating Legends for Soil Maps; World Soil Resources Reports No. 106; FAO: Rome, Italy, 2015. [Google Scholar]
  5. Jia, Y.F. Research on the Utilization of Fibers from Bamboo Shoot Processing and Recycling Industrial Chain Design; Zhejiang University: Hangzhou, China, 2012. [Google Scholar]
  6. Chen, G.; Chen, X.; Yang, B.; Yu, Q.; Wei, X.; Ding, Y.; Kan, J. New insight into bamboo shoot (Chimonobambusa quadrangularis) polysaccharides: Impact of extraction processes on its prebiotic activity. Food Hydrocolloids 2019, 95, 367–377. [Google Scholar] [CrossRef]
  7. Nascimento, F.R.A.; Kiperstok, A.; Martin, J.; Morato, J.; Cohim, E. Decision support system for management of reactive nitrogen flows in wastewater system. Environ. Sci. Pollut. Res. 2018, 25, 8644–8653. [Google Scholar] [CrossRef] [PubMed]
  8. Mulidzi, A.R. Winery wastewater treatment by constructed wetlands and the use of treated wastewater for cash crop production. Water Sci. Technol. 2007, 56, 103–109. [Google Scholar] [CrossRef]
  9. Shang, X.C.; Zhang, M.; Zhang, Y.; Li, Y.; Hou, X.; Yang, L. Combinations of waste seaweed liquid fertilizer and biochar on tomato (Solanum lycopersicum L.) seedling growth in an acid-affected soil of Jiaodong Peninsula, China. Ecotoxicol. Environ. Saf. 2023, 260, 115075. [Google Scholar] [CrossRef]
  10. Wang, Y.; Wang, S.; Yan, X.; Gao, S.; Man, T.; Yang, Z.; Ren, L.; Wang, P. Preparation of liquid bacteria fertilizer with phosphate-solubilizing bacteria cultured by food wastewater and the promotion on the soil fertility and plants biomass. J. Clean Prod. 2022, 370, 133328. [Google Scholar] [CrossRef]
  11. Wang, Y.; Yan, X.; Su, M.; Li, J.; Man, T.; Wang, S.; Li, C.; Gao, S.; Zhang, R.; Zhang, M.; et al. Isolation of potassium solubilizing bacteria in soil and preparation of liquid bacteria fertilizer from food wastewater. Biochem. Eng. J. 2022, 181, 108378. [Google Scholar] [CrossRef]
  12. Gao, Y.R.; Zou, H.; Wang, B.S.; Yuan, F. Progress and Applications of Plant Growth-Promoting Bacteria in Salt Tolerance of Crops. Int. J. Mol. Sci. 2022, 23, 7036. [Google Scholar] [CrossRef]
  13. Gao, J.L.; Luo, Y.; Wei, Y.L.; Huang, Y.L.; Zhang, H.; He, W.L.; Sheng, H.M.; An, L.Z. Screening of plant growth promoting bacteria (PGPB) from rhizosphere and bulk soil of Caragana microphylla in different habitats and their effects on the growth of Arabidopsis seedlings. Biotechnol. Biotechnol. Equip. 2019, 33, 921–930. [Google Scholar] [CrossRef]
  14. Xu, Y.; Chen, Z.; Li, X.; Tan, J.; Liu, F.; Wu, J. The mechanism of promoting rhizosphere nutrient turnover for arbuscular mycorrhizal fungi attributes to recruited functional bacterial assembly. Mol. Ecol. Resour. 2023, 32, 2335–2350. [Google Scholar] [CrossRef]
  15. Liu, B.B.; Govindan, R.; Muthuchamy, M.; Cheng, S.; Li, X.; Ye, L.; Wang, L.Y.; Guo, S.X.; Li, W.J.; Alharbi, N.S.; et al. Halophilic archaea and their extracellular polymeric compounds in the treatment of high salt wastewater containing phenol. Chemosphere 2022, 294, 133732. [Google Scholar] [CrossRef] [PubMed]
  16. Maharaja, P.; Boopathy, R.; Anushree, V.V.; Mahesh, M.; Swarnalatha, S.; Ravindran, B.; Chang, S.W.; Sekaran, G. Bio removal of proteins, lipids and mucopolysaccharides in tannery hyper saline wastewater using halophilic bacteria. J. Water Process Eng. 2020, 38, 101674. [Google Scholar] [CrossRef]
  17. Song, Q.; Chen, X.; Zhou, W.; Xie, X. Application of a Spiral Symmetric Stream Anaerobic Bioreactor for treating saline heparin sodium pharmaceutical wastewater: Reactor operating characteristics, organics degradation pathway and salt tolerance mechanism. Water Res. 2021, 205, 117671. [Google Scholar] [CrossRef]
  18. Tsipa, A.; Papalli, M.; Christou, A.; Pissaridou, P.; Vasquez, M.I. Ex-situ biological treatment of industrial saline seafood wastewater by salt-tolerant mixed cultures and phytotoxicity evaluation. J. Environ. Chem. Eng. 2023, 11, 109195. [Google Scholar] [CrossRef]
  19. Han, F.; Zhang, M.; Liu, Z.; Shang, H.; Li, Q.; Zhou, W. Dynamic characteristics of microbial community and soluble microbial products in partial nitrification biofilm system developed from marine sediments treating high salinity wastewater. J. Environ. Manag. 2021, 290, 112586. [Google Scholar] [CrossRef]
  20. Kohda, J.; Nakano, Y.; Kugimiya, A.; Takano, Y.; Yano, T. Recycling of biodiesel fuel wastewater for use as a liquid fertilizer for hydroponics. J. Mater. Cycles Waste Manag. 2017, 19, 999–1007. [Google Scholar] [CrossRef]
  21. Latt, Z.K.; Yu, S.S.; Kyaw, E.P.; Kyaw, E.P.; Lynn, T.M.; Nwe, M.T.; Mon, W.W.; Aye, K.N. Using Cellulolytic Nitrogen Fixing Bacterium, Azomonas agilis for Effective Degradation of Agricultural Residues. Open Microbiol. J. 2018, 12, 154–162. [Google Scholar] [CrossRef]
  22. Huang, Z.D.; Guan, H.C.; Zheng, H.; Wang, M.; Xu, P.; Dong, S.; Yang, Y.; Xiao, J. Novel liquid organic fertilizer: A potential way to effectively recycle spent mushroom substrate. J. Clean Prod. 2022, 376, 134368. [Google Scholar] [CrossRef]
  23. Cotrufo, M.F.; Ranalli, M.G.; Haddix, M.L.; Six, J.; Lugato, E. Soil carbon storage informed by particulate and mineral-associated organic matter. Nat. Geosci. 2019, 12, 989–994. [Google Scholar] [CrossRef]
  24. Lin, T.T.; Li, L.; Gu, X.M.; Owusu, A.M.; Li, S.Y.; Han, S.; Cao, G.X.; Zhu, T.H.; Li, S.J. Seasonal variations in the composition and diversity of rhizosphere soil microbiome of bamboo plants as infected by soil-borne pathogen and screening of associated antagonistic strains. Ind. Crop Prod. 2023, 197, 116641. [Google Scholar] [CrossRef]
  25. Xing, Y.; Shi, W.; Zhu, Y.; Wang, F.; Wu, H.; Ying, Y. Screening and activity assessing of phosphorus availability improving microorganisms associated with bamboo rhizosphere in subtropical China. Environ. Microbiol. 2021, 23, 6074–6088. [Google Scholar] [CrossRef]
  26. Gou, Z.; Zheng, H.; He, Z.; Su, Y.; Chen, S.; Chen, H.; Chen, G.; Ma, N.L.; Sun, Y. The combined action of biochar and nitrogen-fixing bacteria on microbial and enzymatic activities of soil N cycling. Environ. Pollut. 2023, 317, 120790. [Google Scholar] [CrossRef]
  27. Saadouli, I.; Mosbah, A.; Ferjani, R.; Ouzari, H.I. The Impact of the Inoculation of Phosphate-Solubilizing Bacteria Pantoeaagglomerans on Phosphorus Availability and Bacterial Community Dynamics of a Semi-Arid Soil. Microorganisms 2021, 9, 1661. [Google Scholar] [CrossRef] [PubMed]
  28. Ferreira, M.J.; Silva, H.; Cunha, A. Siderophore-Producing Rhizobacteria as a Promising Tool for Empowering Plants to Cope with Iron Limitation in Saline Soils: A Review. Pedosphere 2019, 29, 409–420. [Google Scholar] [CrossRef]
  29. Seif Sahandi, M.; Mehrafarin, A.; Naghdi Badi, H.; Khalighi-Sigaroodi, F.; Sharifi, M. Improving growth, phytochemical, and antioxidant characteristics of peppermint by phosphate-solubilizing bacteria along with reducing phosphorus fertilizer use. Ind. Crop Prod. 2019, 141, 111777. [Google Scholar] [CrossRef]
  30. Rediers, H.; Vanderleyden, J.; De Mot, R. Nitrate respiration in Pseudomonas stutzeri A15 and its involvement in rice and wheat root colonization. Microbiol. Res. 2009, 164, 461–468. [Google Scholar] [CrossRef]
  31. Ren, L.H.; Nie, Y.F.; Liu, J.G.; Jin, Y.Y.; Sun, L. Impact of hydrothermal process on the nutrient ingredients of restaurant garbage. J. Environ. Sci. 2006, 18, 1012–1019. [Google Scholar] [CrossRef]
  32. Tang, J.L.; Wang, X.C.C.; Hu, Y.S.; Pu, Y.H.; Huang, J.; Ngo, H.H.; Zeng, Y.G.; Li, Y.Y. Nutrients removal performance and sludge properties using anaerobic fermentation slurry from food waste as an external carbon source for wastewater treatment. Bioresour. Technol. 2019, 271, 125–135. [Google Scholar] [CrossRef]
  33. Ceretta, M.B.; Irazoqui, J.M.; Persico, M.M.; Nercessian, D.; Wolski, E.A. Population dynamics of microbial native consortia efficient for textile wastewater degradation. Environ. Sci. Water Res. 2022, 8, 1036–1047. [Google Scholar] [CrossRef]
  34. Yang, X.; Song, Z.; Zhou, S.; Guo, H.; Geng, B.; Peng, X.; Zhao, G.; Xie, Y. Insights into functional microbial succession during nitrogen transformation in an ectopic fermentation system. Bioresour. Technol. 2019, 284, 266–275. [Google Scholar] [CrossRef]
  35. Zhu, H.J.; Sun, L.F.; Zhang, Y.F.; Zhang, X.L.; Qiao, J.J. Conversion of spent mushroom substrate to biofertilizer using a stress-tolerant phosphate-solubilizing Pichia farinose FL7. Bioresour. Technol. 2012, 111, 410–416. [Google Scholar] [CrossRef] [PubMed]
  36. Scervino, J.M.; Papinutti, V.L.; Godoy, M.S.; Rodriguez, M.A.; Della Monica, I.; Recchi, M.; Pettinari, M.J.; Godeas, A.M. Medium pH, carbon and nitrogen concentrations modulate the phosphate solubilization efficiency of Penicillium purpurogenum through organic acid production. J. Appl. Microbiol. 2011, 110, 1215–1223. [Google Scholar] [CrossRef]
  37. Moya, D.; Aldas, C.; Lopez, G.; Kaparaju, P. Municipal solid waste as a valuable renewable energy resource: A worldwide opportunity of energy recovery by using Waste-To-Energy Technologies. Engery Procedia 2017, 134, 286–295. [Google Scholar] [CrossRef]
  38. Roohi, M.; Riaz, M.; Arif, M.S.; Shahzad, S.M.; Yasmeen, T.; Riaz, M.A.; Tahir, S.; Mahmood, K. Varied effects of untreated textile wastewater onto soil carbon mineralization and associated biochemical properties of a dryland agricultural soil. J. Environ. Manag. 2016, 183, 530–540. [Google Scholar] [CrossRef]
  39. Ben Mbarek, H.; Gargouri, K.; Mbadra, C.; Ben Mahmoud, I.; Chaker, R.; Maktouf, S.; Abbas, O.; Baeten, V.; Rigane, H. Effects of combination of tillage with olive mill wastewater on soil organic carbon groups in arid soils. Arab J. Geosci. 2020, 13, 255. [Google Scholar] [CrossRef]
  40. Mojid, M.A.; Hossain, A.B.M.Z.; Wyseure, G.C.L. Impacts of Municipal Wastewater on Basic Soil Properties as Evaluated by Soil Column Leaching Experiment in Laboratory. J. Soil Sci. Plant Nutr. 2019, 19, 402–412. [Google Scholar] [CrossRef]
  41. Kaushik, A.; Nisha, R.; Jagjeeta, K. Impact of long and short term irrigation of a sodic soil with distillery effluent in combination with bioamendments. Bioresour. Technol. 2005, 96, 1860–1866. [Google Scholar] [CrossRef]
  42. Romero-Perdomo, F.; Abril, J.; Camelo, M.; Moreno-Galvan, A.; Pastrana, I.; Rojas-Tapias, D.; Bonilla, R. Azotobacter chroococcum as a potentially useful bacterial biofertilizer for cotton (Gossypium hirsutum): Effect in reducing N fertilization. Rev. Argent Microbiol. 2017, 49, 377–383. [Google Scholar] [CrossRef]
  43. Plunkett, M.H.; Knutson, C.M.; Barney, B.M. Key factors affecting ammonium production by an Azotobacter vinelandii strain deregulated for biological nitrogen fixation. Microbial Cell Factories 2020, 19, 107. [Google Scholar] [CrossRef] [PubMed]
  44. Samson, M.-E.; Chantigny, M.H.; Vanasse, A.; Menasseri-Aubry, S.; Angers, D.A. Coarse mineral-associated organic matter is a pivotal fraction for SOM formation and is sensitive to the quality of organic inputs. Soil Biol. Biochem. 2020, 149, 107935. [Google Scholar] [CrossRef]
  45. Xu, Y.; Ge, X.; Gao, G.; Yang, Y.; Hu, Y.; Li, Z.; Zhou, B. Microbial pathways driving stable soil organic carbon change in abandoned Moso bamboo forests in southeast China. J. Environ. Manag. 2023, 345, 118890. [Google Scholar] [CrossRef] [PubMed]
Figure 1. The morphology and function of strain K22-D and CS3. Note: IP (inorganic phosphorus medium), OP (organic phosphorus medium), CAS (chrome azurol S assay), ABN (Ashby’s medium), SMA (skimmed milk agar), SSM (soluble starch medium), IAA (indole acetic acid).
Figure 1. The morphology and function of strain K22-D and CS3. Note: IP (inorganic phosphorus medium), OP (organic phosphorus medium), CAS (chrome azurol S assay), ABN (Ashby’s medium), SMA (skimmed milk agar), SSM (soluble starch medium), IAA (indole acetic acid).
Forests 15 00455 g001
Figure 2. Phylogenetic tree and growth curves of strain K22-D and CS3. Growth curves OD600 (A); Phylogenetic tree (B).
Figure 2. Phylogenetic tree and growth curves of strain K22-D and CS3. Growth curves OD600 (A); Phylogenetic tree (B).
Forests 15 00455 g002
Figure 3. Optimization results of strain CS3 (AF) and K22-D (GL). Note: different lowercase letters indicate significant differences between treatments at p < 0.05.
Figure 3. Optimization results of strain CS3 (AF) and K22-D (GL). Note: different lowercase letters indicate significant differences between treatments at p < 0.05.
Forests 15 00455 g003
Figure 4. Effect of different microorganisms on wastewater properties. CK, no inoculation; CS3: CS3 fertilizer; K22-D: K22-D fertilizer; Mix: K22-D + CS3 fertilizer. OD600 (A); COD (B); TOC concentrations (C); TN concentrations (D); NH4-N concentration (E); TP concentrations (F).
Figure 4. Effect of different microorganisms on wastewater properties. CK, no inoculation; CS3: CS3 fertilizer; K22-D: K22-D fertilizer; Mix: K22-D + CS3 fertilizer. OD600 (A); COD (B); TOC concentrations (C); TN concentrations (D); NH4-N concentration (E); TP concentrations (F).
Forests 15 00455 g004
Figure 5. Effect of different biofertilizer on soil carbon fractions. Values with different lowercase letters indicate significant differences from carbon content (p < 0.05).
Figure 5. Effect of different biofertilizer on soil carbon fractions. Values with different lowercase letters indicate significant differences from carbon content (p < 0.05).
Forests 15 00455 g005
Figure 6. (A,B) Principal component analysis (PCA) of soil properties on soil carbon fractions.
Figure 6. (A,B) Principal component analysis (PCA) of soil properties on soil carbon fractions.
Forests 15 00455 g006
Table 1. Properties of bamboo shoot processing wastewater.
Table 1. Properties of bamboo shoot processing wastewater.
CODCr
(mg/L)
pHEC
μs/cm
TN
(mg/L)
NH4-N
(mg/L)
TP
(mg/L)
Turbidity
(mg/L)
Wastewater43,4864.13463095.96207.658714.70
Total phosphorus (TP), total nitrogen (TN), ammonium nitrogen (NH4-N), chemical oxygen demand (CODCr), electrical conductivity (EC).
Table 2. Biochemical test results of K22-D and CS3.
Table 2. Biochemical test results of K22-D and CS3.
CharacteristicsCS3K22-D
V-P+
Citrate++
Propionate+
Nitrate reduction
D-xylose+
L-arabinose++
D-Mannitol+
Lactose
Glucose++
Sucrose
Gelatine+
NaCl > 7%+
Gram+
+ positive; − negative.
Table 3. Soil fertility in Moso bamboo plantations.
Table 3. Soil fertility in Moso bamboo plantations.
TreatmentNo-FertiliterK22-DCS3Mix
BD1.27 ± 0.23 a1.06 ± 0.28 a1.37 ± 0.24 a1.37 ± 0.12 a
pH4.89 ± 0.01 a4.98 + 0.02 a4.87 ± 0.02 a4.5 ± 0.11 b
SOC (g·kg−1) 19.12 ± 1.45 b15.96 ± 1.16 c16.44 ± 0.86 c21.71 ± 0.71 a
AN (mg·kg−1)168 ± 18.91 a127.4 ± 7.98 c147 ± 10.61 b59.78 ± 8.86 d
AP (mg·kg−1)2.36 ± 0.52 b0.70 ± 0.04 d4.49 ± 0.81 a1.63 ± 0.28 c
AK (mg·kg−1)94.54 ± 4.31 a85.56 ± 4.68 bc87.68 ± 9.45 ab77.88 ± 14.93 c
BD: bulk density; SOC: total organic carbon; AP: available phosphorus; AN: available nitrogen. AK: available potassium. Values within the same row followed by the different letters indicate significant difference (p < 0.05).
Disclaimer/Publisher’s Note: The statements, opinions and data contained in all publications are solely those of the individual author(s) and contributor(s) and not of MDPI and/or the editor(s). MDPI and/or the editor(s) disclaim responsibility for any injury to people or property resulting from any ideas, methods, instructions or products referred to in the content.

Share and Cite

MDPI and ACS Style

Li, Q.; Huang, Z.; Zhong, Z.; Bian, F.; Zhang, X. Production of Bamboo Source Microbial Fertilizer and Evaluate Its Effect on Soil Organic Carbon Fractions in Moso Bamboo Plantations in South China. Forests 2024, 15, 455. https://doi.org/10.3390/f15030455

AMA Style

Li Q, Huang Z, Zhong Z, Bian F, Zhang X. Production of Bamboo Source Microbial Fertilizer and Evaluate Its Effect on Soil Organic Carbon Fractions in Moso Bamboo Plantations in South China. Forests. 2024; 15(3):455. https://doi.org/10.3390/f15030455

Chicago/Turabian Style

Li, Qiaoling, Zhiyuan Huang, Zheke Zhong, Fangyuan Bian, and Xiaoping Zhang. 2024. "Production of Bamboo Source Microbial Fertilizer and Evaluate Its Effect on Soil Organic Carbon Fractions in Moso Bamboo Plantations in South China" Forests 15, no. 3: 455. https://doi.org/10.3390/f15030455

APA Style

Li, Q., Huang, Z., Zhong, Z., Bian, F., & Zhang, X. (2024). Production of Bamboo Source Microbial Fertilizer and Evaluate Its Effect on Soil Organic Carbon Fractions in Moso Bamboo Plantations in South China. Forests, 15(3), 455. https://doi.org/10.3390/f15030455

Note that from the first issue of 2016, this journal uses article numbers instead of page numbers. See further details here.

Article Metrics

Back to TopTop