Soil Hydrology Characteristics among Forest Type, Stand Age and Successive Rotation in Eucalyptus Plantations in Southern China
Abstract
1. Introduction
2. Materials and Methods
2.1. Study Site
2.2. Experimental Design and Soil Sampling
2.3. Determination of Soil Physical Characteristics
2.4. Determination of the Water Holding Capacity of the Soil
2.5. Determination of the Water Holding Capacity of the Litter
2.6. Statistical Analysis
3. Results
3.1. Soil Physical Properties
3.2. Litter Properties
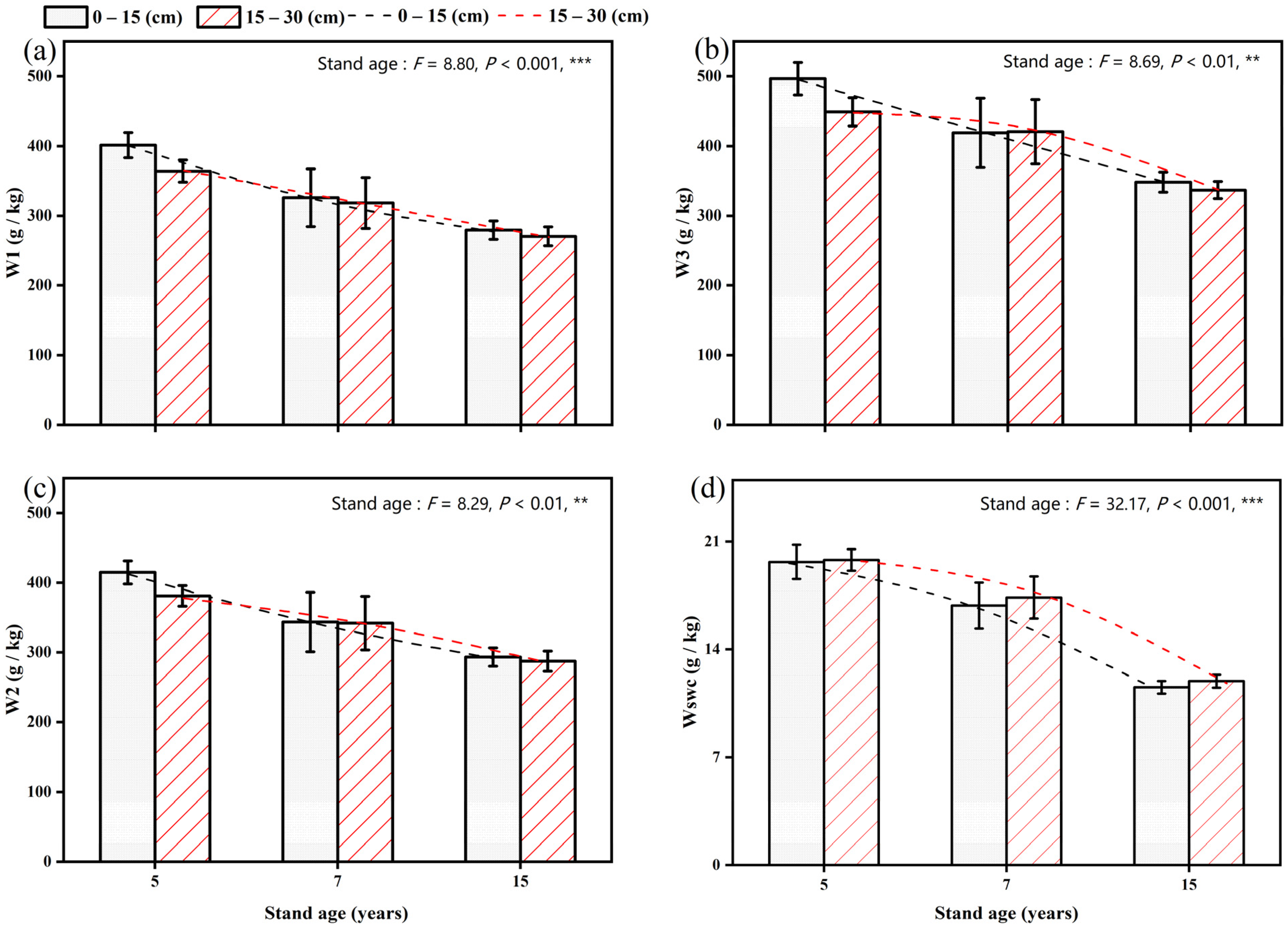
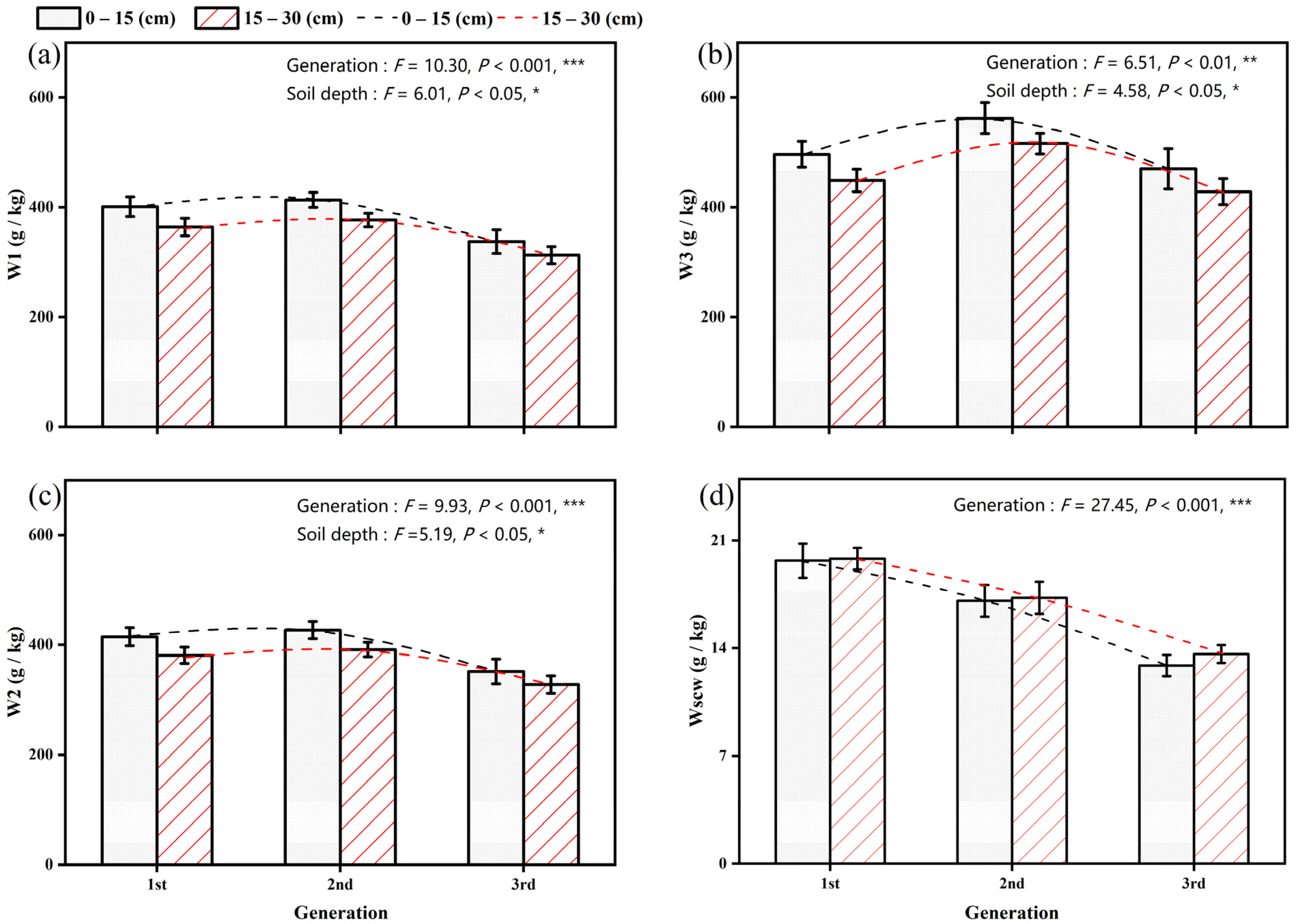
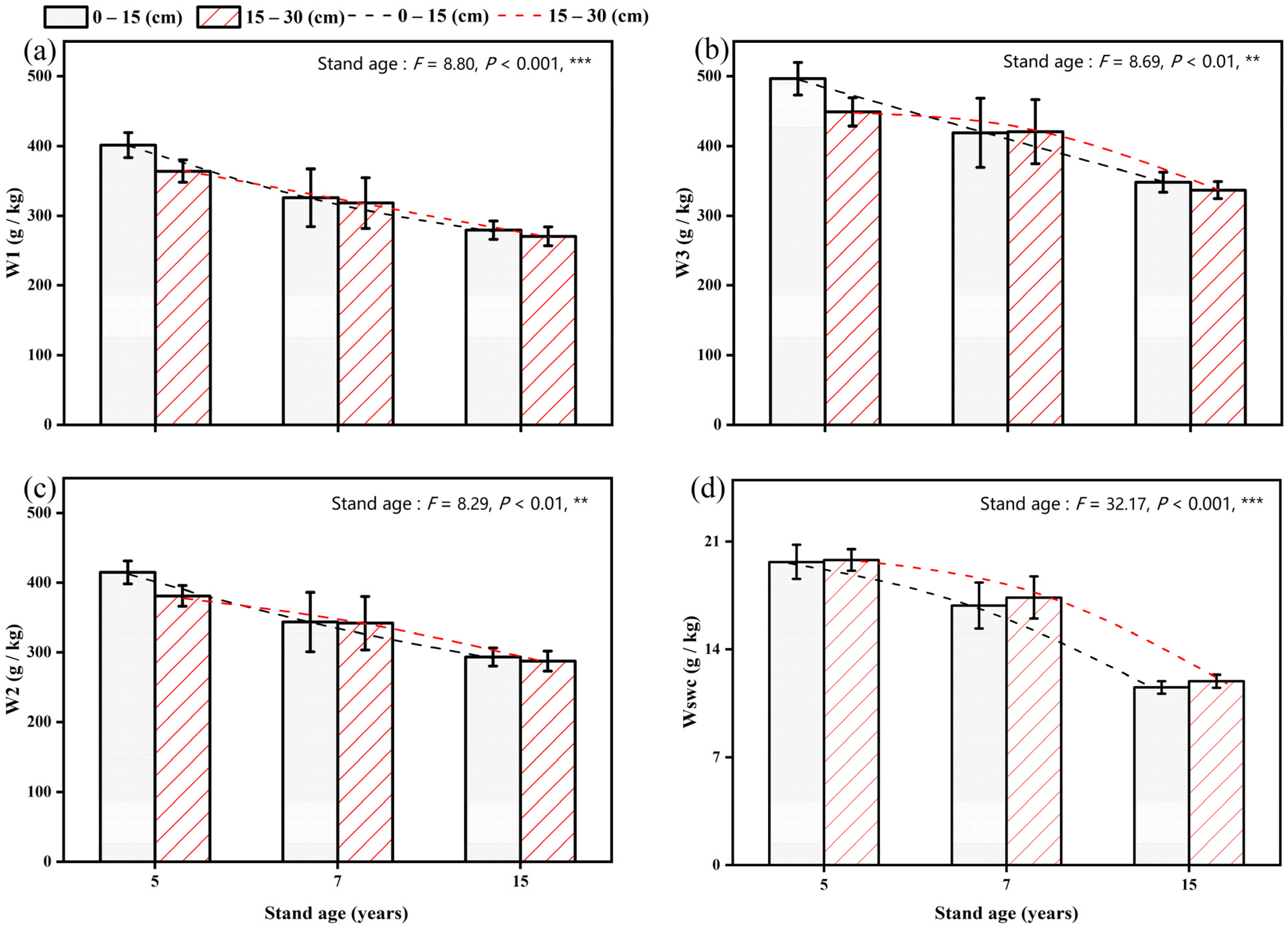
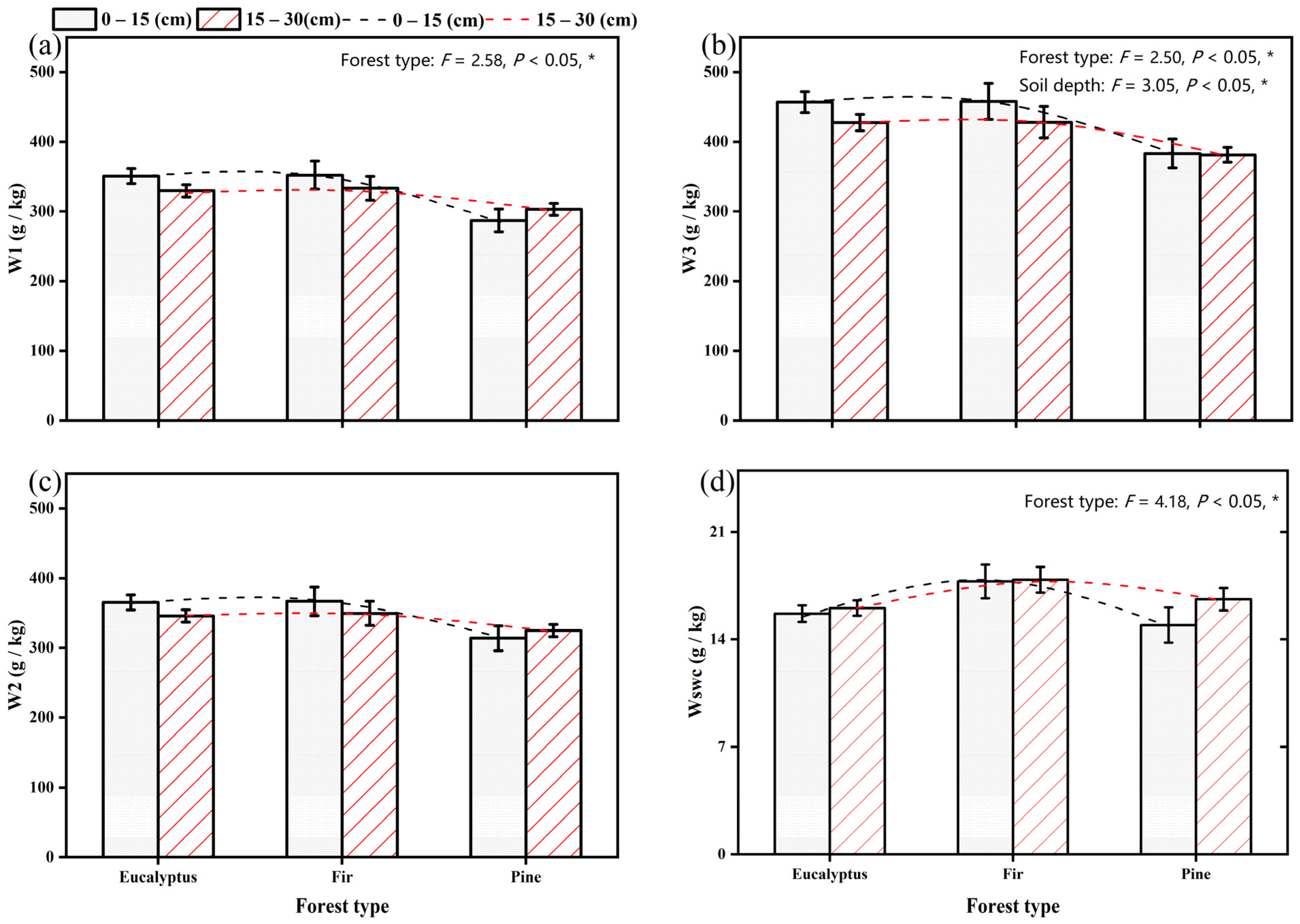
3.3. Hydrological Characteristics of the Soil
3.4. Correlations among the Properties of the Soil and Litter and the Hydrological Characteristics
4. Discussion
4.1. Forest Type Affects the Soil Hydrological Characteristics
4.2. Stand Age Weakens the Soil and Litter Hydrological Characteristics
4.3. Successive Rotations Significantly Affected the Hydrological Characteristics of the Soil
5. Conclusions
Author Contributions
Funding
Data Availability Statement
Conflicts of Interest
References
- Zhang, Y.; Liu, S.; Ma, J. Water-holding capacity of ground covers and soils in alpine and sub-alpine shrubs in western Sichuan, China. Acta Ecol. Sin. 2006, 26, 2775–2781. [Google Scholar] [CrossRef]
- Rana, S.; Cheng, X.; Wu, Y.; Hu, C.; Jemim, R.S.; Liu, Z.; Wang, Y.; Cai, Q.; Geng, X.; Guo, X.; et al. Evaluation of soil and water conservation function in the Wugong mountain meadow based on the comprehensive index method. Heliyon 2022, 8, e11867. [Google Scholar] [CrossRef]
- Xie, Y.; Arnold, R.J.; Wu, Z.; Chen, S.; Du, A.; Luo, J. Advances in eucalypt research in China. Front. Agric. Sci. Eng. 2017, 4, 380. [Google Scholar] [CrossRef]
- Chu, S.; Ouyang, J.; Liao, D.; Zhou, Y.; Liu, S.; Shen, D.; Wei, X.; Zeng, S. Effects of enriched planting of native tree species on surface water flow, sediment, and nutrient losses in a eucalyptus plantation forest in southern china. Sci. Total Environ. 2019, 675, 224–234. [Google Scholar] [CrossRef]
- Hou, X.; Duan, C.; Tang, C.Q.; Fu, D. Nutrient Relocation, Hydrological Functions, and Soil Chemistry in Plantations as Compared to Natural Forests in Central Yunnan. China. Ecol. Res. 2010, 25, 139–148. [Google Scholar] [CrossRef]
- Wu, J.P.; Liu, Z.F.; Sun, Y.X.; Zhou, L.X.; Lin, Y.B.; Fu, S.L. Introduced Eucalyptus urophylla plantations change the composition of the soil microbial community in subtropical China. Land Degrad. Dev. 2013, 24, 400–406. [Google Scholar] [CrossRef]
- Zhou, X.; Zhu, H.; Wen, Y.; Goodale, U.M.; Zhu, Y.; Yu, S.; Li, C.; Li, X. Intensive management and declines in soil nutrients lead to serious exotic plant invasion in Eucalyptus plantations under successive short-rotation regimes. Land Degrad. Dev. 2020, 31, 297–310. [Google Scholar] [CrossRef]
- Lan, X.; Du, H.; Peng, W.; Liu, Y.; Song, T. Functional diversity of the soil culturable microbial community in eucalyptus plantations of different ages in Guangxi, South China. Forests 2019, 10, 1083. [Google Scholar] [CrossRef]
- Zhang, C.; Li, X.; Chen, Y.; Zhao, J.; Wan, S.; Lin, Y.; Fu, S. Effects of Eucalyptus litter and roots on the establishment of native tree species in Eucalyptus plantations in South China. For. Ecol. Manag. 2016, 375, 76–83. [Google Scholar] [CrossRef]
- Chen, F.; Zheng, H.; Zhang, K.; Ouyang, Z.; Li, H.; Wu, B.; Qian, S. Soil microbial community structure and function responses to successive planting of eucalyptus. J. Environ. Sci. 2013, 25, 2102–2111. [Google Scholar] [CrossRef] [PubMed]
- Engel, V.; Esteban, G.J.; Stieglitz, M.; Williams, M.; Jackson, R.B. Hydrological consequences of eucalyptus afforestation in the argentine pampas. Water Resour. Res. 2005, 41, W10409. [Google Scholar] [CrossRef]
- Alemayhu, A.; Yakob, G. Soil physicochemical properties under eucalyptus tree species planted in alley maize cropping agroforestry practice in Decha Woreda, Kaffa zone, southwest Ethiopia. Int. J. Agric. Res. Innov. Technol. 2020, 10, 7–14. [Google Scholar] [CrossRef]
- Hubbard, R.M.; Stape, J.; Ryan, M.G.; Almeida, A.C.; Rojas, J. Effects of irrigation on water use and water use efficiency in two fast growing eucalyptus plantations. For. Ecol. Manag. 2010, 259, 1714–1721. [Google Scholar] [CrossRef]
- Zaiton, S.; Sheriza, M.R.; Ainishifaa, R.; Alfred, K.; Norfaryanti, K. Eucalyptus in Malaysia: Review on Environmental Impacts. J. Landsc. Ecol. 2020, 13, 2478. [Google Scholar] [CrossRef]
- Ouyang, Y.; Feng, G.; Renninger, H.J.; Leininger, T.D.; Parajuli, P.B.; Grace, J.M. A Stella-Based Model to Simultaneously Predict Hydrological Processes, N Uptake and Biomass Production in a Eucalyptus Plantation. Forests 2021, 12, 515. [Google Scholar] [CrossRef]
- Chanie, T.; Collick, A.S.; Adgo, E.; Lehmann, C.J.; Steenhuis, T.S. Eco-hydrological impacts of eucalyptus in the semi-humid Ethiopian highlands: The Lake Tana plain. J. Hydrol. Hydromech. 2013, 61, 21–29b. [Google Scholar] [CrossRef]
- Roy, P.; Pal, S.C.; Chakrabortty, R.; Islam, A.R.M.T.; Chowdhuri, I.; Saha, A. Impact of Ineffective Measures on the Increasing Land Degradation in a Monsoon-dominated Region of India: Issues and Policy Implications. Land Degrad. Dev. 2022, 33, 3174–3185. [Google Scholar] [CrossRef]
- Hawtree, D.; Nunes, J.P.; Keizer, J.J.; Jacinto, R.; Santos, J.; Rial-Rivas, M.E.; Boulet, A.K.; Tavares-Wahren, F.; Feger, K.H. Time series analysis of the long-term hydrologic impacts of afforestation in the Águeda watershed of north-central Portugal. Hydrol. Earth Syst. Sci. 2015, 19, 3033–3045. [Google Scholar] [CrossRef]
- Benito, E.; Varela, E.; Rodríguez-Alleres, M. Persistence of water repellency in coarse-textured soils under various types of forests in NW Spain. Ethiopia. J. 2019, 67, 129–134. [Google Scholar] [CrossRef]
- Tu, Z.; Chen, S.; Ruan, D.; Chen, Z.; Huang, Y.; Chen, J. Differential Hydrological Properties of Forest Litter Layers in Artificial Afforestation of Eroded Areas of Latosol in China. Sustainability 2022, 14, 14869. [Google Scholar] [CrossRef]
- Amsalu, A. Effect of eucalyptus plantations on soil properties: The case of Entoto Area, Northern Addis Ababa, Ethiopia. J. Environ. Earth Sci. 2019, 9, 49–62. [Google Scholar]
- Mendham, D.S.; White, D.A.; Battaglia, M.; Mcgrath, J.F.; Short, T.M.; Ogden, G.N.; Kinal, J. Soil water depletion and replenishment during first- and early second-rotation eucalyptus globulus plantations with deep soil profiles. Agric. For. Meteorol. 2011, 151, 1568–1579. [Google Scholar] [CrossRef]
- Forrester, D.I.; Collopy, J.J.; Morris, J.D. Transpiration along an age series of Eucalyptus globulus plantations in southeastern Australia. For. Ecol. Manag. 2010, 259, 1754–1760. [Google Scholar] [CrossRef]
- Li, J.; Lin, J.; Pei, C.; Lai, K.; Jeffries, T.W.; Tang, G. Variation of Soil Bacterial Communities Along a Chronosequence of Eucalyptus Plantation. PeerJ 2018, 6, e5648. [Google Scholar] [CrossRef]
- Laclau, J.P.; Da Silva, E.A.; Rodrigues Lambais, G.; Bernoux, M.; Le Maire, G.; Stape José, L.; Bouillet, J.P.; de Moraes Gonçalves, J.L.; Jourdan, C.; Nouvellon, Y. Dynamics of soil exploration by fine roots down to a depth of 10 m throughout the entire rotation in eucalyptus grandis plantations. Front. Plant Sci. 2013, 4, 00243. [Google Scholar] [CrossRef]
- Zhang, K.; Zheng, H.; Chen, F.; Ouyang, Z.; Wang, Y.; Wu, Y.F.; Lan, J.; Fu, M.; Xiang, X.W. Changes in soil quality after converting plantations in southern China. Solid Earth 2015, 6, 115–123. [Google Scholar] [CrossRef]
- Gao, J.; Zhou, J.; Sun, Z.; Niu, J.; Zhou, C.; Gu, D.; Huang, Y.; Zhao, P. Suppression of nighttime sap flux with lower stem photosynthesis in Eucalyptus trees. Int. J. Biometeorol. 2016, 60, 545–556. [Google Scholar] [CrossRef]
- Zhang, L.; Luo, T.X.; Deng, K.M.; Dai, Q.; Huang, Y.; Jiang, Z.F.; Tao, M.Y.; Zeng, K.Y. Biomass and net primary productivity of secondary evergreen broadleaved forest in Huangmian Forest Farm, Guangxi. Chin. J. Appl. Ecol. 2004, 15, 2029–2033. [Google Scholar]
- Zhu, L.W.; Zhao, P.; Wang, Q.; Ni, G.Y.; Niu, J.F.; Zhao, X.H.; Zhang, Z.Z.; Zhao, P.Q.; Gao, J.G.; Huang, Y.Q.; et al. Stomatal and hydraulic conductance and water use in a eucalypt plantation in Guangxi, southern China. Agric. For. Meteorol. 2015, 202, 61–68. [Google Scholar] [CrossRef]
- Zhou, L.L.; Zhu, H.Z.; Zhong, H.P.; Yang, H.; Suo, F.Y.; Shao, X.M.; Zhou, X.J. Spatial analysis of soil bulk density in Yili, Xinjiang uygur autonomous region, China. Acta Pratacult. Sin. 2016, 25, 64–75. [Google Scholar]
- Zhang, S.Z.; Zhang, X.H.; Sui, X.Q.; Wang, Y.; Zhu, J.Z. The distribution rules of soil water in alfalfa field with subsurface drip irrigation. Pratacult. Sci. 2015, 32, 1047–1053. [Google Scholar]
- Zheng, X.L.; Chen, L.H.; Gong, W.Y.; Yang, X.; Kang, Y.L. Evaluation of the Water Conservation Function of Different Forest Types in Northeastern China. Sustainability 2019, 11, 4075. [Google Scholar] [CrossRef]
- Su, S.; Liu, X. The Water Storage Function of Litters and Soil in Five Typical Plantations in the Northern and Southern Mountains of Lanzhou, Northwest China. Sustainability 2022, 14, 8231. [Google Scholar] [CrossRef]
- Kassambara, A. Factoextra: Extract and Visualize the Results of Multivariate Data Analyses. 1.0.7 R-Packages. 2020. Available online: https://cran.r-project.org/web/packages/factoextra/ (accessed on 25 December 2023).
- Wickham, H. ggplot2: Elegant Graphics for Data Analysis; Springer: New York, NY, USA, 2016. [Google Scholar]
- Negasa, D.J. Effects of land use types on selected soil properties in central highlands of ethiopia. Appl. Environ. Soil Sci. 2020, 2020, 7026929. [Google Scholar]
- Zhou, Q.; Keith, D.M.; Zhou, X.; Cai, M.; Cui, X.; Wei, X.; Luo, Y. Comparing the Water-holding Characteristics of Broadleaved, Coniferous, and Mixed Forest Litter Layers in a Karst Region. Mt. Res. Dev. 2018, 38, 220–229. [Google Scholar] [CrossRef]
- Zagyvai-Kiss, K.A.; Kalicz, P.; Szilágyi, J.; Gribovszki, Z. On the specific water holding capacity of litter for three forest ecosystems in the eastern foothills of the Alps. Agric. For. Meteorol. 2019, 278, 107656. [Google Scholar] [CrossRef]
- Liu, Y.P.; Wang, G.X.; Hu, Z.Y.; Guo, L.M. Litter storage and water-holding capacity of typical forests in mountainous area of Southwest China. Chin. J. Appl. Ecol. 2022, 33, 2113–2120. [Google Scholar]
- Duan, C.Y.; Xu, G.P.; Shen, Y.Y.; Luo, Y.J.; Li, Y.Q.; Zhang, D.N.; Sun, Y.J.; He, C.X. Ecological stoichiometry characteristics of soils in eucalyptus plantations with different ages in North Guangxi. For. Res. Manag. 2018, 6, 119–126. [Google Scholar]
- Lamb, D. Decomposition of organic matter on the forest floor of pinus radiata plantations. J. Soi. Sci. 2010, 27, 206–217. [Google Scholar] [CrossRef]
- Han, Y.S.; Wei, Y.C.; Ouyang, Z.Y.; Cao, Y. Effects of continuous planting rotation on forest structural characteristics and water holding capacity of eucalyptus plantations. Acta Ecol. Sin. 2008, 28, 4609–4617. [Google Scholar]
- Zhu, L.; Wang, X.; Chen, F.; Li, C.; Wu, L. Effects of the successive planting of Eucalyptus urophylla on soil bacterial and fungal community structure, diversity, microbial biomass, and enzyme activity. Land Degrad. Dev. 2019, 30, 636–646. [Google Scholar] [CrossRef]
- Qian, Z.; Harianto, R. Estimation of permeability function from the soil–water characteristic curve. Eng. Geol. 2015, 199, 148–156. [Google Scholar]






| Factors | Sd (cm) | Pb (g cm−3) | Pc (%) | Pn (%) | P (%) | Sa (%) | |
|---|---|---|---|---|---|---|---|
| Forest type | Eucalyptus | 0–15 | 1.31 ± 0.03 b | 45.51 ± 0.70 a | 11.32 ± 0.57 a | 56.83 ± 0.94 ab | 41.17 ± 0.72 a |
| 15–30 | 1.38 ± 0.02 ab | 45.55 ± 0.66 a | 10.62 ± 0.55 ab | 56.16 ± 0.80 ab | 40.14 ± 0.59 ab | ||
| Chinese Fir | 0–15 | 1.36 ± 0.04 ab | 46.96 ± 1.42 a | 11.65 ± 0.82 a | 58.61 ± 1.63 a | 40.83 ± 0.93 ab | |
| 15–30 | 1.42 ± 0.04 a | 46.84 ± 1.06 a | 10.38 ± 0.77 ab | 57.22 ± 1.42 ab | 39.34 ± 0.95 ab | ||
| Pine | 0–15 | 1.44 ± 0.04 ab | 43.97 ± 1.73 a | 9.71 ± 1.27 a | 53.68 ± 1.75 ab | 38.76 ± 0.94 ab | |
| 15–30 | 1.46 ± 0.02 ab | 45.89 ± 0.96 a | 7.98 ± 0.59 b | 53.87 ± 1.14 ab | 37.25 ± 0.90 b | ||
| Factors | Sd (cm) | Pb (g cm−3) | Pc (%) | Pn (%) | P (%) | Sa (%) | |
|---|---|---|---|---|---|---|---|
| Stand age | 5-year | 0–15 | 1.28 ± 0.04 b | 50.85 ± 0.95 a | 9.94 ± 0.83 a | 60.80 ± 1.12 a | 41.11 ± 0.87 a |
| 15–30 | 1.38 ± 0.03 b | 49.97 ± 0.92 a | 8.77 ± 0.74 a | 58.74 ± 1.29 a | 38.93 ± 0.91 a | ||
| 7-year | 0–15 | 1.40 ± 0.10 ab | 44.73 ± 2.91 ab | 9.97 ± 0.64 a | 54.70 ± 3.03 ab | 37.86 ± 1.72 a | |
| 15–30 | 1.42 ± 0.08 ab | 45.28 ± 2.62 ab | 10.43 ± 1.34 a | 55.71 ± 2.56 ab | 38.34 ± 1.43 a | ||
| 15-year | 0–15 | 1.44 ± 0.05 a | 41.36 ± 0.69 b | 7.77 ± 0.83 a | 49.13 ± 0.52 b | 37.60 ± 0.61 a | |
| 15–30 | 1.49 ± 0.04 a | 41.76 ± 1.18 b | 7.25 ± 1.30 a | 49.01 ± 0.77 b | 37.08 ± 0.90 a | ||
| Generation | 1st | 0–15 | 1.28 ± 0.04 ab | 50.85 ± 0.95 a | 9.94 ± 0.83 b | 60.8 ± 1.12 ab | 41.11 ± 0.87 bc |
| 15–30 | 1.38 ± 0.03 a | 49.97 ± 0.92 a | 8.77 ± 0.74 b | 58.74 ± 1.29 ab | 38.93 ± 0.91 c | ||
| 2nd | 0–15 | 1.16 ± 0.04 b | 47.79 ± 0.97 ab | 15.00 ± 1.04 a | 62.79 ± 1.46 a | 45.71 ± 1.20 a | |
| 15–30 | 1.27 ± 0.04 ab | 47.61 ± 1.07 ab | 15.07 ± 1.31 a | 62.68 ± 0.55 a | 45.41 ± 1.02 a | ||
| 3rd | 0–15 | 1.29 ± 0.05 ab | 44.03 ± 0.91 b | 14.67 ± 1.16 a | 58.70 ± 1.78 ab | 45.84 ± 1.28 a | |
| 15–30 | 1.38 ± 0.04 a | 43.86 ± 1.12 b | 13.32 ± 1.11 a | 57.18 ± 1.30 b | 43.57 ± 1.03 b | ||
| Factors | Pb | Pc | Pn | P | Sa |
|---|---|---|---|---|---|
| Forest type | 3.51 * | 1.39 | 2.05 | 2.38 * | 2.25 |
| Soil depth | 6.62 * | 0.04 | 2.46 | 0.61 | 2.86 * |
| Interaction | 0.20 | 0.24 | 0.16 | 0.10 | 0.05 |
| Stand age | 2.31 * | 12.58 *** | 3.92 * | 17.72 *** | 2.95 * |
| Soil depth | 1.18 | 0.00 | 0.26 | 0.07 | 0.64 |
| Interaction | 0.24 | 0.10 | 0.35 | 0.37 | 0.70 |
| Generation | 5.59 ** | 21.46 *** | 16.57 *** | 6.88 ** | 15.71 *** |
| Soil depth | 9.66 ** | 0.26 | 0.91 | 1.33 | 3.35 * |
| Interaction | 0.04 | 0.09 | 0.27 | 0.29 | 0.55 |
| Factors | Gd (g) | WL (%) | Whmax (g kg−1) | |
|---|---|---|---|---|
| Forest type | Eucalyptus | 811.91 ± 45.91 a | 8.51 ± 0.18 b | 1054.14 ± 71.80 a |
| Chinese Fir | 564.41 ± 91.24 b | 8.36 ± 0.19 b | 800.93 ± 119.95 b | |
| Pine | 611.08 ± 87.78 ab | 9.72 ± 0.67 a | 897.25 ± 126.99 ab | |
| Stand age | 5-year | 604.76 ± 56.27 b | 7.64 ± 0.13 b | 666.91 ± 58.98 c |
| 7-year | 1220.94 ± 106.6 a | 8.63 ± 0.28 a | 1637.39 ± 126.82 a | |
| 15-year | 788 ± 82.39 b | 9.01 ± 0.24 a | 1045.33 ± 131.55 b | |
| Generation | 1st | 604.76 ± 56.27 a | 7.64 ± 0.13 c | 666.91 ± 58.98 a |
| 2nd | 584.36 ± 39.66 a | 8.21 ± 0.39 b | 665.64 ± 51.81 a | |
| 3rd | 709.17 ± 94.69 a | 10.22 ± 0.38 a | 724.83 ± 81.27 a | |
| F Value | Forest type | 8.521 *** | 6.945 ** | 3.739 * |
| Stand age | 30.990 *** | 21.24 *** | 42.830 *** | |
| Generation | 2.159 | 38.15 *** | 0.591 | |
Disclaimer/Publisher’s Note: The statements, opinions and data contained in all publications are solely those of the individual author(s) and contributor(s) and not of MDPI and/or the editor(s). MDPI and/or the editor(s) disclaim responsibility for any injury to people or property resulting from any ideas, methods, instructions or products referred to in the content. |
© 2024 by the authors. Licensee MDPI, Basel, Switzerland. This article is an open access article distributed under the terms and conditions of the Creative Commons Attribution (CC BY) license (https://creativecommons.org/licenses/by/4.0/).
Share and Cite
Tan, Y.; Yang, K.; Qin, J.; Ni, L.; Liao, S.; Zeng, D.; Pan, H.; Gu, D. Soil Hydrology Characteristics among Forest Type, Stand Age and Successive Rotation in Eucalyptus Plantations in Southern China. Forests 2024, 15, 423. https://doi.org/10.3390/f15030423
Tan Y, Yang K, Qin J, Ni L, Liao S, Zeng D, Pan H, Gu D. Soil Hydrology Characteristics among Forest Type, Stand Age and Successive Rotation in Eucalyptus Plantations in Southern China. Forests. 2024; 15(3):423. https://doi.org/10.3390/f15030423
Chicago/Turabian StyleTan, Yu, Kaijun Yang, Jiashuang Qin, Longkang Ni, Suhui Liao, Danjuan Zeng, Huibiao Pan, and Daxing Gu. 2024. "Soil Hydrology Characteristics among Forest Type, Stand Age and Successive Rotation in Eucalyptus Plantations in Southern China" Forests 15, no. 3: 423. https://doi.org/10.3390/f15030423
APA StyleTan, Y., Yang, K., Qin, J., Ni, L., Liao, S., Zeng, D., Pan, H., & Gu, D. (2024). Soil Hydrology Characteristics among Forest Type, Stand Age and Successive Rotation in Eucalyptus Plantations in Southern China. Forests, 15(3), 423. https://doi.org/10.3390/f15030423

