Sawlog Recovery in Birch, Black Alder, and Aspen Stands of Hemiboreal Forests in Latvia
Abstract
1. Introduction
2. Materials and Methods
- ΔSawlogs—the difference in yield (per cent point);
- Sawlogstheor—theoretical sawlog recovery (%);
- Sawlogsactual—actual sawlog recovery (%).
- x—diameter class;
- α, β, and γ—function parameters.
- Dg—mean quadratic diameter of the forest element (cm);
- G—basal area of the forest element (m2 ha−1);
- α, β, γ—parameters of the Weibull function;
- ρ—empirical coefficient, which is 2.0 for birch and black alder and 3.0 for aspen.
- H—tree height (m);
- D—tree diameter (cm);
- Hg—height for the tree with the mean quadratic diameter of the forest element (m);
- Dg—mean quadratic diameter of the forest element (cm);
- a1, a2—species-specific empirical coefficients. For birch: a1 = 0.1925, a2 = 2.8489; for black alder: a1 = 0.1442, a2 = 2.8137; and for aspen: a1 = 0.1036, a2 = 3.6036.
- v—volume of a log without bark (m3);
- D—the measured diameter at centre of the diameter class (cm);
- H—height of the tree measured directly or found by smoothing the field data according to diameter class (m);
- h—the distance from the butt end to a freely selected cut (0 < h < H) (m);
- d—the actual diameter of the tree trunk with bark at height h (cm);
- P6(x)—the sixth-power polynomial describing the statistical average tree trunk form:
- x—relative height (x = h/H, 0 < x < 1);
- a0, a1, a2, …, a6—coefficients of the sixth-power polynomial (Table 2);
- Q4(x)—double thickness of bark in per cent of the diameter of the tree trunk with bark as the fourth-power polynomial:b0, b1, b2, b3, b4—coefficients of the fourth-power polynomial (Table 2).
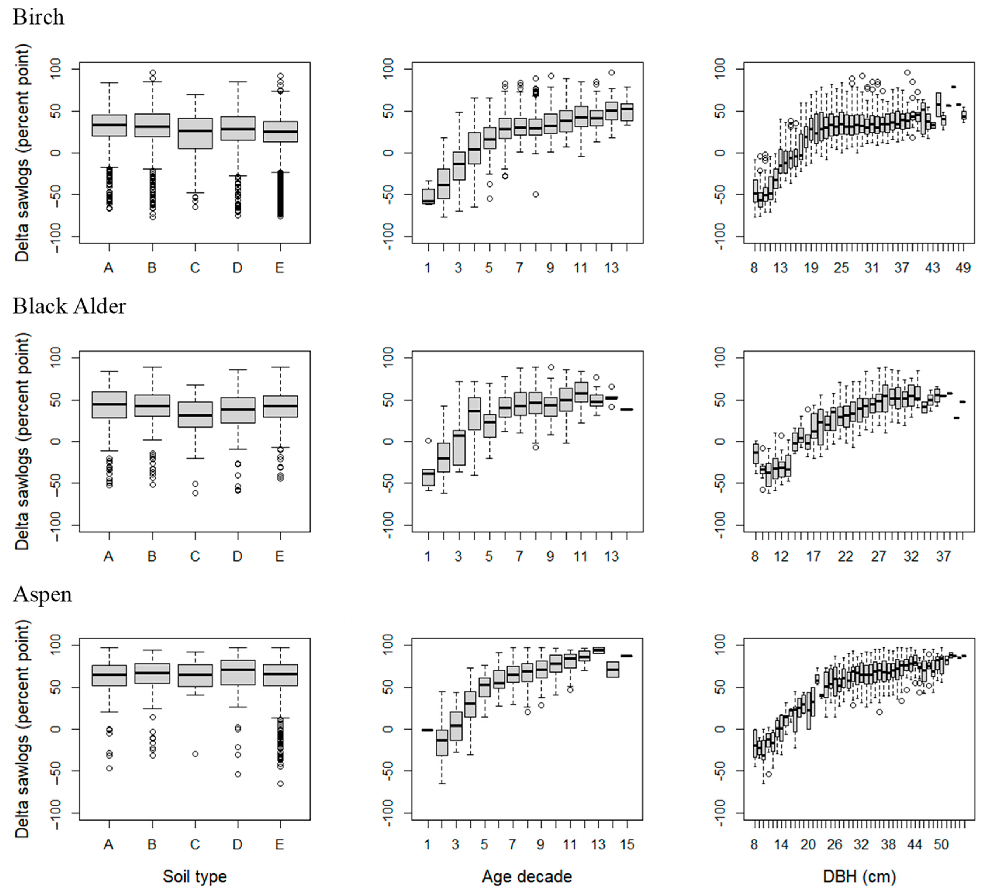
3. Results
4. Discussion
5. Conclusions
Author Contributions
Funding
Data Availability Statement
Acknowledgments
Conflicts of Interest
References
- Sharma, R.; Malaviya, P. Ecosystem services and climate action from a circular bioeconomy perspective. Renew. Sustain. Energy Rev. 2023, 175, 113164. [Google Scholar] [CrossRef]
- D’Amato, D.; Korhonen-Kurki, K.; Lyytikainen, V.; Matthies, B.D.; Horcea-Milcu, A.I. Circular bioeconomy: Actors and dynamics of knowledge co-production in Finland. For. Policy Econ. 2022, 144, 102820. [Google Scholar] [CrossRef]
- Högbom, L.; Abbas, D.; Armolaitis, K.; Baders, E.; Futter, M.; Jansons, A.; Jõgiste, K.; Lazdins, A.; Lukminė, D.; Mustonen, M.; et al. Trilemma of nordic–baltic forestry—How to implement un sustainable development goals. Sustainability 2021, 13, 5643. [Google Scholar] [CrossRef]
- Brunet-Navarro, P.; Jochheim, H.; Cardellini, G.; Richter, K.; Muys, B. Climate mitigation by energy and material substitution of wood products has an expiry date. J. Clean. Prod. 2021, 303, 127026. [Google Scholar] [CrossRef]
- Jonsson, R.; Rinaldi, F.; Pilli, R.; Fiorese, G.; Hurmekoski, E.; Cazzaniga, N.; Robert, N.; Camia, A. Boosting the EU forest-based bioeconomy: Market, climate, and employment impacts. Technol. Forecast. Soc. Chang. 2021, 163, 120478. [Google Scholar] [CrossRef]
- Howard, C.; Dymond, C.C.; Griess, V.C.; Tolkien-Spurr, D.; van Kooten, G.C. Wood product carbon substitution benefits: A critical review of assumptions. Carbon Balance Manag. 2021, 16, 9. [Google Scholar] [CrossRef] [PubMed]
- Leskinen, P.; Cardellini, G.; González-García, S.; Hurmekoski, E.; Sathre, R.; Seppälä, J.; Smyth, C.; Stern, T.; Verkerk, P.J. Substitution effects of wood-based products in climate change mitigation. In From Science to Policy 7; European Forest Institute: Joensuu, Finland, 2018; p. 27. [Google Scholar] [CrossRef]
- Alvites, C.; Marchetti, M.; Lasserre, B.; Santopuoli, G. LiDAR as a Tool for Assessing Timber Assortments: A Systematic Literature Review. Remote Sens. 2022, 14, 4466. [Google Scholar] [CrossRef]
- Klauss, K. The forest sector in the Baltic States: A united, growth-oriented economic ecosystem. In The forest Industry around the Baltic Sea Region: Future Challenges and Opportunities; Liuhto, K., Ed.; Centrum Balticum Foundation: Turku, Finland, 2020; pp. 59–68. [Google Scholar]
- Girdziušas, S.; Löf, M.; Hanssen, K.H.; Lazdiņa, D.; Madsen, P.; Saksa, T.; Liepiņš, K.; Fløistad, I.S.; Metslaid, M. Forest regeneration management and policy in the Nordic–Baltic region since 1900. Scand. J. For. Res. 2021, 36, 513–523. [Google Scholar] [CrossRef]
- Akkurt, T.; Kallakas, H.; Rohumaa, A.; Hunt, C.G.; Kers, J. Impact of Aspen and Black Alder Substitution in Birch Plywood. Forests 2022, 13, 142. [Google Scholar] [CrossRef]
- Petráš, R.; Mecko, J.; Nociar, V. Models of assortment yield tables for poplar clones. J. For. Sci. 2008, 54, 227–233. [Google Scholar] [CrossRef]
- Hörnfeldt, R.; Drouin, M.; Woxblom, L. False heartwood in beech Fagus sylvatica, birch Betula pendula, B. papyrifera and ash Fraxinus excelsior—An overview. Ecol. Bull. 2010, 53, 61–76. [Google Scholar]
- Vacek, Z.; Cukor, J.; Linda, R.; Vacek, S.; Šimůnek, V.; Brichta, J.; Gallo, J.; Prokůpková, A. Bark stripping, the crucial factor affecting stem rot development and timber production of Norway spruce forests in Central Europe. For. Ecol. Manag. 2020, 474, 118360. [Google Scholar] [CrossRef]
- Schneider, R.; Riopel, M.; Pothier, D.; Côté, L. Predicting decay and round-wood end use volume in trembling aspen (Populus tremuloides Michx.). Ann. For. Sci. 2008, 65, 608. [Google Scholar] [CrossRef]
- Karaszewski, Z.; Mederski, P.S.; Bembenek, M.; Giefing, D.F.; Sawicka, K.; Gierszewska, M. Factors affecting the timber quality of black alder (Alnus glutinosa (L.) Gaertn.). Ann. Wars. Agric. Univ. SGGW For. Wood Technol. 2015, 89, 70–75. [Google Scholar]
- Harkonen, S.; Pulkkinen, A.; Herajarvi, H. Wood quality of birch (Betula spp.) trees damaged by moose. Alces 2009, 45, 67–72. [Google Scholar]
- Noordermeer, L.; Korpunen, H.; Berg, S.; Gobakken, T.; Astrup, R. Economic losses caused by butt rot in Norway spruce trees in Norway. Scand. J. For. Res. 2023, 38, 497–505. [Google Scholar] [CrossRef]
- Liepiņš, J.; Jaunslaviete, I.; Liepiņš, K.; Jansone, L.; Matisons, R.; Lazdiņš, A.; Jansons, Ā. Effect of stem rot on wood basic density, carbon, and nitrogen content of living deciduous trees in hemiboreal forests. Silva Fenn. 2023, 57, 23040. [Google Scholar] [CrossRef]
- Marra, R.E.; Brazee, N.J.; Fraver, S. Estimating carbon loss due to internal decay in living trees using tomography: Implications for forest carbon budgets. Environ. Res. Lett. 2018, 13, 105004. [Google Scholar] [CrossRef]
- Seidl, R.; Thom, D.; Kautz, M.; Martin-Benito, D.; Peltoniemi, M.; Vacchiano, G.; Wild, J.; Ascoli, D.; Petr, M.; Honkaniemi, J.; et al. Forest disturbances under climate change. Nat. Clim. Chang. 2017, 7, 395–402. [Google Scholar] [CrossRef]
- Ozolins, R. Forest stand assortment structure analysis using mathematical modelling. For. Stud. Uurim. 2002, 37, 33–42. [Google Scholar]
- Šņepsts, G.; Donis, J.; Zariņš, J. Priekšlikumi Latvijas Meža Resursu Vērtības un Apsaimniekošanas Efektivitātes Paaugstināšanai Ilgtermiņā un Atbalsts Mežsaimniecības Stratēģiskās Ietekmes uz Vidi Novērtējumam (Proposals for increasing the Value and Management Efficiency of Latvian Forest Resources in the Long Term and Support for the Strategic Assessment of Impact of Forestry on the Environment); Latvian State Forest Research Institute “Silava”: Salaspils, Latvia, 2020; p. 74. (In Latvian) [Google Scholar]
- Claessens, H.; Oosterbaan, A.; Savill, P.; Rondeux, J. A review of the characteristics of black alder (Alnus glutinosa (L.) Gaertn.) and their implications for silvicultural practices. Forestry 2010, 83, 163–175. [Google Scholar] [CrossRef]
- Hynynen, J.; Niemisto, P.; Vihera-Aarnio, A.; Brunner, A.; Hein, S.; Velling, P. Silviculture of birch (Betula pendula Roth and Betula pubescens Ehrh.) in northern Europe. Forestry 2010, 83, 103–119. [Google Scholar] [CrossRef]
- Worrell, R. European aspen (Populus tremula L.): A review with particular reference to Scotland I. Distribution, ecology and genetic variation. Forestry 1995, 68, 93–105. [Google Scholar] [CrossRef]
- Zeps, M.; Senhofa, S.; Zadina, M.; Neimane, U.; Jansons, A. Stem damages caused by heart rot and large poplar borer on hybrid and European aspen. For. Stud. 2017, 66, 21–26. [Google Scholar] [CrossRef][Green Version]
- Ward, A.I.; White, P.C.L.; Smith, A.; Critchley, C.H. Modelling the cost of roe deer browsing damage to forestry. For. Ecol. Manag. 2004, 191, 301–310. [Google Scholar] [CrossRef]
- Riesco Muñoz, G.; Remacha Gete, A.; Gasalla Regueiro, M. Variation in log quality and prediction of sawing yield in oak wood (Quercus robur). Ann. For. Sci. 2013, 70, 695–706. [Google Scholar] [CrossRef]
- Riesco Muñoz, G.; Remacha Gete, A.; Gasalla Regueiro, M. Sawing yield in oak (Quercus robur) wood affected by insect damage. Int. Biodeterior. Biodegrad. 2014, 86, 102–107. [Google Scholar] [CrossRef]
- Marschall, J.M.; Guyette, R.P.; Stambaugh, M.C.; Stevenson, A.P. Fire damage effects on red oak timber product value. For. Ecol. Manag. 2014, 320, 182–189. [Google Scholar] [CrossRef]
- Gobakken, T. Models for Assessing Timber Grade Distribution and Economic Value of Standing Birch Trees. Scand. J. For. Res. 2000, 15, 570–578. [Google Scholar] [CrossRef]
- McDonald, R.I.; Urban, D.L. Forest edges and tree growth rates in the North Carolina Piedmont. Ecology 2004, 85, 2258–2266. [Google Scholar] [CrossRef]
- Roberts, S.D.; Harrington, C.A. Individual tree growth response to variable-density thinning in coastal Pacific Northwest forests. For. Ecol. Manag. 2008, 255, 2771–2781. [Google Scholar] [CrossRef]
- Buss, K. Forest ecosystem classification in Latvia. Proc. Latv. Acad. Sci. Sect. B 1997, 51, 204–218. [Google Scholar]
- Hytönen, J.; Saramäki, J.; Niemistö, P. Growth, stem quality and nutritional status of Betula pendula and Betula pubescens in pure stands and mixtures. Scand. J. For. Res. 2014, 29, 1–11. [Google Scholar] [CrossRef]
- Zalitis, T. The Analysis of Silver Birch (Betula pendula Roth.) Stands in State and Private Forests in Latvia. In Research for Rural Development: Annual 14th International Scientific Conference Proceedings; Latvia University of Agriculture: Jelgava, Latvia, 2008; pp. 146–150. [Google Scholar]

| Stand Element Characteristics | Description | Classes/Parameter | Birch | Black Alder | Aspen |
|---|---|---|---|---|---|
| Age, years | Average age of trees belonging to one forest element | Range | 10–141 | 10–134 | 10–144 |
| Mean ± SD | 69.4 ± 26.5 | 69.2 ± 23.7 | 71.6 ± 20.9 | ||
| Height, m | Average height of trees belonging to one forest element | Range | 8–36 | 8–35 | 8–35 |
| Mean ± SD | 23.9 ± 5.5 | 22.8 ± 4.7 | 27.8 ± 4.8 | ||
| DBH, cm | Average DBH of trees belonging to one forest element | Range | 8–49 | 8–42 | 8–60 |
| Mean ± SD | 25.1 ± 7.3 | 25 ± 5.7 | 33.9 ± 8.4 | ||
| Volume, m3 | The volume of assortments prepared in the felling | Range | 30–1015 | 30–753 | 30–1567 |
| Mean ± SD | 145 ± 110 | 116 ± 91 | 195 ± 200 | ||
| Area, ha | Felling area | Range | 0.5–5.0 | 0.5–5.0 | 0.5–5.0 |
| Mean ± SD | 1.7 ± 0.9 | 1.7 ± 0.7 | 1.9 ± 1.0 | ||
| Site type | Site type groups, based on the depth of the peat layer and moisture regime | Dry mineral soil, number of fellings | 1229 | 158 | 555 |
| Wet mineral soil, number of fellings | 369 | 109 | 119 | ||
| Peat soil, number of fellings | 137 | 40 | 22 | ||
| Drained mineral soil, number of fellings | 816 | 194 | 252 | ||
| Drained peat soil, number of fellings | 491 | 183 | 71 |
| Coefficient | Birch | Black Alder | Aspen |
|---|---|---|---|
| a0 | 120.567 | 120.224 | 110.428 |
| a1 | −312.074 | −310.985 | −143.288 |
| a2 | 1388.288 | 1450.125 | 530.481 |
| a3 | −3725.819 | −4238.703 | −1643.3 |
| a4 | 5197.005 | 6644.011 | 2606.605 |
| a5 | −3788.858 | −5408.312 | −2212.94 |
| a6 | 1120.891 | 1743.64 | 752.018 |
| b0 | 9.61 | 8.34 | 7.57 |
| b1 | −39.92 | 0.93 | −17.99 |
| b2 | 117.49 | 20.45 | 43.35 |
| b3 | −134.22 | −62.45 | −37.07 |
| b4 | 55.73 | 55 | 14.24 |
| Type of Assortment | Species | Assortment Length, m | Minimum Diameter of the Assortment, cm |
|---|---|---|---|
| Thick sawlogs | Birch | 2.8 | 18.0 |
| Black alder | 2.5 | 24.0 | |
| Aspen | 2.5 | 24.0 | |
| Thin sawlogs | Birch | 2.4 | 12.0 |
| Black alder | 2.4 | 12.0 | |
| Aspen | 2.4 | 12.0 |
| Species | Actual Volume, m3 | Theoretical Volume, m3 | ||
|---|---|---|---|---|
| Mean | SE | Mean | SE | |
| Birch | 50.09 | 0.62 | 69.21 | 0.81 |
| Black Alder | 31.37 | 1.26 | 58.02 | 1.88 |
| Aspen | 29.43 | 0.96 | 92.37 | 2.49 |
| Species | Wald Chi-Square | df | Sig. | |
|---|---|---|---|---|
| Birch | Intercept | 3749.430 | 1 | <0.001 |
| Soil Type | 113.935 | 4 | <0.001 | |
| ln(Age) | 345.079 | 1 | <0.001 | |
| ln(DBH) | 227.568 | 1 | <0.001 | |
| Black Alder | Intercept | 592.336 | 1 | <0.001 |
| Soil Type | 7.174 | 4 | 0.127 | |
| ln(Age) | 6.424 | 1 | 0.011 | |
| ln(DBH) | 162.596 | 1 | <0.001 | |
| Aspen | Intercept | 1123.854 | 1 | <0.001 |
| Soil Type | 5.385 | 4 | 0.250 | |
| ln(Age) | 139.033 | 1 | <0.001 | |
| ln(DBH) | 79.407 | 1 | <0.001 | |
| Species | Variable | Estimate | Standard Error | 95% Wald Confidence Interval | Sig. | |
|---|---|---|---|---|---|---|
| Lower | Upper | |||||
| Birch | Intercept | −174.119 | 2.8368 | −179.679 | −168.559 | <0.001 |
| DrainedPeatSoil | 8.238 | 0.9136 | 6.447 | 10.028 | <0.001 | |
| DrainedMineralSoil | 6.161 | 0.7700 | 4.652 | 7.670 | <0.001 | |
| PeatSoil | 4.571 | 1.5711 | 1.492 | 7.650 | 0.004 | |
| WetMineralSoil | 6.062 | 1.0179 | 4.067 | 8.057 | <0.001 | |
| DryMineralSoil | - | - | - | - | - | |
| ln(Age) | 24.237 | 1.3047 | 21.680 | 26.794 | <0.001 | |
| ln(DBH) | 29.791 | 1.9748 | 25.920 | 33.661 | <0.001 | |
| Black Alder | Intercept | −195.027 | 8.2000 | −211.098 | −178.955 | <0.001 |
| DrainedPeatSoil | 4.714 | 1.8675 | 1.054 | 8.374 | 0.012 | |
| DrainedMineralSoil | 2.186 | 1.8406 | −1.422 | 5.793 | 0.235 | |
| PeatSoil | 2.062 | 3.0761 | −3.967 | 8.091 | 0.503 | |
| WetMineralSoil | 0.861 | 2.1506 | −3.354 | 5.076 | 0.689 | |
| DryMineralSoil | - | - | - | - | - | |
| ln(Age) | 6.804 | 2.6847 | 1.543 | 12.066 | 0.011 | |
| ln(DBH) | 63.606 | 4.9882 | 53.829 | 73.383 | <0.001 | |
| Aspen | Intercept | −160.370 | 4.7425 | −169.665 | −151.075 | <0.001 |
| DrainedPeatSoil | −3.540 | 1.8369 | −7.141 | 0.060 | 0.054 | |
| DrainedMineralSoil | −1.145 | 1.1144 | −3.329 | 1.040 | 0.304 | |
| PeatSoil | −4.020 | 3.1718 | −10.236 | 2.197 | 0.205 | |
| WetMineralSoil | −0.398 | 1.4762 | −3.292 | 2.495 | 0.787 | |
| DryMineralSoil | - | - | - | - | - | |
| ln(Age) | 29.344 | 2.4887 | 24.467 | 34.222 | <0.001 | |
| ln(DBH) | 28.382 | 3.1851 | 22.140 | 34.625 | <0.001 | |
Disclaimer/Publisher’s Note: The statements, opinions and data contained in all publications are solely those of the individual author(s) and contributor(s) and not of MDPI and/or the editor(s). MDPI and/or the editor(s) disclaim responsibility for any injury to people or property resulting from any ideas, methods, instructions or products referred to in the content. |
© 2024 by the authors. Licensee MDPI, Basel, Switzerland. This article is an open access article distributed under the terms and conditions of the Creative Commons Attribution (CC BY) license (https://creativecommons.org/licenses/by/4.0/).
Share and Cite
Donis, J.; Šņepsts, G.; Zeltiņš, P.; Jansons, J.; Zālītis, P.; Jansons, Ā. Sawlog Recovery in Birch, Black Alder, and Aspen Stands of Hemiboreal Forests in Latvia. Forests 2024, 15, 326. https://doi.org/10.3390/f15020326
Donis J, Šņepsts G, Zeltiņš P, Jansons J, Zālītis P, Jansons Ā. Sawlog Recovery in Birch, Black Alder, and Aspen Stands of Hemiboreal Forests in Latvia. Forests. 2024; 15(2):326. https://doi.org/10.3390/f15020326
Chicago/Turabian StyleDonis, Jānis, Guntars Šņepsts, Pauls Zeltiņš, Jurģis Jansons, Pēteris Zālītis, and Āris Jansons. 2024. "Sawlog Recovery in Birch, Black Alder, and Aspen Stands of Hemiboreal Forests in Latvia" Forests 15, no. 2: 326. https://doi.org/10.3390/f15020326
APA StyleDonis, J., Šņepsts, G., Zeltiņš, P., Jansons, J., Zālītis, P., & Jansons, Ā. (2024). Sawlog Recovery in Birch, Black Alder, and Aspen Stands of Hemiboreal Forests in Latvia. Forests, 15(2), 326. https://doi.org/10.3390/f15020326

