A Novel Workflow for Mapping Forest Canopy Height by Synergizing ICESat-2 and Multi-Sensor Data
Abstract
1. Introduction
2. Study Area
3. Dataset and Methods
3.1. Datasets
3.1.1. Sentinel-2 Multi-Spectral Imagery
3.1.2. Sentinel-1 SAR Imagery
3.1.3. ICESat-2 ATLAS
3.1.4. Ground Reference Data
3.1.5. Ancillary Data
3.2. Forest Species Mapping Algorithm
3.2.1. Spectral–Temporal Profiles of Vegetation
3.2.2. Development of Normalized Spectral Features
3.2.3. Design of Forest Species Mapping Model
3.3. FCH Inversion Algorithm
3.3.1. Characterizations of Different Forest Species
3.3.2. Multivariate Quality Control Based on Forest Species
3.3.3. FCH Inversion Model Building
3.4. Machine Learning Algorithm
4. Results
4.1. Forest Species Mapping
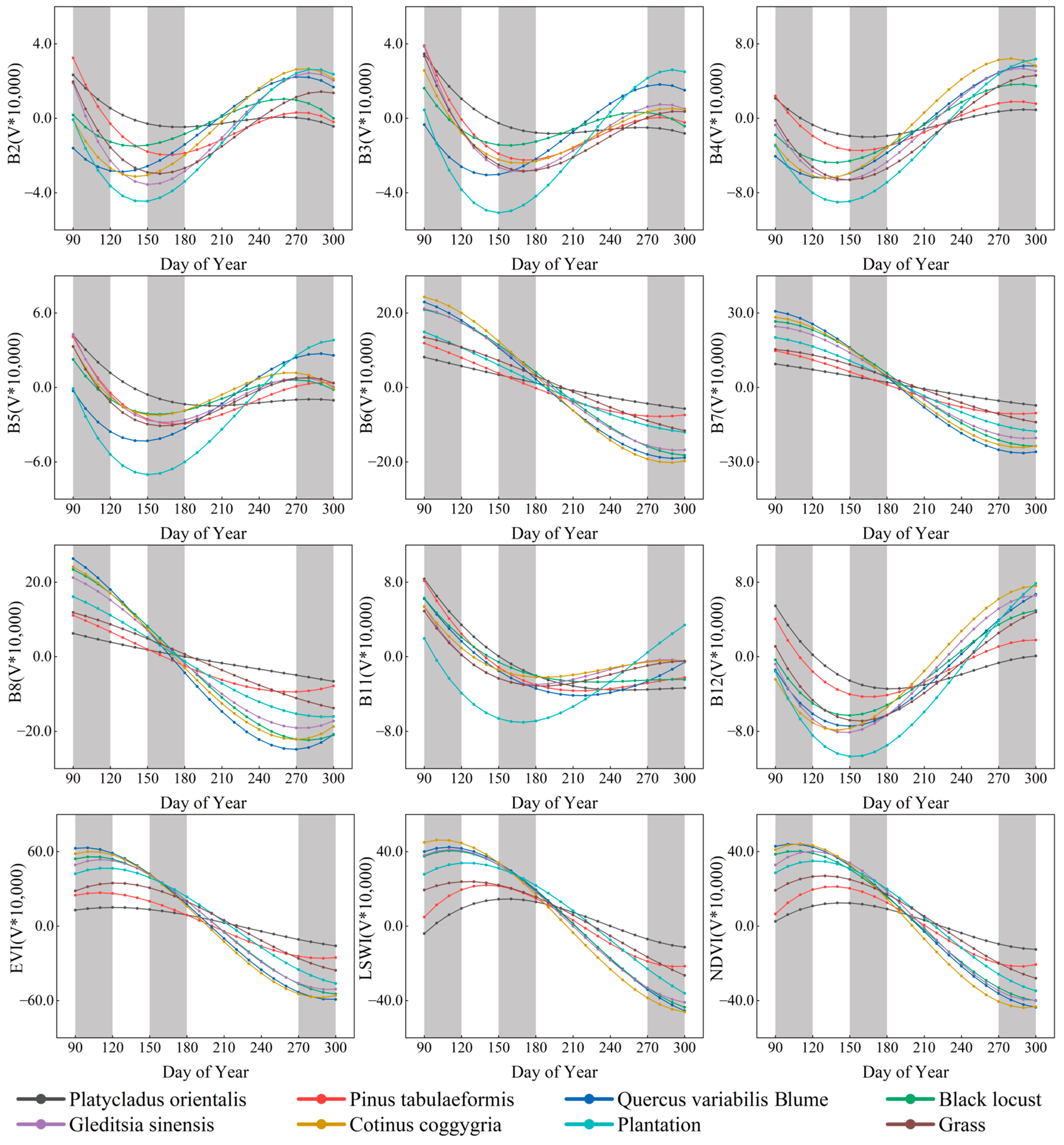
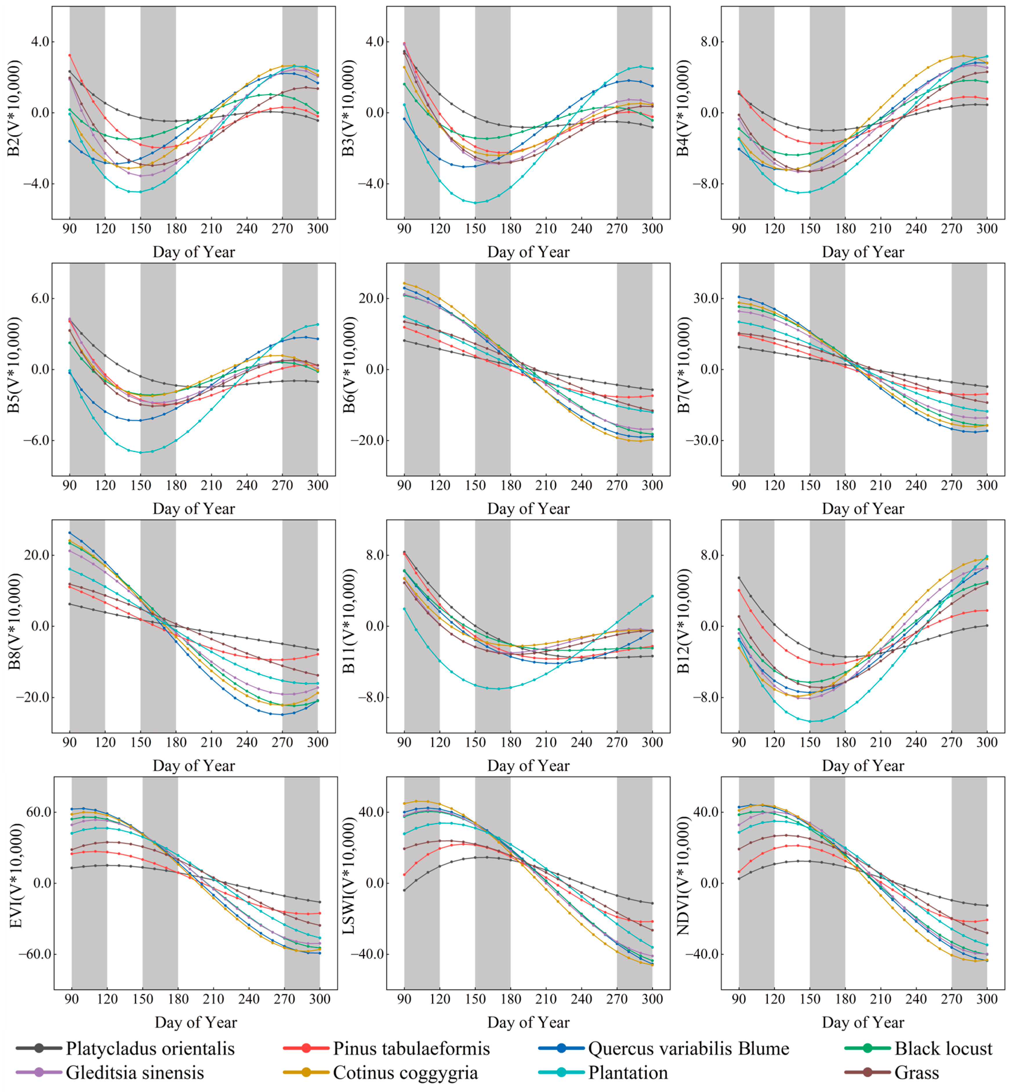
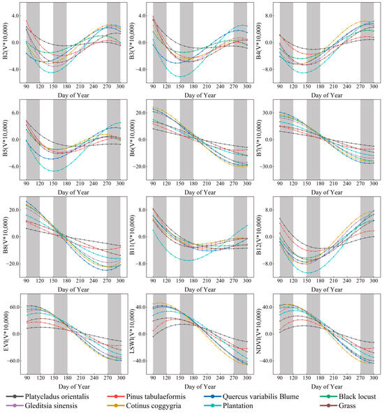
4.1.1. Spectral–Temporal Characteristics of Vegetation
4.1.2. Optimizing of NSFS
4.1.3. Comparison of Classification Schemes
4.1.4. Forest Species Distribution Map
4.2. FCH Inversion
4.2.1. ICESat-2 Response Canopy Height and ALS-Derived Canopy Height Metrics
4.2.2. FCH Model Development
4.2.3. FCH Mapping
5. Discussion
5.1. Integration of Key Phenological Periods and Normalized Spectral Features for Forest Species Maps
5.2. Algorithm Development in FCH Inversion over Large Spatial Domains
5.3. Limitations and Future Improvements
6. Conclusions
Supplementary Materials
Author Contributions
Funding
Data Availability Statement
Conflicts of Interest
References
- Balzter, H.; Rowland, C.S.; Saich, P. Forest canopy height and carbon estimation at Monks Wood National Nature Reserve, UK, using dual-wavelength SAR interferometry. Remote Sens. Environ. 2007, 108, 224–239. [Google Scholar] [CrossRef]
- Ghosh, S.M.; Behera, M.D.; Kumar, S.; Das, P.; Prakash, A.J.; Bhaskaran, P.K.; Roy, P.S.; Barik, S.K.; Jeganathan, C.; Srivastava, P.K. Predicting the forest canopy height from LiDAR and multi-sensor data using machine learning over India. Remote Sens. 2022, 14, 5968. [Google Scholar] [CrossRef]
- Wu, Z.; Shi, F. Mapping forest canopy height at large scales using ICESat-2 and Landsat: An ecological zoning random forest approach. IEEE Trans. Geosci. Remote Sens. 2022, 61, 4400116. [Google Scholar] [CrossRef]
- Xi, Z.; Xu, H.; Xing, Y.; Gong, W.; Chen, G.; Yang, S. Forest canopy height mapping by synergizing icesat-2, sentinel-1, sentinel-2 and topographic information based on machine learning methods. Remote Sens. 2022, 14, 364. [Google Scholar] [CrossRef]
- Jin, C.; Oh, C.; Shin, S.; Wilfred Njungwi, N.; Choi, C. A comparative study to evaluate accuracy on canopy height and density using UAV, ALS, and fieldwork. Forests 2020, 11, 241. [Google Scholar] [CrossRef]
- Lu, D.; Chen, Q.; Wang, G.; Liu, L.; Li, G.; Moran, E. A survey of remote sensing-based aboveground biomass estimation methods in forest ecosystems. Int. J. Digit. Earth 2016, 9, 63–105. [Google Scholar] [CrossRef]
- Markus, T.; Neumann, T.; Martino, A.; Abdalati, W.; Brunt, K.; Csatho, B.; Farrell, S.; Fricker, H.; Gardner, A.; Harding, D. The Ice, Cloud, and land Elevation Satellite-2 (ICESat-2): Science requirements, concept, and implementation. Remote Sens. Environ. 2017, 190, 260–273. [Google Scholar] [CrossRef]
- Feng, T.; Duncanson, L.; Montesano, P.; Hancock, S.; Minor, D.; Guenther, E.; Neuenschwander, A. A systematic evaluation of multi-resolution ICESat-2 ATL08 terrain and canopy heights in boreal forests. Remote Sens. Environ. 2023, 291, 113570. [Google Scholar] [CrossRef]
- Li, W.; Niu, Z.; Shang, R.; Qin, Y.; Wang, L.; Chen, H. High-resolution mapping of forest canopy height using machine learning by coupling ICESat-2 LiDAR with Sentinel-1, Sentinel-2 and Landsat-8 data. Int. J. Appl. Earth Obs. Geoinf. 2020, 92, 102163. [Google Scholar] [CrossRef]
- Liu, X.; Su, Y.; Hu, T.; Yang, Q.; Liu, B.; Deng, Y.; Tang, H.; Tang, Z.; Fang, J.; Guo, Q. Neural network guided interpolation for mapping canopy height of China’s forests by integrating GEDI and ICESat-2 data. Remote Sens. Environ. 2022, 269, 112844. [Google Scholar] [CrossRef]
- Sang, M.; Xiao, H.; Jin, Z.; He, J.; Wang, N.; Wang, W. Improved Mapping of Regional Forest Heights by Combining Denoise and LightGBM Method. Remote Sens. 2023, 15, 5436. [Google Scholar] [CrossRef]
- Zhang, T.; Liu, D. Improving ICESat-2-based boreal forest height estimation by a multivariate sample quality control approach. Methods Ecol. Evol. 2023, 14, 1623–1638. [Google Scholar] [CrossRef]
- Liu, A.; Cheng, X.; Chen, Z. Performance evaluation of GEDI and ICESat-2 laser altimeter data for terrain and canopy height retrievals. Remote Sens. Environ. 2021, 264, 112571. [Google Scholar] [CrossRef]
- Zhu, X.; Nie, S.; Zhu, Y.; Chen, Y.; Yang, B.; Li, W. Evaluation and Comparison of ICESat-2 and GEDI Data for Terrain and Canopy Height Retrievals in Short-Stature Vegetation. Remote Sens. 2023, 15, 4969. [Google Scholar] [CrossRef]
- Queinnec, M.; White, J.C.; Coops, N.C. Comparing airborne and spaceborne photon-counting LiDAR canopy structural estimates across different boreal forest types. Remote Sens. Environ. 2021, 262, 112510. [Google Scholar] [CrossRef]
- Malambo, L.; Popescu, S. Mapping vegetation canopy height across the contiguous United States using ICESat-2 and ancillary datasets. Remote Sens. Environ. 2024, 309, 114226. [Google Scholar] [CrossRef]
- Su, Y.; Guo, Q.; Hu, T.; Guan, H.; Jin, S.; An, S.; Chen, X.; Guo, K.; Hao, Z.; Hu, Y. An updated vegetation map of China (1: 1000000). Sci. Bull. 2020, 65, 1125–1136. [Google Scholar] [CrossRef]
- Nasiri, V.; Beloiu, M.; Darvishsefat, A.A.; Griess, V.C.; Maftei, C.; Waser, L.T. Mapping tree species composition in a Caspian temperate mixed forest based on spectral-temporal metrics and machine learning. Int. J. Appl. Earth Obs. Geoinf. 2023, 116, 103154. [Google Scholar] [CrossRef]
- Xiong, N.; Chen, H.; Li, R.; Su, H.; Dai, S.; Wang, J. A Method of Chestnut Forest Identification Based on Time Series and Key Phenology from Sentinel-2. Remote Sens. 2023, 15, 5374. [Google Scholar] [CrossRef]
- Hemmerling, J.; Pflugmacher, D.; Hostert, P. Mapping temperate forest tree species using dense Sentinel-2 time series. Remote Sens. Environ. 2021, 267, 112743. [Google Scholar] [CrossRef]
- Immitzer, M.; Neuwirth, M.; Böck, S.; Brenner, H.; Vuolo, F.; Atzberger, C. Optimal input features for tree species classification in Central Europe based on multi-temporal Sentinel-2 data. Remote Sens. 2019, 11, 2599. [Google Scholar] [CrossRef]
- Wang, M.; Zheng, Y.; Huang, C.; Meng, R.; Pang, Y.; Jia, W.; Zhou, J.; Huang, Z.; Fang, L.; Zhao, F. Assessing Landsat-8 and Sentinel-2 spectral-temporal features for mapping tree species of northern plantation forests in Heilongjiang Province, China. For. Ecosyst. 2022, 9, 100032. [Google Scholar] [CrossRef]
- Grabska, E.; Hostert, P.; Pflugmacher, D.; Ostapowicz, K. Forest stand species mapping using the Sentinel-2 time series. Remote Sens. 2019, 11, 1197. [Google Scholar] [CrossRef]
- Hu, Q.; Sulla-Menashe, D.; Xu, B.; Yin, H.; Tang, H.; Yang, P.; Wu, W. A phenology-based spectral and temporal feature selection method for crop mapping from satellite time series. Int. J. Appl. Earth Obs. Geoinf. 2019, 80, 218–229. [Google Scholar] [CrossRef]
- Guo, L.; Zhao, S.; Gao, J.; Zhang, H.; Zou, Y.; Xiao, X. A novel workflow for crop type mapping with a time series of synthetic aperture radar and optical images in the Google Earth Engine. Remote Sens. 2022, 14, 5458. [Google Scholar] [CrossRef]
- Mao, M.; Guo, P.; Zhu, X.; Yang, J.; Pan, D. Hydrochemical characterization and quality assessment of groundwater in the hilly area of the Taihang Mountains in Henan Province, China. Environ. Sci. Pollut. Res. 2021, 28, 43853–43871. [Google Scholar] [CrossRef] [PubMed]
- Liu, X.; Frey, J.; Munteanu, C.; Still, N.; Koch, B. Mapping tree species diversity in temperate montane forests using Sentinel-1 and Sentinel-2 imagery and topography data. Remote Sens. Environ. 2023, 292, 113576. [Google Scholar] [CrossRef]
- Blickensdörfer, L.; Oehmichen, K.; Pflugmacher, D.; Kleinschmit, B.; Hostert, P. National tree species mapping using Sentinel-1/2 time series and German National Forest Inventory data. Remote Sens. Environ. 2024, 304, 114069. [Google Scholar] [CrossRef]
- Nandy, S.; Srinet, R.; Padalia, H. Mapping forest height and aboveground biomass by integrating ICESat-2, Sentinel-1 and Sentinel-2 data using Random Forest algorithm in northwest Himalayan foothills of India. Geophys. Res. Lett. 2021, 48, e2021GL093799. [Google Scholar] [CrossRef]
- Zang, J.; Ni, W.; Zhang, Y. Spatially-explicit mapping annual oil palm heights in peninsular Malaysia combining ICESat-2 and stand age data. Remote Sens. Environ. 2023, 295, 113693. [Google Scholar] [CrossRef]
- Neuenschwander, A.; Pitts, K. The ATL08 land and vegetation product for the ICESat-2 Mission. Remote Sens. Environ. 2019, 221, 247–259. [Google Scholar] [CrossRef]
- Jiang, F.; Zhao, F.; Ma, K.; Li, D.; Sun, H. Mapping the forest canopy height in Northern China by synergizing ICESat-2 with Sentinel-2 using a stacking algorithm. Remote Sens. 2021, 13, 1535. [Google Scholar] [CrossRef]
- Neuenschwander, A.; Guenther, E.; White, J.C.; Duncanson, L.; Montesano, P. Validation of ICESat-2 terrain and canopy heights in boreal forests. Remote Sens. Environ. 2020, 251, 112110. [Google Scholar] [CrossRef]
- Wang, J.; Xiao, X.; Liu, L.; Wu, X.; Qin, Y.; Steiner, J.L.; Dong, J. Mapping sugarcane plantation dynamics in Guangxi, China, by time series Sentinel-1, Sentinel-2 and Landsat images. Remote Sens. Environ. 2020, 247, 111951. [Google Scholar] [CrossRef]
- Sexton, J.O.; Song, X.; Feng, M.; Noojipady, P.; Anand, A.; Huang, C.; Kim, D.; Collins, K.M.; Channan, S.; DiMiceli, C. Global, 30-m resolution continuous fields of tree cover: Landsat-based rescaling of MODIS vegetation continuous fields with lidar-based estimates of error. Int. J. Digit. Earth 2013, 6, 427–448. [Google Scholar] [CrossRef]
- Tiwari, K.; Narine, L.L. A comparison of machine learning and geostatistical approaches for mapping forest canopy height over the southeastern US using ICESat-2. Remote Sens. 2022, 14, 5651. [Google Scholar] [CrossRef]
- Zhao, G.; Wang, L.; Zheng, J.; Tuerxun, N.; Han, W.; Liu, L. Optimized Extraction Method of Fruit Planting Distribution Based on Spectral and Radar Data Fusion of Key Time Phase. Remote Sens. 2023, 15, 4140. [Google Scholar] [CrossRef]
- Luo, K.; Lu, L.; Xie, Y.; Chen, F.; Yin, F.; Li, Q. Crop type mapping in the central part of the North China Plain using Sentinel-2 time series and machine learning. Comput. Electron. Agric. 2023, 205, 107577. [Google Scholar] [CrossRef]
- Ashourloo, D.; Nematollahi, H.; Huete, A.; Aghighi, H.; Azadbakht, M.; Shahrabi, H.S.; Goodarzdashti, S. A new phenology-based method for mapping wheat and barley using time-series of Sentinel-2 images. Remote Sens. Environ. 2022, 280, 113206. [Google Scholar] [CrossRef]
- Somers, B.; Asner, G.P. Multi-temporal hyperspectral mixture analysis and feature selection for invasive species mapping in rainforests. Remote Sens. Environ. 2013, 136, 14–27. [Google Scholar] [CrossRef]
- Zou, Z.; Xiao, X.; Dong, J.; Qin, Y.; Doughty, R.B.; Menarguez, M.A.; Zhang, G.; Wang, J. Divergent trends of open-surface water body area in the contiguous United States from 1984 to 2016. Proc. Natl. Acad. Sci. USA 2018, 115, 3810–3815. [Google Scholar] [CrossRef] [PubMed]
- Dong, J.; Xiao, X.; Kou, W.; Qin, Y.; Zhang, G.; Li, L.; Jin, C.; Zhou, Y.; Wang, J.; Biradar, C. Tracking the dynamics of paddy rice planting area in 1986–2010 through time series Landsat images and phenology-based algorithms. Remote Sens. Environ. 2015, 160, 99–113. [Google Scholar] [CrossRef]
- Grabska, E.; Frantz, D.; Ostapowicz, K. Evaluation of machine learning algorithms for forest stand species mapping using Sentinel-2 imagery and environmental data in the Polish Carpathians. Remote Sens. Environ. 2020, 251, 112103. [Google Scholar] [CrossRef]
- Fernandez-Diaz, J.C.; Velikova, M.; Glennie, C.L. Validation of ICESat-2 ATL08 terrain and canopy height retrievals in tropical Mesoamerican forests. IEEE J. Sel. Top. Appl. Earth Observ. Remote Sens. 2022, 15, 2956–2970. [Google Scholar] [CrossRef]
- Neuenschwander, A.L.; Magruder, L.A. The potential impact of vertical sampling uncertainty on ICESat-2/ATLAS terrain and canopy height retrievals for multiple ecosystems. Remote Sens. 2016, 8, 1039. [Google Scholar] [CrossRef]
- Cook, R.D. Detection of influential observation in linear regression. Technometrics 2000, 42, 65–68. [Google Scholar] [CrossRef]
- Belgiu, M.; Drăguţ, L. Random forest in remote sensing: A review of applications and future directions. ISPRS J. Photogramm. Remote Sens. 2016, 114, 24–31. [Google Scholar] [CrossRef]
- Liu, X.; Zhai, H.; Shen, Y.; Lou, B.; Jiang, C.; Li, T.; Hussain, S.B.; Shen, G. Large-scale crop mapping from multisource remote sensing images in google earth engine. IEEE J. Sel. Top. Appl. Earth Observ. Remote Sens. 2020, 13, 414–427. [Google Scholar] [CrossRef]
- McNairn, H.; Shang, J. A review of multitemporal synthetic aperture radar (SAR) for crop monitoring. Remote Sens. Digit. Image Process. 2016, 20, 317–340. [Google Scholar]
- Zhong, L.; Hu, L.; Yu, L.; Gong, P.; Biging, G.S. Automated mapping of soybean and corn using phenology. ISPRS J. Photogramm. Remote Sens. 2016, 119, 151–164. [Google Scholar] [CrossRef]
- Qu, C.; Li, P.; Zhang, C. A spectral index for winter wheat mapping using multi-temporal Landsat NDVI data of key growth stages. ISPRS J. Photogramm. Remote Sens. 2021, 175, 431–447. [Google Scholar] [CrossRef]
- Liu, X.; Wang, L.; Li, L.; Zhu, X.; Chang, C.; Lan, H. Optimum Phenological Phases for Deciduous Species Recognition: A Case Study on Quercus acutissima and Robinia pseudoacacia in Mount Tai. Forests 2022, 13, 813. [Google Scholar] [CrossRef]
- Johnson, D.M. An assessment of pre-and within-season remotely sensed variables for forecasting corn and soybean yields in the United States. Remote Sens. Environ. 2014, 141, 116–128. [Google Scholar] [CrossRef]
- Georganos, S.; Grippa, T.; Vanhuysse, S.; Lennert, M.; Shimoni, M.; Kalogirou, S.; Wolff, E. Less is more: Optimizing classification performance through feature selection in a very-high-resolution remote sensing object-based urban application. Gisci. Remote Sens. 2018, 55, 221–242. [Google Scholar] [CrossRef]
- Kannan, K.S.; Manoj, K. Outlier detection in multivariate data. Appl. Math. Sci. 2015, 47, 2317–2324. [Google Scholar] [CrossRef]
- Lefsky, M.A. A global forest canopy height map from the Moderate Resolution Imaging Spectroradiometer and the Geoscience Laser Altimeter System. Geophys. Res. Lett. 2010, 37, 15. [Google Scholar] [CrossRef]
- Raha, D.; Dar, J.A.; Pandey, P.K.; Lone, P.A.; Verma, S.; Khare, P.K.; Khan, M.L. Variation in tree biomass and carbon stocks in three tropical dry deciduous forest types of Madhya Pradesh, India. Carbon Manag. 2020, 11, 109–120. [Google Scholar] [CrossRef]
- Khan, M.N.I.; Islam, M.R.; Rahman, A.; Azad, M.S.; Mollick, A.S.; Kamruzzaman, M.; Sadath, M.N.; Feroz, S.M.; Rakkibu, M.G.; Knohl, A. Allometric relationships of stand level carbon stocks to basal area, tree height and wood density of nine tree species in Bangladesh. Glob. Ecol. Conserv. 2020, 22, e01025. [Google Scholar] [CrossRef]
- Staben, G.; Lucieer, A.; Scarth, P. Modelling LiDAR derived tree canopy height from Landsat TM, ETM+ and OLI satellite imagery—A machine learning approach. Int. J. Appl. Earth Obs. Geoinf. 2018, 73, 666–681. [Google Scholar] [CrossRef]

















| Scheme | OA (%) | PA (%) | UA (%) | Avg. F1 (%) |
|---|---|---|---|---|
| Scheme 1 | 80.10 | 81.10 | 76.37 | 77.79 |
| Scheme 2 | 74.72 | 78.02 | 72.90 | 72.95 |
| Scheme 3 | 79.84 | 80.93 | 75.23 | 77.05 |
| Scheme 4 | 88.15 | 88.77 | 83.38 | 84.86 |
| Scheme 5 | 88.96 | 90.20 | 86.12 | 87.20 |
| Scheme 6 | 89.45 | 90.80 | 86.96 | 88.38 |
| Scheme 7 | 90.84 | 91.97 | 88.23 | 89.64 |
| ALS | ATL08 RH95 | ATL08 RH98 | Proposed Canopy Height | ||||||
|---|---|---|---|---|---|---|---|---|---|
| RMSE | rRMSE | R | RMSE | rRMSE | R | RMSE | rRMSE | R | |
| Mean | 4.53 | 0.29 | 0.09 | 7.01 | 0.44 | 0.47 | 5.92 | 0.37 | 0.56 |
| RH50 | 4.79 | 0.30 | 0.08 | 7.22 | 0.45 | 0.45 | 6.12 | 0.38 | 0.57 |
| RH75 | 5.83 | 0.35 | 0.06 | 5.87 | 0.35 | 0.45 | 4.89 | 0.29 | 0.59 |
| RH90 | 7.00 | 0.38 | 0.07 | 4.98 | 0.27 | 0.44 | 4.26 | 0.23 | 0.60 |
| RH95 | 7.77 | 0.40 | 0.06 | 4.72 | 0.25 | 0.43 | 4.27 | 0.22 | 0.58 |
| RH98 | 8.57 | 0.39 | 0.05 | 4.63 | 0.21 | 0.40 | 4.45 | 0.20 | 0.56 |
| RH100 | 10.05 | 0.46 | 0.05 | 4.69 | 0.21 | 0.40 | 5.21 | 0.24 | 0.51 |
Disclaimer/Publisher’s Note: The statements, opinions and data contained in all publications are solely those of the individual author(s) and contributor(s) and not of MDPI and/or the editor(s). MDPI and/or the editor(s) disclaim responsibility for any injury to people or property resulting from any ideas, methods, instructions or products referred to in the content. |
© 2024 by the authors. Licensee MDPI, Basel, Switzerland. This article is an open access article distributed under the terms and conditions of the Creative Commons Attribution (CC BY) license (https://creativecommons.org/licenses/by/4.0/).
Share and Cite
Guo, L.; Zhang, Y.; Xu, M.; Yan, J.; Zhang, H.; Zou, Y.; Gao, J. A Novel Workflow for Mapping Forest Canopy Height by Synergizing ICESat-2 and Multi-Sensor Data. Forests 2024, 15, 2139. https://doi.org/10.3390/f15122139
Guo L, Zhang Y, Xu M, Yan J, Zhang H, Zou Y, Gao J. A Novel Workflow for Mapping Forest Canopy Height by Synergizing ICESat-2 and Multi-Sensor Data. Forests. 2024; 15(12):2139. https://doi.org/10.3390/f15122139
Chicago/Turabian StyleGuo, Linghui, Yang Zhang, Muchao Xu, Jingjing Yan, Hebing Zhang, Youfeng Zou, and Jiangbo Gao. 2024. "A Novel Workflow for Mapping Forest Canopy Height by Synergizing ICESat-2 and Multi-Sensor Data" Forests 15, no. 12: 2139. https://doi.org/10.3390/f15122139
APA StyleGuo, L., Zhang, Y., Xu, M., Yan, J., Zhang, H., Zou, Y., & Gao, J. (2024). A Novel Workflow for Mapping Forest Canopy Height by Synergizing ICESat-2 and Multi-Sensor Data. Forests, 15(12), 2139. https://doi.org/10.3390/f15122139

