Evaluation and Validation of Reliable Reference Genes for Quantitative Real-Time PCR Analysis of the Gene Expression in Macadamia integrifolia
Abstract
1. Introduction
2. Materials and Methods
2.1. Plant Materials and Stress Treatments
2.2. Total RNA Isolation and cDNA Synthesis
2.3. Selection of Candidate Reference Genes and Primer Design
2.4. Real-Time Quantitative Polymerase Chain Reaction
2.5. Analysis of Real-Time PCR Data
2.6. Evaluating Reference Genes Expression
3. Results
3.1. Verification of Primer Specificity and PCR Efficiency
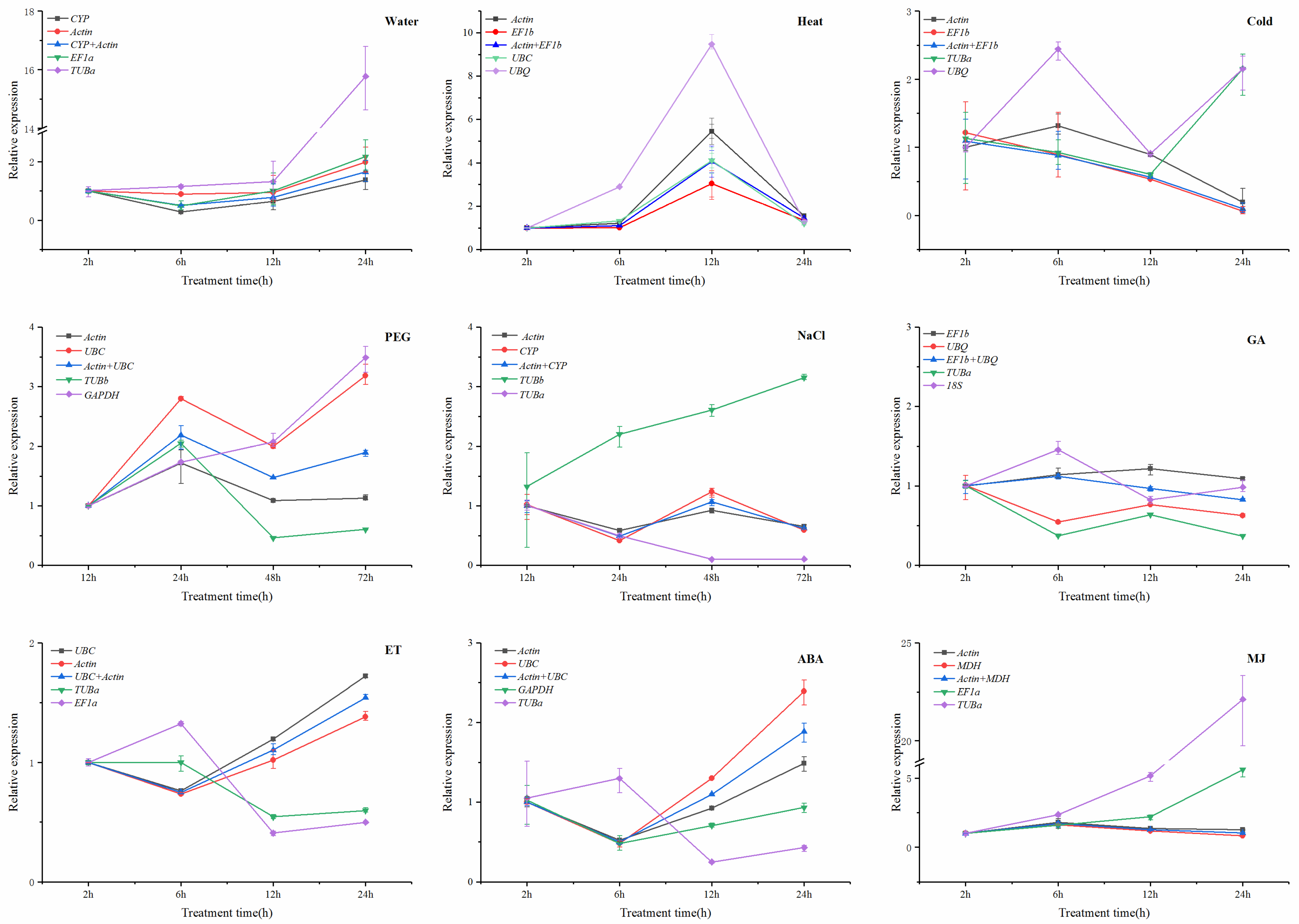
3.2. Expression Profile of the Candidate Reference Genes
3.3. Expression Stability Analysis of Candidate Reference Genes
3.3.1. ΔCt Algorithm Analysis
3.3.2. geNorm Analysis
3.3.3. NormFinder Analysis
3.3.4. BestKeeper Analysis
3.3.5. Comprehensive Ranking
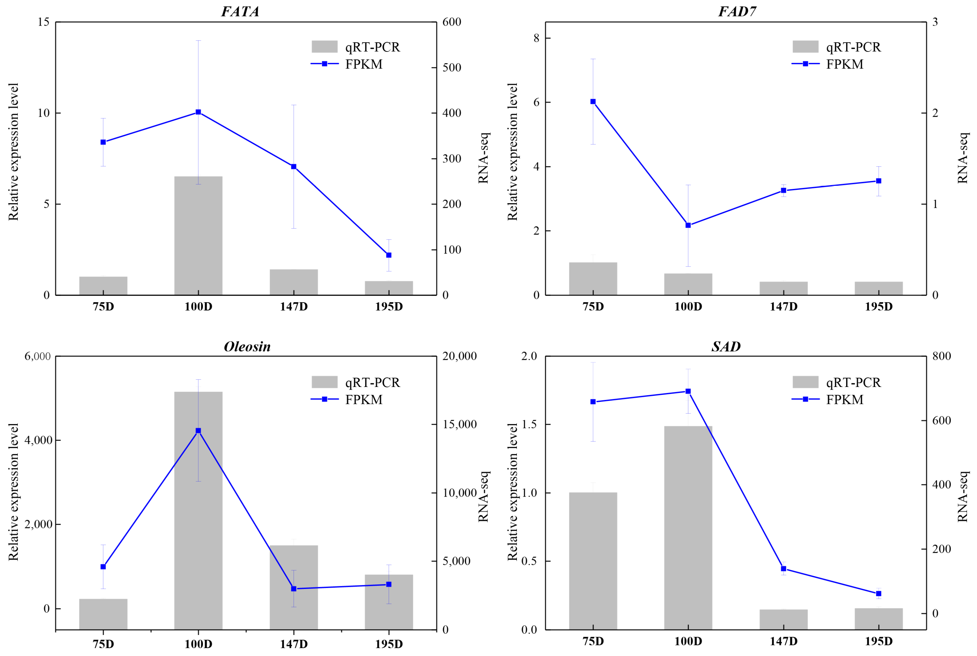
3.4. Validation of the Reference Genes with the SAD Gene
4. Discussion
5. Conclusions
Supplementary Materials
Author Contributions
Funding
Institutional Review Board Statement
Data Availability Statement
Acknowledgments
Conflicts of Interest
Abbreviations
| SAD | Δ9-Stearoyl-ACP desaturases | 
| 18S | 18S ribosome RNA | 
| ACT | Actin | 
| CYP | Cyclophilin | 
| EF1a | Elongation factor 1-α | 
| EF1b | Elongation factor 1-β | 
| GAPDH | Glyceraldehyde-3-phosphate dehydrogenase | 
| MDH | Malate dehydrogenease | 
| UBC | Ubiquitin-conjugating enzyme | 
| TUBa | Tubulin-α | 
| TUBb | Tubulin-β | 
| UBQ | Ubiquitin-A | 
| FATA | fatty acid thioesterase | 
| FAD | fatty acid desaturation | 
| MeJA | jasmonate | 
| ABA | abscisic acid | 
| GA | gibberrellins | 
| ETH | ethyrel | 
References
- Hardner, C.M.; Peace, C.; Lowe, A.J.; Neal, J.; Pisanu, P.; Powell, M.; Schmidt, A.; Spain, C.; Williams, K. Genetic resources and domestication of macadamia. Hortic. Rev. 2009, 35, 1–125. [Google Scholar] [CrossRef]
- Toft, B.D.; Alam, M.; Topp, B. Estimating genetic parameters of architectural and reproductive traits in young macadamia cultivars. Tree Genet. Genomes 2018, 14, 50. [Google Scholar] [CrossRef]
- Wallace, H.M.; Walton, D.A. Macadamia (Macadamia integrifolia, Macadamia tetraphylla and hybrids). In Woodhead Publishing Series in Food Science, Technology and Nutrition, Postharvest Biology and Technology of Tropical and Subtropical Fruits; Yahia, E.M., Ed.; Woodhead Publishing: Sawston, UK, 2011; pp. 450–473. [Google Scholar] [CrossRef]
- Cavaletto, C.G. Macadamia nuts. In Handbook of Tropical Foods; Chan, H.T., Ed.; Marcel Dekker Inc.: New York, NY, USA, 1983; pp. 361–397. [Google Scholar]
- Navarro, S.L.B.; Rodrigues, C.E.C. Macadamia oil extraction with alcoholic solvents: Yield and composition of macadamia oil and production of protein concentrates from defatted meal. Eur. J. Lipid Sci. Technol. 2018, 120, 1800092. [Google Scholar] [CrossRef]
- Maguire, L.S.; O’Sullivan, S.M.; Galvin, K.; O’Connor, T.P.; O’Brien, N.M. Fatty acid profile, tocopherol, squalene and phytosterol content of walnuts, almonds, peanuts, hazelnuts and the macadamia nut. Int. J. Food Sci. Nutr. 2004, 55, 171–178. [Google Scholar] [CrossRef] [PubMed]
- Rengel, A.; Pérez, E.; Piombo, G.; Ricci, J.; Servent, A.; Tapia, M.S.; Gibert, O.; Montet, D. Lipid profile and antioxidant activity of macadamia nuts (Macadamia integrifolia) cultivated in Venezuela. Nat. Sci. 2015, 7, 535–547. [Google Scholar] [CrossRef]
- Vadivel, V.; Kunyanga, C.N.; Biesalski, H.K. Health benefits of nut consumption with special reference to body weight control. Nutrition 2012, 28, 1089–1097. [Google Scholar] [CrossRef] [PubMed]
- Griel, A.E.; Cao, Y.; Bagshaw, D.D.; Cifelli, A.M.; Holub, B.; Kris-Etherton, P.M. A macadamia nut-rich diet reduces total and LDL-cholesterol in mildly hypercholesterolemic men and women. J. Nutr. 2008, 138, 761–767. [Google Scholar] [CrossRef]
- Kaijser, A.; Dutta, P.; Savage, G. Oxidative stability and lipid composition of macadamia nuts grown in New Zealand. Food Chem. 2000, 71, 67–70. [Google Scholar] [CrossRef]
- Wang, X.F.; Yang, R.N.; Xue, L.; Zhang, L.X.; Wang, X.P.; Zhang, Q.; Li, P.W. Determination of fatty acid composition of 28 kinds of functional vegetable oil. J. Food Saf. Qual. 2017, 8, 4336–4343. [Google Scholar] [CrossRef]
- Nock, C.J.; Baten, A.; King, G.J. Complete chloroplast genome of Macadamia integrifolia confirms the position of the Gondwanan early-diverging eudicot family Proteaceae. BMC Genom. 2014, 15, S13. [Google Scholar] [CrossRef][Green Version]
- Lin, J.S.; Zhang, W.P.; Zhang, X.T.; Ma, X.K.; Zhang, S.C.; Chen, S.A.; Wang, Y.B.; Jia, H.F.; Liao, Z.Y.; Jing, L.; et al. Signatures of selection in recently domesticated macadamia. Nat. Commun. 2022, 13, 242. [Google Scholar] [CrossRef] [PubMed]
- Niu, Y.F.; Li, G.H.; Ni, S.B.; He, X.Y.; Zheng, C.; Liu, Z.Y.; Gong, L.D.; Kong, G.H.; Li, W.; Liu, J. The chromosome-scale reference genome of Macadamia tetraphylla provides insights into fatty acid biosynthesis. Front. Genet. 2022, 13, 835363. [Google Scholar] [CrossRef] [PubMed]
- Wong, M.L.; Medrano, J.F. Real-time PCR for mRNA quantitation. Biotechniques 2005, 39, 75–85. [Google Scholar] [CrossRef] [PubMed]
- Bustin, S.A.; Benes, V.; Nolan, T.; Pfaffl, M.W. Quantitative real-time RT-PCR-a perspective. J. Mol. Endocrinol. 2005, 34, 597–601. [Google Scholar] [CrossRef]
- Zhou, Y.; Xia, H.; Liu, X.; Lin, Z.; Guo, Y.; Deng, H.; Wang, J.; Lin, L.; Deng, Q.; Lv, X.; et al. Identification of suitable reference genes for qRT-PCR normalization in Kiwifruit. Horticulturae 2022, 8, 170. [Google Scholar] [CrossRef]
- Lian, C.L.; Zhang, B.; Yang, J.F.; Lan, J.X.; Yang, H.; Guo, K.H.; Li, J.J.; Chen, S.Q. Validation of suitable reference genes by various algorithms for gene expression analysis in Isodon rubescens under different abiotic stresses. Sci. Rep. 2022, 12, 19599. [Google Scholar] [CrossRef]
- VanGuilder, H.D.; Vrana, K.E.; Freeman, W.M. Twenty-five years of quantitative PCR for gene expression analysis. Biotechniques 2008, 44, 619–626. [Google Scholar] [CrossRef] [PubMed]
- Huang, Y.X.; Tan, H.X.; Yu, J.; Chen, Y.; Guo, Z.Y.; Wang, G.Q.; Zhang, Q.L.; Chen, J.F.; Zhang, L.; Yong, D. Stable internal reference genes for normalizing real-time quantitative PCR in Baphicacanthus cusia under Hormonal Stimuli and UV Irradiation, and in different plant organs. Front. Plant Sci. 2017, 8, 668. [Google Scholar] [CrossRef]
- Ma, R.; Xu, S.; Zhao, Y.; Xia, B.; Wang, R. Selection and validation of appropriate reference genes for quantitative real-Time PCR analysis of gene expression in Lycoris aurea. Front. Plant Sci. 2016, 7, 536. [Google Scholar] [CrossRef]
- Bustin, S.A. Quantification of mRNA using real-time reverse transcription PCR (RT-PCR): Trends and problems. J. Mol. Endocrinol. 2002, 29, 23–39. [Google Scholar] [CrossRef]
- Huggett, J.; Dheda, K.; Bustin, S.; Zumla, A. Real-time RT-PCR normalization; strategies and considerations. Genes Immun. 2005, 6, 279–284. [Google Scholar] [CrossRef] [PubMed]
- Fei, P.; Lei, Z.; Cai, S.B.; Tang, X.N.; Mehmood, A.; Alnadari, F.; Tuersuntuoheti, T.; Zhou, N.; Ai, X. Prediction and evaluation of the 3D structure of Macadamia integrifolia antimicrobial protein 2 (MiAMP2) and its interaction with palmitoleic acid or oleic acid: An integrated computational approach. Food Chem. 2022, 367, 130677. [Google Scholar] [CrossRef]
- Gummeson, P.O.; Lenman, M.; Lee, M.; Singh, S.; Stymne, S. Characterisation of acyl-ACP desaturases from Macadamia integrifolia Maiden & Betche and Nerium oleander L. Plant Sci. 2000, 154, 53–60. [Google Scholar] [CrossRef]
- Rodríguez, M.F.; Sánchez-García, A.; Salas, J.J.; Garcés, R.; Martínez-Forc, E. Characterization of soluble acyl-ACP desaturases from Camelina sativa, Macadamia tetraphylla and Dolichandra unguis-cati. J Plant Physiol. 2015, 178, 35–42. [Google Scholar] [CrossRef]
- Moreno-Pérez, A.J.; Sánchez-García, A.; Salas, J.J.; Garcés, R.; Martínez-Force, E. Acyl-ACP thioesterases from macadamia (Macadamia tetraphylla) nuts: Cloning, characterization and their impact on oil composition. Plant Physiol. Biochem. 2011, 49, 82–87. [Google Scholar] [CrossRef]
- Silver, N.; Best, S.; Jiang, J.; Thein, S. Selection of housekeeping genes for gene expression studies in human reticulocytes using real-time PCR. BMC Mol. Biol. 2006, 7, 33. [Google Scholar] [CrossRef] [PubMed]
- Vandesompele, J.; Preter, K.D.; Pattyn, F.; Poppe, B.; Roy, N.V.; Paepe, A.D.; Speleman, F. Accurate normalization of real-time quantitative RT-PCR data by geometric averaging of multiple internal control genes. Genome Biol. 2002, 3, research0034.1. [Google Scholar] [CrossRef]
- Andersen, C.L.; Jensen, J.L.; Ørntoft, T.F. Normalization of real-time quantitative reverse transcription-PCR data: A model-based variance estimation approach to identify genes suited for normalization, applied to bladder and colon cancer data sets. Cancer Res. 2004, 64, 5245–5250. [Google Scholar] [CrossRef]
- Pfaffl, M.W.; Tichopad, A.; Prgomet, C.; Neuvians, T.P. Determination of stable housekeeping genes, differentially regulated target genes and sample integrity: BestKeeper-Excel-based tool using pair-wise correlations. Biotechnol. Lett. 2004, 26, 509–515. [Google Scholar] [CrossRef]
- Yang, Q.; Yang, Z.P.; Zhou, Y.L.; Chen, D.Q.; Liu, H. Screening of stable reference genes for qRT-PCR analysis in Macadamia integrifolia. Chin. J. Trop. Crops 2020, 41, 1504–1512. [Google Scholar]
- Yang, W.H.; Guo, S.X.; Xu, T.; Xiao, Y.; Lei, W.J. Expression of genes related to photosynthetic energy metabolism during leaf yellowing of macadamia. Chin. J. Trop. Crops 2024, 45, 1110–1119. [Google Scholar]
- Yang, Q.; Yang, Z.P.; Zou, M.H.; Song, X.M.; Wan, J.F.; Chen, J.; Luo, L.F.; Zeng, H. Cloning and expressing analysis of stearoyl-acyl-carrier-protein desaturase (SAD) from Macadamia intergrifolia. Chin. J. Trop. Crops 2023, 44, 254–263. [Google Scholar] [CrossRef]
- Ruijter, J.M.; Ramakers, C.; Hoogaars, W.M.H.; Karlen, Y.; Bakker, O.; Van den Hoff, M.J.B.; Moorman, A. Amplification efficiency: Linking baseline and bias in the analysis of quantitative PCR data. Nucleic Acids Res. 2009, 37, e45. [Google Scholar] [CrossRef] [PubMed]
- Xie, F.L.; Xiao, P.; Chen, D.L.; Xu, L.; Zhang, B.H. miRDeepFinder: A miRNA analysis tool for deep sequencing of plant small RNAs. Plant Mol. Biol. 2012, 80, 75–84. [Google Scholar] [CrossRef]
- Livak, K.J.; Schmittgen, T.D. Analysis of relative gene expression data using real-time quantitative PCR and the 2−ΔΔCT method. Methods 2001, 25, 402–408. [Google Scholar] [CrossRef]
- Bustin, S.A.; Benes, V.; Garson, J.A.; Hellemans, J.; Huggett, J.; Kubista, M.; Mueller, R.; Nolan, T.; Pfaffl, M.W.; Shipley, G.L.; et al. The MIQE guidelines: Minimum information for publication of quantitative real-time PCR experiments. Clin. Chem. 2009, 55, 611–622. [Google Scholar] [CrossRef]
- Czechowski, T.; Stitt, M.; Altmann, T.; Udvardi, M.K.; Scheible, W.R. Genome-wide identification and testing of superior reference genes for transcript normalization in Arabidopsis. Plant Physiol. 2005, 139, 5–17. [Google Scholar] [CrossRef]
- Remans, T.; Smeets, K.; Opdenakker, K.; Mathijsen, D.; Vangronsveld, J.; Cuypers, A. Normalizations of real-time RT-PCR gene expression measurements in Arabidopsis thaliana exposed to increased metal concentrations. Planta 2008, 227, 1343–1349. [Google Scholar] [CrossRef]
- Nolan, T.; Hands, R.E.; Bustin, S.A. Quantification of mRNA using real-time PCR. Nat. Protoc. 2006, 1, 1559–1582. [Google Scholar] [CrossRef]
- Brunner, A.M.; Yakovlev, I.A.; Strauss, S.H. Validating internal controls for quantitative plant gene expression studies. BMC Plant Biol. 2004, 4, 14. [Google Scholar] [CrossRef]
- Migocka, M.; Papierniak, A. Identification of suitable reference genes for studying gene expression in cucumber plants subjected to abiotic stress and growth regulators. Mol. Breed. 2011, 28, 343–357. [Google Scholar] [CrossRef]
- Martins, P.K.; Mafra, V.; Souza, W.R.; Ribeiro, A.P.; Vinecky, F.; Basso, M.F.; da Cunha, B.A.; Kobayashi, A.K.; Molinari, H.B. Selection of reliable reference genes for RT-qPCR analysis during developmental stages and abiotic stress in Setaria viridis. Sci. Rep. 2016, 6, 28348. [Google Scholar] [CrossRef]
- Guo, J.L.; Ling, H.; Wu, Q.B.; Xu, L.P.; Que, Y.X. The choice of reference genes for assessing gene expression in sugarcane under salinity and drought stresses. Sci. Rep. 2014, 4, 7042. [Google Scholar] [CrossRef]
- Long, X.Y.; Wang, J.R.; Ouellet, T.; Rocheleau, H.; Wei, Y.M.; Pu, Z.E.; Jiang, Q.T.; Lan, X.J.; Zheng, Y.L. Genome-wide identification and evaluation of novel internal control genes for Q-PCR based transcript normalization in wheat. Plant Mol. Biol. 2010, 74, 307–311. [Google Scholar] [CrossRef] [PubMed]
- Ma, S.H.; Niu, H.W.; Liu, C.J.; Zhang, J.; Hou, C.Y.; Wang, D.M. Expression stabilities of candidate reference genes for RT-qPCR under different stress conditions in soybean. PLoS ONE 2013, 8, e75271. [Google Scholar] [CrossRef] [PubMed]
- Wang, Z.; Chen, Y.; Fang, H.D.; Shi, H.F.; Chen, K.P.; Zhang, Z.Y.; Tan, X.L. Selection of reference genes for quantitative reverse-transcription polymerase chain reaction normalization in Brassica napus under various stress conditions. Mol. Genet. Genom. 2014, 289, 1023–1035. [Google Scholar] [CrossRef] [PubMed]
- Zhang, K.K.; Fan, W.; Chen, D.F.; Jiang, L.Y.; Li, Y.F.; Yao, Z.W.; Yang, Y.F.; Qiu, D.Y. Selection and validation of reference genes for quantitative gene expression normalization in Taxus spp. Sci. Rep. 2020, 10, 22205. [Google Scholar] [CrossRef]
- He, Y.H.; Yan, H.L.; Hua, W.P.; Huang, Y.Y.; Wang, Z.Z. Selection and validation of reference genes for quantitative real-time PCR in Gentiana macrophylla. Front. Plant Sci. 2016, 7, 945. [Google Scholar] [CrossRef]
- Chen, Y.; Hu, B.Y.; Tan, Z.Q.; Liu, J.; Yang, Z.M.; Li, Z.H.; Huang, B.R. Selection of reference genes for quantitative real-time PCR normalization in creeping bentgrass involved in four abiotic stresses. Plant Cell Rep. 2015, 34, 1825–1834. [Google Scholar] [CrossRef]
- Jian, B.; Liu, B.; Bi, Y.R.; Hou, W.S.; Wu, C.X.; Han, T.F. Validation of internal control for gene expression study in soybean by quantitative real-time PCR. BMC Mol. Bio. 2008, 9, 59. [Google Scholar] [CrossRef]
- Cruz, F.; Kalaoun, S.; Nobile, P.; Colombo, C.; Almeida, J.; Barros, L.M.; Romano, E.; Grossi-de-Sá, M.F.; Vaslin, M.; Alves-Ferreira, M. Evaluation of coffee reference genes for relative expression studies by quantitative real-time RT-PCR. Mol. Breed. 2009, 23, 607–616. [Google Scholar] [CrossRef]
- Chang, E.M.; Shi, S.Q.; Liu, J.F.; Cheng, T.L.; Xue, L.; Yang, X.Y.; Yang, W.J.; Lan, Q.; Jiang, Z.P. Selection of reference genes for quantitative gene expression studies in Platycladus orientalis (Cupressaceae) using real-time PCR. PLoS ONE 2012, 7, e33278. [Google Scholar] [CrossRef] [PubMed]
- Xiao, X.L.; Ma, J.B.; Wang, J.R.; Wu, X.M.; Li, P.B.; Yao, Y.A. Validation of suitable reference genes for gene expression analysis in the halophyte Salicornia europaea by real-time quantitative PCR. Front. Plant Sci. 2015, 5, 788. [Google Scholar] [CrossRef] [PubMed]
- Jacob, F.; Guertler, R.; Naim, S.; Nixdorf, S.; Fedier, A.; Hacker, N.F.; Heinzelmann-Schwarz, V. Careful selection of reference genes is required for reliable performance of RT-qPCR in human normal and cancer cell lines. PLoS ONE 2013, 8, e59180. [Google Scholar] [CrossRef]
- Petriccione, M.; Mastrobuoni, F.; Zampella, L.; Scortichini, M. Reference gene selection for normalization of RT-qPCR gene expression data from Actinidia deliciosa leaves infected with Pseudomonas syringae pv. actinidiae. Sci. Rep. 2015, 5, 16961. [Google Scholar] [CrossRef]
- Rivera, L.; Lopez-Patino, M.; Milton, D.; Nieto, T.; Farto, R. Effective qPCR methodology to quantify the expression of virulence genes in Aeromonas salmonicida subsp. salmonicida. J. Appl. Microbiol. 2015, 118, 792–802. [Google Scholar] [CrossRef]
- Pu, Q.; Li, Z.; Nie, G.; Zhou, J.Q.; Liu, L.; Peng, Y. Selection and validation of reference genes for quantitative real-time PCR in white clover (Trifolium repens L.) involved in five abiotic stresses. Plants 2020, 9, 996. [Google Scholar] [CrossRef]
- Díaz-Camino, C.; Conde, R.; Ovsenek, N.; Villanueva, M.A. Actin expression is induced and three isoforms are differentially expressed during germination in Zea mays. J. Exp. Bot. 2005, 56, 557–565. [Google Scholar] [CrossRef] [PubMed]
- Xu, M.; Zhang, B.; Su, X.; Zhang, S.; Huang, M. Reference gene selection for quantitative real-time polymerase chain reaction in Populus. Anal. Biochem. 2011, 408, 337–339. [Google Scholar] [CrossRef]
- Ji, N.J.; Li, L.; Lin, L.X.; Lin, S.J. Screening for suitable reference genes for quantitative real-Time PCR in Heterosigma akashiwo (Raphidophyceae). PLoS ONE 2015, 10, e0132183. [Google Scholar] [CrossRef]
- Dong, M.T.; Zhang, X.W.; Chi, X.Y.; Mou, S.L.; Xu, J.F.; Xu, D.; Wang, W.Q.; Ye, N.H. The validity of a reference gene is highly dependent on the experimental conditions in green alga Ulva linza. Curr. Geneti. 2012, 58, 13–20. [Google Scholar] [CrossRef]
- Adelfi, M.G.; Borra, M.; Sanges, R.; Montresor, M.; Fontana, A.; Ferrante, M.I. Selection and validation of reference genes for qPCR analysis in the pennate diatoms Pseudo- nitzschia multistriata and P. arenysensis. J. Exp. Mar. Biol. Ecol. 2014, 451, 74–81. [Google Scholar] [CrossRef]
- Kachroo, A.; Shanklin, J.; Whittle, E.; Lapchyk, L.; Hildebrand, D.; Kachroo, P. The Arabidopsis stearoyl-acyl carrier protein-desaturase family and the contribution of leaf isoforms to oleic acid synthesis. Plant Mol. Biol. 2007, 63, 257–271. [Google Scholar] [CrossRef] [PubMed]
- Klinkenberg, J.; Faist, H.; Saupe, S.; Lambertz, S.; Krischke, M.; Stingl, N.; Fekete, A.; Mueller, M.J.; Feussner, I.; Hedrich, R.; et al. Two fatty acid desaturases, STEAROYL-ACYL CARRIER PROTEIN Ɗ9-DESATURASE6 and FATTY ACID DESATURASE3, are involved in drought and hypoxia stress signaling in Arabidopsis crown galls. Plant Physiol. 2014, 164, 570–583. [Google Scholar] [CrossRef] [PubMed]




| Gene Name | Genes Symbol | Gene ID | Primers Sequences (5′-3′) | Primer Efficiency | R2 | 
|---|---|---|---|---|---|
| 18S ribosome RNA | 18S | MN650750 | F: CTGAGAAACGGCTACCACATC | 102.51 | 0.963 | 
| R: CGAAGAGCCCGGTATTGTTATT | |||||
| ACT-β | ACT | MN627205 | F: GAGGAGAGGATCTGTCGTAAA | 91.96 | 0.998 | 
| R: GATAACAAGGAGAGGCCAAAG | |||||
| Cyclophilin | CYP | MN627206 | F: AACAAGTTCGCCGATGAG | 95.05 | 0.999 | 
| R: GTCTTCGCAGTGCAAATAAAG | |||||
| Elongation factor 1-α | EF1a | MN627207 | F: CCCACTTCAGGGTGTTTAC | 97.99 | 0.994 | 
| R: CGAAGGTGACAACCATACC | |||||
| Elongation factor 1-β | EF1b | MN627208 | F: GGCTGCTAAAGCATCTACAA | 94.41 | 0.998 | 
| R: CGAACAGCTTCCTCTAGTTTC | |||||
| Glyceraldehyde 3-phosphate dehydrogenase | GADPH | MN627209 | F: GTTGGTGACTGTAGGTCAAG | 93.73 | 0.999 | 
| R: AGGTCCAACACTCGGTTA | |||||
| Malate dehydrogenease | MADH | MN627210 | F: GCTGGTCTCATCTATTCTTTCC | 98.61 | 0.999 | 
| R: CGTCCAACTTCTTCCTTGAG | |||||
| Tubulin-α | TUBa | MN627211 | F: GGCTTGTGTCTCAGGTTATT | 94.9 | 0.999 | 
| R: GTGGATATGGGACCAAGTTAG | |||||
| Tubulin-β | TUBb | MN627212 | F: ATATGAGGATGAGGAGGAAGG | 98.35 | 0.999 | 
| R: CCCATAATCAGCCACTGTAAA | |||||
| Ubiquitin | UBQ | MN627213 | F: GTGGATGTTGATGGATGAAAC | 98.68 | 0.999 | 
| R: GTACTTACAGAGCGTCCTTAC | |||||
| Ubiquitin-conjugating enzyme | UBC | MN627214 | F: CCACCCAAGGTAGCATTTAG | 95.95 | 0.982 | 
| R: CTGGGCTCCATTGTTCTTTA | 
| Method/Rank | 1 | 2 | 3 | 4 | 5 | 6 | 7 | 8 | 9 | 10 | 11 | 
|---|---|---|---|---|---|---|---|---|---|---|---|
| (A) Cold stress | |||||||||||
| Delta CT | ACT | GAPDH | CYP | EF1b | MDH | TUBb | UBC | EF1a | 18S | UBQ | TUBa | 
| BestKeeper | TUBb | UBC | GAPDH | EF1b | ACT | MDH | TUBa | CYP | EF1a | UBQ | 18S | 
| NormFinder | ACT | GAPDH | CYP | EF1b | TUBb | MDH | UBC | EF1a | 18S | TUBa | UBQ | 
| geNorm | ACT/EF1b | GAPDH | CYP | MDH | TUBb | UBC | 18S | EF1a | UBQ | TUBa | |
| Recommended Comprehensive Ranking | ACT | EF1b | GAPDH | CYP | UBC | TUBb | MDH | EF1a | 18S | TUBa | UBQ | 
| (B) Heat stress | |||||||||||
| Delta CT | EF1b | ACT | 18S | MDH | EF1a | CYP | TUBb | GAPDH | UBQ | TUBa | UBC | 
| BestKeeper | TUBb | TUBa | GAPDH | EF1b | MDH | ACT | EF1a | CYP | 18S | UBC | UBQ | 
| NormFinder | EF1b | ACT | EF1a | 18S | MDH | TUBb | GAPDH | CYP | UBQ | TUBa | UBC | 
| geNorm | ACT/EF1b | MDH | 18S | TUBb | CYP | EF1a | GAPDH | UBQ | TUBa | UBC | |
| Recommended Comprehensive Ranking | EF1b | ACT | MDH | TUBb | 18S | EF1a | TUBa | CYP | GAPDH | UBQ | UBC | 
| (C) NaCl stress | |||||||||||
| Delta CT | ACT | CYP | EF1b | GAPDH | UBC | MDH | EF1a | UBQ | 18S | TUBb | TUBa | 
| BestKeeper | MDH | 18S | GAPDH | EF1b | CYP | UBC | ACT | EF1a | UBQ | TUBb | TUBa | 
| NormFinder | CYP | ACT | EF1b | GAPDH | EF1a | UBC | UBQ | MDH | 18S | TUBb | TUBa | 
| geNorm | ACT/EF1b | UBC | MDH | CYP | GAPDH | UBQ | EF1a | 18S | TUBb | TUBa | |
| Recommended Comprehensive Ranking | ACT | CYP | EF1b | MDH | UBC | GAPDH | 18S | EF1a | UBQ | TUBb | TUBa | 
| (D) PEG stress | |||||||||||
| Delta CT | ACT | UBC | EF1b | MDH | CYP | EF1a | UBQ | 18S | GAPDH | TUBa | TUBb | 
| BestKeeper | ACT | UBC | TUBa | EF1b | TUBb | CYP | MDH | GAPDH | EF1a | UBQ | 18S | 
| NormFinder | UBC | ACT | EF1b | CYP | MDH | EF1a | UBQ | 18S | GAPDH | TUBa | TUBb | 
| geNorm | ACT/EF1b | UBC | CYP | MDH | EF1a | UBQ | GAPDH | 18S | TUBa | TUBb | |
| Recommended Comprehensive Ranking | ACT | UBC | EF1b | CYP | MDH | EF1a | UBQ | 18S | TUBa | GAPDH | TUBb | 
| (E) ABA treatment | |||||||||||
| Delta CT | ACT | CYP | TUBb | EF1b | UBC | 18S | MDH | EF1a | UBQ | GAPDH | TUBa | 
| BestKeeper | UBC | MDH | TUBb | EF1b | ACT | CYP | GAPDH | EF1a | 18S | UBQ | TUBa | 
| NormFinder | ACT | CYP | EF1b | TUBb | 18S | UBC | EF1a | UBQ | MDH | GAPDH | TUBa | 
| geNorm | MDH/UBC | ACT | TUBb | CYP | EF1b | 18S | EF1a | UBQ | GAPDH | TUBa | |
| Recommended Comprehensive Ranking | ACT | UBC | MDH | CYP | TUBb | EF1b | 18S | EF1a | UBQ | GAPDH | TUBa | 
| (F) GA treatment | |||||||||||
| Delta CT | UBQ | EF1b | MDH | EF1a | UBC | ACT | GAPDH | TUBb | CYP | TUBa | 18S | 
| BestKeeper | EF1b | UBC | MDH | ACT | UBQ | GAPDH | EF1a | TUBb | CYP | TUBa | 18S | 
| NormFinder | UBQ | EF1a | EF1b | GAPDH | MDH | ACT | UBC | TUBb | CYP | TUBa | 18S | 
| geNorm | MDH/UBC | ACT | EF1b | UBQ | EF1a | GAPDH | TUBb | CYP | TUBa | 18S | |
| Recommended Comprehensive Ranking | EF1b | UBQ | MDH | UBC | EF1a | ACT | GAPDH | TUBb | CYP | TUBa | 18S | 
| (G) MeJA treatment | |||||||||||
| Delta CT | ACT | CYP | TUBb | UBQ | MDH | GAPDH | 18S | UBC | EF1b | EF1a | TUBa | 
| BestKeeper | TUBb | UBC | ACT | MDH | EF1b | GAPDH | CYP | TUBa | UBQ | EF1a | 18S | 
| NormFinder | ACT | CYP | TUBb | UBQ | GAPDH | MDH | 18S | EF1b | UBC | EF1a | TUBa | 
| geNorm | ACT/MDH | UBC | TUBb | CYP | EF1b | UBQ | 18S | GAPDH | EF1a | TUBa | |
| Recommended Comprehensive Ranking | ACT | MDH | CYP | TUBb | UBC | UBQ | GAPDH | EF1b | 18S | EF1a | TUBa | 
| (H) ETH treatment | |||||||||||
| Delta CT | UBC | CYP | ACT | UBQ | MDH | TUBb | 18S | EF1b | GAPDH | TUBa | EF1a | 
| BestKeeper | MDH | UBC | TUBb | EF1b | ACT | GAPDH | CYP | TUBa | UBQ | EF1a | 18S | 
| NormFinder | CYP | UBC | UBQ | ACT | MDH | TUBb | 18S | GAPDH | EF1b | TUBa | EF1a | 
| geNorm | ACT/UBC | MDH | CYP | TUBb | EF1b | UBQ | GAPDH | 18S | TUBa | EF1a | |
| Recommended Comprehensive Ranking | UBC | ACT | CYP | MDH | UBQ | TUBb | EF1b | 18S | GAPDH | TUBa | EF1a | 
| (I) Root | |||||||||||
| Delta CT | CYP | EF1a | GAPDH | TUBa | EF1b | ACT | UBC | UBQ | MDH | TUBb | 18S | 
| BestKeeper | UBQ | CYP | TUBa | EF1a | GAPDH | ACT | EF1b | TUBb | UBC | MDH | 18S | 
| NormFinder | EF1a | CYP | GAPDH | TUBa | EF1b | ACT | UBC | UBQ | MDH | TUBb | 18S | 
| Genorm | CYP/TUBa | EF1a | GAPDH | ACT | EF1b | UBC | UBQ | MDH | TUBb | 18S | |
| Recommended Comprehensive ranking | CYP | EF1a | TUBa | GAPDH | ACT | EF1b | 18S | UBQ | UBC | MDH | TUBb | 
| (J) Stem | |||||||||||
| Delta CT | ACT | MDH | UBC | TUBb | EF1b | 18S | GAPDH | CYP | UBQ | EF1a | TUBa | 
| BestKeeper | UBC | TUBb | MDH | ACT | EF1b | GAPDH | CYP | TUBa | EF1a | UBQ | 18S | 
| NormFinder | ACT | TUBb | 18S | MDH | EF1b | UBC | GAPDH | UBQ | CYP | EF1a | TUBa | 
| Genorm | ACT/UBC | MDH | TUBb | EF1b | CYP | 18S | GAPDH | UBQ | EF1a | TUBa | |
| Recommended Comprehensive ranking | ACT | UBC | MDH | TUBb | EF1b | 18S | CYP | GAPDH | UBQ | EF1a | TUBa | 
| (K) Leaf | |||||||||||
| Delta CT | CYP | EF1b | ACT | UBQ | EF1a | MDH | GAPDH | TUBb | 18S | TUBa | UBC | 
| BestKeeper | ACT | MDH | TUBb | EF1b | CYP | UBC | GAPDH | EF1a | UBQ | TUBa | 18S | 
| NormFinder | CYP | EF1b | ACT | EF1a | UBQ | GAPDH | MDH | TUBb | 18S | TUBa | UBC | 
| Genorm | ACT/MDH | EF1b | CYP | TUBb | UBQ | EF1a | GAPDH | 18S | TUBa | UBC | |
| Recommended Comprehensive ranking | ACT | CYP | EF1b | MDH | UBQ | EF1a | TUBb | GAPDH | 18S | UBC | TUBa | 
| (L) All sample | |||||||||||
| Delta CT | ACT | EF1b | CYP | MDH | EF1a | GAPDH | UBQ | TUBb | 18S | UBC | TUBa | 
| BestKeeper | ACT | UBC | MDH | TUBb | EF1b | CYP | GAPDH | TUBa | EF1a | UBQ | 18S | 
| NormFinder | ACT | CYP | EF1b | MDH | EF1a | GAPDH | UBQ | TUBb | 18S | UBC | TUBa | 
| Genorm | ACT/MDH | EF1b | CYP | EF1a | UBQ | GAPDH | 18S | TUBb | UBC | TUBa | |
| Recommended Comprehensive ranking | ACT | MDH | EF1b | CYP | EF1a | UBQ | GAPDH | UBC | TUBb | 18S | TUBa | 
| Paired Variation (Vn/Vn+1) | |||||||||
|---|---|---|---|---|---|---|---|---|---|
| V2/3 | V3/4 | V4/5 | V5/6 | V6/7 | V7/8 | V8/9 | V9/10 | V10/11 | |
| ABA | 0.159 | 0.103 | 0.092 | 0.079 | 0.115 | 0.128 | 0.125 | 0.119 | 0.179 | 
| GA | 0.103 | 0.100 | 0.105 | 0.100 | 0.078 | 0.069 | 0.068 | 0.079 | 0.112 | 
| ET | 0.139 | 0.147 | 0.118 | 0.116 | 0.130 | 0.112 | 0.099 | 0.106 | 0.109 | 
| MJ | 0.141 | 0.131 | 0.120 | 0.123 | 0.127 | 0.120 | 0.105 | 0.108 | 0.133 | 
| NaCl | 0.125 | 0.104 | 0.094 | 0.079 | 0.097 | 0.093 | 0.099 | 0.112 | 0.178 | 
| PEG | 0.070 | 0.057 | 0.079 | 0.069 | 0.057 | 0.067 | 0.067 | 0.088 | 0.076 | 
| Heat | 0.144 | 0.143 | 0.161 | 0.144 | 0.133 | 0.208 | 0.233 | 0.207 | 0.237 | 
| Cold | 0.121 | 0.082 | 0.096 | 0.106 | 0.097 | 0.176 | 0.196 | 0.173 | 0.162 | 
| Disclaimer/Publisher’s Note: The statements, opinions and data contained in all publications are solely those of the individual author(s) and contributor(s) and not of MDPI and/or the editor(s). MDPI and/or the editor(s) disclaim responsibility for any injury to people or property resulting from any ideas, methods, instructions or products referred to in the content. | 
© 2024 by the authors. Licensee MDPI, Basel, Switzerland. This article is an open access article distributed under the terms and conditions of the Creative Commons Attribution (CC BY) license (https://creativecommons.org/licenses/by/4.0/).
Share and Cite
Yang, Q.; Yang, Z.; Zeng, H.; Zou, M.; Song, X.; Wan, J.; Wang, Z.; Chen, J.; Luo, L. Evaluation and Validation of Reliable Reference Genes for Quantitative Real-Time PCR Analysis of the Gene Expression in Macadamia integrifolia. Forests 2024, 15, 1966. https://doi.org/10.3390/f15111966
Yang Q, Yang Z, Zeng H, Zou M, Song X, Wan J, Wang Z, Chen J, Luo L. Evaluation and Validation of Reliable Reference Genes for Quantitative Real-Time PCR Analysis of the Gene Expression in Macadamia integrifolia. Forests. 2024; 15(11):1966. https://doi.org/10.3390/f15111966
Chicago/Turabian StyleYang, Qian, Ziping Yang, Hui Zeng, Minghong Zou, Ximei Song, Jifeng Wan, Zhao Wang, Jing Chen, and Lianfang Luo. 2024. "Evaluation and Validation of Reliable Reference Genes for Quantitative Real-Time PCR Analysis of the Gene Expression in Macadamia integrifolia" Forests 15, no. 11: 1966. https://doi.org/10.3390/f15111966
APA StyleYang, Q., Yang, Z., Zeng, H., Zou, M., Song, X., Wan, J., Wang, Z., Chen, J., & Luo, L. (2024). Evaluation and Validation of Reliable Reference Genes for Quantitative Real-Time PCR Analysis of the Gene Expression in Macadamia integrifolia. Forests, 15(11), 1966. https://doi.org/10.3390/f15111966
 
        

 
       