Higher Stability of Soil Organic Matter near the Permafrost Table in a Peatland of Northeast China
Abstract
1. Introduction
2. Materials and Methods
2.1. Study Area
2.2. Experimental Design and Sample Preparation
2.3. Sample Analysis
2.4. Optical Characterization of DOM
2.5. Solution-State 1H-NMR Test
2.6. Statistical Analyses
3. Results
3.1. Soil Physio-Chemical Variables
3.2. Thermal Indices Analysis
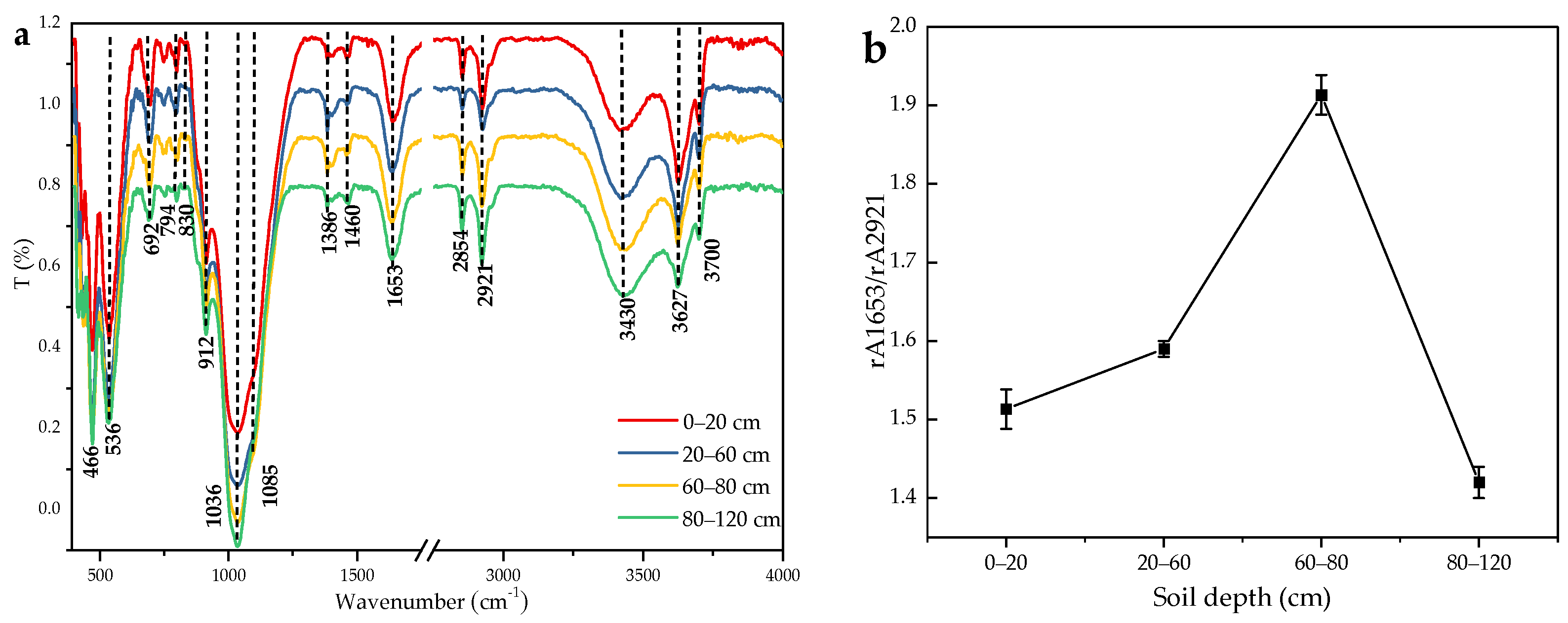
3.3. Spectral Characteristics of Soils at Different Depths
3.4. DOM Composition by 1H-NMR
4. Discussion
4.1. Properties of Soil
4.2. Soil SOM Stability
4.3. DOM Characteristics at Different Soil Depths
5. Conclusions
Supplementary Materials
Author Contributions
Funding
Data Availability Statement
Acknowledgments
Conflicts of Interest
References
- Brown, J.; Sidlauskas, F.J.; Delinski, G. Circum-Arctic Map of Permafrost and Ground Ice Conditions; US Geological Survey: Reston, VA, USA, 1997. [Google Scholar]
- Obu, J.; Westermann, S.; Bartsch, A.; Berdnikov, N.; Christiansen, H.H.; Dashtseren, A.; Delaloye, R.; Elberling, B.; Etzelmüller, B.; Kholodov, A. Northern Hemisphere permafrost map based on TTOP modelling for 2000–2016 at 1 km2 scale. Earth-Sci. Rev. 2019, 193, 299–316. [Google Scholar] [CrossRef]
- Hugelius, G.; Strauss, J.; Zubrzycki, S.; Harden, J.W.; Schuur, E.A.; Ping, C.-L.; Schirrmeister, L.; Grosse, G.; Michaelson, G.J.; Koven, C.D. Estimated stocks of circumpolar permafrost carbon with quantified uncertainty ranges and identified data gaps. Biogeosciences 2014, 11, 6573–6593. [Google Scholar] [CrossRef]
- Mishra, U.; Hugelius, G.; Shelef, E.; Yang, Y.; Strauss, J.; Lupachev, A.; Harden, J.W.; Jastrow, J.D.; Ping, C.-L.; Riley, W.J. Spatial heterogeneity and environmental predictors of permafrost region soil organic carbon stocks. Sci. Adv. 2021, 7, eaaz5236. [Google Scholar] [CrossRef] [PubMed]
- Biskaborn, B.K.; Smith, S.L.; Noetzli, J.; Matthes, H.; Vieira, G.; Streletskiy, D.A.; Schoeneich, P.; Romanovsky, V.E.; Lewkowicz, A.G.; Abramov, A. Permafrost is warming at a global scale. Nat. Commun. 2019, 10, 264. [Google Scholar] [CrossRef] [PubMed]
- Elberling, B.; Michelsen, A.; Schädel, C.; Schuur, E.A.; Christiansen, H.H.; Berg, L.; Tamstorf, M.P.; Sigsgaard, C. Long-term CO2 production following permafrost thaw. Nat. Clim. Chang. 2013, 3, 890–894. [Google Scholar] [CrossRef]
- Tesi, T.; Muschitiello, F.; Smittenberg, R.H.; Jakobsson, M.; Vonk, J.; Hill, P.; Andersson, A.; Kirchner, N.; Noormets, R.; Dudarev, O. Massive remobilization of permafrost carbon during post-glacial warming. Nat. Commun. 2016, 7, 13653. [Google Scholar] [CrossRef]
- Schmidt, M.W.; Torn, M.S.; Abiven, S.; Dittmar, T.; Guggenberger, G.; Janssens, I.A.; Kleber, M.; Kögel-Knabner, I.; Lehmann, J.; Manning, D.A. Persistence of soil organic matter as an ecosystem property. Nature 2011, 478, 49–56. [Google Scholar] [CrossRef]
- Lim, A.G.; Loiko, S.V.; Kuzmina, D.M.; Krickov, I.V.; Shirokova, L.S.; Kulizhsky, S.P.; Vorobyev, S.N.; Pokrovsky, O.S. Dispersed ground ice of permafrost peatlands: Potential unaccounted carbon, nutrient and metal sources. Chemosphere 2021, 266, 128953. [Google Scholar] [CrossRef]
- Pastukhov, A.; Kovaleva, V.; Kaverin, D. Microbial community structure in ancient European Arctic Peatlands. Plants 2022, 11, 2704. [Google Scholar] [CrossRef]
- Dong, X.; Liu, C.; Wu, X.; Man, H.; Wu, X.; Ma, D.; Zang, S. Linking soil organic carbon mineralization with soil variables and bacterial communities in a permafrost-affected tussock wetland during laboratory incubation. Catena 2023, 221, 106783. [Google Scholar] [CrossRef]
- Rumpel, C.; Kögel-Knabner, I. Deep soil organic matter—A key but poorly understood component of terrestrial C cycle. Plant Soil 2011, 338, 143–158. [Google Scholar] [CrossRef]
- Li, J.; Zhao, L.; Li, M.; Min, Y.; Zhan, F.; Wang, Y.; Sheng, L.; Bian, H. Changes in soil dissolved organic matter optical properties during peatland succession. Ecol. Indic. 2022, 143, 109386. [Google Scholar] [CrossRef]
- Cong, J.; Gao, C.; Ji, S.; Li, X.; Han, D.; Wang, G. Changes in organic matter properties and carbon chemical stability in surface soils associated with changing vegetation communities in permafrost peatlands. Biogeochemistry 2023, 163, 139–153. [Google Scholar] [CrossRef]
- Shaver, G.R.; Giblin, A.E.; Nadelhoffer, K.J.; Thieler, K.; Downs, M.; Laundre, J.; Rastetter, E.B. Carbon turnover in Alaskan tundra soils: Effects of organic matter quality, temperature, moisture and fertilizer. J. Ecol. 2006, 94, 740–753. [Google Scholar] [CrossRef]
- Kögel-Knabner, I. Analytical approaches for characterizing soil organic matter. Org. Geochem. 2000, 31, 609–625. [Google Scholar] [CrossRef]
- Stone, M.M.; Plante, A.F. Relating the biological stability of soil organic matter to energy availability in deep tropical soil profiles. Soil Biol. Biochem. 2015, 89, 162–171. [Google Scholar] [CrossRef]
- Hodgkins, S.B.; Richardson, C.J.; Dommain, R.; Wang, H.; Glaser, P.H.; Verbeke, B.; Winkler, B.R.; Cobb, A.R.; Rich, V.I.; Missilmani, M. Tropical peatland carbon storage linked to global latitudinal trends in peat recalcitrance. Nat. Commun. 2018, 9, 3640. [Google Scholar] [CrossRef]
- Hou, Y.; Chen, Y.; Chen, X.; He, K.; Zhu, B. Changes in soil organic matter stability with depth in two alpine ecosystems on the Tibetan Plateau. Geoderma 2019, 351, 153–162. [Google Scholar] [CrossRef]
- Kalbitz, K.; Solinger, S.; Park, J.-H.; Michalzik, B.; Matzner, E. Controls on the dynamics of dissolved organic matter in soils: A review. Soil Sci. 2000, 165, 277–304. [Google Scholar] [CrossRef]
- Lehmann, J.; Kleber, M. The contentious nature of soil organic matter. Nature 2015, 528, 60–68. [Google Scholar] [CrossRef]
- Drake, T.W.; Wickland, K.P.; Spencer, R.G.; McKnight, D.M.; Striegl, R.G. Ancient low–molecular-weight organic acids in permafrost fuel rapid carbon dioxide production upon thaw. Proc. Natl. Acad. Sci. USA 2015, 112, 13946–13951. [Google Scholar] [CrossRef] [PubMed]
- Fouché, J.; Christiansen, C.; Lafrenière, M.; Grogan, P.; Lamoureux, S. Canadian permafrost stores large pools of ammonium and optically distinct dissolved organic matter. Nat. Commun. 2020, 11, 4500. [Google Scholar] [CrossRef] [PubMed]
- Li, Y.; Zang, S.; Zhang, K.; Sun, D.; Sun, L. Occurrence, sources and potential risks of polycyclic aromatic hydrocarbons in a permafrost soil core, northeast China. Ecotoxicology 2021, 30, 1315–1324. [Google Scholar] [CrossRef] [PubMed]
- Li, W.; Jia, X.; Li, M.; Wu, H. Insight into the vertical characteristics of dissolved organic matter in 5-m soil profiles under different land-use types on the Loess Plateau. Sci. Total Environ. 2019, 692, 613–621. [Google Scholar] [CrossRef] [PubMed]
- Steinbeiss, S.; Temperton, V.; Gleixner, G. Mechanisms of short-term soil carbon storage in experimental grasslands. Soil Biol. Biochem. 2008, 40, 2634–2642. [Google Scholar] [CrossRef]
- Mikutta, R.; Lorenz, D.; Guggenberger, G.; Haumaier, L.; Freund, A. Properties and reactivity of Fe-organic matter associations formed by coprecipitation versus adsorption: Clues from arsenate batch adsorption. Geochim. Cosmochim. Acta 2014, 144, 258–276. [Google Scholar] [CrossRef]
- Wang, Y.; Guo, Y.; Wang, X.; Song, C.; Song, Y.; Liu, Z.; Wang, S.; Gao, S.; Ma, G. Mineral protection controls soil organic carbon stability in permafrost wetlands. Sci. Total Environ. 2023, 869, 161864. [Google Scholar] [CrossRef]
- Ernakovich, J.G.; Wallenstein, M.D.; Calderón, F. Chemical indicators of cryoturbation and microbial processing throughout an Alaskan permafrost soil depth profile. Soil Sci. Soc. Am. J. 2015, 79, 783–793. [Google Scholar] [CrossRef]
- Harris, D.; Horwáth, W.R.; Van Kessel, C. Acid fumigation of soils to remove carbonates prior to total organic carbon or carbon-13 isotopic analysis. Soil Sci. Soc. Am. J. 2001, 65, 1853–1856. [Google Scholar] [CrossRef]
- Demyan, M.S.; Rasche, F.; Schulz, E.; Breulmann, M.; Müller, T.; Cadisch, G. Use of specific peaks obtained by diffuse reflectance Fourier transform mid-infrared spectroscopy to study the composition of organic matter in a Haplic Chernozem. Eur. J. Soil Sci. 2012, 63, 189–199. [Google Scholar] [CrossRef]
- Liu, Y.; Ye, Q.; Huang, W.-L.; Feng, L.; Wang, Y.-H.; Xie, Z.; Yong, S.-S.; Zhang, S.; Jiang, B.; Zheng, Y. Spectroscopic and molecular-level characteristics of dissolved organic matter in the Pearl River Estuary, South China. Sci. Total Environ. 2020, 710, 136307. [Google Scholar] [CrossRef] [PubMed]
- Weishaar, J.L.; Aiken, G.R.; Bergamaschi, B.A.; Fram, M.S.; Fujii, R.; Mopper, K. Evaluation of specific ultraviolet absorbance as an indicator of the chemical composition and reactivity of dissolved organic carbon. Environ. Sci. Technol. 2003, 37, 4702–4708. [Google Scholar] [CrossRef] [PubMed]
- Walker, S.A.; Amon, R.M.; Stedmon, C.A. Variations in high-latitude riverine fluorescent dissolved organic matter: A comparison of large Arctic rivers. J. Geophys. Res. Biogeosci. 2013, 118, 1689–1702. [Google Scholar] [CrossRef]
- Helms, J.R.; Stubbins, A.; Ritchie, J.D.; Minor, E.C.; Kieber, D.J.; Mopper, K. Absorption spectral slopes and slope ratios as indicators of molecular weight, source, and photobleaching of chromophoric dissolved organic matter. Limnol. Oceanogr. 2008, 53, 955–969. [Google Scholar] [CrossRef]
- Cory, R.M.; McKnight, D.M. Fluorescence spectroscopy reveals ubiquitous presence of oxidized and reduced quinones in dissolved organic matter. Environ. Sci. Technol. 2005, 39, 8142–8149. [Google Scholar] [CrossRef] [PubMed]
- Gabor, R.S.; Eilers, K.; McKnight, D.M.; Fierer, N.; Anderson, S.P. From the litter layer to the saprolite: Chemical changes in water-soluble soil organic matter and their correlation to microbial community composition. Soil Biol. Biochem. 2014, 68, 166–176. [Google Scholar] [CrossRef]
- Ohno, T. Fluorescence inner-filtering correction for determining the humification index of dissolved organic matter. Environ. Sci. Technol. 2002, 36, 742–746. [Google Scholar] [CrossRef]
- Wilson, H.F.; Xenopoulos, M.A. Effects of agricultural land use on the composition of fluvial dissolved organic matter. Nat. Geosci. 2009, 2, 37–41. [Google Scholar] [CrossRef]
- Wang, J.-J.; Dahlgren, R.A.; Erşan, M.S.; Karanfil, T.; Chow, A.T. Temporal variations of disinfection byproduct precursors in wildfire detritus. Water Res. 2016, 99, 66–73. [Google Scholar] [CrossRef]
- Mitchell, P.J.; Simpson, A.J.; Soong, R.; Oren, A.; Chefetz, B.; Simpson, M.J. Solution-state NMR investigation of the sorptive fractionation of dissolved organic matter by alkaline mineral soils. Environ. Chem. 2013, 10, 333–340. [Google Scholar] [CrossRef][Green Version]
- Simpson, A.J.; Brown, S.A. Purge NMR: Effective and easy solvent suppression. J. Magn. Reson. 2005, 175, 340–346. [Google Scholar] [CrossRef] [PubMed]
- Lam, B.; Baer, A.; Alaee, M.; Lefebvre, B.; Moser, A.; Williams, A.; Simpson, A.J. Major structural components in freshwater dissolved organic matter. Environ. Sci. Technol. 2007, 41, 8240–8247. [Google Scholar] [CrossRef] [PubMed]
- Woods, G.C.; Simpson, M.J.; Pautler, B.G.; Lamoureux, S.F.; Lafrenière, M.J.; Simpson, A.J. Evidence for the enhanced lability of dissolved organic matter following permafrost slope disturbance in the Canadian High Arctic. Geochim. Cosmochim. Acta 2011, 75, 7226–7241. [Google Scholar] [CrossRef]
- Wang, J.-J.; Lafreniere, M.J.; Lamoureux, S.F.; Simpson, A.J.; Gelinas, Y.; Simpson, M.J. Differences in riverine and pond water dissolved organic matter composition and sources in Canadian high Arctic watersheds affected by active layer detachments. Environ. Sci. Technol. 2018, 52, 1062–1071. [Google Scholar] [CrossRef]
- Ding, Y.; Shi, Z.; Ye, Q.; Liang, Y.; Liu, M.; Dang, Z.; Wang, Y.; Liu, C. Chemodiversity of soil dissolved organic matter. Environ. Sci. Technol. 2020, 54, 6174–6184. [Google Scholar] [CrossRef]
- Hu, Z.; Li, C.; Kang, S.; Li, X.; Zhang, C.; Yan, F.; Chen, P. Dissolved organic carbon fractionation in wet deposition and its potential impact on radiative forcing in the central Tibetan Plateau. Res. Cold Arid Reg. 2023, 15, 171–178. [Google Scholar] [CrossRef]
- Ma, H.; Allen, H.E.; Yin, Y. Characterization of isolated fractions of dissolved organic matter from natural waters and a wastewater effluent. Water Res. 2001, 35, 985–996. [Google Scholar] [CrossRef]
- Choe, E.; van der Meer, F.; Rossiter, D.; van der Salm, C.; Kim, K.-W. An alternate method for Fourier transform infrared (FTIR) spectroscopic determination of soil nitrate using derivative analysis and sample treatments. Water Air Soil Pollut. 2010, 206, 129–137. [Google Scholar] [CrossRef]
- Gentsch, N.; Mikutta, R.; Alves, R.J.E.; Barta, J.; Čapek, P.; Gittel, A.; Guggenberger, G. Storage and transformation of organic matter fractions in cryoturbated permafrost soils across the Siberian Arctic. Biogeosciences 2015, 12, 4525–4542. [Google Scholar] [CrossRef]
- Jiang, C.; Séquaris, J.-M.; Wacha, A.; Bóta, A.; Vereecken, H.; Klumpp, E. Effect of metal oxide on surface area and pore size of water-dispersible colloids from three German silt loam topsoils. Geoderma 2014, 235, 260–270. [Google Scholar] [CrossRef]
- Szymański, W.; Drewnik, M.; Stolarczyk, M.; Musielok, Ł.; Gus-Stolarczyk, M.; Skiba, M. Occurrence and stability of organic intercalation in clay minerals from permafrost-affected soils in the High Arctic–A case study from Spitsbergen (Svalbard). Geoderma 2022, 408, 115591. [Google Scholar] [CrossRef]
- Zhang, T.; Wang, N.F.; Liu, H.Y.; Zhang, Y.Q.; Yu, L. Soil pH is a key determinant of soil fungal community composition in the Ny-Ålesund Region, Svalbard (High Arctic). Front. Microbiol. 2016, 7, 227. [Google Scholar] [CrossRef]
- Plante, A.F.; Fernández, J.M.; Leifeld, J. Application of thermal analysis techniques in soil science. Geoderma 2009, 153, 1–10. [Google Scholar] [CrossRef]
- Peltre, C.; Fernández, J.M.; Craine, J.M.; Plante, A.F. Relationships between biological and thermal indices of soil organic matter stability differ with soil organic carbon level. Soil Sci. Soc. Am. J. 2013, 77, 2020–2028. [Google Scholar] [CrossRef]
- Kučerík, J.; Tokarski, D.; Demyan, M.S.; Merbach, I.; Siewert, C. Linking soil organic matter thermal stability with contents of clay, bound water, organic carbon and nitrogen. Geoderma 2018, 316, 38–46. [Google Scholar] [CrossRef]
- Fang, K.; Qin, S.; Chen, L.; Zhang, Q.; Yang, Y. Al/Fe mineral controls on soil organic carbon stock across Tibetan alpine grasslands. J. Geophys. Res. Biogeosci. 2019, 124, 247–259. [Google Scholar] [CrossRef]
- Guillaume, T.; Damris, M.; Kuzyakov, Y. Losses of soil carbon by converting tropical forest to plantations: Erosion and decomposition estimated by δ13C. Glob. Chang. Biol. 2015, 21, 3548–3560. [Google Scholar] [CrossRef]
- Zhao, Y.; Wang, X.; Ou, Y.; Jia, H.; Li, J.; Shi, C.; Liu, Y. Variations in soil δ13C with alpine meadow degradation on the eastern Qinghai–Tibet Plateau. Geoderma 2019, 338, 178–186. [Google Scholar] [CrossRef]
- Krüger, J.; Leifeld, J.; Alewell, C. Degradation changes stable carbon isotope depth profiles in palsa peatlands. Biogeosciences 2014, 11, 3369–3380. [Google Scholar] [CrossRef]
- Schnecker, J.; Borken, W.; Schindlbacher, A.; Wanek, W. Little effects on soil organic matter chemistry of density fractions after seven years of forest soil warming. Soil Biol. Biochem. 2016, 103, 300–307. [Google Scholar] [CrossRef]
- Kramer, M.G.; Sanderman, J.; Chadwick, O.A.; Chorover, J.; Vitousek, P.M. Long-term carbon storage through retention of dissolved aromatic acids by reactive particles in soil. Glob. Chang. Biol. 2012, 18, 2594–2605. [Google Scholar] [CrossRef]
- Kramer, M.G.; Chadwick, O.A. Climate-driven thresholds in reactive mineral retention of soil carbon at the global scale. Nat. Clim. Chang. 2018, 8, 1104–1108. [Google Scholar] [CrossRef]
- Lobbes, J.M.; Fitznar, H.P.; Kattner, G. Biogeochemical characteristics of dissolved and particulate organic matter in Russian rivers entering the Arctic Ocean. Geochim. Cosmochim. Acta 2000, 64, 2973–2983. [Google Scholar] [CrossRef]
- Fellman, J.B.; Hood, E.; Spencer, R.G. Fluorescence spectroscopy opens new windows into dissolved organic matter dynamics in freshwater ecosystems: A review. Limnol. Oceanogr. 2010, 55, 2452–2462. [Google Scholar] [CrossRef]
- D’Andrilli, J.; Cooper, W.T.; Foreman, C.M.; Marshall, A.G. An ultrahigh-resolution mass spectrometry index to estimate natural organic matter lability. Rapid Commun. Mass Spectrom. 2015, 29, 2385–2401. [Google Scholar] [CrossRef]
- Podgorski, D.C.; Zito, P.; McGuire, J.T.; Martinovic-Weigelt, D.; Cozzarelli, I.M.; Bekins, B.A.; Spencer, R.G. Examining natural attenuation and acute toxicity of petroleum-derived dissolved organic matter with optical spectroscopy. Environ. Sci. Technol. 2018, 52, 6157–6166. [Google Scholar] [CrossRef]
- Wu, X.; Wu, L.; Liu, Y.; Zhang, P.; Li, Q.; Zhou, J.; Hess, N.J.; Hazen, T.C.; Yang, W.; Chakraborty, R. Microbial interactions with dissolved organic matter drive carbon dynamics and community succession. Front. Microbiol. 2018, 9, 1234. [Google Scholar] [CrossRef]
- Kaiser, K.; Guggenberger, G.; Haumaier, L. Changes in dissolved lignin-derived phenols, neutral sugars, uronic acids, and amino sugars with depth in forested Haplic Arenosols and Rendzic Leptosols. Biogeochemistry 2004, 70, 135–151. [Google Scholar] [CrossRef]
- Ohno, T.; Parr, T.B.; Gruselle, M.C.I.; Fernandez, I.J.; Sleighter, R.L.; Hatcher, P.G. Molecular composition and biodegradability of soil organic matter: A case study comparing two new England forest types. Environ. Sci. Technol. 2014, 48, 7229–7236. [Google Scholar] [CrossRef]
- Raudina, T.V.; Loiko, S.V.; Lim, A.G.; Krickov, I.V.; Shirokova, L.S.; Istigechev, G.I.; Kuzmina, D.M.; Kulizhsky, S.P.; Vorobyev, S.N.; Pokrovsky, O.S. Dissolved organic carbon and major and trace elements in peat porewater of sporadic, discontinuous, and continuous permafrost zones of western Siberia. Biogeosciences 2017, 14, 3561–3584. [Google Scholar] [CrossRef]
- Kuzmina, D.M.; Lim, A.G.; Loiko, S.V.; Shefer, N.; Shirokova, L.S.; Julien, F.; Rols, J.-L.; Pokrovsky, O.S. Dispersed ice of permafrost peatlands represents an important source of labile carboxylic acids, nutrients and metals. Geoderma 2023, 429, 116256. [Google Scholar] [CrossRef]
- Mann, P.J.; Spencer, R.G.; Hernes, P.J.; Six, J.; Aiken, G.R.; Tank, S.E.; McClelland, J.W.; Butler, K.D.; Dyda, R.Y.; Holmes, R.M. Pan-Arctic trends in terrestrial dissolved organic matter from optical measurements. Front. Earth Sci. 2016, 4, 25. [Google Scholar] [CrossRef]
- Davidson, E.A.; Janssens, I.A. Temperature sensitivity of soil carbon decomposition and feedbacks to climate change. Nature 2006, 440, 165–173. [Google Scholar] [CrossRef] [PubMed]
- Bracho, R.; Natali, S.; Pegoraro, E.; Crummer, K.G.; Schädel, C.; Celis, G.; Hale, L.; Wu, L.; Yin, H.; Tiedje, J.M. Temperature sensitivity of organic matter decomposition of permafrost-region soils during laboratory incubations. Soil Biol. Biochem. 2016, 97, 1–14. [Google Scholar] [CrossRef]
- Khatami, S.; Deng, Y.; Tien, M.; Hatcher, P.G. Formation of water-soluble organic matter through fungal degradation of lignin. Org. Geochem. 2019, 135, 64–70. [Google Scholar] [CrossRef]
- Liang, C.; Schimel, J.P.; Jastrow, J.D. The importance of anabolism in microbial control over soil carbon storage. Nat. Microbiol. 2017, 2, 17105. [Google Scholar] [CrossRef]
- Farrell, M.; Hill, P.W.; Farrar, J.; DeLuca, T.H.; Roberts, P.; Kielland, K.; Dahlgren, R.; Murphy, D.V.; Hobbs, P.J.; Bardgett, R.D. Oligopeptides represent a preferred source of organic N uptake: A global phenomenon? Ecosystems 2013, 16, 133–145. [Google Scholar] [CrossRef]
- Textor, S.R.; Wickland, K.P.; Podgorski, D.C.; Johnston, S.E.; Spencer, R.G. Dissolved organic carbon turnover in permafrost-influenced watersheds of interior Alaska: Molecular insights and the priming effect. Front. Earth Sci. 2019, 7, 275. [Google Scholar] [CrossRef]
- Kalbitz, K.; Schmerwitz, J.; Schwesig, D.; Matzner, E. Biodegradation of soil-derived dissolved organic matter as related to its properties. Geoderma 2003, 113, 273–291. [Google Scholar] [CrossRef]
- Newcomb, C.J.; Qafoku, N.P.; Grate, J.W.; Bailey, V.L.; De Yoreo, J.J. Developing a molecular picture of soil organic matter–mineral interactions by quantifying organo–mineral binding. Nat. Commun. 2017, 8, 396. [Google Scholar] [CrossRef]
- Qin, J.; Ding, Y.; Han, T.; Chang, Y.; Shi, F.; You, Y. The hydrothermal changes of permafrost active layer and their impact on summer rainfall-runoff processes in an alpine meadow watershed, northwest China. Res. Cold Arid Reg. 2022, 14, 361–369. [Google Scholar] [CrossRef]
- Djukic, I.; Zehetner, F.; Tatzber, M.; Gerzabek, M.H. Soil organic-matter stocks and characteristics along an Alpine elevation gradient. J. Plant Nutr. Soil Sci. 2010, 173, 30–38. [Google Scholar] [CrossRef]





| Depth (cm) | TOC (mg/g) | DOC (mg/L) | pH | SWC% | δ 15N‰ | δ 13C‰ | C:N |
|---|---|---|---|---|---|---|---|
| 0–20 | 72.62 ± 3.50 | 40.63 ± 0.50 | 5.41 ± 0.08 | 20.03 ± 1.21 | 5.68 ± 0.06 | −27.71 ± 0.03 | 17.88 ± 0.33 |
| 20–60 | 59.76 ± 1.63 | 36.71 ± 0.42 | 5.28 ± 0.05 | 22.03 ± 0.89 | 5.79 ± 0.02 | −27.41 ± 0.07 | 17.32 ± 0.13 |
| 60–80 | 86.58 ± 0.86 | 54.55 ± 0.33 | 5.01 ± 0.06 | 18.74 ± 1.05 | 6.04 ± 0.08 | −26.70 ± 0.07 | 18.46 ± 0.49 |
| 80–120 | 51.02 ± 1.43 | 34.26 ± 0.48 | 4.91 ± 0.03 | 38.39 ± 0.98 | 5.04 ± 0.05 | −27.98 ± 0.01 | 17.06 ± 0.12 |
| Depth (cm) | Fe (g/kg) | Fed (g/kg) | Feo (g/kg) | Fep (g/kg) | Al (g/kg) | Ald (g/kg) | Alo (g/kg) | Alp (g/kg) |
|---|---|---|---|---|---|---|---|---|
| 0–20 | 23.99 ± 0.52 | 5.07 ± 0.08 | 5.66 ± 0.01 | 5.50 ± 0.02 | 24.46 ± 1.03 | 1.35 ± 0.22 | 1.45 ± 0.32 | 1.78 ± 0.06 |
| 20–60 | 25.93 ± 0.82 | 8.56 ± 0.05 | 9.72 ± 0.03 | 4.65 ± 0.02 | 24.57 ± 0.67 | 1.38 ± 0.19 | 1.39 ± 0.17 | 1.47 ± 0.01 |
| 60–80 | 26.14 ± 0.91 | 6.73 ± 0.06 | 9.02± 0.01 | 6.28 ± 0.04 | 28.73 ± 0.41 | 1.48 ± 0.09 | 1.71 ± 0.00 | 2.29 ± 0.03 |
| 80–120 | 20.32 ± 0.48 | 7.47 ± 0.03 | 8.73± 0.05 | 4.03 ± 0.01 | 17.61 ± 1.07 | 1.12 ± 0.05 | 1.13 ± 0.02 | 1.38 ± 0.02 |
| Depth (cm) | SUVA254 | SR | FI | BIX | HIX |
|---|---|---|---|---|---|
| 0–20 | 3.04 ± 0.12 | 1.36 ± 0.23 | 1.57 ± 0.03 | 0.55 ± 0.08 | 0.90 ± 0.26 |
| 20–60 | 2.11 ± 0.28 | 1.36 ± 0.31 | 1.62 ± 0.05 | 0.60 ± 0.02 | 0.75 ± 0.28 |
| 60–80 | 3.68 ± 0.03 | 0.82 ± 0.16 | 1.67 ± 0.01 | 0.54 ± 0.06 | 1.67 ± 0.09 |
| 80–120 | 1.51 ± 0.16 | 2.01 ± 0.55 | 1.74 ± 0.01 | 0.69 ± 0.04 | 0.42 ± 0.16 |
Disclaimer/Publisher’s Note: The statements, opinions and data contained in all publications are solely those of the individual author(s) and contributor(s) and not of MDPI and/or the editor(s). MDPI and/or the editor(s) disclaim responsibility for any injury to people or property resulting from any ideas, methods, instructions or products referred to in the content. |
© 2024 by the authors. Licensee MDPI, Basel, Switzerland. This article is an open access article distributed under the terms and conditions of the Creative Commons Attribution (CC BY) license (https://creativecommons.org/licenses/by/4.0/).
Share and Cite
Zou, S.; Zhang, J.; Wu, X.; Song, L.; Liu, Q.; Xie, R.; Zang, S. Higher Stability of Soil Organic Matter near the Permafrost Table in a Peatland of Northeast China. Forests 2024, 15, 1797. https://doi.org/10.3390/f15101797
Zou S, Zhang J, Wu X, Song L, Liu Q, Xie R, Zang S. Higher Stability of Soil Organic Matter near the Permafrost Table in a Peatland of Northeast China. Forests. 2024; 15(10):1797. https://doi.org/10.3390/f15101797
Chicago/Turabian StyleZou, Siyuan, Jiawei Zhang, Xiaodong Wu, Liquan Song, Qilong Liu, Ruifeng Xie, and Shuying Zang. 2024. "Higher Stability of Soil Organic Matter near the Permafrost Table in a Peatland of Northeast China" Forests 15, no. 10: 1797. https://doi.org/10.3390/f15101797
APA StyleZou, S., Zhang, J., Wu, X., Song, L., Liu, Q., Xie, R., & Zang, S. (2024). Higher Stability of Soil Organic Matter near the Permafrost Table in a Peatland of Northeast China. Forests, 15(10), 1797. https://doi.org/10.3390/f15101797

