Next Article in Journal
Long-Term Monitoring Studies of the Mycorrhizal Colonization of Aesculus hippocastanum L. Roots and the Vitality of Soil Microorganisms in Urban and Non-Urban Environments
Next Article in Special Issue
Possible Factors of Poplar Susceptibility to Large Poplar Borer Infestation
Previous Article in Journal
Complementarity with Real Forests: A Conceptual Framework and Narrative Review of Multidimensional Effects in Virtual Forests
 
 
Font Type:
Arial Georgia Verdana
Font Size:
Aa Aa Aa
Line Spacing:
Column Width:
Background:
Article

Transcriptome Analysis Reveals the Response of Cryptomeria japonica to Feeding Stress of Dendrolimus houi Lajonquière Larvae

1
Forestry College, Fujian Agriculture and Forestry University, Fuzhou 350002, China
2
Fujian Academy of Forestry Sciences, Fuzhou 350021, China
3
Meilin State-Owned Forest Farm, Datian, Sanming 366102, China
4
Xiapu State-Owned Forest Farm, Ningde 355100, China
5
Fuding Forestry Bureau, Ningde 355200, China
*
Author to whom correspondence should be addressed.
These authors contributed equally to this work.
Forests 2024, 15(1), 85; https://doi.org/10.3390/f15010085
Submission received: 28 November 2023 / Revised: 26 December 2023 / Accepted: 29 December 2023 / Published: 31 December 2023
(This article belongs to the Special Issue Forest Resistance to Insect Pests)

Abstract

:
The Japanese fir, Cryptomeria japonica, is ecologically and commercially vital in China. However, infestations by Dendrolimus houi Lajonquière larvae cause widespread dieback, mimicking mechanical damage effects, with unclear differential impacts and mechanisms. To address this, 6th instar larvae of D. houi were introduced to three-year-old C. japonica seedlings to induce pest infestation, while mechanical damage and non-infested pests were controlled. Then, next-generation sequencing techniques were employed, and transcriptome sequencing was conducted to analyze the distinct damage mechanisms responding to C. japonica. This study revealed 10,412 DEGs between pest infestation and controls and 5535 DEGs comparing pest infestation to mechanical damage. Functional enrichment analysis highlighted the involvement of these DEGs in crucial processes such as photosynthesis, amino acid and nucleotide metabolism, flavonoid biosynthesis, and plant hormone signaling pathways. In particular, 786 unique DEGs were discerned in pest-infested samples. Key enriched pathways, such as pyruvate and propionate metabolism, were pinpointed, with flavonoid biosynthesis potentially closely linked to pest-feeding inductions. These findings provided valuable insights into the molecular responses of C. japonica to D. houi infestation, laying the foundation for future research aimed at developing pest-resistant varieties of Japanese fir.

1. Introduction

Cryptomeria japonica, a native tree species in China, exhibits characteristics of wind resistance and seismic stability. It has been ecologically used in afforestation, soil conservation, and water conservation [1,2] and can be extensively used for architectural and landscaping purposes due to its ornamental shape. With the intensification of global climate change and extreme weather events, C. japonica is increasingly exposed to various biotic factors, including D. houi [3,4]. This pest causes severe defoliation of mature branches and new shoots of C. japonica, negatively impacting their photosynthetic capacity and overall growth. D. houi is a polyphagous pest whose host selection correlates with geographic distribution [5]. While in southwestern regions like Yunnan and Guizhou, it predominantly inflicts damage on species such as Pinus yunnanensis and Pinus kesiya [5,6], in eastern provinces like Fujian and Zhejiang, Cryptomeria japonica serves as the primary host [7]. This indicates that while C. japonica is a significant host, D. houi’s feeding preferences are diverse and adapted to regional flora availability. Recent years have seen severe outbreaks of D. houi in provinces such as Fujian, Zhejiang, Yunnan, and Guizhou in China [8]. These outbreaks have resulted in significant disruption of local forestry ecosystems and substantial economic losses, leading to the degradation of stands, including the loss of thousands of hectares of artificial forests and some ancient C. japonica trees [9] (Figure 1).
Previous researchers have dedicated their efforts to studying biology [10,11], ecology [9,11], and integrated management of D. houi, effectively reducing infestation levels and preserving forest ecosystems. Some scholars have also employed modern biotechnology to investigate the chemical sensing mechanisms and genes associated with the growth and development of D. houi [12,13,14], contributing to a more comprehensive understanding of the mechanisms behind its outbreaks. However, there is a notable deficit in the research surrounding the mechanisms driving pest outbreaks in C. japonica and the interaction between host plants and caterpillars, compounded by inadequate pest surveillance and early warning systems, which might synergistically cause germplasm loss or extinction in C. japonica. Chemical control methods have historically been utilized in China to manage D. houi outbreaks, employing substances like omethoate, cypermethrin, and pyrethroids, particularly in forestry areas where these pests pose significant threats [9,11]. However, there are usually adverse factors for chemical pesticide use in the natural habitats of C. japonica, such as steep slopes, unavailable water, and tree heights [15,16]. These methods are particularly common in forestry areas where the pest poses a significant threat. Consequently, there is an imperative need to deepen our understanding of C. japonica intrinsic pest-resistance mechanisms and to foster the development of pest-resistant germplasm, which promises substantial practical benefits [17,18,19]. Furthermore, the interactive dynamics between the pests D. houi and C. japonica, particularly in the context of host hormone signaling and its interplay with primary and secondary metabolites, remain poorly characterized and warrant further investigation.
Based on prior research, plant resistance to insects can generally be divided into three main categories: antixenosis, which refers to the plant’s ability to repel or deter pests; antibiosis, which affects the biology of the pests to reduce their survival, growth, or reproduction; and tolerance, which is the plant’s ability to maintain its health and functionality despite pest infestation [20]. Tolerance specifically enables the host plant to sustain damage without significant detriment to its overall health compared to other plants experiencing the same level of pest attack [21]. Some previous research has also indicated that plants have the ability to antagonize pest infestations by generating antioxidants [22,23,24,25] and defensive enzymes [26,27,28]. For example, secondary metabolites and defensive enzyme activity within Populus L. notably increased after they were attacked by Anoplophara glabripennis (Motschulsky), which significantly enhanced the host’s resistance to infestation by longhorn beetles [29,30]. In addition, research on Pinus massoniana’s defense against Dendrolimus punctatus, a pest with similarities to D. pini, underscores the critical roles of hormones, calcium, and WRKY transcription factors in mediating plant defense responses [31]. Plants can generate targeted defense proteins that disrupt insect feeding, thus augmenting their resistance. A notable example involves Nicotiana attenuata, where the presence of arginine decarboxylase and threonine deaminase enzymes plays a key role in enhancing its defense against Manduca sexta [32,33]. Furthermore, under stress conditions, plants induce the production of endogenous hormones such as jasmonic acid and salicylic acid by altering their gene transcription patterns to combat damage [34]. For instance, employing jasmonic acid-induced defense responses significantly enhances the resistance of Arachis hypogaea L. to Helicoverpa armigera (Hubner) (Lepidoptera: Noctuidae) [35]. Additionally, phenylpropanoids and flavonoids play a crucial role in plant defenses against biotic and abiotic stresses [36]. For example, the abundance of phenylpropanoids in the pericarp of maize (Zea mays L.) grain pericarps in resisting the invasion of the maize weevil (Sitophilus zeamais (Motsch.) [37]; similarly, high concentrations of quercetin, chlorogenic acid, and rutin in wild-cultivated hybrid groundnut plants (Arachis hypogaea L. × Arachis kempff-mercadoi Krapov. and W.C. Greg.) significantly enhance their resistance to the Spodoptera litura (Fab.) [38]. However, the molecular mechanisms and response pathways of C. japonica to phytophagous caterpillar infestations still require further in-depth clarification. In this study, we conducted a transcriptome analysis on C. japonica seedling needles infested by D. houi larvae. We used mechanically damaged and healthy seedling needles as controls. The objective was to reveal the response mechanism of C. japonica needles to pest infestation. The findings are expected to provide insight into the resistance mechanisms of C. japonica and support better protection of C. japonica.

2. Materials and Methods

2.1. Materials and Experimental Treatments

The tested 3-year-old seedlings of C. japonica were cultured in the pots, respectively, originating from Xiapu State-owned Forest Farm, Ningde, Fujian, China. The D. houi larvae were collected in the forest located at Wengshantou Village, Minqing County, Fuzhou, Fujian, China (26°27′ N, 118°57′ E) and reared in the insect cages (17.2 cm × 11.6 cm × 5.2 cm) [14]. Two hundred healthy sixth-instar larvae of D. houi were selected for this experiment. Nine C. japonica seedlings were randomly divided into three groups (A, B, and C) and placed in the field under temperatures ranging from 24 to 32 °C. Group A (caterpillar infestation): 60 larvae of D. houi were placed in the C. japonica seedling after they were starved for 36 h, then all larvae were removed after 10 min, and 1.0 g needle samples were collected before being transferred into liquid nitrogen and −80 °C laboratory freezers for future use. Group B (mechanical damage): the needles of C. japonica seedling were artificially cut for 10 min by using a sterilized pair of scissors, simulating the feeding speed of D. houi, and 1.0 g needle samples were also collected and stored following the same method above. Group C: C. japonica seedling without caterpillar feeding and artificial cutting. Each treatment was replicated three times and was completed at 12:00 PM local time.

2.2. RNA Isolation and cDNA Library Construction

Total RNA was extracted using Trizol reagent (Invitrogen, Carlsbad, CA, USA) and assessed for quality with a Qubit 2.0 Fluorometer, Nanodrop One Spectrophotometer, and Agilent 2100 Bioanalyzer (all from Thermo Fisher Scientific, Waltham, MA, USA). mRNA was enriched from high-quality RNA using oligo(dT) beads and fragmented. First-strand cDNA was synthesized with the PrimeScript™ RT kit (Takara, San Jose, CA, USA), followed by double-stranded cDNA synthesis, purification, and PCR enrichment. The cDNA library was constructed by Hangzhou PTM Biotech Co., Ltd., Hangzhou, China, and sequenced on the Illumina Hiseq 2000 (PE150) (Illumina, San Diego, CA, USA).

2.3. Sequence Assembly and Gene Annotation

To obtain clean reads, low-quality reads and adapters were filtered out based on the Q20, Q30, and GC content. Trinity software (2.9.0) [39] was used to complete sequence assembly and acquire unigene sequences. The unigene sequences were compared with the NR, Swiss-Prot [40], Gene Ontology (GO) [41], Clusters of Orthologous Groups (COG)/EuKaryotic Orthologous Groups (KOG) [42], and Kyoto Encyclopedia of Genes and Genomes (KEGG) [43] databases using BLAST software (2.9.0) [44] and annotated with KOBAS2.0 [45]. After predicting the amino acid sequences of the unigenes, they were compared with the Pfam database [46] using HMMER software (V3.4) to obtain annotation information.

2.4. Differential Expression Analysis and Gene Cluster Analysis

Gene expression levels were calculated and normalized based on FPKM values. The DEGeq R package (3.6.2) was used for differential expression analysis between sample groups. DESeq2 [47] was employed for differential expression analysis between biological conditions, while EBSeq [48] was used for differential analysis between non-biologically replicated samples. In the differential analysis, genes were filtered based on a fold change ≥ 2 and FDR < 0.01. p-values were adjusted using the Benjamini–Hochberg correction method, with the final key filtering criterion being FDR. Hierarchical cluster analysis was carried out on the selected differentially expressed genes, clustering genes with similar expression patterns for analysis.

2.5. qRT-PCR Validation

Five genes with different expression levels across the three experimental groups were randomly selected for qRT-PCR analysis to validate the accuracy of transcriptome sequencing by using the TB Green® Fast qPCR Mix kit (TaKaRaCorp., Dalian, China), and PCR reactions were conducted in a T100™ Thermal Cycler (Bio-RAD Inc., Hercules, CA, USA), using DN228798_c1_g1 as the reference gene. The relative expression levels of the five genes were measured using the 2−ΔΔCT method. The primers were designed based on NCBI data, and primer specificity (Table 1) was tested using TBtools [49].

3. Results

3.1. Illumina Sequencing and De Novo Assembly

In this study, transcriptome sequencing of C. japonica samples yielded 67.61 GB of high-quality clean reads, with each sample having an average size of 7.51 GB. A total of 326,124 unigenes were obtained, with an N50 length of 335 bp and an average length of 402 bp after eliminating low-expression transcripts. The sequencing depth reached a sufficiently high level, with a Q30 ratio exceeding 92.67%, making it suitable for subsequent analysis. The assembled unigenes mainly fell within a length range of 200–3000 bp (Figure 2).

3.2. Functional Annotation of Unigenes

Using BLAST [44], the predicted amino acid sequences of unigenes were aligned against various databases, including NR, Swiss-Prot [40], GO [41], COG/KOG [42], and KEGG [43]. Out of the 177,418 predicted amino acid sequences of unigenes, which account for 54% of all unigenes, a significant proportion exhibited high similarity to known proteins in the aforementioned databases. This observation suggests that approximately 46% of the transcripts correspond to transcriptionally uncharacterized active regions. In particular, about 44% of the unigenes were successfully annotated using the NR database (Table 2).

3.3. Differential Expression Analysis

Based on the analysis of transcriptome sequencing data, 10,412 DEGs were identified in the C vs. A group. Among these genes, 4215 showed up-regulation, while 6197 exhibited down-regulation. In the C vs. B group, 4625 DEGs were found, with 1875 being up-regulated and 2750 down-regulated. In the B vs. A group, a total of 5535 genes displayed differential expression, with 2519 showing up-regulation and 3016 displaying down-regulation (Figure 3 and Figure 4).

3.4. Classification of Unigenes Function and Metabolic Pathway

C. japonica exhibited distinct responses to D. houi infestation (Group A) and mechanical damage (Group B), with the infestation group revealing 4900 DEGs and the damage group 2786, as evidenced by GO enrichment analysis (Figure 5a,b).
In the fundamental biological functions, DEGs were mostly involved with metabolism, cellular processes, and stress response, and secondary function DEGs like development and immunity were also enriched compared to the global gene expression profile. Conversely, reproductive process-related DEGs were less represented.
DEG distribution across cellular components was notably enriched within various cellular structures, encompassing intracellular compartments and integral parts of the cell, such as the membrane. Particularly, there was a substantial increase in enrichment within the extracellular matrix and cell junction categories, underscoring a significant level of enrichment across these cellular domains. Molecular function analysis revealed an increased presence of genes associated with catalytic and binding activities, which included an over-expression of nucleic acid-binding transcription factors and antioxidant genes. These findings suggest potential defense mechanisms employed by the cell to mitigate abiotic and biotic stresses.
Significant alterations occurred in several metabolic pathways in response to D. houi caterpillar infestations. The pathways affected included the phenylpropanoid pathway, linoleic acid metabolism, starch and sucrose metabolism, plant hormone signal transduction, and flavonoid biosynthesis, which showed high enrichment after infestation (Figure 6a,b). Conversely, pathways such as the pentose phosphate pathway, plant hormone signal transduction, and glycine, serine, threonine, and phenylpropanoid metabolism pathways exhibited significant enrichment after mechanical damage. It is evident that there were notable disparities in the plant’s response to caterpillar infestation and mechanical damage stress. Both stresses did activate two common pathways, namely the phenylpropanoid pathway and plant hormone signaling. However, there were additional distinctive pathways enriched, indicating varying physiological mechanisms in response to these different types of damage. Both primary and secondary metabolites play vital roles in enhancing plant resistance to external factors.
To investigate how the host plant responded to the stress of pest infestation, 786 unique DEGs were identified in the pest-infested samples using KEGG enrichment analysis (Figure 7). Notably, significant enrichment was observed in pathways such as pyruvate metabolism, propionate metabolism, tyrosine metabolism, taurine, and hypotaurine, underscoring their importance in the plant’s response to stress.

3.5. qRT-PCR Validation

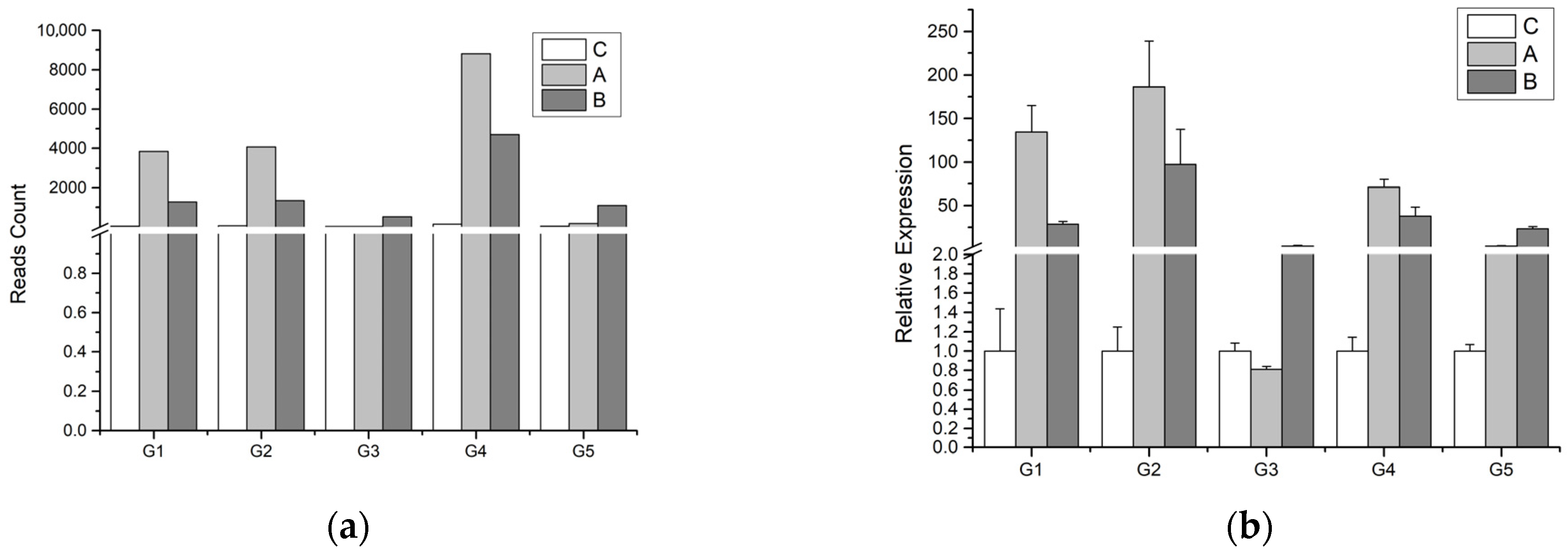
To validate the DEGs identified through RNA-seq, five genes displaying varying expression levels within the three experimental groups were selected for analysis via quantitative reverse transcription PCR (qRT-PCR). Ultimately, the qRT-PCR results closely aligned with the findings from the transcriptome sequencing, revealing a robust correlation between these two datasets. This outcome serves to affirm the reliability of the RNA-Seq data (Figure 8).

4. Discussion

The feeding activity of D. houi caterpillars can significantly disrupt the physiological metabolism of C. japonica. In response, C. japonica can adjust its metabolic pathways to counteract the infestation of D. houi and maintain normal physiological functions. To a certain extent, the enriched metabolic pathway map related to D. houi feeding illustrates and represents the interaction mechanism between C. japonica and D. houi. Notably, compared to mechanical damage and control groups, caterpillar infestation exhibits different metabolic patterns, possibly regulated by their salivary proteins during their feeding hours. This is similar to tomato, maize, and rice, which serve as models for caterpillar infestations, such as the fall armyworm [50].
The enrichment analysis of the specific 786 DEGs revealed that the primary metabolic pathways of C. japonica, including those of carbohydrates and amino acids, were affected by the D. houi caterpillar infestation. This indicates that the infestation stress by D. houi larvae significantly impacted the physiological processes of C. japonica, even influencing host growth and development, akin to the stress effects observed in rice when fed upon by the brown planthopper (Nilaparvata lugens) [51,52]. Previous research has shown that primary metabolites not only serve as the primary nutrients and energy source for host plants and herbivores but also provide essential fuel and raw materials for the secondary metabolism of plant resistance [53,54]. In this study, it was also observed that genes related to the regulation of fundamental metabolism within C. japonica were significantly expressed after being subjected to infestation by D. houi larvae, suggesting that maintaining the stability of most fundamental metabolites is beneficial for normal growth.
The roles of plant secondary metabolites as defensive substances against herbivorous insects have been extensively documented in prior research. These secondary metabolites exhibit direct defenses by interfering with herbivorous insect feeding behavior [55], influencing internal enzyme activities [56,57,58], and inhibiting insect growth and development [59,60]. Conversely, they can also serve as indirect defenses by attracting insect predators [61,62] and affecting insect endosymbionts [63]. In this study, when compared to mechanically damaged and control plants, significant alterations were observed in certain secondary metabolites within pest-infested plants. These changes encompassed flavonoids, non-protein amino acids, phenylpropanoids, and metabolites related to taurine and hypotaurine content. Simultaneously, a substantial number of DEGs exhibited upregulation in the C. japonica flavonoid biosynthesis pathway. This observation suggests their active involvement in enhancing the host plant’s resistance to pest infestation. Evidently, C. japonica’s internal defense mechanisms were induced and heightened to counteract pest infestations. However, these DEGs were not present in this pathway under the mechanical damage stress of host plants. Consequently, it is reasonable to assume that the flavonoid biosynthesis pathway is specifically activated and regulated in response to pest infestations.
On the other hand, secondary metabolites such as chalcones and anthocyanins within C. japonica exhibited an accumulation in response to potential infestation by D. houi larvae [64]. These responses may be initiated by specific chemicals released by herbivores, such as proteins found in insect saliva [65,66], which can activate plant defense mechanisms once recognized by the plant [67,68].
The effects of mechanical damage differ from those caused by herbivore feeding. Mechanical damage typically triggers segmental defense responses in plants, such as rapid wound healing and adjustments to cell wall structures aimed at preventing pathogen entry. These responses often involve the hormones jasmonic acid, gibberellins, and abscisic acid, as well as the activation of signaling pathways [69]. In contrast, herbivore feeding damage typically induces changes in the metabolism of taurine, hypotaurine, and lipids within host plants. This results in an increase in these substances within C. japonica after being fed on by D. houi larvae. Previous studies have also demonstrated that the upregulation of non-protein amino acids can benefit plants in resisting pest feeding [70]. Changes in lipid metabolism might be helpful in increasing the energy consumption of C. japonica against D. houi [71]. Furthermore, tyrosine metabolism within C. japonica was significantly enriched after 24 hours of D. houi larvae feeding. Previous research has indicated that tyrosine is a precursor of alkaloids and natural phenols with antioxidant, anti-inflammatory, and antimicrobial functions [72,73]. L-tyrosine can be converted to p-coumaric acid by tyrosine ammonia-lyase, an aromatic phenylpropanoid [74,75]. These compounds play a crucial protective role when plants face biotic and abiotic stress, interacting with various pathogens, insects, and environmental factors [76]. They can also induce and activate plant hormone signaling pathways, such as salicylic acid, gibberellins, and jasmonic acid signal transduction, further enhancing plant immunity and resistance mechanisms [77,78,79].
Throughout the course of evolutionary history and natural selection, phytophagous insects have developed adaptive mechanisms to overcome plant defense strategies. One of the primary strategies employed by these insects involves manipulating the host’s metabolism to acquire sufficient nutrients [80,81,82]. Our research findings reveal that C. japonica adjusts both its primary and secondary metabolism in response to D. houi larvae infestation. Specifically, the primary metabolism is fine-tuned to support the normal growth and development of host plants, while the secondary metabolism is enhanced to bolster defensive capabilities. Upon enduring the feeding activities of D. houi larvae, significant alterations were observed in the levels of secondary metabolites within C. japonica. These include flavonoids, non-protein amino acids, and phenylpropanoids, all of which serve crucial defensive functions. These compounds play roles in disrupting insect feeding, inhibiting insect growth and development, and attracting natural enemies of pests.

5. Conclusions

Through the application of high-throughput transcriptome sequencing technology, substantial alterations were observed in most primary metabolic pathways and defense-related metabolic pathways within C. japonica when exposed to the feeding of the D. houi larvae, in comparison to mechanical damage and control. This study sheds light on the signaling pathways associated with C. japonica’s resistance to D. houi larvae and contributes to a better understanding of the response mechanisms exhibited by C. japonica during pest infestation. Furthermore, these findings offer fresh perspectives on the prevention and control of D. houi infestations and establish a theoretical foundation for future research on breeding-resistant strains of C. japonica.

Author Contributions

Conceptualization, Y.Q., W.X., F.Z., X.L. and G.L.; data curation, Y.Q., S.Y., S.W., X.F. and H.X.; investigation, Y.Q., S.W., Y.Z., S.Y. and X.L.; writing—original draft preparation, Y.Q., W.X., Y.Z., X.F., H.X. and G.L.; writing—review and editing, Y.Q., X.L., F.Z, X.F., S.Y. and G.L. All authors have read and agreed to the published version of the manuscript.

Funding

This research was funded by the introductory project of the Fujian Provincial Science and Technology Department (NO. 2021N002), the Fuzhou Forestry Science and Technology Research Project (No. 2021FZLY01), the Forestry Science and Technology Research Project of Fuzhou City (No. 2022-81), the Fujian Province Forestry Science and Technology Promotion Project (No. 2023TG16), the National Natural Science Fund of China (No. 31870641).

Data Availability Statement

The data presented in this study are available on request from the corresponding author.

Acknowledgments

In this study, we thank the Forestry Bureau of Xiapu County for providing support for insect source collection.

Conflicts of Interest

The authors declare no conflicts of interest.

References

  1. Zhang, Y.; Yang, L.; Zhang, M.; Yang, J.; Cui, J.; Hu, H.; Xu, J. CfAPX, a cytosolic ascorbate peroxidase gene from Cryptomeria fortunei, confers tolerance to abiotic stress in transgenic Arabidopsis. Plant Physiol. Biochem. 2022, 172, 167–179. [Google Scholar] [CrossRef]
  2. Zhu, C.; Xu, J.; Ouyang, L.; Shi, J. Study on regeneration system of Cryptomeria clones in vitro culture. J. Nanjing For. Univ. 2015, 58, 55. [Google Scholar]
  3. Lin, H.Y.; Lu, C.D.; Chen, Z.H.; Zhou, Y.J.; Liang, Y.; Chen, H.; Liang, G.H. A survey on pupae parasitoid species of Dendrolimus houi (Lajonquiere)(Lepidoptera, Lasiocampidae) in China. Biodivers. Data J. 2023, 11, e97878. [Google Scholar] [CrossRef]
  4. Ouyang, X.; Lin, H.; Bai, S.; Chen, J.; Chen, A. Simulation the potential distribution of Dendrolimus houi and its hosts, Pinus yunnanensis and Cryptomeria fortunei, under climate change in China. Front. Plant Sci. 2022, 13, 1054710. [Google Scholar] [CrossRef]
  5. Yin, A.; Chuan, R.; Xu, G. A study on the biological characteristics of Dendrolimus houi. J. Southwest For. Coll. 2002, 22, 53–55. [Google Scholar]
  6. Liu, X. Study on biological characteristics and its integrated control of Dendrolimus latipenis. J. Southwest For. Coll. 2006, 26, 52–54. [Google Scholar]
  7. Peng, Q.; Yang, Z.; Ke, M.; Yin, G.; Zhou, P. Occurrence and Controlling of Caterpillar moth in Pinus kesiya Forest in Mangshi County, Yunnan Province. For. Inventory Plan. 2014, 39, 32–35. [Google Scholar]
  8. Liu, J.; Lin, Q.; Zheng, S.; Li, S. The drug effect experiment of avemectin in controlling Dendrolimus Latipenis walker in forest. J. Biol. 2004, 21, 39–40. [Google Scholar]
  9. Hua, Y.; Lin, H.; Lu, C.; Shi, Y.; He, H.; Han, X.; Zhang, F.; Liang, G. Research advances in Dendrolimus houi Lajonquiere of China. World For. Res. 2019, 32, 62–68. [Google Scholar]
  10. Xu, G.; Chai, S.; Xie, K.; Luo, F.; Liu, W.; Feng, Z. A study on the bio ecological characteristics of Dendrolimus houi in Jingdong County. J. Northwest Sci-Tech Univ. Agric. For. 2002, 6, 151–155. [Google Scholar]
  11. Zhou, Y.; Lin, H.; Hua, Y.; Han, X.; Wei, Z.; Zhang, F.; Liang, G. Occurrence regularity and biological characteristics of Dendrolimus houi in Fujian Province. Subtrop. Agric. Res. 2019, 15, 20–26. [Google Scholar]
  12. Han, X.; Lu, C.; Geib, S.M.; Zheng, J.; Wu, S.; Zhang, F.; Liang, G. Characterization of Dendrolimus houi Lajonquiere (Lepidoptera: Lasiocampidae) transcriptome across all life stages. Insects 2019, 10, 442. [Google Scholar] [CrossRef] [PubMed]
  13. Shen, H.; He, H.; Lu, C.; Liang, Y.; Wu, H.; Zheng, L.; Wang, X.; Liang, G. Comparative transcriptome analysis of two populations of Dastarcus helophoroides (Fairmaire) under high temperature stress. Forests 2021, 13, 13. [Google Scholar] [CrossRef]
  14. Fang, X.; Chen, Z.; Chen, Z.; Chen, J.; Zhao, Z.; Wu, P.; Wu, H.; Zhang, F.; Liang, G. Metabolome and Transcriptome Analysis Reveals the Effects of Host Shift on Dendrolimus houi Lajonquière Larvae. Forests 2023, 14, 1307. [Google Scholar] [CrossRef]
  15. Fu, L. Taxodiaceae. Flora China 1999, 4, 54–61. [Google Scholar]
  16. Cai, M.; Wen, Y.; Uchiyama, K.; Onuma, Y.; Tsumura, Y. Population genetic diversity and structure of ancient tree populations of Cryptomeria japonica var. sinensis based on RAD-seq data. Forests 2020, 11, 1192. [Google Scholar] [CrossRef]
  17. Chandler, D.; Bailey, A.S.; Tatchell, G.M.; Davidson, G.; Greaves, J.; Grant, W.P. The development, regulation and use of biopesticides for integrated pest management. Philos. Trans. R. Soc. B Biol. Sci. 2011, 366, 1987–1998. [Google Scholar] [CrossRef]
  18. Gill, H.K.; Garg, H. Pesticide: Environmental impacts and management strategies. In Pesticides: Toxic Aspects; BoD—Books on Demand: Norderstedt, Germany, 2014; Volume 8. [Google Scholar]
  19. Birch, A.N.E.; Begg, G.S.; Squire, G.R. How agro-ecological research helps to address food security issues under new IPM and pesticide reduction policies for global crop production systems. J. Exp. Bot. 2011, 62, 3251–3261. [Google Scholar] [CrossRef]
  20. Kogan, M.; Ortman, E.F. Antixenosis–a new term proposed to define Painter’s “nonpreference” modality of resistance. Bull. ESA 1978, 24, 175–176. [Google Scholar] [CrossRef]
  21. Koch, K.G.; Chapman, K.; Louis, J.; Heng-Moss, T.; Sarath, G. Plant tolerance: A unique approach to control hemipteran pests. Front. Plant Sci. 2016, 7, 1363. [Google Scholar] [CrossRef]
  22. Lu, K.; Cheng, Y.; Li, W.; Ni, H.; Chen, X.; Li, Y.; Tang, B.; Li, Y.; Chen, D.; Zeng, R. Copper-induced H2O2 accumulation confers larval tolerance to xanthotoxin by modulating CYP6B50 expression in Spodoptera litura. Pestic. Biochem. Physiol. 2019, 159, 118–126. [Google Scholar] [CrossRef] [PubMed]
  23. Manushree, V.; Devaraj, V.; Prasad, D. Expression of Cocculus hirsutus trypsin inhibitor promotes endogenous defensive response against Helicoverpa armigera and enhanced levels of antioxidants. Afr. J. Plant Sci. 2020, 14, 65–82. [Google Scholar] [CrossRef]
  24. Gandhi, A.; Kariyat, R.R.; Chappa, C.; Tayal, M.; Sahoo, N. Tobacco hornworm (Manduca sexta) oral secretion elicits reactive oxygen species in isolated tomato protoplasts. Int. J. Mol. Sci. 2020, 21, 8297. [Google Scholar] [CrossRef] [PubMed]
  25. Kumar, V.; Nautiyal, C.S. Plant abiotic and biotic stress alleviation: From an endophytic microbial perspective. Curr. Microbiol. 2022, 79, 311. [Google Scholar] [CrossRef]
  26. War, A.R.; Buhroo, A.A.; Hussain, B.; Ahmad, T.; Nair, R.M.; Sharma, H.C. Plant defense and insect adaptation with reference to secondary metabolites. In Co-Evolution of Secondary Metabolites; Springer: Cham, Switzerland, 2020; pp. 795–822. [Google Scholar]
  27. Divekar, P.A.; Rani, V.; Majumder, S.; Karkute, S.G.; Molla, K.A.; Pandey, K.K.; Behera, T.K.; Govindharaj, G.-P.-P. Protease inhibitors: An induced plant defense mechanism against herbivores. J. Plant Growth Regul. 2022, 42, 6057–6073. [Google Scholar] [CrossRef]
  28. Harish, G.N.; Singh, R.; Sharma, S.; Taggar, G.K. Changes in defense-related antioxidative enzymes amongst the resistant and susceptible soybean genotypes under whitefly, Bemisia tabaci (Hemiptera: Aleyrodidae) stress. Phytoparasitica 2023, 51, 63–75. [Google Scholar] [CrossRef]
  29. Zhang, K.; Wei, J.; Li, Z.; Yang, B.; Wang, J.; Su, Z. Defensive responses of Populus deltoides cl. Beikang to mechanical injury and Anoplophora glabripennis infection. Chin. J. Appl. Ecol. 2021, 11, 4139–4146. [Google Scholar]
  30. Movahedi, A.; Almasi Zadeh Yaghuti, A.; Wei, H.; Rutland, P.; Sun, W.; Mousavi, M.; Li, D.; Zhuge, Q. Plant secondary metabolites with an overview of Populus. Int. J. Mol. Sci. 2021, 22, 6890. [Google Scholar] [CrossRef]
  31. Chen, H.; Hu, Y.; Liang, X.; Xie, J.; Xu, H.; Luo, Q.; Yang, Z. Roles of hormones, calcium and PmWRKY31 in the defense of Pinus massoniana Lamb. against Dendrolimus punctatus Walker. For. Res. 2021, 1, 21. [Google Scholar] [CrossRef]
  32. Kang, J.-H.; Wang, L.; Giri, A.; Baldwin, I.T. Silencing threonine deaminase and JAR4 in Nicotiana attenuata impairs jasmonic acid–isoleucine–mediated defenses against Manduca sexta. Plant Cell 2006, 18, 3303–3320. [Google Scholar] [CrossRef]
  33. Chen, H.; Wilkerson, C.G.; Kuchar, J.A.; Phinney, B.S.; Howe, G.A. Jasmonate-inducible plant enzymes degrade essential amino acids in the herbivore midgut. Proc. Natl. Acad. Sci. USA 2005, 102, 19237–19242. [Google Scholar] [CrossRef] [PubMed]
  34. Wang, Y.; Mostafa, S.; Zeng, W.; Jin, B. Function and mechanism of jasmonic acid in plant responses to abiotic and biotic stresses. Int. J. Mol. Sci. 2021, 22, 8568. [Google Scholar] [CrossRef] [PubMed]
  35. War, A.R.; Paulraj, M.G.; War, M.Y.; Ignacimuthu, S. Jasmonic acid-mediated-induced resistance in groundnut (Arachis hypogaea L.) against Helicoverpa armigera (Hubner)(Lepidoptera: Noctuidae). J. Plant Growth Regul. 2011, 30, 512–523. [Google Scholar] [CrossRef]
  36. Ramaroson, M.-L.; Koutouan, C.; Helesbeux, J.-J.; Le Clerc, V.; Hamama, L.; Geoffriau, E.; Briard, M. Role of phenylpropanoids and flavonoids in plant resistance to pests and diseases. Molecules 2022, 27, 8371. [Google Scholar] [CrossRef] [PubMed]
  37. García-Lara, S.; Bergvinson, D.J.; Burt, A.J.; Ramputh, A.I.; Díaz-Pontones, D.M.; Arnason, J.T. The role of pericarp cell wall components in maize weevil resistance. Crop Sci. 2004, 44, 1546–1552. [Google Scholar] [CrossRef]
  38. Mallikarjuna, N.; Kranthi, K.; Jadhav, D.; Kranthi, S.; Chandra, S. Influence of foliar chemical compounds on the development of Spodoptera litura (Fab.) in interspecific derivatives of groundnut. J. Appl. Entomol. 2004, 128, 321–328. [Google Scholar] [CrossRef]
  39. Grabherr, M.G.; Haas, B.J.; Yassour, M.; Levin, J.Z.; Thompson, D.A.; Amit, I.; Adiconis, X.; Fan, L.; Raychowdhury, R.; Zeng, Q. Trinity: Reconstructing a full-length transcriptome without a genome from RNA-Seq data. Nat. Biotechnol. 2011, 29, 644. [Google Scholar] [CrossRef]
  40. Apweiler, R.; Bairoch, A.; Wu, C.H.; Barker, W.C.; Boeckmann, B.; Ferro, S.; Gasteiger, E.; Huang, H.; Lopez, R.; Magrane, M. UniProt: The universal protein knowledgebase. Nucleic Acids Res. 2004, 32, D115–D119. [Google Scholar] [CrossRef]
  41. Ashburner, M.; Ball, C.A.; Blake, J.A.; Botstein, D.; Butler, H.; Cherry, J.M.; Davis, A.P.; Dolinski, K.; Dwight, S.S.; Eppig, J.T. Gene ontology: Tool for the unification of biology. Nat. Genet. 2000, 25, 25–29. [Google Scholar] [CrossRef]
  42. Tatusov, R.L.; Galperin, M.Y.; Natale, D.A.; Koonin, E.V. The COG database: A tool for genome-scale analysis of protein functions and evolution. Nucleic Acids Res. 2000, 28, 33–36. [Google Scholar] [CrossRef]
  43. Kanehisa, M.; Goto, S.; Kawashima, S.; Okuno, Y.; Hattori, M. The KEGG resource for deciphering the genome. Nucleic Acids Res. 2004, 32, D277–D280. [Google Scholar] [CrossRef] [PubMed]
  44. Altschul, S.F.; Madden, T.L.; Schäffer, A.A.; Zhang, J.; Zhang, Z.; Miller, W.; Lipman, D.J. Gapped BLAST and PSI-BLAST: A new generation of protein database search programs. Nucleic Acids Res. 1997, 25, 3389–3402. [Google Scholar] [CrossRef] [PubMed]
  45. Xie, C.; Mao, X.; Huang, J.; Ding, Y.; Wu, J.; Dong, S.; Kong, L.; Gao, G.; Li, C.-Y.; Wei, L. KOBAS 2.0: A web server for annotation and identification of enriched pathways and diseases. Nucleic Acids Res. 2011, 39, W316–W322. [Google Scholar] [CrossRef] [PubMed]
  46. Finn, R.D.; Coggill, P.; Eberhardt, R.Y.; Eddy, S.R.; Mistry, J.; Mitchell, A.L.; Potter, S.C.; Punta, M.; Qureshi, M.; Sangrador-Vegas, A. The Pfam protein families database: Towards a more sustainable future. Nucleic Acids Res. 2016, 44, D279–D285. [Google Scholar] [CrossRef] [PubMed]
  47. Love, M.I.; Huber, W.; Anders, S. Moderated estimation of fold change and dispersion for RNA-seq data with DESeq2. Genome Biol. 2014, 15, 550. [Google Scholar] [CrossRef] [PubMed]
  48. Leng, N.; Dawson, J.A.; Thomson, J.A.; Ruotti, V.; Rissman, A.I.; Smits, B.M.; Haag, J.D.; Gould, M.N.; Stewart, R.M.; Kendziorski, C. EBSeq: An empirical Bayes hierarchical model for inference in RNA-seq experiments. Bioinformatics 2013, 29, 1035–1043. [Google Scholar] [CrossRef] [PubMed]
  49. Chen, C.; Chen, H.; Zhang, Y.; Thomas, H.R.; Frank, M.H.; He, Y.; Xia, R. TBtools: An integrative toolkit developed for interactive analyses of big biological data. Mol. Plant 2020, 13, 1194–1202. [Google Scholar] [CrossRef] [PubMed]
  50. Acevedo, F.E.; Smith, P.; Peiffer, M.; Helms, A.; Tooker, J.; Felton, G.W. Phytohormones in Fall Armyworm Saliva Modulate Defense Responses in Plants. J. Chem. Ecol. 2019, 45, 598–609. [Google Scholar] [CrossRef]
  51. Kang, K.; Yue, L.; Xia, X.; Liu, K.; Zhang, W. Comparative metabolomics analysis of different resistant rice varieties in response to the brown planthopper Nilaparvata lugens Hemiptera: Delphacidae. Metabolomics 2019, 15, 62. [Google Scholar] [CrossRef]
  52. Uawisetwathana, U.; Graham, S.F.; Kamolsukyunyong, W.; Sukhaket, W.; Klanchui, A.; Toojinda, T.; Vanavichit, A.; Karoonuthaisiri, N.; Elliott, C.T. Quantitative 1 H NMR metabolome profiling of Thai Jasmine rice (Oryza sativa) reveals primary metabolic response during brown planthopper infestation. Metabolomics 2015, 11, 1640–1655. [Google Scholar] [CrossRef]
  53. De Bruyn, L.; Scheirs, J.; Verhagen, R. Nutrient stress, host plant quality and herbivore performance of a leaf-mining fly on grass. Oecologia 2002, 130, 594–599. [Google Scholar] [CrossRef] [PubMed]
  54. Castrillón-Arbeláez, P.A.; Martínez-Gallardo, N.; Arnaut, H.A.; Tiessen, A.; Délano-Frier, J.P. Metabolic and enzymatic changes associated with carbon mobilization, utilization and replenishment triggered in grain amaranth (Amaranthus cruentus) in response to partial defoliation by mechanical injury or insect herbivory. BMC Plant Biol. 2012, 12, 163. [Google Scholar] [CrossRef] [PubMed]
  55. Li, Z.; Liu, J.; Xiong, T.; Zeng, X. Aloe vera L. extracts repel oviposition by the oriental fruit fly (Bactrocera dorsalis). Chin. J. Appl. Entomol. 2017, 54, 468–474. [Google Scholar]
  56. Wu, L.; Li, L.; Wang, L.; Yuan, Y.; Chen, M. Effects of gallic acid on the nutritional efficiency and detoxificationenzymes in Hyphantria cunea larvae. J. Environ. Entomol. 2020, 42, 471–479. [Google Scholar]
  57. Ling, R.; Yang, R.; Li, P.; Zhang, X.; Shen, T.; Li, X.; Yang, Q.; Sun, L.; Yan, J. Asatone and isoasatone A against Spodoptera litura fab. by acting on cytochrome P450 monoxygenases and glutathione transferases. Molecules 2019, 24, 3940. [Google Scholar] [CrossRef] [PubMed]
  58. Razmjou, J.; Davari, M.; Ebadollahi, A. Effect of two plant essential oils and the entomopathogenic fungus, Lecanicillium muscarium (zare & gams) on the cotton aphid, Aphis gossypii glover. Egypt. J. Biol. Pest Control 2016, 26, 775–779. [Google Scholar]
  59. Wang, T.; Shi, D.; Zhang, S.; Du, K. Effects of four plant secondary metabolites on the growth and development of Tenebrio molitor and the synergistic effect of Vitamin B1. For. Ecol. Sci. 2021, 1, 49–55. [Google Scholar]
  60. Puri, S.; Singh, S.; Sohal, S.K. Inhibitory effect of chrysin on growth, development and oviposition behaviour of melon fruit fly, Zeugodacus cucurbitae (Coquillett)(Diptera: Tephritidae). Phytoparasitica 2022, 50, 151–162. [Google Scholar] [CrossRef]
  61. Bruinsma, M.; Posthumus, M.A.; Mumm, R.; Mueller, M.J.; van Loon, J.J.; Dicke, M. Jasmonic acid-induced volatiles of Brassica oleracea attract parasitoids: Effects of time and dose, and comparison with induction by herbivores. J. Exp. Bot. 2009, 60, 2575–2587. [Google Scholar] [CrossRef]
  62. Heil, M.; Greiner, S.; Meimberg, H.; Krüger, R.; Noyer, J.-L.; Heubl, G.; Eduard Linsenmair, K.; Boland, W. Evolutionary change from induced to constitutive expression of an indirect plant resistance. Nature 2004, 430, 205–208. [Google Scholar] [CrossRef]
  63. Kessler, A. The information landscape of plant constitutive and induced secondary metabolite production. Curr. Opin. Insect Sci. 2015, 8, 47–53. [Google Scholar] [CrossRef] [PubMed]
  64. Guo, X.; Huang, C.; Wu, Z.; Zhang, X.; Luo, C.; Cheng, X. Molecular Regulation of Plant Flavonoid Biosynthesis Pathway. North Hortic. 2011, 4, 204–207. [Google Scholar]
  65. Huang, H.J.; Ye, Z.X.; Lu, G.; Zhang, C.X.; Chen, J.P.; Li, J.M. Identification of salivary proteins in the whitefly Bemisia tabaci by transcriptomic and LC–MS/MS analyses. Insect Sci. 2021, 28, 1369–1381. [Google Scholar] [CrossRef] [PubMed]
  66. Gao, H.; Zou, J.; Lin, X.; Zhang, H.; Yu, N.; Liu, Z. Nilaparvata lugens salivary protein NlG14 triggers defense response in plants. J. Exp. Bot. 2022, 73, 7477–7487. [Google Scholar] [CrossRef] [PubMed]
  67. Huang, H.-J.; Wang, Y.-Z.; Li, L.-L.; Lu, H.-B.; Lu, J.-B.; Wang, X.; Ye, Z.-X.; Zhang, Z.-L.; He, Y.-J.; Lu, G. Planthopper salivary sheath protein LsSP1 contributes to manipulation of rice plant defenses. Nat. Commun. 2023, 14, 737. [Google Scholar] [CrossRef] [PubMed]
  68. Zogli, P.; Pingault, L.; Grover, S.; Louis, J. Ento(o)mics: The intersection of ‘omic’approaches to decipher plant defense against sap-sucking insect pests. Curr. Opin. Plant Biol. 2020, 56, 153–161. [Google Scholar] [CrossRef] [PubMed]
  69. Brenya, E.; Chen, Z.-H.; Tissue, D.; Papanicolaou, A.; Cazzonelli, C.I. Prior exposure of Arabidopsis seedlings to mechanical stress heightens jasmonic acid-mediated defense against necrotrophic pathogens. BMC Plant Biol. 2020, 20, 548. [Google Scholar] [CrossRef]
  70. Huang, T.; Jander, G.; de Vos, M. Non-protein amino acids in plant defense against insect herbivores: Representative cases and opportunities for further functional analysis. Phytochemistry 2011, 72, 1531–1537. [Google Scholar] [CrossRef]
  71. Lim, G.-H.; Singhal, R.; Kachroo, A.; Kachroo, P. Fatty acid–and lipid-mediated signaling in plant defense. Annu. Rev. Phytopathol. 2017, 55, 505–536. [Google Scholar] [CrossRef]
  72. Dey, P.; Kundu, A.; Kumar, A.; Gupta, M.; Lee, B.M.; Bhakta, T.; Dash, S.; Kim, H.S. Analysis of alkaloids (indole alkaloids, isoquinoline alkaloids, tropane alkaloids). In Recent Advances in Natural Products Analysis; Elsevier: Amsterdam, The Netherlands, 2020; pp. 505–567. [Google Scholar]
  73. Adão, P.; Reboleira, J.; Teles, M.; Santos, B.; Ribeiro, N.; Teixeira, C.M.; Guedes, M.; Pessoa, J.C.; Bernardino, S. Enhancement of the antioxidant and antimicrobial activities of porphyran through chemical modification with tyrosine derivatives. Molecules 2021, 26, 2916. [Google Scholar] [CrossRef]
  74. Huang, Y.; Jiang, X.; Chen, W.; Zhang, G.; Wang, Q. Characterization of highly active tyrosine ammonia lyase and its application in biosynthesis of p-coumaric acid. Chin. J. Biotechnol. 2022, 38, 4553–4566. [Google Scholar]
  75. Vallverdú-Queralt, A.; Verbaere, A.; Meudec, E.; Cheynier, V.; Sommerer, N. Straightforward method to quantify GSH, GSSG, GRP, and hydroxycinnamic acids in wines by UPLC-MRM-MS. J. Agric. Food Chem. 2015, 63, 142–149. [Google Scholar] [CrossRef] [PubMed]
  76. Haghighi, M.; Saadat, S.; Abbey, L. Effect of exogenous amino acids application on growth and nutritional value of cabbage under drought stress. Sci. Hortic. 2020, 272, 109561. [Google Scholar] [CrossRef]
  77. Huang, W.; Wu, Z.; Tian, H.; Li, X.; Zhang, Y. Arabidopsis CALMODULIN-BINDING PROTEIN 60b plays dual roles in plant immunity. Plant Commun. 2021, 2, 100213. [Google Scholar] [CrossRef]
  78. Lv, Z.-Y.; Sun, W.-J.; Jiang, R.; Chen, J.-F.; Ying, X.; Zhang, L.; Chen, W.-S. Phytohormones jasmonic acid, salicylic acid, gibberellins, and abscisic acid are key mediators of plant secondary metabolites. World J. Tradit. Chin. Med. 2021, 7, 307–325. [Google Scholar]
  79. Yang, J.; Duan, G.; Li, C.; Liu, L.; Han, G.; Zhang, Y.; Wang, C. The crosstalks between jasmonic acid and other plant hormone signaling highlight the involvement of jasmonic acid as a core component in plant response to biotic and abiotic stresses. Front. Plant Sci. 2019, 10, 1349. [Google Scholar] [CrossRef]
  80. Oliveira, D.; Isaias, R.; Fernandes, G.; Ferreira, B.; Carneiro, R.; Fuzaro, L. Manipulation of host plant cells and tissues by gall-inducing insects and adaptive strategies used by different feeding guilds. J. Insect Physiol. 2016, 84, 103–113. [Google Scholar] [CrossRef]
  81. Takeda, S.; Hirano, T.; Ohshima, I.; Sato, M.H. Recent progress regarding the molecular aspects of insect gall formation. Int. J. Mol. Sci. 2021, 22, 9424. [Google Scholar] [CrossRef]
  82. Murakami, R.; Ushima, R.; Sugimoto, R.; Tamaoki, D.; Karahara, I.; Hanba, Y.; Wakasugi, T.; Tsuchida, T. A new galling insect model enhances photosynthetic activity in an obligate holoparasitic plant. Sci. Rep. 2021, 11, 13013. [Google Scholar] [CrossRef]
Figure 1. C. japonica infestation by D. houi larvae.
Figure 1. C. japonica infestation by D. houi larvae.
Forests 15 00085 g001
Figure 2. Length and number distribution of unigenes.
Figure 2. Length and number distribution of unigenes.
Forests 15 00085 g002
Figure 3. (a) Volcano plot of the B vs. A differentially expressed genes; (b) volcano plot of the C vs. A differentially expressed genes; (c) volcano plot of the C vs. B differentially expressed genes. Note: Each point represents a gene. The horizontal axis indicates the log-transformed fold change in expression levels of a gene between two samples; the vertical axis shows the negative logarithm of the p-value, reflecting the statistical significance of changes in gene expression. A larger absolute value on the horizontal axis indicates a greater fold change in expression between the two samples; a higher value on the vertical axis suggests more significant differential expression and more reliable identification of differentially expressed genes. Within the plot, green points represent downregulated differentially expressed genes, red points denote up-regulated differentially expressed genes, and blue points signify genes that do not show differential expression.
Figure 3. (a) Volcano plot of the B vs. A differentially expressed genes; (b) volcano plot of the C vs. A differentially expressed genes; (c) volcano plot of the C vs. B differentially expressed genes. Note: Each point represents a gene. The horizontal axis indicates the log-transformed fold change in expression levels of a gene between two samples; the vertical axis shows the negative logarithm of the p-value, reflecting the statistical significance of changes in gene expression. A larger absolute value on the horizontal axis indicates a greater fold change in expression between the two samples; a higher value on the vertical axis suggests more significant differential expression and more reliable identification of differentially expressed genes. Within the plot, green points represent downregulated differentially expressed genes, red points denote up-regulated differentially expressed genes, and blue points signify genes that do not show differential expression.
Forests 15 00085 g003
Figure 4. Venn diagram of gene expression among samples of C. japonica.
Figure 4. Venn diagram of gene expression among samples of C. japonica.
Forests 15 00085 g004
Figure 5. (a) Bar plot of GO enrichment for A vs. B differential expression genes; (b) bar plot of GO enrichment for C vs. A differential expression genes.
Figure 5. (a) Bar plot of GO enrichment for A vs. B differential expression genes; (b) bar plot of GO enrichment for C vs. A differential expression genes.
Forests 15 00085 g005
Figure 6. (a) Bubble plot of KEGG enrichment for A vs. B differential expression genes; (b) bubble plot of KEGG enrichment for C vs. A differential expression genes.
Figure 6. (a) Bubble plot of KEGG enrichment for A vs. B differential expression genes; (b) bubble plot of KEGG enrichment for C vs. A differential expression genes.
Forests 15 00085 g006
Figure 7. Bubble plot of KEGG enrichment for differential expression genes in C. japonica infested by caterpillars D. houi.
Figure 7. Bubble plot of KEGG enrichment for differential expression genes in C. japonica infested by caterpillars D. houi.
Forests 15 00085 g007
Figure 8. qRT-PCR analysis of differentially expressed genes. (a) Gene expression profile; (b) relative expression profile.
Figure 8. qRT-PCR analysis of differentially expressed genes. (a) Gene expression profile; (b) relative expression profile.
Forests 15 00085 g008
Table 1. The primer sequences were used in real-time quantitative PCR.
Table 1. The primer sequences were used in real-time quantitative PCR.
GeneForward PrimerReverses Primer
G1:DN215200_c3_g9ATTGCGTGTGAATTGCGGTTTTGCCCCTCTGGTACAGACT
G2:DN164112_c1_g1TATGAGCAGCCTGCATACGGGGCAGAACTTTCTCCGACCA
G3:DN218129_c5_g3AGCTACTCGTTCGCCATTGTATCCGGAAATAGTGACCCGC
G4:DN222603_c3_g2ACGATCCGGACATTGTGGACACGATGCGATCTCTCCCAAC
G5:DN226353_c0_g1GTGGGGACCGTCAGAACAAATTAGAGCTCTTGCACACGGG
G6:DN228798_c1_g1CGGCATTTAAGGGAGCGGTAACTCTCCTCCAGTAGCCTCG
Table 2. Annotated unigene transcriptome dataset of C. japonica.
Table 2. Annotated unigene transcriptome dataset of C. japonica.
Anno_DatabaseAnnotated_Number300 ≤ Length < 1000Length ≥ 1000
COG87,29919,0076891
GO99,64425,23811,486
KEGG35,13398275240
KOG69,70619,32110,061
Pfam105,30826,87214,318
Swissprot110,93529,30213,806
Nr144,60138,06016,934
All177,41843,64117,085
Disclaimer/Publisher’s Note: The statements, opinions and data contained in all publications are solely those of the individual author(s) and contributor(s) and not of MDPI and/or the editor(s). MDPI and/or the editor(s) disclaim responsibility for any injury to people or property resulting from any ideas, methods, instructions or products referred to in the content.

Share and Cite

MDPI and ACS Style

Que, Y.; Xie, W.; Fang, X.; Xu, H.; Ye, S.; Wu, S.; Zheng, Y.; Lin, X.; Zhang, F.; Liang, G. Transcriptome Analysis Reveals the Response of Cryptomeria japonica to Feeding Stress of Dendrolimus houi Lajonquière Larvae. Forests 2024, 15, 85. https://doi.org/10.3390/f15010085

AMA Style

Que Y, Xie W, Fang X, Xu H, Ye S, Wu S, Zheng Y, Lin X, Zhang F, Liang G. Transcriptome Analysis Reveals the Response of Cryptomeria japonica to Feeding Stress of Dendrolimus houi Lajonquière Larvae. Forests. 2024; 15(1):85. https://doi.org/10.3390/f15010085

Chicago/Turabian Style

Que, Yuwen, Weiwei Xie, Xinyuan Fang, Han Xu, Shuting Ye, Shanqun Wu, Yican Zheng, Xiaochun Lin, Feiping Zhang, and Guanghong Liang. 2024. "Transcriptome Analysis Reveals the Response of Cryptomeria japonica to Feeding Stress of Dendrolimus houi Lajonquière Larvae" Forests 15, no. 1: 85. https://doi.org/10.3390/f15010085

APA Style

Que, Y., Xie, W., Fang, X., Xu, H., Ye, S., Wu, S., Zheng, Y., Lin, X., Zhang, F., & Liang, G. (2024). Transcriptome Analysis Reveals the Response of Cryptomeria japonica to Feeding Stress of Dendrolimus houi Lajonquière Larvae. Forests, 15(1), 85. https://doi.org/10.3390/f15010085

Note that from the first issue of 2016, this journal uses article numbers instead of page numbers. See further details here.

Article Metrics

Back to TopTop