Abstract
Elevated nitrogen (N) deposition may stimulate a plant’s dependency on arbuscular mycorrhizal (AM) fungi in phosphorus (P)-deficient subtropical forests. However, the ecological assembly processes and the responses of AM fungal diversity and community structure to N deposition in both the roots and rhizosphere are still unclear. We collected root and soil samples from a Cunninghamia lanceolata plantation forest after four years of N addition and examined the community structure and assembly of AM fungi. Elevated N deposition decreased the AM fungal community diversity in both rhizosphere soil and roots. Glomeraceae was the dominant family of the AM fungal community in both soil and roots across all N addition treatments, followed by Gigasporaceae and Ambisporaceae. However, N addition induced differential variation in the community composition of AM fungi between soil and roots. For soil AM fungi, N addition decreased the Glomeraceae abundance and increased the Gigasporaceae and Ambisporaceae abundance. In contrast, the root AM fungal community was dominated by Glomeraceae under N addition treatments. Furthermore, N addition increased the deterministic community assembly that acted as an environmental filter for soil AM fungi. In contrast, N addition decreased the importance of determinism, implying that the selection of plants on root AM fungi decreased with increasing N addition. Altogether, our findings suggest that the community structure of AM fungi responds differently to N deposition in the soil and roots in subtropical forests and highlight the important role of soil AM fungi in helping host plants respond to N deposition.
1. Introduction
Nitrogen (N) and phosphorus (P) are two biologically essential elements for the maintenance of plant metabolic processes, which can constrain plant growth in a wide variety of terrestrial ecosystems [1,2]. Tropical and subtropical forests have developed on highly weathered soils with low P availability. Thus, P is a limiting factor for a series of biotic functions and metabolic processes in these ecosystems [3,4]. Moreover, tropical and subtropical forests have high N deposition rates, which might further increase N and P ratios, exacerbate soil P limitations, stimulate plant P demands in these forests, and consequently affect plant productivity and soil processes [5]. Thus, how N deposition impacts the productivity and community of tropical and subtropical forest ecosystems has attracted increasing attention in recent decades [3,4]. Nitrogen deposition/addition has been found to increase plant productivity, reduce plant community diversity [6], shift plant community composition [7], and increase soil carbon (C) and N contents [8]. Nitrogen enrichment also induces alterations in plant N and P amounts [9,10], soil microbial diversity, and community structure [11,12]. Further studies to gain a better understanding of how the microbial community of functional traits responds to N enrichment could link belowground functional groups to plant and soil process changes.
Arbuscular mycorrhizal (AM) fungi are one of the oldest ubiquitous soil microbes. They can mutually interact with more than 80% of land plants and transfer N and P to plants to obtain plant photosynthates [13]. It was estimated that 4%–20% of photosynthates could be present in AM fungi in exchange for 6%–94% of P based on isotopic tracing studies [14,15]. AM fungi can also influence soil C and N processes by accelerating soil organic matter decomposition or promoting soil aggregation and N immobilization [16,17]. Some studies found that AM fungi alleviated N losses via N deposition through increasing N fixation or reducing N leaching [18,19]. Meanwhile, the distribution and richness of AM fungi were found to be significantly affected by N fertilization [20,21]. Nitrogen enrichment has been shown to decrease the AM fungal spore abundance and diversity and extraradical hyphae length density [22,23], but not in all cases, where increased N levels enhanced or did not influence the richness and diversity of AM fungi [24,25]. Nitrogen deposition/addition may alter the AM fungal community structure by selecting fungi that grow best in enriched conditions or via altering the plant–AM fungi interactions [26,27]. Moreover, N addition could increase plant P demands and alter mycorrhizal associations and soil phosphatase activity [26,28]. It has been also found that the AM fungal community structure in root and soil samples responded differently to environmental changes [29]. Stevens et al. [29] found that AM fungal communities in roots were more easily impacted by plant species since they directly interact with plants for resource exchange [27], and AM fungal communities in soil were more sensitive to abiotic factors in African grasslands. In a Chinese alpine meadow, the AM fungal richness in roots, but not in the soil, was significantly increased by an increased temperature and the community composition of AM fungi was impacted by plant species, whereas in the soil, it was significantly influenced by an increased temperature [30]. Zhao et al. [31] observed that the differences in AM fungal communities in roots and soil decreased as elevation increased at China’s Taibai Mountain. It is still unclear how the community structure of AM fungi in roots and soil responds to N enrichment in subtropical forests.
In this study, we investigated the AM fungal community in the soil and roots of a Cunninghamia lanceolata plantation in southeastern China after four consecutive years of N addition. The plantation has a higher N deposition rate than the mean global level [32]. Cunninghamia lanceolata is an economic species in southern China with a 1000-year planting history, accounting for about 6.5% and 21.4% of the plantation area globally and in China, respectively. Cunninghamia lanceolata was chosen as an experimental plant species because it can form mutual interactions with AM fungi [33]. We aimed to compare the responses of fungal communities between roots and soil to N addition and explore the changes in ecological processes driving their community assemblies after N deposition. It was hypothesized that the AM fungal community composition would be consistently shifted by N addition in both roots and soil. Furthermore, it has been documented that N addition could alter soil characteristics and plant growth, both of which are closely related to AM fungi [7,27]. Thus, we also expected that N deposition would increase deterministic processes by acting as environmental filters of AM fungi, and thus greatly alter the relative contribution of stochasticity and determinism. We examined the communities of arbuscular mycorrhizal fungi in soil and roots using high-throughput sequencing and evaluated the assembly processes with a null model.
2. Materials and Methods
2.1. Experimental Description and Sample Collection
The experiment was conducted at the State-owned Forest Farm Station in Chenda country, Fujian Province (26°19′55″ N, 117°36′53″ E), southeastern China, a region with a subtropical monsoonal climate. The mean annual temperature is 19.1 °C, ranging from −1.6 °C in January to 29.0 °C in July. The mean annual precipitation is 1750 mm, with approximately 75% of the annual precipitation occurring from March to August. The soil is characterized as oxisol and ferralsol using USDA soil taxonomy and the WRB system, respectively. The soil is developed from sandstone. Thus, the soil has a low P availability (<2 mg kg−1) due to the high adsorption properties of aluminum and iron oxides [34].
Based on the mean N deposition level (36.3 kg N ha−1 yr−1) in the experimental region [35], two N addition levels (40 kg N ha−1 yr−1 (LN), 80 kg N ha−1 yr−1 (HN)) were established to manipulate N deposition. Treatment without N addition was set as the control (0 kg N ha−1 yr−1). Each treatment had five replicates. Fifteen 2 m × 2 m plots (3 treatments × 5 replications) were set up in November 2013. Four C. lanceolata seedlings (one year old) with 3.40 ± 0.40 mm in basal diameter and 25.7 ± 2.5 cm in height were selected and transplanted into each plot. To manipulate N deposition, 800 mL of ammonium nitrate (NH4NO3) aqueous solution was applied with a can to LN- and HN-treated plots every month from March 2014. The same volume of deionized water was applied to control plots. There are several common understory plants, such as IIex pubescens, Dicranopteris dichotoma, and Melastoma dodecandrumi.
In April 2018, soils were sampled by collecting five soil cores (5 cm diameter, 10 cm in depth) from each experimental plot. All soil samples from each plot were mixed into one sample and then brought to the laboratory in an icebox. Roots (>2 mm) and stones were discarded, and root samples (<2 mm) were carefully collected. The remaining soils were sieved (2 mm) and separated into two subsamples. Soil subsamples were maintained at −80 °C for molecular analyses and other subsamples were air-dried for soil biogeochemical property analyses. All root samples were rinsed with tap water and deionized water and then stored at −80 °C for molecular analyses.
2.2. AM Fungal Colonization and Biomass Determination
A grid-line intersect method was used to measure AM fungal colonization of root samples [36]. In brief, approximately 1.0 g of fresh roots was firstly cleaned with 10% KOH at 90 °C for 1 h. Then, roots were acidified with 2% HCl and stained with 0.05% trypan blue. The colonization ratio was calculated by counting the colonization status of 100 intersections using a microscope. Phospholipids were extracted from 3.0 g of soil using a mixture of chloroform, methanol, and citrate [37]. Phospholipid fatty acids (PLFAs) were quantified with FAME 19:0 as the internal standard after analyzing via gas chromatography (6890N, Agilent, Santa Clara, CA, USA). The AM fungal biomass was evaluated by calculating the PLFA 16:1ω5c contents [38].
2.3. DNA Extraction and Illumina Sequencing
Total genomic DNA was extracted from 0.5 g of fresh soil and 50 mg of root samples with a FastDNA SPIN Kit for soil (MP Biomedicals, Santa Ana, CA, USA). The concentration and quality of extracted DNA were measured by a NanoDrop ND-1000 (Thermo Scientific, Waltham, MA, USA). All extracted DNA was stored (−20 °C) for further amplification and sequencing. A nested PCR was used to amplify the AM fungi gene fragment with the primer sets of AML1/AML2 and AMV4.5NF/AMDGR [39]. The first step of PCR was conducted in a 50 μL reaction mixture containing the DNA template with a TP600 PCR Thermal Cycler Dice (TaKaRa, Osaka, Japan) under the following program: 95 °C (5 min), with 35 cycles of 95 °C (45 s), 58 °C (45 s), and 72 °C (1 min), and a final extension at 72 °C for 7 min. The second step of PCR was performed using the first step of PCR products, after diluting 10-fold, as the template under the same reaction protocol as the first step of PCR. PCR products of three replicates were combined and tested with agarose gels (1%, w/v). All PCR products were pooled in an equimolar concentration for final sequencing on an Illumina MiSeq PE250 platform (Illumina, San Diego, CA, USA).
2.4. Bioinformatics
The raw reads were analyzed using the QIIME pipeline following the default parameters [40]. In brief, sequences were joined and separated into samples according to their unique barcodes. Thereafter, sequences were processed by removing reads with a quality score lower than 20 or a read length shorter than 200 bp. Sequences were then de-replicated and clustered into operational taxonomic units (OTUs) based on a 97% similarity level. Taxonomy was determined by blasting the most abundant sequence in each OTU with the MaarjAM database [41]. Each sample was rarefied to 50,688 or 59,184 sequences for downstream analyses in soil and roots, respectively [42]. Reads were deposited in the NCBI (PRJNA578574).
2.5. Statistical Analysis
Statistical analyses were performed using post hoc Turkey’s HSD tests and an analysis of variance (ANOVA) with SPSS 18.0 (Chicago, IL, USA). Data are displayed as means with standard deviation (SD). Observed OTUs and Chao1, Shannon, and ACE indices were analyzed to reflect the responses of the diversity of the AM fungal community to N addition. Nonmetric multidimensional scaling (NMDS) analyses were used to express the community composition with the unweighted Unifrac distance. A permutational multivariate analysis of variance (PerMANOVA) was performed to statistically determine the differences among different treatments with the ‘adonis’ function in R (version 3.5.0) [43]. A Venn diagram analysis was used to compare the observed AM fungal OTUs among treatments in both soil and roots using R software (version 4.3.0). Response ratios were used to detect the changes in AM fungal OTUs after N addition [44]. Spearman’s correlation was used to investigate the linkages of AM fungal diversity with soil properties [45]. Mantel tests were conducted to analyze the linkages of soil properties with the community composition of AM fungi using R software [46]. A distance-based multivariate analysis (DistLM) was used to evaluate the contribution of soil properties to the communities of AM fungi [46]. The beta NTI (Nearest Taxon Index) values were calculated to examine how community turnover was shaped by ecological processes [47]. Beta NTI values fell above −2 and below +2, which, according to Stegen et al. [47], indicates that microbial community turnover is governed by stochastic processes. In the case of beta NTI values > +2 or < −2, determinism dominantly drives the turnover in the community assembly of microbes.
3. Results
3.1. AM Fungal Abundance and Diversity
Compared to the control, C. lanceolata roots were differently inoculated by AM fungi after N addition (Figure 1a). Mycorrhizal colonization increased along with the increase in N addition, especially under the high N addition treatment (Figure 1a). In contrast, there were no significant effects of N addition on AM fungal biomass (Figure 1b).
Figure 1.
Mycorrhizal colonization rate (a) and AM fungal biomass (16:1ω5, (b)) under different N addition treatments. Control, no N addition; LN, 40.0 kg ha−1 yr−1; HN, 80.0 kg ha−1 yr−1. Different letters above the bars indicate significant differences (p < 0.05).
Rarefaction curves of AM fungi in all treatments almost reached a stable level and the Good’s coverage matrices were greater than 0.995 across all samples (Figure S1), which implies that the obtained sequences were adequate to evaluate AM fungal diversity. Compared to the control, HN significantly decreased the Chao1, observed OTUs and Shannon and ACE indices in both soil and roots. In contrast, LN did not significantly influence Chao1, observed OTUs, and ACE, but significantly reduced the Shannon index in the root AM fungal community (Table 1).
Table 1.
The changes in the AM fungal diversities in soil and roots under different N addition treatments.
3.2. AM Fungal Community Structure
In total, 2,175,696 sequences and 238 OTUs were obtained from 15 soil samples, belonging to four classes, seven families, and nine genera (Figure S2). The dominant family was Glomeraceae (89.0%), followed by Ambisporaceae (5.72%), Gigasporaceae (3.03%), Paraglomeraceae (0.33%), and Acaulosporaceae (0.34%). For the root AM fungal community, a total of 2,515,487 sequences and 205 OTUs were obtained from 15 root samples, belonging to four classes, eight families, and ten genera (Figure S2). Glomeraceae (96.1%) was a dominant member in the root AM fungal community, followed by Acaulosporaceae (2.36%), Gigasporaceae (1.08%), Ambisporaceae (0.39%), and Paraglomeraceae (0.02%).
The taxonomic composition of AM fungi in soil and roots also changed after N addition (Figure 2a,b). The relative abundances of Glomerales and Archaeosporales were lower and that of Diversisporales was higher in soil under N addition treatments. At the family level, the relative abundances of Gigasporaceae and Ambiosporaceae decreased and Glomeraceae and Acaulosporaceae increased in N addition treatments. No significant changes in Paraglomeraceae were observed among different treatments (Table 2). In contrast, the relative abundance of Glomerales was higher and that of Diversisporales was lower in roots under N addition (Figure 2b). Nitrogen additions significantly increased Glomeraceae abundance in root samples. Diversisporaceae was only found in control in soil samples, while Claroideoglomeraece, Paraglomeraceae, and Diversisporaceae were also only detected in the control in root samples (Table 2). NMDS plots showed that the soil AM fungal community was significantly shifted by HN relative to the control (Figure 2c,d). For the root AM fungal community, there were significant variations in root AM fungal community compositions between control and N addition regimes. The PerMANOVA results confirmed the variation in the AM fungal community composition between the control and N addition treatment and that there was no significant variation between LN and HN treatments (Figure 2c,d).
Figure 2.
Taxonomic composition of the AM fungal community at the order level under different treatments in soil (a) and roots (b). Nonmetric multidimensional scaling (NMDS) plots of AM fungal community dissimilarities among different treatments in soil (c) and roots (d).
Table 2.
Relative abundances of AM fungi at the family level in soil and roots under different N addition treatments.
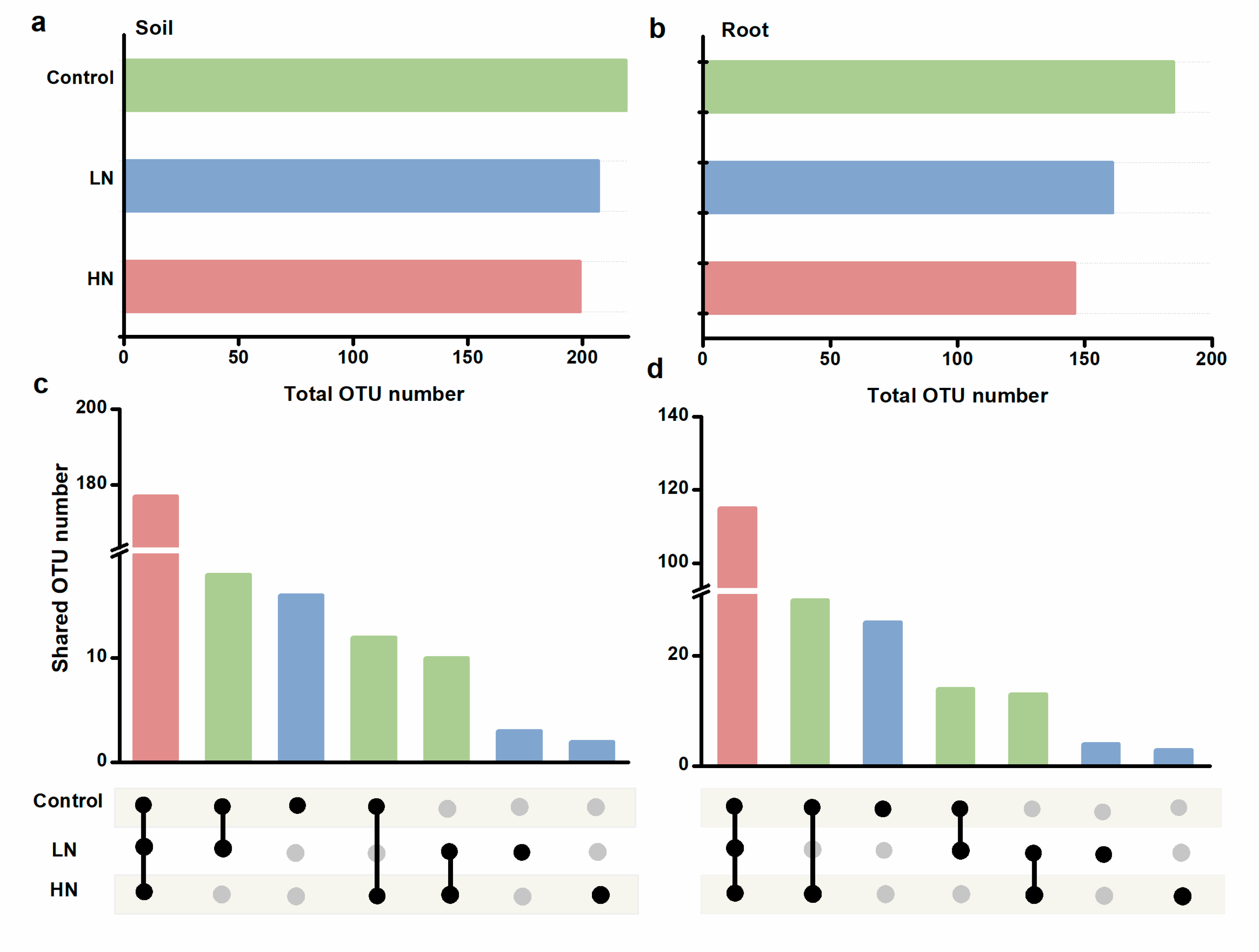
There were 219, 207, and 199 soil AM fungal OTUs in control, LN, and HN treatments, of which only 3 and 2 were unique to LN and HN treatments, respectively (Figure 3). Specifically, two OTUs in Glomus and one OTU in Acaulospora were only detected in LN; and one OTU in Acaulospora and Gigaspora was only found in HN (Figure S3). There were 185, 161, and 146 OTUs in the roots in the control, LN, and HN treatments, of which only 4 and 3 were unique to LN and HN treatments, respectively. All these unique OTUs in LN or HN treatments belonged to the genus of Glomus (Figure S3).
Figure 3.
The total (a,b) and shared OTU number (c,d) in soil and roots under different N addition treatments. The black dots represent the shared (≥two dots) or unique (one dot) OTU number among treatments.
Due to the significant influence of HN on the AM fungal community in both soil and roots, the specific responses of AM fungal OTUs were further detected using response curves (Figure 4). Specifically, for soil AM fungi, HN treatment decreased the relative abundances of seven OTUs in Glomeraceae. Two OTUs in Glomeraceae and one OTU in Gigasporaceae were higher in the HN treatment relative to the control. For Ambisporaceae and Gigasporaceae, HN increased all OTUs in the Ambisporaceae family and two OTUs in Gigasporaceae. For root AM fungi, HN treatment decreased the relative abundances of seven OTUs and increased six OTUs in Glomeraceae (Figure 4).
Figure 4.
Changes in the dominant AM fungal OTUs under HN treatment in both soil and roots based on the response ratio at 95% confidence interval (CI).
3.3. Diversity and Community Composition Linkages with Soil Properties
Mantel tests revealed that the soil’s AM fungal community structure was significantly related to soil pH (Table 3), whilst the root’s AM fungal community had a significant link with soil AP. Concerning soil AM fungal diversity indices, Chao1 was negatively influenced by NH4+−N and AN contents. In addition, the Shannon index negatively influenced soil AP and soil NO3−−N contents (Table S1). For root AM fungi, observed OTUs and Chao1, Shannon, and ACE indexes were negatively correlated with soil TP. Observed OTUs were also related to NO3−−N (Table S2).
Table 3.
Mantel tests indicate correlations of AM fungal community compositions with soil properties.
The importance of soil properties driving AM fungal communities was predicted using distLM (Figure 5). Specifically, soil pH was the most important predictor of the soil’s AM fungal community composition, followed by soil TC and soil available N. The soil’s P status also contributed to the variation in the soil’s AM fungal community composition. For root AM fungi, the soil P status showed a great influence on changes in the AM fungal community composition (Figure 5a,b). In the case of AM fungal OTU richness, soil N and P statuses were the important factors driving the diversity of the AM fungal community (Figure 5c,d).
Figure 5.
Predictive importance of soil properties to AM fungal community composition in soil (a) and roots (b), and OTU richness in soil (c) and roots (d) derived from a distance-based linear model.
3.4. Community Assembly of AM Fungi in Soil and Roots
The beta NTI of soil and root AM fungi was analyzed to explore the relative contribution of stochasticity and determinism in driving the AM fungal community assembly. Most beta NTI values for soil AM fungi ranged from −2 to +2 in all treatments, and were greater in N addition treatments, especially in the HN treatment (Figure 6a). For root AM fungi, the beta NTI changed from lower than −2 in the control to between −2 and +2 under N addition treatments. There was a higher beta NTI in the N treatment; the contribution of stochasticity decreased and determinism increased in N plots (Figure 6b).
Figure 6.
Assembly processes of AM fungal communities in soil (a) and roots (b) under different N addition treatments.
4. Discussion
4.1. Decreased AM Fungal Richness in Both Soil and Roots under N Addition Treatments
Negative impacts of N addition on AM fungal abundance and diversity have been commonly observed in most ecosystems, with decreases in AM fungal abundance and diversity [23,48]. Consistent with these related findings, N addition decreased the diversity of AM fungi in both soil and roots in the subtropical forests. Some AM fungal groups might unadapt to the enriched conditions [49]. Nitrogen enrichment was found to enhance soil available N and decrease soil pH, which could go against the growth of some AM fungal taxa [49,50]. A high soil N availability may directly impact AM fungi, resulting in a lower fungal abundance [51]. A low soil pH tends to favor AM fungal members with less dense mycelia networks [50]. Previous reports have found that the AM fungal richness is lower in acidic soils relative to neutral soils [52]. In addition, N addition might also indirectly affect AM fungal diversity by influencing plant–AM fungi interactions. For example, studies revealed that N enrichment reduced sources from the roots to AM fungi and intensified C competition among AM fungal members, resulting in a decreased AM fungal diversity in temperate ecosystems [48,53]. However, it was found that N enrichment increased AM fungal colonization in subtropical forests, which indicates that the competition of C sources among AM fungi might not be induced by N fertility. It is possible that plants could specifically benefit some AM fungal taxa rather than other taxa to obtain nutrients for growth demands [54]. In P-poor soils such as that in our study site, the increased soil N availability induced by N addition might stimulate plant P demands [55] and thus lead to a greater dependency on AM fungal taxa with high P absorbance properties and a lower dependency on other fungi. Therefore, the decline in AM fungal diversity may also be as a result of plant selection for growth requirements. Such inconsistent findings further confirmed that the responses of AM fungi to N enrichment rely on soil N and P statuses [53,56].
4.2. Distinct Responses of AM Fungal Taxa to N Addition between Soil and Roots
Previous studies have reported that the influences of N addition on AM fungal communities vary with N addition dosages [48,57]. Our results supported this phenomenon and found that the high N addition induced greater changes in AM fungal taxa than the low N addition. Many studies also found that AM fungi were more strongly shaped by higher N fertilization [23,58], with an increase in the relative abundance of Glomeraceae along with increased N addition doses, resulting in a predominance of Glomeraceae [48]. In this study, the significant variation in the community composition of root AM fungi also resulted from the overdominance of Glomeraceae under N addition. This indicates that Glomeraceae taxa could grow and supply nutrients to host plants easily. AM fungi of this family can fix broken hyphal connections and are able to use plant newly fixed C to grow faster, whereas other slower growing taxa like Gigasporaceae would be outcompeted [59]. Nevertheless, the relative abundances of AM fungal OTUs in the Glomeraceae family varied with increasing N additions, either increasing, decreasing, or unchanging, which suggests that the functional properties or survival strategies are not a common phenomenon among AM fungal taxa within a family. The responses of AM fungal OTUs within a family to N addition were inconsistent with those in temperate grasslands [48,49].
However, a lower abundance of Glomeraceae and a higher abundance of Gigasporaceae in the soil resulted from N addition in this subtropical forest. These results contradict those in the roots in the studied forests. Similarly, Stevens et al. [29] found distinct responses of AM fungi to soil fertility between soil and roots. Negative impacts of N enrichment on Glomus (Glomeraceae) abundance were also found in grasslands [49,60]. Moreover, a study on soil with high N and P ratios found that N addition enhanced Gigasporaceae abundance [26]. Gigasporaceae can transfer P to plants more efficiently through their larger extraradical hyphae relative to Glomeraceae [61]. It has been documented that N addition may increase the soil’s N and P ratios and thus intensify plant P requirements [62]. Therefore, in P-poor situations, such as our studied forest, plants may identify and benefit from AM fungi such as Gigasporaceae to meet their P demands under N enrichment, thus finally resulting in increased Gigasporaceae abundance. Collectively, according to the C–S–R framework (competitor, stress-tolerator, ruderal) of AM fungi [63], it seems that rhizosphere soil would be dominated by more ruderal taxa (i.e., Gigasporaceae) and its roots by a competitor (i.e., Glomeraceae), which may be one explanation for the observed differential responses in AM fungal communities between soil and roots.
4.3. Differential Changing Patterns of Ecological Processes Driving AM Fungi between Soil and Roots under N Addition Treatments
Stochastic processes are reported to dominantly drive plant community assemblies in tropical forests [64], but community assemblies of AM fungi were not always separately governed by stochasticity in natural or disturbed ecosystems [65]. Our results showed that stochasticity was a primary driver of community assemblies of AM fungi in soil and roots. The beta NTI values in soil AM fungi were greater in N addition conditions in our studied subtropical forests, which means that the relative contribution of determinism to AM fungi was more important after N addition. Such an alteration in ecological processes governing AM fungi could be explained by environmental conditions and/or biotic interactions [66]. For example, Pereira et al. [65] provided evidence that stochasticity strongly drives AM fungal community assembly in tropical forests and found that environmental factors and species–species interactions exerted deterministic selection on AM fungi. Nitrogen enrichment may result in environmental selection in AM fungal communities and thus enhance the relative importance of determinism. Our results show that soil pH exerts the highest contribution to the community composition, indicating that soil pH associated with N addition might increase deterministic processes. Several previous studies also found that soil chemical properties, such as soil nutrient status and soil moisture, are strong governors of the community assembly of AM fungi [67,68]. Additionally, the filtering effects of plants on symbiotic fungi strongly structure their community assemblies [69]. The increase in soil AM fungal taxa (i.e., Gigasporaceae) with a high P uptake ability under N addition confirmed the importance of host plant selection on the community assembly of AM fungi [70]. The deterministic processes driving AM fungal assemblies may mean a community will be sensitive to environmental changes.
The relative effects of determinism in driving root AM fungal community assembly decreased after N addition. Host plant selection is likely to strongly shape root AM fungal assembly due to their mutual interaction [69]. In our case, the deterministic processes in the control can be attributed to the host plant selection, since plants under low P conditions were found to show a strong dependency on AM fungi [53]. This selection of plants in shaping the community assembly of AM fungi is supported by previous findings in temperate grasslands [49]. The increased stochastic processes of the AM fungal community along with N addition agree with those in the soil bacterial community [71]. These responses of community assemblies of soil microbes to N fertility are not surprising, since N enrichment can stimulate plant growth and thus increase plant C allocation to microbes; however, plants often decreased C partition to AM fungi, associated with N input [51]. However, previous studies on this subject observed that both plant growth and photosynthate allocation to mycorrhiza increased with increasing N addition in soil with poor P conditions [72], which would benefit the growth of fast-growing AM fungi such as Glomeraceae [59]. This phenomenon is accompanied by the overdominance of Glomeraceae in roots after N addition. Altogether, N addition induced different influences on the AM fungal community assembly in soil and roots in this subtropical forest.
5. Conclusions
This study observed that N addition decreased the AM fungal diversity in both soil and roots in a subtropical Cunninghamia lanceolata plantation. However, the communities of AM fungi were differently shaped by N addition in soil and roots, and abundances of different families showed contrasting changing patterns between the soil and roots. Our results highlight the need to focus on both the soil and roots when evaluating environmental changes in terrestrial ecosystems and imply the important role of soil AM fungi in helping plants respond to N deposition.
Supplementary Materials
The following are available online at https://www.mdpi.com/article/10.3390/f15010027/s1, Table S1: Correlations between the soil arbuscular mycorrhizal fungal diversities and soil properties; Table S2: Correlations between the root arbuscular mycorrhizal fungal diversities and soil properties; Figure S1: Rarefaction curves of observed arbuscular mycorrhizal OTUs and good coverage under different N addition treatments; Figure S2: Taxonomic composition of arbuscular mycorrhizal fungal communities at the family and genus level in soil (a,c) and roots (b,d) with different ages of C. lanceolata plantations; Figure S3: Venn diagrams of the distribution of AM fungal OTUs in soil (a) and roots (b) in different N addition treatments.
Author Contributions
Conceptualization and methodology, Y.H. and J.C.; software and formal analysis, Y.H. and Z.L., validation and investigation, Y.H. and Z.L., data curation, S.L.; writing—original draft preparation, Y.H. and J.C.; writing—review and editing, Y.H. and J.C.; visualization, F.L. and C.C.; supervision, J.C.; project administration, Y.Y. and J.C. All authors have read and agreed to the published version of the manuscript.
Funding
This work was supported by the National Natural Science Foundation of China (32360303 and 31800520) and the Startup Foundation for introducing talent of Jiangxi Agricultural University (9232308147).
Data Availability Statement
The data presented in this study are available on request from the corresponding author.
Acknowledgments
We want to thank the staff at the State-owned Forest Farm Station for their invaluable work in experiment maintenance and sample collection.
Conflicts of Interest
The authors declare no conflicts of interest.
References
- Liao, J.J.; Dou, Y.X.; An, S.S. Plant community productivity is associated with multiple ecological stoichiometry in restoration grasslands. Ecol. Eng. 2023, 187, 106845. [Google Scholar] [CrossRef]
- Zechmeister-Boltenstern, S.; Keiblinger, K.M.; Mooshammer, M.; Pẽnuelas, J.; Richter, A.; Sardans, J.; Wanek, W. The application of ecological stoichiometry to plant–microbial–soil organic matter transformations. Ecol. Monogr. 2015, 85, 133–155. [Google Scholar] [CrossRef]
- Cleveland, C.C.; Townsend, A.R.; Taylor, P.; Alvarez-Clare, S.; Bustamante, M.M.C.; Chuyong, G.; Dobrowski, S.Z.; Grierson, P.; Harms, K.E.; Houlton, B.Z. Relationships among net primary productivity, nutrients and climate in tropical rain forest: A pan-tropical analysis. Ecol. Lett. 2011, 14, 939. [Google Scholar] [CrossRef] [PubMed]
- Fortier, R.; Wright, S.J. Nutrient limitation of plant reproduction in a tropical moist forest. Ecology 2021, 102, e03469. [Google Scholar] [CrossRef] [PubMed]
- Penuelas, J.; Poulter, B.; Sardans, J.; Ciais, P.; van der Velde, M.; Bopp, L.; Boucher, O.; Godderis, Y.; Hinsinger, P.; Llusia, J.; et al. Human-induced nitrogen–phosphorus imbalances alter natural and managed ecosystems across the globe. Nat. Commun. 2013, 4, 2934. [Google Scholar] [CrossRef] [PubMed]
- Clark, C.M.; Simkin, S.M.; Allen, E.B.; Bowman, W.D.; Belnap, J.; Brooks, M.L.; Collins, S.L.; Geiser, L.H.; Gilliam, F.S.; Jovan, S.E.; et al. Potential vulnerability of 348 herbaceous species to atmospheric deposition of nitrogen and sulfur in the United States. Nat. Plants 2019, 5, 697–705. [Google Scholar] [CrossRef] [PubMed]
- Lu, Y.; Liu, X.; Chen, F. Shifts in plant community composition weaken the negative effect of nitrogen addition on community-level arbuscular mycorrhizal fungi colonization. Proc. R. Soc. B Biol. Sci. 2020, 287, 20200483. [Google Scholar] [CrossRef]
- Wilcots, M.E.; Schroeder, K.M.; Lang, D.L.; Kjaer, S.J.; Hobbie, S.E.; Seabloom, E.W.; Borer, E.T. Realistic rates of nitrogen addition increase carbon flux rates but do not change soil carbon stocks in a temperate grassland. Glob. Chang. Biol. 2022, 16, 4819–4831. [Google Scholar] [CrossRef]
- Mellett, T.; Selvin, C.; Defforey, D.; Roberts, K.; Lecher, A.L.; Dennis, K.; Gutknecht, J.; Field, C.B.; Paytan, A. Assessing cumulative effects of climate change manipulations on phosphorus limitation in a californian grassland. Environ. Sci. Technol. 2018, 52, 98–106. [Google Scholar] [CrossRef]
- Zhang, Q.; Xie, J.; Lyu, M.; Xiong, D.; Wang, J.; Chen, Y.; Li, Y.; Wang, M.; Yang, Y. Short-term effects of soil warming and nitrogen addition on the N:P stoichiometry of Cunninghamia lanceolata in subtropical regions. Plant Soil. 2017, 411, 395–407. [Google Scholar] [CrossRef]
- Grant, T.; Sethuraman, A.; Escobar, M.A.; Vourlitis, G.L. Chronic dry nitrogen inputs alter soil microbial community composition in Southern California semi-arid shrublands. Appl. Soil Ecol. 2022, 176, 104496. [Google Scholar] [CrossRef]
- Gao, S.Q.; Song, Y.Y.; Song, C.C.; Wang, X.W.; Ma, X.Y.; Gao, J.L.; Cheng, X.F.; Du, Y. Effects of temperature increase and nitrogen addition on the early litter decomposition in permafrost peatlands. Catena 2022, 209, 105801. [Google Scholar] [CrossRef]
- Smith, S.E.; Read, D.J. Mycorrhizal Symbiosis; Academic Press: New York, NY, USA, 2008. [Google Scholar]
- Pearson, J.N.; Jakobsen, I. Symbiotic exchange of carbon and phosphorus between cucumber and three arbuscular mycorrhizal fungi. New Phytol. 1993, 124, 481–488. [Google Scholar] [CrossRef]
- Walder, F.; Niemann, H.; Natarajan, M.; Lehmann, M.F.; Boller, T.; Wiemken, A. Mycorrhizal networks: Common goods of plants shared under unequal terms of trade. Plant Physiol. 2012, 159, 789–797. [Google Scholar] [CrossRef] [PubMed]
- Cheng, L.; Booker, F.L.; Tu, C.; Burkey, K.O.; Zhou, L.S.; Shew, H.D.; Rufty, T.W.; Hu, S.J. Arbuscular mycorrhizal fungi increase organic carbon decomposition under elevated CO2. Science 2012, 337, 1084–1087. [Google Scholar] [CrossRef] [PubMed]
- Zhang, J.; Tang, X.L.; He, X.H.; Liu, J.X. Glomalin-related soil protein responses to elevated CO2 and nitrogen addition in a subtropical forest: Potential consequences for soil carbon accumulation. Soil. Biol. Biochem. 2015, 83, 142–149. [Google Scholar] [CrossRef]
- Kang, F.; Yang, B.; Wujisiguleng; Yang, X.; Wang, L.; Guo, J.; Sun, W.; Zhang, Q.; Zhang, T. Arbuscular mycorrhizal fungi alleviate the negative effect of nitrogen deposition on ecosystem functions in meadow grassland. Land Degrad. Dev. 2020, 31, 748–759. [Google Scholar] [CrossRef]
- Storer, K.; Coggan, A.; Ineson, p.; Hodge, A. Arbuscular mycorrhizal fungi reduce nitrous oxide emissions from N2O hotspots. New Phytol. 2018, 220, 1285–1295. [Google Scholar] [CrossRef]
- Han, Y.; Feng, J.; Han, M.; Zhu, B. Responses of arbuscular mycorrhizal fungi to nitrogen addition: A meta-analysis. Glob. Chang. Biol. 2020, 26, 1539. [Google Scholar] [CrossRef]
- Weber, S.E.; Diez, J.M.; Andrews, L.V.; Goulden, M.L.; Aronson, E.L.; Allen, M.F. Responses of arbuscular mycorrhizal fungi to multiple coinciding global change drivers. Fungal Ecol. 2019, 40, 62–71. [Google Scholar] [CrossRef]
- Zheng, J.Q.; Cui, M.M.; Wang, C.; Wang, J.; Wang, S.L.; Sun, Z.J.; Ren, F.R.; Wan, S.Q.; Han, S.J. Elevated CO2, warming, N addition, and increased precipitation affect different aspects of the arbuscular mycorrhizal fungal community. Sci. Total Environ. 2022, 806, 150522. [Google Scholar] [CrossRef] [PubMed]
- Camenzind, T.; Hempel, S.; Homeier, J.; Horn, S.; Velescu, A.; Wilcke, W.; Rillig, M.C. Nitrogen and phosphorus additions impact arbuscular mycorrhizal abundance and molecular diversity in a tropical montane forest. Glob. Chang. Biol. 2014, 20, 3646–3659. [Google Scholar] [CrossRef] [PubMed]
- Agnolucci, M.; Battini, F.; Cristani, C.; Giovannetti, M. Diverse bacterial communities are recruited on spores of different arbuscular mycorrhizal fungal isolates. Biol. Fertil. Soils 2015, 51, 379–389. [Google Scholar] [CrossRef]
- Mueller, R.C.; Bohannan, B.J.M. Shifts in the phylogenetic structure of arbuscular mycorrhizal fungi in response to experimental nitrogen and carbon dioxide additions. Oecologia 2015, 179, 175–185. [Google Scholar] [CrossRef] [PubMed]
- Johnson, N.C.; Rowland, D.L.; Corkidi, L. Nitrogen enrichment alters mycorrhizal allocation at five mesic to semiarid grasslands. Ecology 2003, 84, 1895–1908. [Google Scholar] [CrossRef]
- Jiang, S.; Liu, Y.; Luo, J.; Qin, M.; Johnson, N.C.; Öpik, M.; Vasar, M.; Chai, Y.; Zhou, X.; Mao, L. Dynamics of arbuscular mycorrhizal fungal community structure and functioning along a nitrogen enrichment gradient in an alpine meadow ecosystem. New Phytol. 2018, 220, 1222–1235. [Google Scholar] [CrossRef]
- Thakur, M.P.; Del Real, I.M.; Cesarz, S.; Steinauer, K.; Reich, P.B.; Hobbie, S.; Ciobanu, M.; Rich, R.; Worm, K.; Eisenhauer, N. Soil microbial, nematode, and enzymatic responses to elevated CO2 N fertilization, warming, and reduced precipitation. Soil Biol. Biochem. 2019, 135, 184–193. [Google Scholar] [CrossRef]
- Stevens, B.M.; Propster, J.R.; Öpik, M.; Wilson, G.W.T.; Alloway, S.L.; Mayemba, E.; Johnson, N.C. Arbuscular mycorrhizal fungi in roots and soil respond differently to biotic and abiotic factors in the Serengeti. Mycorrhiza 2020, 30, 79–95. [Google Scholar] [CrossRef]
- Yang, W.; Zheng, Y.; Gao, C.; He, X.; Ding, Q.; Kim, Y.; Rui, Y.; Wang, S.; Guo, L.D. The arbuscular mycorrhizal fungal community response to warming and grazing differs between soil and roots on the Qinghai-Tibetan plateau. PLoS ONE 2013, 8, e76447. [Google Scholar] [CrossRef]
- Zhao, F.Z.; Feng, X.X.; Guo, Y.X.; Ren, C.J.; Wang, J.; Doughty, R. Elevation gradients affect the differences of arbuscular mycorrhizal fungi diversity between root and rhizosphere soil. Agric. For. Meteorol. 2020, 284, 107894. [Google Scholar] [CrossRef]
- Reay, D.S.; Dentener, F.; Smith, P.; Grace, J.; Feely, R.A. Global nitrogen deposition and carbon sinks. Nat. Geosci. 2008, 1, 430–437. [Google Scholar] [CrossRef]
- Piao, H.C.; Liu, C.Q. Variations in nitrogen, zinc, and sugar concentrations in Chinese fir seedlings grown on shrubland and plowed soils in response to arbuscular mycorrhizae-mediated process. Biol. Fert. Soils 2011, 47, 721–727. [Google Scholar] [CrossRef]
- Miller, A.J.; Schuur, E.A.G.; Chadwick, O.A. Redox control of phosphorus pools in Hawaiian montane forest soils. Geoderma 2001, 102, 219–237. [Google Scholar] [CrossRef]
- Zhang, W. Observation of N/S Deposition Fluxes and Investigation of Simulated S Deposition Effect on soil N2O Production of Castanopsis Carlessii Forests; Fujian Normal University: Fuzhou, China, 2013. (In Chinese) [Google Scholar]
- Giovannetti, M.; Mosse, B. An evaluation of techniques for measuring vesicular-arbuscular mycorrhizal infection in roots. New Phytol. 1980, 84, 489–500. [Google Scholar] [CrossRef]
- Frostegård, Å.; Tunlid, A.; Bååth, E. Microbial biomass measured as total lipid phosphate in soils of different organic content. J. Microbiol. Methods 1991, 14, 151–163. [Google Scholar] [CrossRef]
- Olsson, P.A.; Bååth, E.; Jakobsen, I.; Söderström, B. The use of phospholipid and neutral lipid fatty acids to estimate biomass of arbuscular mycorrhizal fungi in soil. Mycol. Res. 1995, 99, 623–629. [Google Scholar] [CrossRef]
- Van, G.M.; Busschaert, P.; Honnay, O.; Lievens, B. Evaluation of six primer pairs targeting the nuclear rRNA operon for characterization of arbuscular mycorrhizal fungal (AMF) communities using 454 pyrosequencing. J. Microbiol. Methods 2014, 106, 93–100. [Google Scholar]
- Caporaso, J.G.; Kuczynski, J.; Stombaugh, J.; Bittinger, K.; Bushman, F.D.; Costello, E.K.; Fierer, N.; Pena, A.G.; Goodrich, J.K.; Gordon, J.I.; et al. QIIME allows analysis of highthroughput community sequencing data. Nat. Methods 2010, 7, 335–336. [Google Scholar] [CrossRef]
- Opik, M.; Vanatoa, A.; Vanatoa, E.; Moora, M.; Davison, J.; Kalwij, J.M.; Reier, U.; Zobel, M. The online database MaarjAM reveals global and ecosystemic distribution patterns in arbuscular mycorrhizal fungi (Glomeromycota). New Phytol. 2010, 188, 223–241. [Google Scholar] [CrossRef]
- Colwell, R.K. EstimateS: Statistical Estimation of Species Richness and Shared Species from Samples. 2013. Available online: http://purl.oclc.org/estimates (accessed on 1 July 2022).
- R Core Team. R: A Language and Environment for Statistical Computing; R Core Team: Vienna, Austria, 2015. [Google Scholar]
- Luo, Y.Q.; Hui, D.F.; Zhang, D.Q. Elevated CO2 stimulates net accumulations of carbon and nitrogen in land ecosystems: A meta-analysis. Ecology 2006, 87, 53–63. [Google Scholar] [CrossRef]
- Hauke, J.; Kossowski, T. Comparison of values of Pearson’s and Spearman’s correlation coefficients on the same sets of data. Quaest. Geogr. 2011, 30, 87–93. [Google Scholar] [CrossRef]
- Clarke, K.; Gorley, R.N.; Somerfield, P.; Warwick, R. Change in Marine Communities: An Approach to Statistical Analysis and Interpretation; Primer-E Ltd: Plymouth, UK, 2014. [Google Scholar]
- Stegen, J.C.; Lin, X.J.; Konopka, A.E.; Fredrickson, J.K. Stochastic and deterministic assembly processes in subsurface microbial communities. ISME J. 2012, 6, 1653–1664. [Google Scholar] [CrossRef] [PubMed]
- Chen, Y.L.; Xu, Z.W.; Xu, T.L.; Veresoglou, S.D.; Yang, G.W.; Chen, B.D. Nitrogen deposition and precipitation induced phylogenetic clustering of arbuscular mycorrhizal fungal communities. Soil Biol. Biochem. 2017, 115, 233–242. [Google Scholar] [CrossRef]
- Liu, Y.J.; Johnson, N.C.; Mao, L.; Shi, G.X.; Jiang, S.J.; Ma, X.J.; Du, G.Z.; An, L.Z.; Feng, H.Y. Phylogenetic structure of arbuscular mycorrhizal community shifts in response to increasing soil fertility. Soil Biol. Biochem. 2015, 89, 196–205. [Google Scholar] [CrossRef]
- Dumbrell, A.J.; Nelson, M.; Helgason, T.; Dytham, C.; Fitter, A.H. Relative roles of niche and neutral processes in structuring a soil microbial community. ISME J. 2010, 4, 337–345. [Google Scholar] [CrossRef] [PubMed]
- van Diepen, L.T.A.; Lilleskov, E.A.; Pregitzer, K.S.; Miller, R.M. Decline of arbuscular mycorrhizal fungi in northern hardwood forests exposed to chronic nitrogen additions. New Phytol. 2007, 176, 175–183. [Google Scholar] [CrossRef] [PubMed]
- Coughlan, A.P.; Dalpe, Y.; Lapointe, L.; Piche, Y. Soil pH-induced changes in root colonization, diversity, and reproduction of symbiotic arbuscular mycorrhizal fungi from healthy and declining maple forests. Can. J. For. Res. 2000, 30, 1543–1554. [Google Scholar] [CrossRef]
- Johnson, N.C. Resource stoichiometry elucidates the structure and function of arbuscular mycorrhizas across scales. New Phytol. 2010, 185, 631–647. [Google Scholar] [CrossRef]
- Kiers, E.T.; Duhamel, M.; Beesetty, Y.; Mensah, J.A.; Franken, O.; Verbruggen, E.; Fellbaum, C.R.; Kowalchuk, G.A.; Hart, M.M.; Bago, A.; et al. Reciprocal rewards stabilize cooperation in the mycorrhizal symbiosis. Science 2011, 333, 880–882. [Google Scholar] [CrossRef]
- Menge, D.N.L.; Field, C.B. Simulated global changes alter phosphorus demand in annual grassland. Glob. Change Biol. 2007, 13, 2582–2591. [Google Scholar] [CrossRef]
- Cao, J.L.; Lin, T.-C.; Yang, Z.J.; Zheng, Y.; Xie, L.; Xiong, D.C.; Yang, Y.S. Warming exerts a stronger effect than nitrogen addition on the soil arbuscular mycorrhizal fungal community in a young subtropical Cunninghamia lanceolata plantation. Geoderma 2020, 367, 114273. [Google Scholar] [CrossRef]
- Berendse, F.; Nvan, B.; Rydin, H.; Buttler, A.; Heijmans, M.; Hoosbeek, M.R.; Lee, J.A.; Mitchell, E.; Saarinen, T.; Vasander, H. Raised atmospheric CO2 levels and increased N deposition cause shifts in plant species composition and production in Sphagnum bogs. Glob. Chang. Biol. 2001, 7, 591–598. [Google Scholar] [CrossRef]
- Emery, S.M.; Bell-Dereske, L.; Stahlheber, K.A.; Gross, K.L. Arbuscular mycorrhizal fungal community responses to drought and nitrogen fertilization in switchgrass stands. Appl. Soil Ecol. 2022, 2022, 104218. [Google Scholar] [CrossRef]
- Drigo, B.; Pijl, A.S.; Duyts, H.; Kielak, A.M.; Gamper, H.A.; Houtekamer, M.J.; Boschker, H.T.S.; Bodelier, P.L.E.; Whiteley, A.S.; Veen, J.A.V. Shifting carbon flow from roots into associated microbial communities in response to elevated atmospheric CO2. Proc. Natl. Acad. Sci. USA 2010, 107, 10938. [Google Scholar] [CrossRef] [PubMed]
- Egerton-Warburton, L.M.; Allen, E.B. Shifts in arbuscular mycorrhizal communities along an anthropogenic nitrogen deposition gradient. Ecol. Appl. 2000, 10, 484–496. [Google Scholar] [CrossRef]
- Hart, M.M.; Reader, R.J. Taxonomic basis for variation in the colonization strategy of arbuscular mycorrhizal fungi. New Phytol. 2002, 153, 335–344. [Google Scholar] [CrossRef]
- Treseder, K.K.; Vitousek, P.M. Effects of soil nutrient availability on investment in acquisition of N and P in Hawaiian rain forests. Ecology 2001, 82, 946–954. [Google Scholar] [CrossRef]
- Chagnon, P.L.; Bradley, R.L.; Maherali, H.; Klironomos, J.N. A trait-based framework to understand life history of mycorrhizal fungi. Trends Plant Sci. 2013, 18, 484–491. [Google Scholar] [CrossRef]
- Hubbell, S.P. The Unified Neutral Theory of Biodiversity and Biogeography Princeton University Press: Princeton, NJ, USA, 2001; Volume 32.
- Pereira, C.M.R.; López-García, Á.; Silva, D.K.A.D.; Maia, L.C.; Frøslev, T.C.; Kjøller, R.; Rosendahl, S. Tropical forest type influences community assembly processes in arbuscular mycorrhizal fungi. J. Biogeogr. 2020, 47, 434–444. [Google Scholar] [CrossRef]
- Stegen, J.C.; Lin, X.; Fredrickson, J.K.; Konopka, A.E. Estimating and mapping ecological processes influencing microbial community assembly. Front. Microbiol. 2015, 6, 370. [Google Scholar] [CrossRef]
- Rodríguez-Echeverría, S.; Teixeira, H.; Correia, M.; Timóteo, S.; Heleno, R.; Öpik, M.; Moora, M. Arbuscular mycorrhizal fungi communities from tropical Africa reveal strong ecological structure. New Phytol. 2017, 213, 380–390. [Google Scholar] [CrossRef] [PubMed]
- Bouffaud, M.L.; Bragalini, C.; Berruti, A.; Peyret-Guzzon, M.; Voyron, S.; Stockinger, H.; Girlanda, M. Arbuscular mycorrhizal fungal community differences among European long-term observatories. Mycorrhiza 2017, 27, 331–343. [Google Scholar] [CrossRef] [PubMed]
- Frew, A.; Heuck, M.K.; Aguilar-Trigueros, C.A. Host filtering, not competitive exclusion, may be the main driver of arbuscular mycorrhizal fungal community assembly under high phosphorus. Funct. Ecol. 2023, 37, 1856–1869. [Google Scholar] [CrossRef]
- Vályi, K.; Mardhiah, U.; Rillig, M.C.; Hempel, S. Community assembly and coexistence in communities of arbuscular mycorrhizal fungi. ISME J. 2016, 10, 2341. [Google Scholar] [CrossRef]
- Wang, J.L.; Li, Q.K.; Shen, C.C.; Yang, F.T.; Wang, J.C.; Ge, Y. Significant dose effects of fertilizers on soil diazotrophic diversity, community composition, and assembly processes in a long-term paddy field fertilization experiment. Land Degrad. Dev. 2021, 32, 420–429. [Google Scholar] [CrossRef]
- Xiong, D.C.; Yang, Z.J.; Chen, G.S.; Liu, X.F.; Lin, W.S.; Huang, J.X.; Bowles, F.P.; Lin, C.F.; Xie, J.S.; Li, Y.Q.; et al. Interactive effects of warming and nitrogen addition on fine root dynamics of a young subtropical plantation. Soil Biol. Biochem. 2018, 123, 180–189. [Google Scholar] [CrossRef]
Disclaimer/Publisher’s Note: The statements, opinions and data contained in all publications are solely those of the individual author(s) and contributor(s) and not of MDPI and/or the editor(s). MDPI and/or the editor(s) disclaim responsibility for any injury to people or property resulting from any ideas, methods, instructions or products referred to in the content. |
© 2023 by the authors. Licensee MDPI, Basel, Switzerland. This article is an open access article distributed under the terms and conditions of the Creative Commons Attribution (CC BY) license (https://creativecommons.org/licenses/by/4.0/).





