Urban Dominant Trees Followed the Optimal Partitioning Theory and Increased Root Biomass Allocation and Nutrient Uptake under Elevated Nitrogen Deposition
Abstract
1. Introduction
2. Materials and Methods
2.1. Study Site
2.2. Sampling Preparation and Experiment Design
2.3. Plant and Soil Sampling and Analysis
2.4. Statistical Analysis
3. Results
3.1. Aboveground, Belowground, and Total Biomass and Their Biomass Allocation
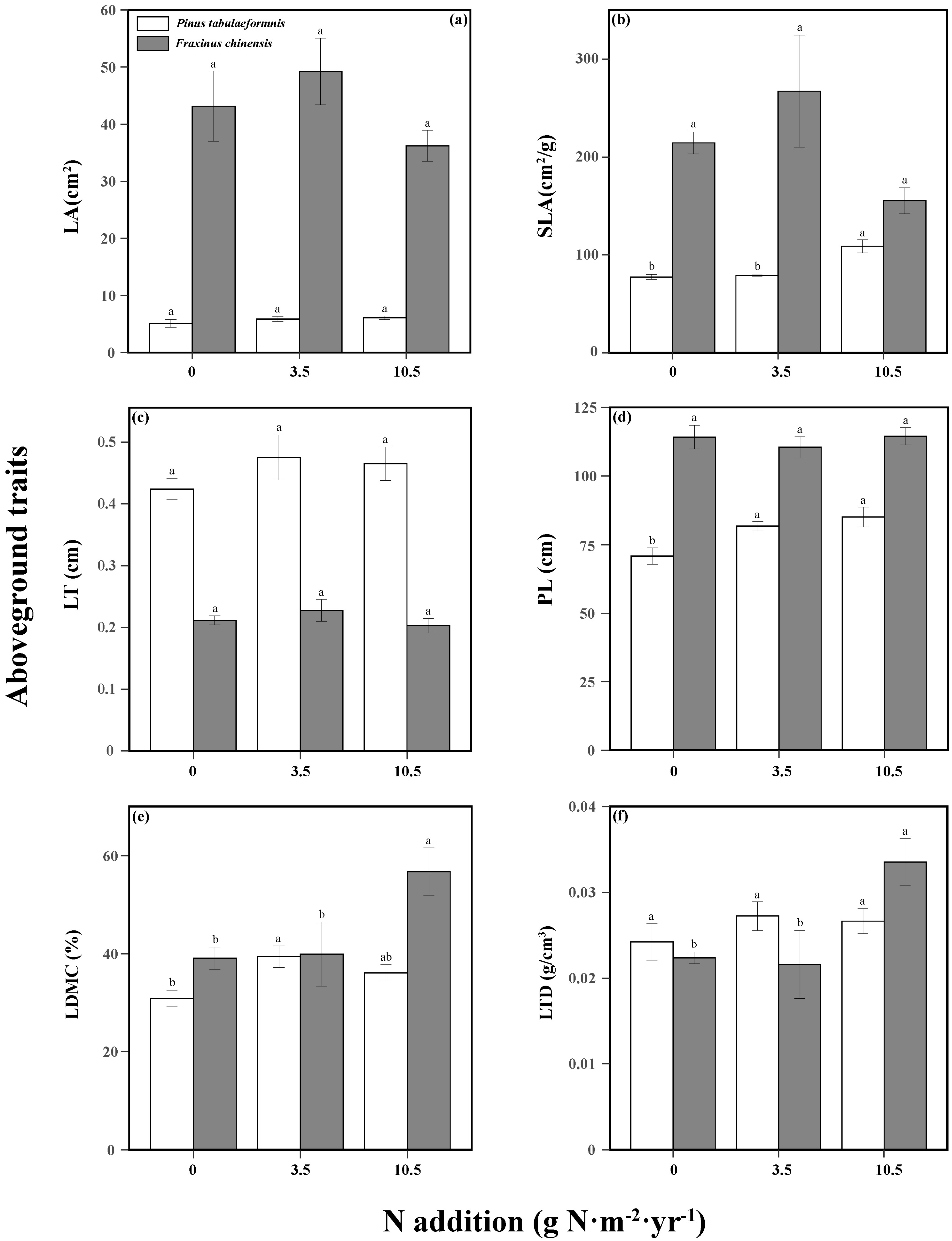
3.2. Aboveground and Belowground Functional Traits
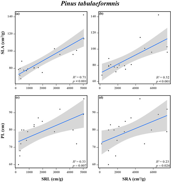
3.3. Relationship between Tree Biomass and Functional Traits
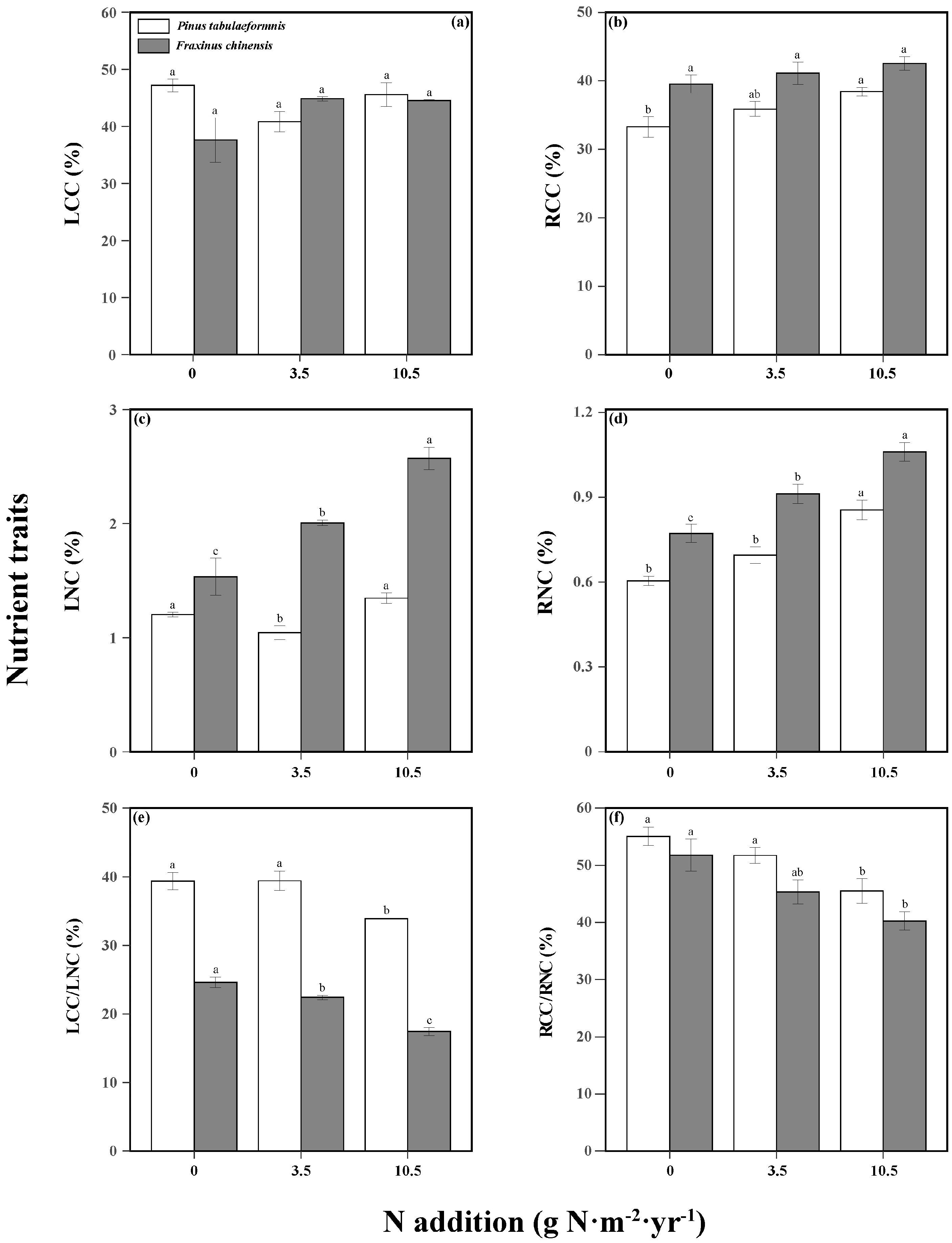
3.4. Nutrient Elements Traits of Trees and Soil
4. Discussion
4.1. Response of Tree Biomass Allocation to Nitrogen Addition
4.2. Response of Tree Functional Traits to Nitrogen Addition
4.3. Response of Soil and Tree Nutrient Elements to Nitrogen Addition
4.4. Limitations and Future Directions
5. Conclusions
Supplementary Materials
Author Contributions
Funding
Data Availability Statement
Conflicts of Interest
References
- Farrer, E.C.; Suding, K.N. Teasing apart plant community responses to N enrichment: The roles of resource limitation, competition and soil microbes. Ecol. Lett. 2016, 19, 1287–1296. [Google Scholar] [CrossRef] [PubMed]
- Tegeder, M.; Masclaux-Daubresse, C. Source and sink mechanisms of nitrogen transport and use. New Phytol. 2018, 217, 35–53. [Google Scholar] [CrossRef] [PubMed]
- Liu, X.; Zhang, Y.; Han, W.; Tang, A.; Shen, J.; Cui, Z.; Vitousek, P.; Erisman, J.; Goulding, K.; Christie, P.; et al. Enhanced nitrogen deposition over China. Nature 2013, 494, 459–462. [Google Scholar] [CrossRef] [PubMed]
- Zhang, Q.; Zhang, J.; Shi, Z.; Kang, B.; Tu, H.; Zhu, J.; Li, H. Nitrogen addition and drought affect nitrogen uptake patterns and biomass production of four urban greening tree species in North China. Sci. Total Environ. 2023, 893, 164893. [Google Scholar] [CrossRef]
- Galloway, J.N.; Townsend, A.R.; Erisman, J.W.; Bekunda, M.; Cai, Z.C.; Freney, J.R.; Martinelli, L.A.; Seitzinger, S.P.; Sutton, M.A. Transformation of the nitrogen cycle: Recent trends, questions, and potential solutions. Science 2008, 320, 889–892. [Google Scholar] [CrossRef]
- Liu, M.; Chen, S.; Korpelainen, H.; Zhang, H.; Wang, J.; Huang, H.; Yi, L.T. Nitrogen addition affects eco-physiological interactions between two tree species dominating in subtropical forests. Plant Physiol. Biochem. 2021, 162, 150–160. [Google Scholar] [CrossRef]
- Chen, J.; Wu, F.; Liu, T.; Chen, L.; Xiao, Q.; Dong, X.; He, J.; Pei, Z.; Zheng, H. Emissions of nitric oxide from 79 plant species in response to simulated nitrogen deposition. Environ. Pollut. 2012, 1601, 192–200. [Google Scholar] [CrossRef]
- Chen, Y.; Ge, Y.; Yang, G.; Wu, Z.; Du, Y.; Mao, F.; Liu, S.; Xu, R.; Qu, Z.; Xu, B.; et al. Inequalities of urban green space area and ecosystem services along urban center-edge gradients. Landsc. Urban Plan. 2022, 217, 104266. [Google Scholar] [CrossRef]
- Poorter, H.; Niklas, K.J.; Reich, P.B.; Oleksyn, J.; Poot, P.; Mommer, L. Biomass allocation to leaves, stems and roots: Meta-analyses of interspecific variation and environmental control. New Phytol. 2012, 193, 30–50. [Google Scholar] [CrossRef]
- Li, C.; Zheng, Z.; Peng, Y.; Nie, X.; Yang, L.; Xiao, Y.; Zhou, G. Precipitation and nitrogen addition enhance biomass allocation to aboveground in an alpine steppe. Ecol. Evol. 2019, 9, 12193–12201. [Google Scholar] [CrossRef]
- Zhang, T.; Dong, G.; Tian, Y.; Zhou, Y.; Li, Y.; Zhang, S.; Li, H. Effects of drought stress and Ca supply on the biomass allocation strategies of poplar and mulberry. Forests 2023, 14, 505. [Google Scholar] [CrossRef]
- Yue, K.; Fornara, D.A.; Li, W.; Ni, X.; Peng, Y.; Liao, S.; Tan, S.; Wang, D.; Wu, F.; Yang, Y. Nitrogen addition affects plant biomass allocation but not allometric relationships among different organs across the globe. J. Plant. Ecol. 2020, 14, 361–371. [Google Scholar] [CrossRef]
- Bernacchi, C.J.; Bazzaz, F.A.; Mcconnaughay, K.D.M.; Coleman, J.S. Biomass allocation in old-field annual species grown in elevated CO2 environments: No evidence for optimal partitioning. Glob. Chang. Biol. 2010, 6, 855–863. [Google Scholar] [CrossRef]
- Ren, G.; Li, Q.; Li, Y.; Li, J.; Adomako, M.O.; Dai, Z.; Li, G.; Wan, L.; Zhang, B.; Zou, C.B.; et al. The enhancement of root biomass increases the competitiveness of an invasive plant against a co-occurring native plant under elevated nitrogen deposition. Flora 2019, 261, 151486. [Google Scholar] [CrossRef]
- Zhang, Q.; Hao, G.; Li, M.; Li, L.; Kang, B.; Yang, N.; Li, H. Transformation of plant to resource acquisition under high nitrogen addition will reduce green roof ecosystem functioning. Front. Plant Sci. 2022, 13, 894782. [Google Scholar] [CrossRef]
- Reich, P.B.; Ellsworth, D.S.; Walters, M.B.; Vose, J.M.; Gresham, C.; Volin, J.C.; Bowman, W.D. Generality of leaf trait relationships: A test across six biomes. Ecology 1999, 80, 1955–1969. [Google Scholar] [CrossRef]
- Pérez-Harguindeguy, N.; Díaz, S.; Garnier, E.; Lavorel, S.; Poorter, H.; Jaureguiberry, P.; Bret-Harte, M.S.; Cornwell, W.K.; Craine, J.M.; Gurvich, D.E.; et al. New handbook for standardised measurement of plant functional traits worldwide. Aust. J. Bot. 2013, 61, 167–234. [Google Scholar] [CrossRef]
- Trocha, L.K.; Bułaj, B.; Kutczynska, P.; Mucha, J.; Rutkowski, P.; Zadworny, M. The interactive impact of root branch order and soil genetic horizon on root respiration and nitrogen concentration. Tree Physiol. 2017, 37, 1055–1068. [Google Scholar] [CrossRef] [PubMed]
- Mao, W.; Felton, A.J.; Ma, Y.; Zhang, T.; Sun, Z.; Zhao, X.; Smith, M.D. Relationships between aboveground and belowground trait responses of a dominant plant species to alterations in watertable depth. Land Degrad. Dev. 2018, 29, 4015–4024. [Google Scholar] [CrossRef]
- Davidson, E.A. The contribution of manure and fertilizer nitrogen to atmospheric nitrous oxide since 1860. Nat. Geosci. 2009, 2, 659–662. [Google Scholar] [CrossRef]
- Chen, Y.; Wang, X.; Jiang, B.; Wen, Z.; Yang, N.; Li, L. Tree survival and growth are impacted by increased surface temperature on paved land. Landsc. Urban. Plan. 2017, 162, 68–79. [Google Scholar] [CrossRef]
- Yu, G.; Jia, Y.; He, N.; Zhu, J.; Chen, Z.; Wang, Q.; Piao, S.; Liu, X.; He, H.; Guo, X.; et al. Stabilization of atmospheric nitrogen deposition in China over the past decade. Nat. Geosci. 2019, 12, 424–429. [Google Scholar] [CrossRef]
- Wang, C.; McCormack, M.L.; Guo, D.; Li, J. Global meta-analysis reveals different patterns of root tip adjustments by angiosperm and gymnosperm trees in response to environmental gradients. J. Biogeogr. 2018, 46, 123–133. [Google Scholar] [CrossRef]
- Hao, G.; Yang, N.; Dong, K.; Xu, Y.; Ding, X.; Shi, X.; Chen, L.; Wang, J.; Zhao, N.; Gao, Y. Shrub-encroached grassland as an alternative stable state in semiarid steppe regions: Evidence from community stability and assembly. Land Degrad. Dev. 2021, 32, 3142–3153. [Google Scholar] [CrossRef]
- Feng, X.; Qin, S.; Zhang, D.; Chen, P.; Hu, J.; Wang, G.; Liu, Y.; Wei, B.; Li, Q.; Yang, Y.; et al. Nitrogen input enhances microbial carbon use efficiency by altering plant–microbe–mineral interactions. Glob. Chang. Biol. 2022, 28, 4845–4860. [Google Scholar] [CrossRef] [PubMed]
- R Core Team. R: A Language and Environment for Statistical Computing; R Foundation for Statistical Computing: Vienna, Austria, 2021. [Google Scholar]
- Liu, M.; Xu, X.; Yang, B.; Zhang, N.; Ma, Z.; van Dam, N.M.; Bruelheide, H. Niche partitioning in nitrogen uptake among subtropical tree species enhances biomass production. Sci. Total Environ. 2022, 823, 153716. [Google Scholar] [CrossRef] [PubMed]
- Park, B.B.; Yanai, R.D.; Fahey, T.J.; Bailey, S.W.; Siccama, T.G.; Shanley, J.B.; Cleavitt, N.L. Fine root dynamics and forest production across a calcium gradient in northern hardwood and conifer ecosystems. Ecosystems 2008, 11, 325–341. [Google Scholar] [CrossRef]
- Peng, F.; Ya, F.; Li, J.; Tian, C.; Meng, Z.; Wen, F.; Rui, M. Photosynthetic product allocations of Pinus massoniana seedlings inoculated with ectomycorrhizal fungi along a nitrogen addition gradient. Front. Plant Sci. 2022, 13, 948676. [Google Scholar]
- Annighöfer, P.; Mund, M.; Seidel, D.; Ammer, C.; Ameztegui, A.; Balandier, P.; Bebre, I.; Coll, L.; Collet, C.; Hamm, T.; et al. Examination of aboveground attributes to predict belowground biomass of young trees. Forest Ecol. Manag. 2022, 505, 119942. [Google Scholar] [CrossRef]
- Li, H.C.; Crabbe, M.J.; Xu, F.; Wang, W.; Ma, L.; Niu, R.; Gao, X.; Li, X.; Zhang, P.; Ma, X.; et al. Seasonal variations in carbon, nitrogen and phosphorus concentrations and C:N:P stoichiometry in different organs of a Larix principisrupprechtii Mayr. plantation in the Qinling Mountains, China. PLoS ONE 2017, 12, e0185163. [Google Scholar]
- Yan, X.; Jia, L.; Dai, T. Fine root morphology and growth in response to nitrogen addition through drip fertigation in a Populus × euramericana “Guariento” plantation over multiple years. Ann. For. Sci. 2019, 76, 13. [Google Scholar] [CrossRef]
- Kiba, T.; Krapp, A. Plant nitrogen acquisition under low availability: Regulation of uptake and root architecture. Plant Cell Physiol. 2016, 57, 707–714. [Google Scholar] [CrossRef] [PubMed]
- Zhou, H.; Xu, P.; Zhang, L.; Huang, R.; Yang, M.; Wang, K.; Fan, H. Nitrogen application promotes drought-stressed sugar beet growth by improving photosynthesis, osmoregulation, and antioxidant defense. J. Soil Sci. Plant Nutr. 2023, 23, 1272–1285. [Google Scholar] [CrossRef]
- Kramer-Walter, K.R.; Bellingham, P.J.; Millar, T.R.; Smissen, R.D.; Richardson, S.J.; Laughlin, D.C. Root traits are multidimensional: Specific root length is independent from root tissue density and the plant economic spectrum. J. Ecol. 2016, 104, 1299–1310. [Google Scholar] [CrossRef]
- Carvajal, D.E.; Loayza, A.P.; Ríos, R.S.; Delpiano, C.A.; Squeo, F.A. A hyper-arid environment shapes an inverse pattern of the fast–slow plant economics spectrum for above-, but not below-ground resource acquisition strategies. J. Ecol. 2018, 107, 1079–1092. [Google Scholar] [CrossRef]
- Hu, Y.; Pan, X.; Yang, X.; Liu, G.; Liu, X.; Song, Y.; Zhang, M.; Cui, L.; Dong, M. Is there coordination of leaf and fine root traits at local scales? A test in temperate forest swamps. Ecol. Evol. 2019, 9, 8714–8723. [Google Scholar] [CrossRef] [PubMed]
- Luo, Y.; Wang, X.; Zhang, X.; Booth, T.H.; Lu, F. Root: Shoot ratios across China’s forests: Forest type and climatic effects. Forest Ecol. Manag. 2012, 269, 19–25. [Google Scholar] [CrossRef]
- Ding, J.; Kong, D.; Zhang, Z.; Cai, Q.; Xiao, J.; Liu, Q.; Yin, H. Climate and soil nutrients differentially drive multidimensional fine root traits in ectomycorrhizal-dominated alpine coniferous forests. J. Ecol. 2020, 108, 2544–2556. [Google Scholar] [CrossRef]
- Reich, P.B. The world-wide ‘fast-slow’ plant economics spectrum: A traits manifesto. J. Ecol. 2014, 102, 275–301. [Google Scholar] [CrossRef]
- Asefa, M.; Samantha, J.W.; Cao, M.; Xiaoyang, S.; Yudi, M.L.; Jie, Y. Above and belowground plant traits are not consistent in response to drought and competition treatments. Ann. Bot. 2022, 130, 939–950. [Google Scholar] [CrossRef]
- Butler, O.M.; Lewis, T.; Chen, C. Prescribed fire alters foliar stoichiometry and nutrient resorption in the understorey of a subtropical eucalypt forest. Plant Soil 2016, 410, 181–191. [Google Scholar] [CrossRef]
- Zhang, J.; He, N.; Liu, C.; Xu, L.; Chen, Z.; Li, Y.; Wang, R.; Yu, G.; Sun, W.; Xiao, C.; et al. Variation and evolution of C:N ratio among different organs enable plants to adapt to N-limited environments. Glob. Chang. Biol. 2019, 26, 2534–2543. [Google Scholar] [CrossRef] [PubMed]
- Li, Y.; Niu, S.; Yu, G. Aggravated phosphorus limitation on biomass production under increasing nitrogen loading: A meta-analysis. Glob. Chang. Biol. 2016, 22, 934–943. [Google Scholar] [CrossRef] [PubMed]
- Marklein, A.R.; Houlton, B.Z. Nitrogen inputs accelerate phosphorus cycling rates across a wide variety of terrestrial ecosystems. New Phytol. 2012, 193, 696–704. [Google Scholar] [CrossRef] [PubMed]
- Liu, Q.; Song, M.; Kou, L.; Li, Q.; Wang, H. Contrasting effects of nitrogen and phosphorus additions on nitrogen competition between coniferous and broadleaf seedlings. Sci. Total Environ. 2022, 861, 160661. [Google Scholar] [CrossRef] [PubMed]
- Moreira, X.; Zas, R.; Solla, A.; Sampedro, L. Differentiation of persistent anatomical defensive structures is costly and determined by nutrient availability and genetic growth-defence constraints. Tree Physiol. 2015, 35, 112–123. [Google Scholar] [CrossRef] [PubMed]
- Castagneri, D.; Regev, L.; Boaretto, E.; Carrer, M. Xylem anatomical traits reveal different strategies of two Mediterranean oaks to cope with drought and warming. Environ. Exp. Bot. 2017, 133, 128–138. [Google Scholar] [CrossRef]







| Treatment | STC (mg/g) | STN (mg/g) | SNH (mg/kg) | SNO (mg/kg) | SAP (mg/kg) |
|---|---|---|---|---|---|
| Pinus tabuliformis | |||||
| No N | 13.63 ± 1.93 | 1.12 ± 0.04 b | 6.52 ± 0.70 c | 14.92 ± 1.06 b | 7.84 ± 0.41 b |
| Low N | 9.68 ± 0.88 | 1.18 ± 0.06 b | 7.88 ± 0.26 b | 15.68 ± 0.54 b | 11.01 ± 1.39 a |
| High N | 13.47 ± 0.18 | 1.38 ± 0.07 a | 9.73 ± 2.36 a | 16.84 ± 0.11 a | 12.12 ± 0.69 a |
| Fraxinus chinensis | |||||
| No N | 8.07 ± 0.17 | 0.67 ± 0.04 b | 2.43 ± 0.15 b | 12.18 ± 1.63 b | 8.41 ± 0.27 b |
| Low N | 8.33 ± 0.21 | 0.81 ± 0.02 a | 4.75 ± 1.08 a | 22.96 ± 1.45 a | 8.48 ± 0.60 b |
| High N | 8.20 ± 0.03 | 0.82 ± 0.04 a | 4.20 ± 0.90 a | 20.52 ± 0.15 a | 10.06 ± 0.42 a |
| Predictor | Pathway to R/S | Effect |
|---|---|---|
| Pinus tabuliformis | ||
| N | Direct | −0.37 |
| Indirect | 0.68 | |
| Total | 0.31 | |
| STN | Direct | 0.47 |
| Indirect | 0.27 | |
| Total | 0.74 | |
| RNC | Direct | 0.60 |
| Indirect | NS | |
| Total | 0.60 | |
| Fraxinus chinensis | ||
| N | Direct | 0.35 |
| Indirect | 0.42 | |
| Total | 0.77 | |
| RNC | Direct | 0.51 |
| Indirect | NS | |
| Total | 0.51 |
Disclaimer/Publisher’s Note: The statements, opinions and data contained in all publications are solely those of the individual author(s) and contributor(s) and not of MDPI and/or the editor(s). MDPI and/or the editor(s) disclaim responsibility for any injury to people or property resulting from any ideas, methods, instructions or products referred to in the content. |
© 2024 by the authors. Licensee MDPI, Basel, Switzerland. This article is an open access article distributed under the terms and conditions of the Creative Commons Attribution (CC BY) license (https://creativecommons.org/licenses/by/4.0/).
Share and Cite
Zhang, Q.; Zhu, J.; Liang, J.; Li, M.; Huang, S.; Li, H. Urban Dominant Trees Followed the Optimal Partitioning Theory and Increased Root Biomass Allocation and Nutrient Uptake under Elevated Nitrogen Deposition. Forests 2024, 15, 199. https://doi.org/10.3390/f15010199
Zhang Q, Zhu J, Liang J, Li M, Huang S, Li H. Urban Dominant Trees Followed the Optimal Partitioning Theory and Increased Root Biomass Allocation and Nutrient Uptake under Elevated Nitrogen Deposition. Forests. 2024; 15(1):199. https://doi.org/10.3390/f15010199
Chicago/Turabian StyleZhang, Qinze, Jiyou Zhu, Jiaan Liang, Meiyang Li, Shuo Huang, and Hongyuan Li. 2024. "Urban Dominant Trees Followed the Optimal Partitioning Theory and Increased Root Biomass Allocation and Nutrient Uptake under Elevated Nitrogen Deposition" Forests 15, no. 1: 199. https://doi.org/10.3390/f15010199
APA StyleZhang, Q., Zhu, J., Liang, J., Li, M., Huang, S., & Li, H. (2024). Urban Dominant Trees Followed the Optimal Partitioning Theory and Increased Root Biomass Allocation and Nutrient Uptake under Elevated Nitrogen Deposition. Forests, 15(1), 199. https://doi.org/10.3390/f15010199

