Sustainable Supercapacitor Electrode Based on Activated Biochar Derived from Preserved Wood Waste
Abstract
1. Introduction
2. Materials and Methods
2.1. Preparation of CCA-Treated Wood Waste Biochar (CCA-BC) and Its Activation by KOH (CCA-AC)
2.2. Characterization and Analytical Methods
2.3. Electrochemical Test
3. Results and Discussion
3.1. Thermo Gravimetric Analysis of Raw Wood Materials
3.2. Characterizations of the Prepared Biochar Samples
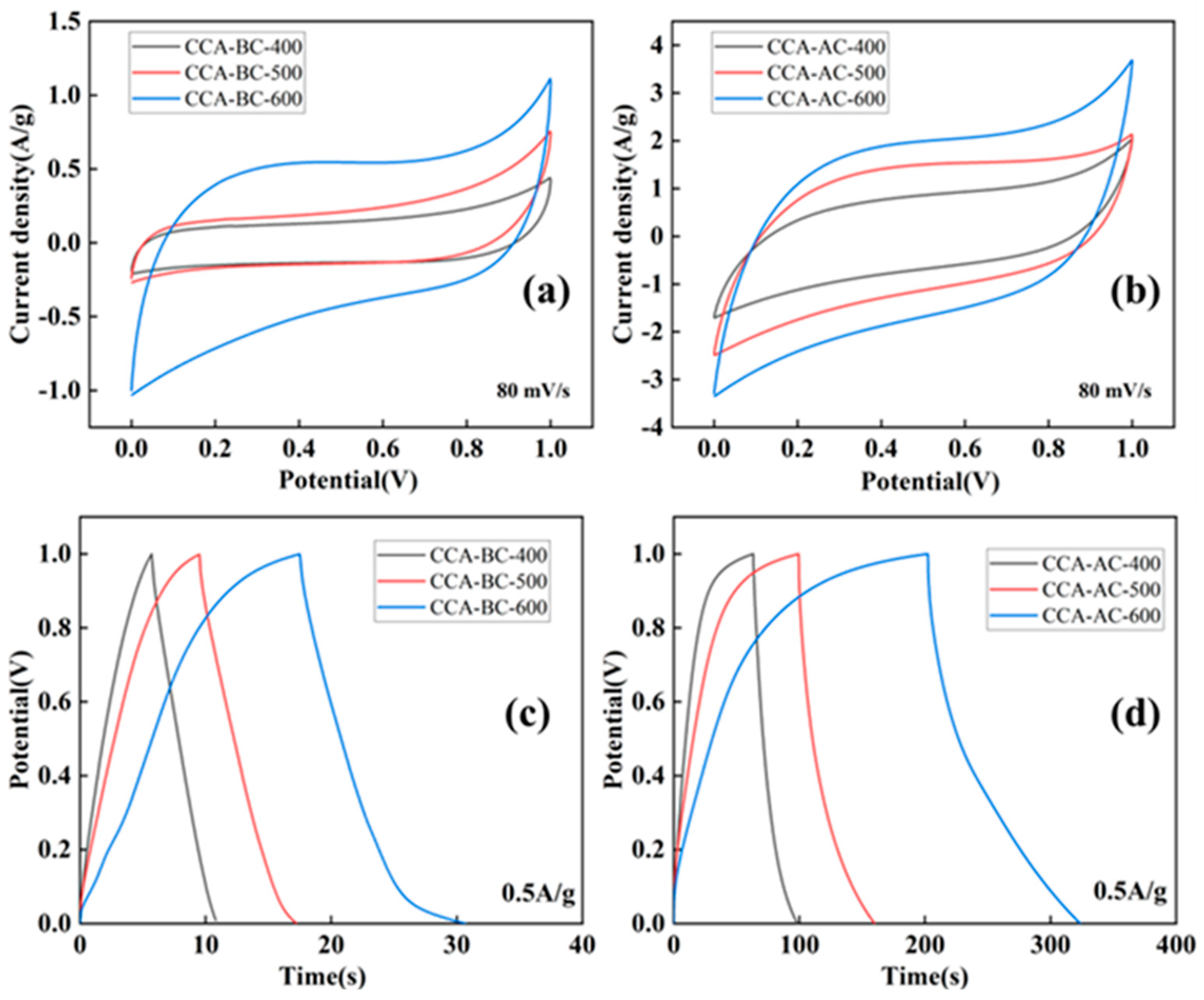
3.3. The Electrochemical Properties of the Biochar Samples
4. Conclusions
Supplementary Materials
Author Contributions
Funding
Data Availability Statement
Acknowledgments
Conflicts of Interest
References
- De Medeiros Domingos, D.; Scussel, R.; Canever, S.B.; Soares, B.Q.; Angioletto, E.; Bernardin, A.M.; Pich, C.T. Toxicity of fly ash effluent from the combustion of (chromated copper arsenate)-treated wood. Clean. Mater. 2022, 3, 100051. [Google Scholar] [CrossRef]
- Chen, A.Y.; Olsen, T. Chromated copper arsenate–treated wood: A potential source of arsenic exposure and toxicity in dermatology. Int. J. Women’s Dermatol. 2016, 2, 28–30. [Google Scholar] [CrossRef] [PubMed]
- Wasson, S.J.; Linak, W.P.; Gullett, B.K.; King, C.J.; Touati, A.; Huggins, F.E.; Chen, Y.; Shah, N.; Huffman, G.P. Emissions of chromium, copper, arsenic, and PCDDs/Fs from open burning of CCA-treated wood. Environ. Sci. Technol. 2005, 39, 8865–8876. [Google Scholar] [CrossRef] [PubMed]
- Ai, C.; Mccarthy, S.; Liang, Y.; Rudrappa, D.; Qiu, G.; Blum, P. Evolution of copper arsenate resistance for enhanced enargite bioleaching using the extreme thermoacidophile metallosphaera sedula. J. Ind. Microbiol. Biotechnol. 2017, 44, 1613–1625. [Google Scholar] [CrossRef]
- Morais, S.; Fonseca, H.M.A.C.; Oliveira, S.M.R.; Oliveira, H.; Gupta, V.K.; Sharma, B.; de Lourdes Pereira, M. Environmental and health hazards of chromated copper arsenate-treated wood: A review. Int. J. Environ. Res. Public Health 2021, 18, 5518. [Google Scholar] [CrossRef]
- Mercer, T.G.; Frostick, L.E. Evaluating the potential for environmental pollution from chromated copper arsenate (CCA)-treated wood waste: A new mass balance approach. J. Hazard. Mater. 2014, 276, 10–18. [Google Scholar] [CrossRef]
- Gress, J.; Da Silva, E.B.; de Oliveira, L.M.; Zhao, D.; Anderson, G.; Heard, D.; Stuchal, L.D.; Ma, L.Q. Potential arsenic exposures in 25 species of zoo animals living in CCA-wood enclosures. Sci. Total Environ. 2016, 551–552, 614–621. [Google Scholar] [CrossRef]
- EPA. Chromated Arsenicals (CCA). 2022. Available online: https://www.epa.gov/ingredients-used-pesticide-products/chromated-arsenicals-cca (accessed on 28 September 2023).
- Maietta, M.; Colombo, R.; Lavecchia, R.; Sorrenti, M.; Zuorro, A.; Papetti, A. Artichoke (Cynara cardunculus L. var. scolymus) waste as a natural source of carbonyl trapping and antiglycative agents. Food Res. Int. 2017, 100, 780–790. [Google Scholar] [CrossRef]
- Gigar, F.Z.; Khennane, A.; Liow, J.; Tekle, B.H.; Katoozi, E. Recycling timber waste into geopolymer cement bonded wood composites. Constr. Build. Mater. 2023, 400, 132793. [Google Scholar] [CrossRef]
- Nelson, J.; Pickering, K.L.; Beg, M.D.H. Assessment of the potential of waste copper chromium and arsenic (CCA)-treated timber fibre reinforced polypropylene composites for construction. J. Compos. Sci. 2023, 7, 48. [Google Scholar] [CrossRef]
- Xing, D.; Koubaa, A.; Tao, Y.; Magdouli, S.; Li, P.; Bouafif, H.; Zhang, J. Copper-doped carbon nanodots with superior photocatalysis, directly obtained from chromium-copper-arsenic-treated wood waste. Polymers 2023, 15, 136. [Google Scholar] [CrossRef]
- Chen, Y.; Hou, H.; Liu, B.; Li, M.; Chen, L.; Chen, C.; Wang, S.; Li, Y.; Min, D. Wood-derived scaffolds decorating with nickel cobalt phosphate nanosheets and carbon nanotubes used as monolithic electrodes for assembling high-performance asymmetric supercapacitor. Chem. Eng. J. 2023, 454, 140453. [Google Scholar] [CrossRef]
- Shan, L.; Zhang, Y.; Xu, Y.; Gao, M.; Xu, T.; Si, C. Wood-based hierarchical porous nitrogen-doped carbon/manganese dioxide composite electrode materials for high-rate supercapacitor. Adv. Compos. Hybrid Mater. 2023, 6, 174. [Google Scholar] [CrossRef]
- Zhong, C.; Deng, Y.; Hu, W.; Qiao, J.; Zhang, L.; Zhang, J. A review of electrolyte materials and compositions for electrochemical supercapacitors. Chem. Soc. Rev. 2015, 44, 7484–7539. [Google Scholar] [CrossRef] [PubMed]
- Liu, C.; Li, F.; Ma, L.; Cheng, H. Advanced materials for energy storage. Adv. Mater. 2010, 22, E28–E62. [Google Scholar] [CrossRef]
- Chatterjee, D.P.; Nandi, A.K. A review on the recent advances in hybrid supercapacitors. J. Mater. Chem. A 2021, 9, 15880–15918. [Google Scholar] [CrossRef]
- Wei, W.; Chen, Z.; Zhang, Y.; Chen, J.; Wan, L.; Du, C.; Xie, M.; Guo, X. Full-faradaic-active nitrogen species doping enables high-energy-density carbon-based supercapacitor. J. Energy Chem. 2020, 48, 277–284. [Google Scholar] [CrossRef]
- Guo, Y.; Chen, C.; Wang, Y.; Hong, Y.; Wu, H.; Wang, K.; Niu, D.; Zhang, C.; Zhang, Q. Cu/CuxO@C nanocomposites as efficient electrodes for high-performance supercapacitor devices. Dalton Trans. 2022, 51, 14551–14556. [Google Scholar] [CrossRef] [PubMed]
- Shinde, P.A.; Olabi, A.G.; Chodankar, N.R.; Patil, S.J.; Hwang, S.; Abdelkareem, M.A. Realizing superior redox kinetics of metal-metal carbides/carbon coordination supported heterointerface for stable solid-state hybrid supercapacitor. Chem. Eng. J. 2023, 454, 140246. [Google Scholar] [CrossRef]
- Juni, F.J.; Majid, S.R.; Yusuf, S.N.F.; Osman, Z. Electrochemical characteristics of Cu/Cu2O/C composite electrode for supercapacitor application. Microchem. J. 2021, 164, 106055. [Google Scholar] [CrossRef]
- He, X.; Hu, Y.; Tian, H.; Li, Z.; Huang, P.; Jiang, J.; Wang, C. In-situ growth of flexible 3D hollow tubular Cu2S nanorods on Cu foam for high electrochemical performance supercapacitor. J. Mater. 2020, 6, 192–199. [Google Scholar] [CrossRef]
- Malaie, K.; Ganjali, M.R.; Alizadeh, T.; Norouzi, P. Simple electrochemical preparation of nanoflake-like copper oxide on Cu-plated nickel foam for supercapacitor electrodes with high areal capacitance. J. Mater. Sci. Mater. Electron. 2017, 28, 14631–14637. [Google Scholar] [CrossRef]
- Wang, H.; Yoshio, M.; Thapa, A.K.; Nakamura, H. From symmetric ac/ac to asymmetric ac/graphite, a progress in electrochemical capacitors. J. Power Sources 2007, 169, 375–380. [Google Scholar] [CrossRef]
- Choudhury, A.; Kim, J.; Yang, K.; Yang, D. Facile synthesis of self-standing binder-free vanadium pentoxide-carbon nanofiber composites for high-performance supercapacitors. Electrochim. Acta 2016, 213, 400–407. [Google Scholar] [CrossRef]
- Gan, L.; Geng, A.; Xu, L.; Chen, M.; Wang, L.; Liu, J.; Han, S.; Mei, C.; Zhong, Q. The fabrication of bio-renewable and recyclable cellulose based carbon microspheres incorporated by CoFe2O4 and the photocatalytic properties. J. Clean. Prod. 2018, 196, 594–603. [Google Scholar] [CrossRef]
- Mödlinger, M.; Provino, A.; Solokha, P.; Caglieris, F.; Ceccardi, M.; Macciò, D.; Pani, M.; Bernini, C.; Cavallo, D.; Ciccioli, A.; et al. Cu3As: Uncommon crystallographic features, low-temperature phase transitions, thermodynamic and physical properties. Materials 2023, 16, 2501. [Google Scholar] [CrossRef] [PubMed]
- Bahari, A.; Anasari, A.; Rahmani, Z. Low temperature synthesis of La2O3 and CrO2 by sol—Gel process. J. Eng. Technol. Res. 2011, 3, 203–208. [Google Scholar]
- Zhang, X.; Sun, B.; Fan, X.; Liang, P.; Zhao, G.; Saikia, B.K.; Wei, X. Hierarchical porous carbon derived from coal and biomass for high performance supercapacitors. Fuel 2022, 311, 122552. [Google Scholar] [CrossRef]
- Robertson, J.; Ferrari, A.C. Interpretation of raman spectra of disordered and amorphous carbon. Phys. Rev. B 2000, 61, 14095–14107. [Google Scholar]
- Wang, T.; Hu, S.; Wu, D.; Zhao, W.; Yu, W.; Wang, M.; Xu, J.; Zhang, J. Boosting the capacity of biomass-based supercapacitors using carbon materials of wood derivatives and redox molecules from plants. J. Mater. Chem. A 2021, 9, 11839–11852. [Google Scholar] [CrossRef]
- Keiluweit, M.; Nico, P.S.; Johnson, M.G.; Kleber, M. Dynamic molecular structure of plant biomass-derived black carbon (biochar). Environ. Sci. Technol. 2010, 44, 1247–1253. [Google Scholar] [CrossRef]
- Wang, Q.; Yan, J.; Wang, Y.; Wei, T.; Zhang, M.; Jing, X.; Fan, Z. Three-dimensional flower-like and hierarchical porous carbon materials as high-rate performance electrodes for supercapacitors. Carbon 2014, 67, 119–127. [Google Scholar] [CrossRef]
- Zhang, Z.; Xi, J.; Zhou, H.; Qiu, X. KOH etched graphite felt with improved wettability and activity for vanadium flow batteries. Electrochim. Acta 2016, 218, 15–23. [Google Scholar] [CrossRef]
- Zhang, C.; Long, D.; Xing, B.; Qiao, W.; Zhang, R.; Zhan, L.; Liang, X.; Ling, L. The superior electrochemical performance of oxygen-rich activated carbons prepared from bituminous coal. Electrochem. Commun. 2008, 10, 1809–1811. [Google Scholar] [CrossRef]
- Wang, D.; Geng, Z.; Li, B.; Zhang, C. High performance electrode materials for electric double-layer capacitors based on biomass-derived activated carbons. Electrochim. Acta 2015, 173, 377–384. [Google Scholar] [CrossRef]
- Lu, W.; Xu, L.; Shen, X.; Meng, L.; Pan, Y.; Zhang, Y.; Han, J.; Mei, X.; Qiao, W.; Gan, L. Highly efficient activation of sulfite by p-type S-doped g-C3N4 under visible light for emerging contaminants degradation. Chem. Eng. J. 2023, 472, 144708. [Google Scholar] [CrossRef]
- Lesiak, B.; Kövér, L.; Tóth, J.; Zemek, J.; Jiricek, P.; Kromka, A.; Rangam, N. C sp2/sp3 hybridisations in carbon nanomaterials—XPS and (X)AES study. Appl. Surf. Sci. 2018, 452, 223–231. [Google Scholar] [CrossRef]
- Liu, L.; Li, W.; Xiong, Z.; Xia, D.; Yang, C.; Wang, W.; Sun, Y. Synergistic effect of iron and copper oxides on the formation of persistent chlorinated aromatics in iron ore sintering based on in situ XPS analysis. J. Hazard. Mater. 2019, 366, 202–209. [Google Scholar] [CrossRef]
- Oginni, O.; Singh, K.; Oporto, G.; Dawson-Andoh, B.; Mcdonald, L.; Sabolsky, E. Influence of one-step and two-step KOH activation on activated carbon characteristics. Bioresour. Technol. Rep. 2019, 7, 100266. [Google Scholar] [CrossRef]
- Lu, W.; Qi, L.; Dong, D.; Shen, X.; Xu, L.; Zhang, Y.; Mei, X.; Qiao, W.; Guo, X.; Pan, Y. A comparison study of photocatalytic performance of g-C3N4 prepared from different precursors for the activation of different peroxides. Sep. Purif. Technol. 2023, 327, 124904. [Google Scholar] [CrossRef]
- Sun, R.; Wang, X.; Wang, X.; Tan, B. Three-dimensional crystalline covalent triazine frameworks via a polycondensation approach. Angew. Chem. Int. Ed. 2022, 61, e202117668. [Google Scholar] [CrossRef]
- Herath, A.; Layne, C.A.; Perez, F.; Hassan, E.B.; Pittman, C.U.; Mlsna, T.E. KOH-activated high surface area douglas fir biochar for adsorbing aqueous cr(vi), pb(ii) and cd(ii). Chemosphere 2021, 269, 128409. [Google Scholar] [CrossRef]
- Ding, M.; Bannuru, K.K.R.; Wang, Y.; Guo, L.; Baji, A.; Yang, H.Y. Free-standing electrodes derived from metal–organic frameworks/nanofibers hybrids for membrane capacitive deionization. Adv. Mater. Technol. 2018, 3, 1800135. [Google Scholar] [CrossRef]
- Feng, L.; Ding, R.; Chen, Y.; Wang, J.; Xu, L. Zeolitic imidazolate framework-67 derived ultra-small cop particles incorporated into n-doped carbon nanofiber as efficient bifunctional catalysts for oxygen reaction. J. Power Sources 2020, 452, 227837. [Google Scholar] [CrossRef]
- Wu, Y.; Xu, G.; Zhang, W.; Song, C.; Wang, L.; Fang, X.; Xu, L.; Han, S.; Cui, J.; Gan, L. Construction of zif@electrospun cellulose nanofiber derived n doped metallic cobalt embedded carbon nanofiber composite as binder-free supercapacitance electrode. Carbohydr. Polym. 2021, 267, 118166. [Google Scholar] [CrossRef]
- Woodward, R.T.; Markoulidis, F.; De Luca, F.; Anthony, D.B.; Malko, D.; Mcdonald, T.O.; Shaffer, M.S.P.; Bismarck, A. Carbon foams from emulsion-templated reduced graphene oxide polymer composites: Electrodes for supercapacitor devices. J. Mater. Chem. A 2018, 6, 1840–1849. [Google Scholar] [CrossRef]
- Jiang, J.; Zhang, L.; Wang, X.; Holm, N.; Rajagopalan, K.; Chen, F.; Ma, S. Highly ordered macroporous woody biochar with ultra-high carbon content as supercapacitor electrodes. Electrochim. Acta 2013, 113, 481–489. [Google Scholar] [CrossRef]
- Ma, Y.; Yin, J.; Liang, H.; Yao, D.; Xia, Y.; Zuo, K.; Zeng, Y. A two step approach for making super capacitors from waste wood. J. Clean. Prod. 2021, 279, 123786. [Google Scholar] [CrossRef]







| Samples | Surface Area (m2/g) | Pore Size (nm) | Average Pore Volume (cm3/g) |
|---|---|---|---|
| CCA-BC-400 | 99.85 | 2.463 | 0.0575 |
| CCA-BC-500 | 311.34 | 2.752 | 0.1825 |
| CCA-BC-600 | 444.85 | 1.710 | 0.1978 |
| CCA-AC-400 | 191.10 | 4.290 | 0.1413 |
| CCA-AC-500 | 570.18 | 2.651 | 0.3191 |
| CCA-AC-600 | 884.62 | 2.638 | 0.4503 |
| Sample | Specific Capacitance (CV) (F/g) | Specific Capacitance (GCD) (F/g) |
|---|---|---|
| CCA-BC-400 | 3.91 | 2.57 |
| CCA-BC-500 | 11.91 | 3.91 |
| CCA-BC-600 | 5.13 | 6.60 |
| CCA-AC-400 | 14.26 | 17.91 |
| CCA-AC-500 | 22.23 | 58.98 |
| CCA-AC-600 | 32.69 | 76.66 |
| W-BC-500 | 4.34 | 5.16 |
| W-AC-500 | 6.53 | 8.25 |
Disclaimer/Publisher’s Note: The statements, opinions and data contained in all publications are solely those of the individual author(s) and contributor(s) and not of MDPI and/or the editor(s). MDPI and/or the editor(s) disclaim responsibility for any injury to people or property resulting from any ideas, methods, instructions or products referred to in the content. |
© 2024 by the authors. Licensee MDPI, Basel, Switzerland. This article is an open access article distributed under the terms and conditions of the Creative Commons Attribution (CC BY) license (https://creativecommons.org/licenses/by/4.0/).
Share and Cite
Huang, M.; Dai, B.; Shi, J.; Li, J.; Xia, C. Sustainable Supercapacitor Electrode Based on Activated Biochar Derived from Preserved Wood Waste. Forests 2024, 15, 177. https://doi.org/10.3390/f15010177
Huang M, Dai B, Shi J, Li J, Xia C. Sustainable Supercapacitor Electrode Based on Activated Biochar Derived from Preserved Wood Waste. Forests. 2024; 15(1):177. https://doi.org/10.3390/f15010177
Chicago/Turabian StyleHuang, Meiling, Boren Dai, Jiangtao Shi, Jiayao Li, and Changlei Xia. 2024. "Sustainable Supercapacitor Electrode Based on Activated Biochar Derived from Preserved Wood Waste" Forests 15, no. 1: 177. https://doi.org/10.3390/f15010177
APA StyleHuang, M., Dai, B., Shi, J., Li, J., & Xia, C. (2024). Sustainable Supercapacitor Electrode Based on Activated Biochar Derived from Preserved Wood Waste. Forests, 15(1), 177. https://doi.org/10.3390/f15010177

