Stability of Ficus virens-Reinforced Slopes Considering Mechanical and/or Hydrological Effects
Abstract
1. Introduction
2. Roots’ Mechanical Reinforcement
2.1. Simplified Model
2.2. Triaxial Testing
3. Hydrological Model of Rooted Soils
4. Stability Analyses of Rooted Soil Slopes
4.1. Root Architecture
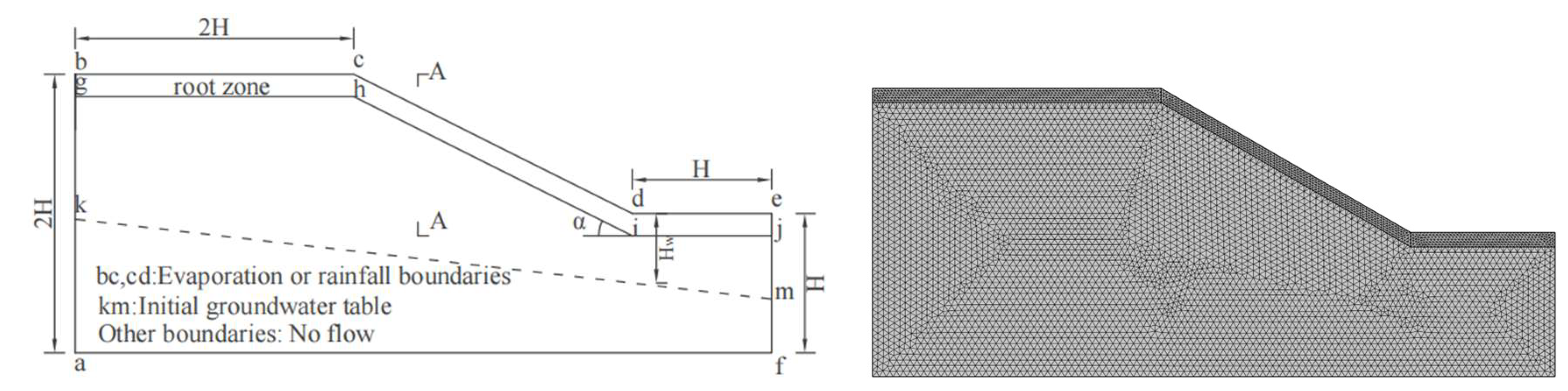
4.2. Slope Model and Analysis
5. Results and Discussion
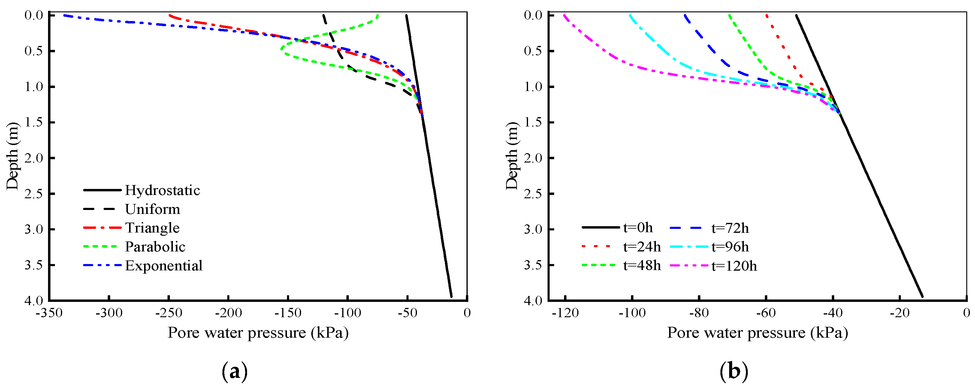
5.1. Pore Water Pressure
5.2. Stability Results
6. Conclusions
- (1)
- Ficus virens roots contribute to an increase in the effective cohesion of the root–soil composite, more than 10 kPa, while they do not have much influence on the effective friction angle.
- (2)
- Matric suction in unsaturated soils is proven to be highly associated with root architecture, and an exponential root distribution tends to have more obvious hydrological effects within its influencing zone.
- (3)
- The hydrological contribution to slope stability is greatly influenced by climate change. In a short period of rainfall, the factor of safety considering the hydrological effect alone is higher than that of a bare slope. However, this effect gradually weakens until it disappears.
- (4)
- Rainfall infiltration tends to induce a shallow failure mechanism, and hence, vegetation in practice could work well for the prevention of shallow slope failure.
- (5)
- A conservative outcome is yielded when not considering the hydro-mechanical or even the single reinforcement effect of roots, which is uneconomical in slope design, especially in this era of minimizing carbon emissions.
- (6)
- A soil slope is suggested to be environmentally reinforced by species with a large tensile strength and root area ratio and a leafy superstructure with a high capability of transpiration, aiming to provide more mechanical and hydrological reinforcements for slope stabilization.
Author Contributions
Funding
Data Availability Statement
Conflicts of Interest
References
- Wu, L.Z.; Selvadurai, A.P.S.; Zhang, L.M.; Huang, R.Q.; Huang, J.S. Poro-mechanical coupling influences on potential for rainfall-induced shallow landslides in unsaturated soils. Adv. Water. Resour. 2016, 98, 114–121. [Google Scholar] [CrossRef]
- Liu, Z.; Gilbert, G.; Cepeda, J.M.; Lysdahl, A.O.K.; Piciullo, L.; Hefre, H.; Lacasse, S. Modelling of shallow landslides with machine learning algorithms. Geosci. Front. 2021, 12, 385–393. [Google Scholar] [CrossRef]
- Bordoloi, S.; Ng, C.W.W. The effects of vegetation traits and their stability functions in bio-engineered slopes: A perspective review. Eng. Geol. 2020, 275, 105742. [Google Scholar] [CrossRef]
- Arnone, E.; Caracciolo, D.; Noto, L.V.; Preti, F.; Bras, R.L. Modeling the hydrological and mechanical effect of roots on shallow landslides. Water Resour. Res. 2016, 52, 8590–8612. [Google Scholar] [CrossRef]
- Ng, C.W.W.; Guo, H.; Ni, J.J.; Zhang, Q.; Chen, Z.K. Effects of soil-plant-biochar interactions on water retention and slope stability under various rainfall patterns. Landslides 2022, 19, 1379–1390. [Google Scholar] [CrossRef]
- Zhang, C.B. Fundamental and Mechanical Study on Soil Reinforcement and Slope Protection by Woody Plant Roots. Ph.D. Thesis, Beijing Forestry University, Beijing, China, 2011. [Google Scholar]
- Wang, P.H. Study on Root-Soil Mechanical Characteristics of Four Common Arbor Root System. Master’s Thesis, Beijing Forestry University, Beijing, China, 2012. [Google Scholar]
- Waldron, L.J. The shear resistance of root-permeated homogeneous and stratified soil. Soil Sci. Soc. Am. J. 1977, 41, 843–849. [Google Scholar] [CrossRef]
- Wu, T.H.; Mc Kinnell, W.P.; Swanston, D.N. Strength of tree roots and landslides on prince of Wales Island, Alaska. Can. Geotech. J. 1979, 16, 19–33. [Google Scholar] [CrossRef]
- Chen, Z.D. Experimental Study on the Strength Characteristics of Vetiver Root Soil Composite. Ph.D. Thesis, Central South University of Forestry and Technology, Changsha, China, 2016. [Google Scholar]
- Ghestem, M.; Veylon, G.; Bernard, A.; Vanel, Q.; Stokes, A. Influence of plant root system morphology and architectural traits on soil shear resistance. Plant Soil 2014, 377, 43–61. [Google Scholar] [CrossRef]
- Wang, Y.Z.; Liu, X.F.; Zhang, Z.K.; Ma, D.G.; Cui, Y.Q. Experimental research on influence of root content on strength of undisturbed and remolded grassroots-reinforced soil. Chin. J. Geotech. Eng. 2015, 8, 1405–1410. [Google Scholar]
- Chen, C.F.; Liu, H.X.; Li, Y.P. Study on grassroots-reinforced soil by laboratory triaxial test. Rock Soil Mech. 2007, 10, 2041–2045. [Google Scholar]
- Zhang, C.B.; Chen, L.H.; Liu, Y.P.; Ji, X.D.; Liu, X.P. Triaxial compression test of soil-root composites to evaluate influence of roots on soil shear strength. Ecol. Eng. 2010, 36, 19–26. [Google Scholar] [CrossRef]
- Li, P.; Xiao, X.; Wu, L.; Li, X.; Zhang, H.; Zhou, J. Study on the Shear Strength of Root-Soil Composite and Root Reinforcement Mechanism. Forests 2022, 13, 898. [Google Scholar] [CrossRef]
- Lu, H.J.; Hu, X.S.; Fu, J.T.; Li, G.R.; Zhao, Y.J.; Li, H.T.; Zhu, H.L.; Liu, C.Y. In-situ shearing test on the shear strength of soil slope reinforced by plant roots in cold and arid environments. Chin. J. Rock Mech. Eng. 2016, 35, 1712–1721. [Google Scholar]
- Abdullah, M.; Osman, N.; Ali, F. Soil-root Shear Strength Properties of Some Slope Plants. Sains Malays. 2011, 40, 1065–1073. [Google Scholar]
- Indraratna, B.; Fatahi, B.; Khabbaz, H. Numerical analysis of matric suction effects of tree roots. Geotech. Eng. 2006, 159, 77–90. [Google Scholar] [CrossRef]
- Nyambayo, V.P.; Potts, D.M. Numerical simulation of evapotranspiration using a root water uptake model. Comput. Geotech. 2010, 37, 175–186. [Google Scholar] [CrossRef]
- Ng, C.W.W.; Woon, K.X.; Leung, A.K.; Chu, L.M. Experimental investigation of induced suction distribution in a grass-covered soil. Ecol. Eng. 2013, 52, 219–223. [Google Scholar] [CrossRef]
- Ng, C.W.W. Atmosphere-plant-soil interactions: Theories and mechanisms. Chin. J. Geotech. Eng. 2017, 39, 1–47. [Google Scholar]
- Morgan, R.P.C.; Rickson, R.J. Slope stabilization and erosion control: A bioengineering approach. Soil Technol. 1995, 8, 75–76. [Google Scholar]
- Ghestem, M.; Sidle, R.C.; Stokes, A. The influence of plant root systems on subsurface flow: Implications for slope stability. Bioscience 2011, 61, 869–879. [Google Scholar] [CrossRef]
- Ni, J.J.; Leung, A.K.; Ng, C.W.W.; Shao, W. Modelling hydro-mechanical reinforcements of plants to slope stability. Comput. Geotech. 2018, 95, 99–109. [Google Scholar] [CrossRef]
- Ni, J.J.; Leung, A.K.; Ng, C.W.W. Modelling soil suction changes due to mixed species planting. Ecol. Eng. 2018, 117, 1–17. [Google Scholar] [CrossRef]
- Ni, J.J.; Leung, A.K.; Ng, C.W.W. Unsaturated hydraulic properties of vegetated soil under single and mixed planting conditions. Géotechnique 2019, 69, 554–559. [Google Scholar] [CrossRef]
- Leung, A.K.; Ng, C.W.W. Analysis of groundwater flow and plant evapotranspiration in a vegetated soil slope. Can. Geotech. J. 2013, 50, 1204–1218. [Google Scholar] [CrossRef]
- Smethurst, J.A.; Briggs, K.M.; Powrie, W.; Ridley, A.; Butcher, D.J.E. Mechanical and hydrological impacts of tree removal on a clay fill railway embankment. Géotechnique 2015, 65, 869–882. [Google Scholar] [CrossRef]
- Rahardjo, H.; Satyanaga, A.; Leong, E.C.; Santoso, V.A.; Ng, Y.S. Performance of an instrumented slope covered with shrubs and deep-rooted grass. Soils Found. 2014, 54, 417–425. [Google Scholar] [CrossRef]
- Genet, M.; Stokes, A.; Fourcaud, T.; Norris, J.E. The influence of plant diversity on slope stability in a moist evergreen deciduous forest. Ecol. Eng. 2010, 36, 265–275. [Google Scholar] [CrossRef]
- Mao, Z.; Bourrier, F.; Stokes, A.; Fourcaud, T. Three-dimensional modelling of slope stability in heterogeneous montane forest ecosystems. Ecol. Eng. 2014, 273, 11–22. [Google Scholar] [CrossRef]
- Zhu, H.; Zhang, L.M.; Xiao, T.; Li, X.Y. Enhancement of slope stability by vegetation considering uncertainties in root distribution. Comput. Geotech. 2017, 85, 84–89. [Google Scholar] [CrossRef]
- Liu, H.W.; Feng, S.; Ng, C.W.W. Analytical analysis of hydraulic effect of vegetation on shallow slope stability with different root architectures. Comput. Geotech. 2016, 80, 115–120. [Google Scholar] [CrossRef]
- Pollen-Bankhead, N.; Simon, A. Hydrologic and hydraulic effects of riparian root networks on streambank stability: Is mechanical root-reinforcement the whole story. Geomorphology 2010, 116, 353–362. [Google Scholar] [CrossRef]
- Ni, J.J. Effects of Planting Spacing and Mixed Plant Types on Root Characteristics and Soil Suction. Ph.D. Thesis, The Hong Kong University of Science and Technology, Hong Kong, China, 2017. [Google Scholar]
- Preti, F.; Schwarz, M. On root reinforcement modelling. In Geophysical Research Abstracts; European Geosciences Union: Munich, Germany, 2006; Volume 8. [Google Scholar]
- Feng, S.; Liu, H.W.; Ng, C.W.W. Dimensional analysis of pore-water pressure response in a vegetated infinite slope. Can. Geotech. J. 2019, 56, 1119–1133. [Google Scholar] [CrossRef]
- Qin, C.B.; Chian, S.C. Pseudo-static/dynamic solutions of required reinforcement force for steep slopes using discretization-based kinematic analysis. J. Rock Mech. Geotech. Eng. 2019, 11, 289–299. [Google Scholar] [CrossRef]
- Qin, C.B.; Zhou, J.F. On the seismic stability of soil slopes containing dual weak layers: True failure load assessment by finite-element limit-analysis. Acta Geotech. 2023, 18, 3153–3175. [Google Scholar] [CrossRef]
- Qin, C.B.; Chian, S.C. Kinematic analysis of seismic slope stability with a discretization technique and pseudo-dynamic approach: A new perspective. Géotechnique 2018, 68, 492–503. [Google Scholar] [CrossRef]
- Qin, C.B.; Chian, S.C.; Du, S.Z. Revisiting seismic slope stability: Intermediate or below-the-toe failure? Géotechnique 2020, 70, 71–79. [Google Scholar] [CrossRef]
- Richards, L.A. Capillary conduction of liquids through porous mediums. Physics 1931, 1, 318–333. [Google Scholar] [CrossRef]
- Feddes, R.A.; Kowalik, P.; Kolinska-Malinka, K.; Zaradny, H. Simulation of field water uptake by plants using a soil water dependent root extraction function. J. Hydrol. 1976, 31, 13–26. [Google Scholar] [CrossRef]
- Garg, A.; Leung, A.K.; Ng, C.W.W. Transpiration reduction and root distribution functions for a non-crop species Schefflera heptaphylla. Catena 2015, 135, 78–82. [Google Scholar] [CrossRef]
- Mualem, Y. A new model for predicting the hydraulic conductivity of unsaturated porous media. Water Resour. Res. 1976, 12, 513–522. [Google Scholar] [CrossRef]
- Van Genuchten, M.T. A closed-form equation for predicting the hydraulic conductivity of unsaturated soils. Soil Sci. Soc. Am. J. 1980, 44, 892–898. [Google Scholar] [CrossRef]
- Zhou, J.F.; Qin, C.B. Stability analysis of unsaturated soil slopes under reservoir drawdown and rainfall conditions: Steady and transient state analysis. Comput. Geotech. 2022, 142, 104541. [Google Scholar] [CrossRef]
- Lynch, J. Root architecture and plant productivity. Plant Physiol. 1995, 109, 7–13. [Google Scholar] [CrossRef] [PubMed]
- Raats, P.A.C. Uptake of water from soils by plant roots. Transp. Porous Media 2007, 68, 5–28. [Google Scholar] [CrossRef]
- Leung, A.K.; Garg, A.; Coo, J.L.; Ng, C.W.W.; Hau, B.C.H. Effects of the roots of Cynodon dactylon and Schefflera heptaphylla on water infiltration rate and soil hydraulic conductivity. Hydrol. Process. 2015, 29, 3342–3354. [Google Scholar] [CrossRef]
- Bishop, A.W.; Blight, G.E. Some aspects of effective stress in saturated and partly saturated soils. Géotechnique 1963, 13, 177–197. [Google Scholar] [CrossRef]
- Fredlund, D.G.; Morgenstern, N.R.; Widger, R.A. The shear strength of unsaturated soils. Can. Geotech. J. 1978, 15, 313–321. [Google Scholar] [CrossRef]
- Vanapalli, S.K.; Fredlund, D.D.; Pufahl, D.E.; Clifton, A.W. Model for the prediction of shear strength with respect to soil suction. Can. Geotech. J. 1996, 33, 379–392. [Google Scholar] [CrossRef]
- Griffith, D.V.; Lu, N. Unsaturated slope stability analysis with steady infiltration or evaporation using elasto-plastic finite elements. Int. J. Numer. Anal. Meth. Geomech. 2005, 29, 249–267. [Google Scholar] [CrossRef]
- Ng, C.W.W.; Liu, H.W.; Feng, S. Analytical solutions for calculating pore-water pressure in an infinite unsaturated slope with different root architectures. Can. Geotech. J. 2015, 52, 1981–1992. [Google Scholar] [CrossRef]
- Feng, S.; Liu, H.W.; Ng, C.W.W. Analytical analysis of the mechanical and hydrological effects of vegetation on shallow slope stability. Comput. Geotech. 2020, 118, 103335. [Google Scholar]
- Wang, L.; Wu, C.Z.; Yang, Z.Y.; Wang, L.Q. Deep learning methods for time-dependent reliability analysis of reservoir slopes in spatially variable soils. Comput. Geotech. 2023, 159, 105413. [Google Scholar] [CrossRef]
- Zhou, C.; Hu, Y.J.; Xiao, T.; Ou, Q.; Wang, L.Q. Analytical model for reinforcement effect and load transfer of pre-stressed anchor cable with bore deviation. Constr. Build. Mater. 2023, 379, 131219. [Google Scholar] [CrossRef]
- Xu, J.S.; Yang, X.L. Three-dimensional stability analysis of slope in unsaturated soils considering strength nonlinearity under water drawdown. Eng. Geol. 2018, 237, 102–115. [Google Scholar]
- Qin, C.B.; Chian, S.C. Seismic stability of geosynthetic-reinforced walls with variable excitation and soil properties: A discretization-based kinematic analysis. Comput. Geotech. 2018, 102, 196–205. [Google Scholar] [CrossRef]
- Zhou, H.; Hu, Q.; Yu, X.; Zheng, G.; Liu, X.; Xu, H.; Yang, S.; Liu, J.; Tian, K. Quantitative bearing capacity assessment of strip footings adjacent to two-layered slopes considering spatial soil variability. Acta Geotech. 2023, 18, 6759–6773. [Google Scholar]











| Natural Gravity (Kn·m−3) | Natural Water Content | Maximum Dry Density (g·m−3) | Optimum Water Content | Plastic Limit | Liquid Limit | Plasticity Index, IP |
|---|---|---|---|---|---|---|
| 19.7 | 19.36% | 1.83 | 12.35% | 15.52% | 30.92% | 15.4 |
Disclaimer/Publisher’s Note: The statements, opinions and data contained in all publications are solely those of the individual author(s) and contributor(s) and not of MDPI and/or the editor(s). MDPI and/or the editor(s) disclaim responsibility for any injury to people or property resulting from any ideas, methods, instructions or products referred to in the content. |
© 2024 by the authors. Licensee MDPI, Basel, Switzerland. This article is an open access article distributed under the terms and conditions of the Creative Commons Attribution (CC BY) license (https://creativecommons.org/licenses/by/4.0/).
Share and Cite
Qin, C.; Wang, R.; Chen, W.; Shi, Y.; Sun, H.; Tang, J.; Wang, L. Stability of Ficus virens-Reinforced Slopes Considering Mechanical and/or Hydrological Effects. Forests 2024, 15, 133. https://doi.org/10.3390/f15010133
Qin C, Wang R, Chen W, Shi Y, Sun H, Tang J, Wang L. Stability of Ficus virens-Reinforced Slopes Considering Mechanical and/or Hydrological Effects. Forests. 2024; 15(1):133. https://doi.org/10.3390/f15010133
Chicago/Turabian StyleQin, Changbing, Rui Wang, Wenkang Chen, Yusha Shi, Haixiu Sun, Jianjun Tang, and Luqi Wang. 2024. "Stability of Ficus virens-Reinforced Slopes Considering Mechanical and/or Hydrological Effects" Forests 15, no. 1: 133. https://doi.org/10.3390/f15010133
APA StyleQin, C., Wang, R., Chen, W., Shi, Y., Sun, H., Tang, J., & Wang, L. (2024). Stability of Ficus virens-Reinforced Slopes Considering Mechanical and/or Hydrological Effects. Forests, 15(1), 133. https://doi.org/10.3390/f15010133

