Soil Quality Evaluation of Typical Vegetation and Their Response to Precipitation in Loess Hilly and Gully Areas
Abstract
:1. Introduction
2. Study Area Overview and Methods
2.1. Overview of the Study Area
2.2. Sample Plot Layout and Soil Sample Collection
2.3. Soil Indicator Measurement
2.4. Soil Quality Indicator Evaluation Model
2.4.1. Indicator Selection
2.4.2. Calculation of Soil Indicator Weight and Membership Degree
2.4.3. Soil Quality Indicator Calculation
2.5. Data Processing
3. Results
3.1. Statistical Analysis of the Typical Vegetation Soil Indicator
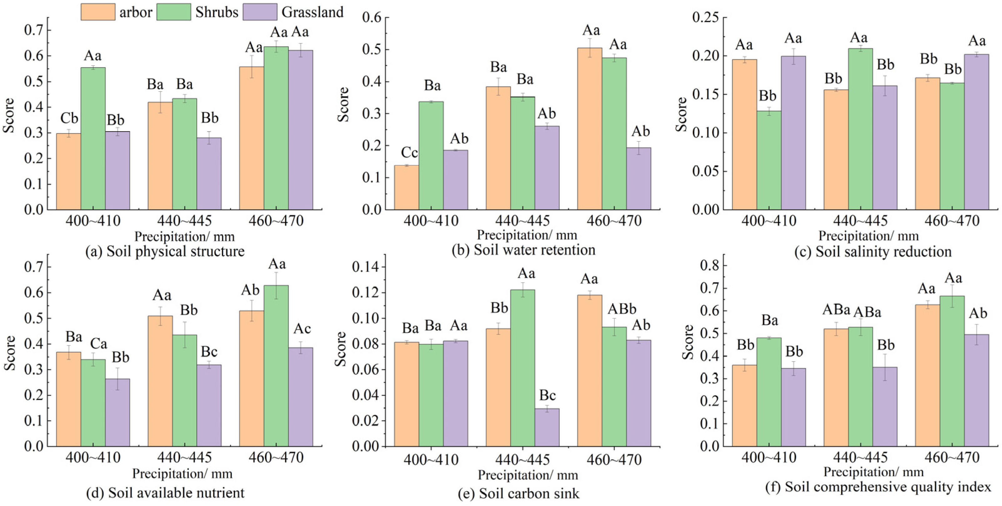
3.2. Variation Characteristics of Soil Quality of Typical Vegetation with Precipitation Gradient
3.3. Effects of Environmental Factors on Soil Quality under Different Precipitation Gradients
3.3.1. Relationship between Precipitation, Vegetation, Soil Factors and Soil Quality
3.3.2. Dominant Factor Analysis of Soil Quality Based on Soil Factors
4. Discussion
4.1. Analysis of the Influence of Precipitation on Soil Quality
4.2. Analysis of the Influence of Vegetation on Soil Quality
4.3. Analysis of Dominant Factors Affecting Soil Quality
5. Conclusions
Author Contributions
Funding
Institutional Review Board Statement
Informed Consent Statement
Data Availability Statement
Acknowledgments
Conflicts of Interest
References
- Duan, C.; Li, X.; Chai, Y.; Xu, W.; Su, L.; Ma, P.; Yang, X. Effects of different restoration measures on plant communities and soil nutrients in degraded alpine meadow of the Yellow River source. Acta Ecol. Sin. 2022, 42, 7652–7662. [Google Scholar]
- Wu, G.L.; Liu, Y.F.; Cui, Z.; Liu, Y.; Shi, Z.H.; Yin, R.; Kardol, P. Trade-off between vegetation type, soil erosion control and surface water in global semi-arid regions: A meta-analysis. J. Appl. Ecol. 2020, 57, 875–885. [Google Scholar] [CrossRef]
- Gu, C.; Mu, X.; Gao, P.; Zhao, G.; Sun, W.; Tatarko, J.; Tan, X. Influence of vegetation restoration on soil physical properties in the Loess Plateau, China. J. Soils Sediments 2019, 19, 716–728. [Google Scholar] [CrossRef]
- Hartmann, M.; Six, J. Soil structure and microbiome functions in agroecosystems. Nat. Rev. Earth Environ. 2023, 4, 4–18. [Google Scholar] [CrossRef]
- Wang, B.; Guobin, L. Effect of topography on soil nutrient loss in slope land in loess hilly region. J. Soil Eros. Soil Water Conserv. 1999, 5, 19–23. [Google Scholar]
- He, J.; Shi, X.; Fu, Y. Identifying vegetation restoration effectiveness and driving factors on different micro-topographic types of hilly Loess Plateau: From the perspective of ecological resilience. J. Environ. Manag. 2021, 289, 112562. [Google Scholar] [CrossRef]
- Song, W.; Feng, Y.; Wang, Z. Ecological restoration programs dominate vegetation greening in China. Sci. Total Environ. 2022, 848, 157729. [Google Scholar] [CrossRef]
- Qasim, S.; Gul, S.; Shah, M.H.; Hussain, F.; Ahmad, S.; Islam, M.; Rehman, G.; Yaqoob, M.; Shah, S.Q. Influence of grazing exclosure on vegetation biomass and soil quality. Int. Soil Water Conserv. Res. 2017, 5, 62–68. [Google Scholar] [CrossRef]
- Dong, L.; Li, J.; Zhang, Y.; Bing, M.; Liu, Y.; Wu, J.; Hai, X.; Li, A.; Wang, K.; Wu, P. Effects of vegetation restoration types on soil nutrients and soil erodibility regulated by slope positions on the Loess Plateau. J. Environ. Manag. 2022, 302, 113985. [Google Scholar] [CrossRef]
- Zhang, Q.; Wei, W.; Chen, L.; Yang, L. Distribution pattern of soil moisture and species diversity along precipitation gradient in grassland of Loess Plateau. J. Nat. Resour. 2018, 33, 1351–1362. [Google Scholar]
- Chen, G.; Huang, Y.; Chen, J.; Wang, Y. Spatiotemporal variation of vegetation net primary productivity and its responses to climate change in the Huainan Coal Mining Area. J. Indian Soc. Remote Sens. 2019, 47, 1905–1916. [Google Scholar]
- McGuire, K.L.; Treseder, K.K. Microbial communities and their relevance for ecosystem models: Decomposition as a case study. Soil Biol. Biochem. 2010, 42, 529–535. [Google Scholar] [CrossRef]
- Wei, X.; Huang, Q.; Huang, S.; Leng, G.; Qu, Y.; Deng, M.; Han, Z.; Zhao, J.; Liu, D.; Bai, Q. Assessing the feedback relationship between vegetation and soil moisture over the Loess Plateau, China. Ecol. Indic. 2022, 134, 108493. [Google Scholar] [CrossRef]
- Camps, A.; Park, H.; Pablos, M.; Foti, G.; Gommenginger, C.P.; Liu, P.-W.; Judge, J. Sensitivity of GNSS-R spaceborne observations to soil moisture and vegetation. IEEE J. Sel. Top. Appl. Earth Obs. Remote Sens. 2016, 9, 4730–4742. [Google Scholar] [CrossRef]
- Ilstedt, U.; Nordgren, A.; Malmer, A. Optimum soil water for soil respiration before and after amendment with glucose in humid tropical acrisols and a boreal mor layer. Soil Biol. Biochem. 2000, 32, 1591–1599. [Google Scholar] [CrossRef]
- Yan, Z.; Qi, Y.; Li, S.; Dong, Y.; Peng, Q.; He, Y.; Li, Z. Research progress on the effects of increased precipitation and nitrogen deposition on grassland soil microorganisms and enzyme activities. Microbiology 2017, 44, 1481–1490. [Google Scholar]
- Luo, L.; Du, S. Research progress on the effect of rainfall gradient on temperature sensitivity of forest soil respiration. J. Northwest For. Univ. 2023, 38, 1–9. [Google Scholar]
- Peng, K.; Jiang, W.; Hou, P.; Sun, C.; Zhao, X.; Xiao, R. Spatial and temporal changes of vegetation and its influencing factors in Sanjiangyuan National Park. Chin. J. Ecol. 2020, 39, 3388–3396. [Google Scholar]
- Chen, H.; Shao, M.; Wang, K. Effects of initial soil water content on rainfall infiltration and soil water redistribution on slope. Agric. Eng. 2006, 22, 44–47. [Google Scholar]
- Yan, W.; Zhou, Q.; Peng, D.; Luo, Y.; Chen, M.; Lu, Y. Response of surface-soil quality to secondary succession in karst areas in Southwest China: Case study on a limestone slope. Ecol. Eng. 2022, 178, 106581. [Google Scholar] [CrossRef]
- Xu, M.; Gao, D.; Fu, S.; Lu, X.; Wu, S.; Han, X.; Yang, G.; Feng, Y. Long-term effects of vegetation and soil on the microbial communities following afforestation of farmland with Robinia pseudoacacia plantations. Geoderma 2020, 367, 114263. [Google Scholar] [CrossRef]
- Sun, L.; Zhang, G.; Luan, L.; Li, Z.; Geng, L. Distribution of surface soil organic carbon along precipitation gradient in loess hilly region. J. Appl. Ecol. 2016, 27, 532–538. [Google Scholar]
- Geng, L.; Zhang, G.; Hong, D.; Li, Z. Variation characteristics of soil aggregate stability along precipitation gradient in farmland grassland forest land of Loess Plateau. Agric. Eng. 2019, 35, 141–148. [Google Scholar]
- Puyang, X.; Wang, C.; Gou, Q.; Zhao, Z.; Huang, J. Study on the relationship between vegetation community characteristics and soil moisture in loess area of northern Shaanxi. Acta Pratacult. Sin. 2019, 28, 184–191. [Google Scholar]
- Institute of Soil Science, Chinese Academy of Sciences. Soil Physical Properties Determination Method; Science Press: Beijing, China, 1978; pp. 2, 4, 6. [Google Scholar]
- Bao, S. Soil Agrochemical Analysis; China Agriculture Press: Beijing, China, 2000; pp. 2–10. [Google Scholar]
- Li, P.; Zhang, X.; Hao, M.; Zhang, Y.; Chui, Y.; Zhu, S. Evaluation of reclaimed soil quality in mining area of Loess Plateau based on minimum data set. Agric. Eng. 2019, 35, 265–273. [Google Scholar]
- Yu, B.; Liu, G.; Liu, Q.; Feng, J.; Wang, X.; Chung, H.K.; Zhao, Z.; Yang, J. Soil nutrient effect of Robinia pseudoacacia forest with different years of returning farmland in loess hilly region of western Shanxi. J. Soil Water Conserv. 2016, 30, 188–193. [Google Scholar]
- Zhang, Z.; Ai, N.; Liu, G.; Liu, C.; Zong, Q.; Liu, J.; Hao, B. Soil quality characteristics of returning farmland to forest (grassland) and its response to precipitation in loess area of northern Shaanxi. Agric. Eng. 2020, 36, 73–80. [Google Scholar]
- Li, Q.; Xu, M.; Zhao, Y.; Gao, L.; Zhang, J.; Zhang, X. Soil quality evaluation of gully erosion on slope farmland in Loess Plateau. J. Nat. Resour. 2012, 27, 1001–1012. [Google Scholar]
- Shao, G.; Ai, J.; Sun, Q.; Hou, L.; Dong, Y. Soil quality assessment under different forest types in the Mount Tai, central Eastern China. Ecol. Indic. 2020, 115, 106439. [Google Scholar] [CrossRef]
- Jin, H.; Lou, D.; Zhang, Y.B.; Ye, J.; Na, Q. Evaluation of the quality of cultivated-layer soil based on different degrees of erosion in sloping farmland with purple soil in China. Catena 2021, 198, 105048. [Google Scholar] [CrossRef]
- Landesman, W.J.; Dighton, J. Response of soil microbial communities and the production of plant-available nitrogen to a two-year rainfall manipulation in the New Jersey Pinelands. Soil Biol. Biochem. 2010, 42, 1751–1758. [Google Scholar] [CrossRef]
- Tarafdar, J. Role of Soil Biology on Soil Health for Sustainable Agricultural Production, Structure and Functions of Pedosphere; Springer Nature: Singapore, 2022; pp. 67–81. [Google Scholar]
- Lakshmi, G.; Okafor, B.N.; Visconti, D. Soil microarthropods and nutrient cycling. In Environment, Climate, Plant and Vegetation Growth; Springer: Berlin/Heidelberg, Germany, 2020; pp. 453–472. [Google Scholar] [CrossRef]
- Tanner, S.; Ben-Hur, M.; Argaman, E.; Katra, I. The effects of soil properties and aggregation on sensitivity to erosion by water and wind in two Mediterranean soils. Catena 2023, 221, 106787. [Google Scholar] [CrossRef]
- Ren, C.; Chen, J.; Lu, X.; Doughty, R.; Zhao, F.; Zhong, Z.; Han, X.; Yang, G.; Feng, Y.; Ren, G. Responses of soil total microbial biomass and community compositions to rainfall reductions. Soil Biol. Biochem. 2018, 116, 4–10. [Google Scholar] [CrossRef]
- Guo, S.; Xu, Y.; He, C.; Wu, S.; Yang, G. Differential responses of soil quality in revegetation types to precipitation gradients on the Loess Plateau. Agric. For. Meteorol. 2019, 276–277, 107622. [Google Scholar] [CrossRef]
- Zheng, M.; Huang, G.; Peng, J. Pull-out resistance characteristics of Magnolia multiflora roots at different growth stages and stability of root slope. Agric. Eng. 2018, 34, 175–182. [Google Scholar]
- Giweta, M. Role of litter production and its decomposition, and factors affecting the processes in a tropical forest ecosystem: A review. J. Ecol. Environ. 2020, 44, 11. [Google Scholar] [CrossRef]
- Liu, G.; Chen, L.; Deng, Q.; Shi, X.; Lock, T.R.; Kallenbach, R.L.; Yuan, Z. Vertical changes in bacterial community composition down to a depth of 20 m on the degraded Loess Plateau in China. Land Degrad. Dev. 2020, 31, 1300–1313. [Google Scholar] [CrossRef]
- Xu, Z.; Zhang, N.; Wang, R.; Yang, X.; Sun, S.; Yan, T. Ecological Water Requirement of Different Vegetation Types in Bashang Area of Northwest Hebei Province. J. Resour. Ecol. 2022, 13, 113–119. [Google Scholar]
- Li, L.; Liang, X.; Ye, Y.; Zhao, Y.; Zhang, Y.; Jin, Y.; Yuan, J.; Chen, Y. Effects of repeated swine manure applications on legacy phosphorus and phosphomonoesterase activities in a paddy soil. Biol. Fertil. Soils 2015, 51, 167–181. [Google Scholar] [CrossRef]
- Huang, X.; Zhao, Y.; Xin, Z.; Qin, Y.; Yi, Y. Effects of typical land use patterns on soil physical and chemical properties and erodibility in Beijing mountainous area. Soil Water Conserv. 2015, 22, 5–10. [Google Scholar]
- Li, X.; Duan, Z.; Tan, M.; Chen, X. Study on the relationship between vegetation distribution and soil moisture under different precipitation conditions in the western hilly area of the Loess Plateau. Chin. J. Soil Sci. 2014, 45, 364–369. [Google Scholar]
- Bai, Y.; Su, J.; Cheng, J. Root biomass distribution of natural grassland in different enclosure periods in loess area. Sci. Grass Ind. 2013, 30, 1824–1830. [Google Scholar]
- Zhu, Y.; Du, L.; Xie, Y.; Liu, K.; Gong, F.; Yan, D.; Wang, L.; Zheng, Q. Spatial-temporal characteristics and climate response of grassland net primary productivity in Ningxia from 2000 to 2015. Acta Ecol. Sin. 2019, 39, 518–529. [Google Scholar]
- Xiong, Y.; Feng, T.; Wang, P.; Wu, X. Effects of long-term artificial forest restoration on soil moisture and nutrient properties in loess area of western Shanxi Province. J. Soil Water Conserv. 2022, 36, 228–237+246. [Google Scholar]
- Zhang, D.; Li, X.; Zhang, P. The significance of eco-hydrological threshold in the management of artificial vegetation ecosystem in sandy areas of China. Chin. Desert 2017, 37, 678–688. [Google Scholar]
- Liu, X.; Zhou, W.; Bai, Z. Vegetation coverage change and stability in large open-pit coal mine dumps in China during 1990–2015. Ecol. Eng. 2016, 95, 447–451. [Google Scholar] [CrossRef]
- Li, F.; Song, G.; Liujun, Z.; Yanan, Z.; Di, L. Urban vegetation phenology analysis using high spatio-temporal NDVI time series. Urban For. Urban Green 2017, 25, 43–57. [Google Scholar] [CrossRef]
- Len, X. Analysis of tree maintenance management in forestry engineering. New Agric. 2022, 16, 50–51. [Google Scholar]
- Li, Z.; Pan, J. Spatiotemporal changes in vegetation net primary productivity in the arid region of Northwest China, 2001 to 2012. Front. Earth Sci. 2018, 12, 108–124. [Google Scholar] [CrossRef]
- Liu, Q.; Mu, X.; Gao, P.; Zhao, G.; Sun, W.; Zhang, W.; Gao, Y.; Yang, S.; Qiu, T. A review of the effects of soil hydraulic erosion on and chemical indexes of soil quality. Soil Water Conserv. 2020, 27, 386–392. [Google Scholar]
- Chen, A.; Wang, G.; Chen, C.; Li, S.; Li, W. Stoichiometric characteristics of nitrogen and phosphorus in leaf-root-soil of Chinese fir forest at different ages in subtropical zone. Acta Ecol. Sin. 2018, 38, 4027–4036. [Google Scholar]
- Cai, Y.; Wang, H. Soil moisture dynamics of different vegetation types in hilly and gully region of Loess Plateau. Soil Water Conserv. 2006, 13, 79–81. [Google Scholar]
- Xia, J.; Ren, J.; Zhang, S.; Wang, Y.; Fang, Y. Forest and grass composite patterns improve the soil quality in the coastal saline-alkali land of the Yellow River Delta, China. Geoderma 2019, 349, 25–35. [Google Scholar] [CrossRef]
- Sun, J.; Xia, J.B.; Su, L.; Zhao, X.M.; Li, C.R. Soil amelioration of different vegetation types in saline-alkali land of the Yellow River Delta, China. Ying Yong Sheng Tai Xue Bao = J. Appl. Ecol. 2020, 31, 1323–1332. [Google Scholar]





| Precipitation Gradient | Annual Mean Precipitation/mm | Vegetation | Aspect | Restoration Years/a | Altitude/m | Slope/° | Crown Density/% | Diameter at Breast Height/cm | Base Diameter /cm | Tree Height/m |
|---|---|---|---|---|---|---|---|---|---|---|
| Changcheng | 400~410 | P × H | Shady slope | 30 | 1505.7 | 23 | 30 | 13.75 | / | 13.5 |
| HR | Shady slope | 8 | 1534.9 | 31 | 40 | / | 2.46 | 1.5 | ||
| GL | Shady slope | / | 1520.7 | 26 | 60 | / | / | / | ||
| Jinfoping | 440~445 | P × H | Shady slope | 30 | 1331.6 | 20 | 75 | 19.48 | / | 15 |
| HR | Shady slope | 8 | 1430 | 25 | 70 | / | 3.53 | 2 | ||
| GL | Shady slope | / | 1400.3 | 28 | 85 | / | / | / | ||
| Baibao | 460~470 | P × H | Shady slope | 30 | 1484.1 | 25 | 85 | 30.25 | / | 20 |
| HR | Shady slope | 8 | 1545 | 30 | 75 | / | 4.05 | 3 | ||
| GL | Shady slope | / | 1580.9 | 25 | 90 | / | / | / |
| Soil Indicators | Measurement Methods | Membership Functions |
|---|---|---|
| Soil water content (SWC) | Drying method. | Ascending membership function |
| Soil bulk density (BD) | Ring knife method. | Descending membership function. |
| Non-capillary porosity (NCP), total capillary porosity (TCP), capillary porosity (CP), maximum water-holding capacity (maxWHC), capillary water-holding capacity (CWHC) | Ring knife method. | Ascending membership function |
| Soil organic carbon content (SOC) | Potassium dichromate oxidation method. | Ascending membership function |
| Soil available potassium (AK) | NH4 OAc-flame photometry. | Ascending membership function |
| Soil alkali nitrogen (AN) | Alkaline hydrolysis-diffusion absorption method. | Ascending membership function |
| Soil available phosphorus (AP) | Extraction with 0.5 mol·L−1 NaHCO3 and silica-molybdenum blue colorimetry. | Ascending membership function |
| Soil total nitrogen (TN) | Sulfuric acid digestion-sodium salicylate and adjust with NaOH method. | Ascending membership function |
| Soil total phosphorus (TP) | NaOH melting-molybdenum antimony colorimetric method. | Ascending membership function |
| Soil pH | 1:2.5 soil-to-water ratio using a pH-320 m. | Descending membership function. |
| Electrical conductivity (EC) | Conductivity method. | Descending membership function. |
| Sample Plot | 400~410 mm | 440~445 mm | 460~470 mm | ||||||
|---|---|---|---|---|---|---|---|---|---|
| P × H | HR | GL | P × H | HR | GL | P × H | HR | GL | |
| SWC (%) | 8.07 ± 0.49 | 9.01 ± 0.31 | 9.55 ± 0.3 | 18.43 ± 0.33 | 17.32 ± 0.38 | 23.42 ± 1.23 | 20.02 ± 0.68 | 14.75 ± 1.35 | 19.04 ± 0.67 |
| Cb | Ca | Ca | Ba | Ab | Aa | Ab | Bc | Ba | |
| BD (g/cm3) | 1.38 ± 0.04 | 1.29 ± 0.02 | 1.38 ± 0.03 | 1.29 ± 0.09 | 1.31 ± 0.07 | 1.44 ± 0.09 | 1.16 ± 0.09 | 1.18 ± 0.04 | 1.15 ± 0.05 |
| Aa | Ab | Aa | ABa | Aa | Aa | Bb | Bb | Bb | |
| maxWHC (%) | 33.63 ± 1.34 | 39.8 ± 1.2 | 33.47 ± 0.42 | 37.65 ± 3.99 | 37.98 ± 2.4 | 30.46 ± 1.11 | 43.31 ± 5.17 | 43.37 ± 2.02 | 27.98 ± 3.8 |
| Bb | ABa | Ab | ABa | Ba | Bb | Aa | Aa | Ba | |
| CWHC (%) | 28.4 ± 0.4 | 35.25 ± 0.78 | 30.34 ± 0.58 | 34.01 ± 2.32 | 32.64 ± 0.9 | 28.75 ± 1.37 | 36.52 ± 2.39 | 37.59 ± 1 | 28.81 ± 1.53 |
| Bc | Ba | Bb | Aab | Cb | Bb | Aa | Aa | Ba | |
| NCP (%) | 7.51 ± 1.96 | 6.54 ± 1.73 | 4.91 ± 1.32 | 3.66 ± 1.9 | 6.72 ± 1.93 | 3.48 ± 0.44 | 8.48 ± 3.38 | 8.02 ± 2.66 | 10.52 ± 2.63 |
| Aa | Aa | Ba | Aa | Aab | Ba | Aa | Aa | Aa | |
| CP (%) | 39.23 ± 1 | 44.93 ± 0.82 | 41.4 ± 0.43 | 44.09 ± 1.27 | 42.26 ± 1.48 | 42.7 ± 1.18 | 42.12 ± 1.08 | 44.5 ± 0.91 | 41.86 ± 1.94 |
| Bc | Aa | Ab | Aa | Aa | Aa | Aa | Aa | Aa | |
| TCP (%) | 46.74 ± 1.64 | 51.48 ± 1.04 | 46.31 ± 1.65 | 47.75 ± 2.6 | 48.97 ± 1.16 | 46.18 ± 1.03 | 50.6 ± 3.03 | 52.52 ± 1.94 | 52.38 ± 2.38 |
| Ab | ABa | Bb | Aa | Ba | Bb | Aab | Aa | Aa | |
| SOC (g/kg) | 7.42 ± 0.49 | 7.28 ± 1.1 | 7.5 ± 3.47 | 8.32 ± 1.18 | 10.9 ± 4.03 | 2.99 ± 0.69 | 10.55 ± 0.96 | 8.42 ± 1.72 | 14.24 ± 1.33 |
| Ba | Aa | Ba | Ba | Aa | Bb | Aa | Aa | Aa | |
| EC (μs/cm) | 75.64 ± 2.26 | 90.63 ± 8.73 | 78.09 ± 7.14 | 89.4 ± 3.23 | 90.32 ± 5.48 | 82.15 ± 6.96 | 91.43 ± 4.52 | 91.75 ± 5.39 | 92.6 ± 6.05 |
| Ba | Aa | Aa | Aa | Aa | Aa | Aa | Aa | Aa | |
| pH | 8.43 ± 0.05 | 8.43 ± 0.14 | 8.38 ± 0.07 | 8.35 ± 0.06 | 8.17 ± 0.07 | 8.44 ± 0.13 | 8.27 ± 0.09 | 8.29 ± 0.09 | 8.14 ± 0.08 |
| Aa | Aa | Aa | Ba | Bb | Aa | Cb | ABb | Bb | |
| AN (mg/kg) | 0.75 ± 0.45 | 1.17 ± 0.52 | 1.79 ± 0.86 | 0.88 ± 0.58 | 5.79 ± 2.49 | 0.89 ± 0.1 | 4.83 ± 0.5 | 10.43 ± 0.96 | 6.13 ± 1.32 |
| Ba | Ca | Ba | Bb | Ba | Bc | Ab | Aa | Aa | |
| AP (mg/kg) | 5.84 ± 1.33 | 4.99 ± 0.37 | 6.25 ± 2.3 | 6.12 ± 0.49 | 7.79 ± 1.2 | 7.09 ± 0.21 | 7.37 ± 1.28 | 7.73 ± 2.17 | 8.27 ± 0.75 |
| Aa | Aa | Aa | Ab | Aab | Aa | Aa | Aa | Aa | |
| AK (mg/kg) | 57.89 ± 4.51 | 64.33 ± 7.42 | 33.11 ± 8.96 | 96.56 ± 6.43 | 38 ± 11.51 | 53.78 ± 8.16 | 105.67 ± 8.21 | 73.22 ± 5.92 | 42 ± 6.72 |
| Ba | Ba | Bb | Aa | Ab | Ac | Aa | Ab | ABb | |
| TN (g/kg) | 0.1 ± 0.03 | 0.28 ± 0.13 | 0.22 ± 0.06 | 0.42 ± 0.14 | 0.46 ± 0.2 | 0.23 ± 0.06 | 0.37 ± 0.17 | 0.6 ± 0.22 | 0.2 ± 0.07 |
| Aa | Aa | Aa | Aa | Aa | Aa | Aa | Aa | Aa | |
| TP (g/kg) | 0.27 ± 0.06 | 0.18 ± 0.04 | 0.09 ± 0.02 | 0.25 ± 0.08 | 0.09 ± 0.03 | 0.08 ± 0.04 | 0.11 ± 0.05 | 0.14 ± 0.03 | 0.08 ± 0.03 |
| Aa | Aa | Ab | ABa | Bb | Aa | Ba | ABa | Ab | |
Disclaimer/Publisher’s Note: The statements, opinions and data contained in all publications are solely those of the individual author(s) and contributor(s) and not of MDPI and/or the editor(s). MDPI and/or the editor(s) disclaim responsibility for any injury to people or property resulting from any ideas, methods, instructions or products referred to in the content. |
© 2023 by the authors. Licensee MDPI, Basel, Switzerland. This article is an open access article distributed under the terms and conditions of the Creative Commons Attribution (CC BY) license (https://creativecommons.org/licenses/by/4.0/).
Share and Cite
Xiang, T.; Qiang, F.; Liu, G.; Liu, C.; Liu, Y.; Ai, N.; Ma, H. Soil Quality Evaluation of Typical Vegetation and Their Response to Precipitation in Loess Hilly and Gully Areas. Forests 2023, 14, 1909. https://doi.org/10.3390/f14091909
Xiang T, Qiang F, Liu G, Liu C, Liu Y, Ai N, Ma H. Soil Quality Evaluation of Typical Vegetation and Their Response to Precipitation in Loess Hilly and Gully Areas. Forests. 2023; 14(9):1909. https://doi.org/10.3390/f14091909
Chicago/Turabian StyleXiang, Ting, Fangfang Qiang, Guangquan Liu, Changhai Liu, Yingfei Liu, Ning Ai, and Huan Ma. 2023. "Soil Quality Evaluation of Typical Vegetation and Their Response to Precipitation in Loess Hilly and Gully Areas" Forests 14, no. 9: 1909. https://doi.org/10.3390/f14091909
APA StyleXiang, T., Qiang, F., Liu, G., Liu, C., Liu, Y., Ai, N., & Ma, H. (2023). Soil Quality Evaluation of Typical Vegetation and Their Response to Precipitation in Loess Hilly and Gully Areas. Forests, 14(9), 1909. https://doi.org/10.3390/f14091909

