Next Article in Journal
Using Functional Traits to Improve Estimates of Height–Diameter Allometry in a Temperate Mixed Forest
Previous Article in Journal
Deepening the Accuracy of Tree Species Classification: A Deep Learning-Based Methodology
 
 
Font Type:
Arial Georgia Verdana
Font Size:
Aa Aa Aa
Line Spacing:
Column Width:
Background:
Article

Comparison of Intra-Event Characteristics of Hydrogen and Oxygen Stable Isotopes between Rainfall and Throughfall and the Effects of Pre-Event Precipitation

1
School of Geography and Tourism, Chongqing Normal University, Chongqing 401331, China
2
State Key Laboratory of Hydraulics and Mountain River Engineering, Sichuan University, Chengdu 610065, China
*
Author to whom correspondence should be addressed.
Forests 2023, 14(8), 1603; https://doi.org/10.3390/f14081603
Submission received: 30 June 2023 / Revised: 30 July 2023 / Accepted: 4 August 2023 / Published: 9 August 2023
(This article belongs to the Section Forest Hydrology)

Abstract

The isotopic composition of precipitation provides valuable information about its source and transportation. However, raindrops interact with vegetation before reaching the earth’s surface, leading to isotopic changes in the infiltrating water. Comparing isotopic composition between rainfall and throughfall helps to understand canopy processes and their impact on isotopic variation. Based on observational data collected during the periods of July 2019, July–August 2020, and July–August 2021 in a planted forest located in the southwest monsoon region of China, this study examines hydrogen and oxygen isotopes in rainfall and throughfall at event and intra-event scales, and investigates the effects of pre-event precipitation (PEP) on the isotopic composition. The results indicate that during the initial stage of precipitation, δ18O was enriched in rainfall and it presented a dilution effect gradually, while the d-excess exhibits a low initial value followed by an increasing trend. The difference in δ18O between throughfall and rainfall initially increased and subsequently converged around 0, whereas the difference in d-excess experiences a decreasing phase, followed by an increasing phase, and finally a decreasing phase. Canopy interception led to a lag effect during the early stage of precipitation; the forest exhibited higher water vapor content compared to open land in the intermediate stage, which reduced the degree of non-equilibrium fractionation in throughfall, and the flow pathway enhanced in the later stage. Evaporation processes become more prominent as precipitation intensity weakens. The rainfall and throughfall were influenced by distinct meteorological factors in different precipitation events, and the role of the forest canopy varied across different precipitation periods. PEP was found to augment the intercept and slope of the linear relationship between the H-O isotopic composition of throughfall and rainfall. This pre-event effect also contributes to heightened fluctuations in the δ18O and d-excess values during subsequent precipitation events. The findings contribute to understanding water dynamics, vegetation interception, and mechanisms governing water input in forested areas during precipitation events, which provides valuable insights for analyzing factors influencing water movement in forest ecosystems.

1. Introduction

Precipitation is an important part of the hydrological cycle and plays a vital role in ecosystem function and water resources management. Understanding the temporal and spatial variation of rainfall and its subsequent interaction with terrestrial environment is of great significance in many scientific fields, including hydrology, ecology and climatology. The isotopic composition of precipitation serves as a comprehensive indicator of various atmospheric processes, encompassing evaporation, condensation, and the spatial origins of water vapor. Consequently, it offers valuable insights into the sources and transport mechanisms of precipitation [1,2,3,4,5]. However, once the raindrop reaches the earth’s surface, it will interact with vegetation, soil and other components of the ecosystem in a complicated way, potentially leading to significant isotopic changes in the water that eventually penetrates into the soil and is used by plants [6,7,8]. Throughfall represents a subset of rainfall intercepted by vegetation canopy and dripping to the surface, which is the main water source for vegetation growth in the forest [9], and affects the succession process of forest communities [10]. By comparing the isotopic composition between rainfall and throughfall, the biophysical processes in the canopy and its influence on the isotopic characteristics of throughfall can be deeply understood [11,12].
The effect of canopy interception on the redistribution, storage and evaporation of precipitation has always been a hot issue in eco-hydrology studies. Extensive investigations have been conducted worldwide to examine the spatial variability of throughfall, the quantity of rainfall intercepted by the canopy, and forest evapotranspiration for representative tree species. Since the 1980s, the behaviors of hydrogen and oxygen isotopes in throughfall and their influencing factors were explored in different ecosystems and under different climate types. For example, previous studies have revealed the multiple mechanisms of precipitation fractionation caused by vegetation interception, including partial evaporation, intra-event selection and inter-event selection [13,14]. Xu et al. (2014) distinguished the dominance of these mechanisms in artificial pine forests and natural eucalyptus forests in South Australia by establishing a comprehensive conceptual model [15]. The results show that the intra-event and inter-event selection processes are the main controlling factors of throughfall isotopes in summer, and the role of partial evaporation is not as important as the two types of selection processes. Allen et al. (2014) attributed the isotope difference between throughfall and rainfall to three mechanisms: evaporation fractionation, exchange and redistribution with surrounding water vapor, and mixing with previously stored water in the canopy [16]. Previously, many studies on isotopes in precipitation and throughfall are conducted on annual, seasonal, monthly and event scales. However, a longer time scale may hide the rich information reflected by precipitation isotope changes within the event, which is the result of rapid responses to atmospheric parameter changes. By scrutinizing the isotopic fluctuations in rainfall and throughfall during distinct events, it is possible to elucidate the impact of alterations in the weather system and precipitation source on the precipitation at each stage of the precipitation process. By conducting meticulous analysis of the isotopic differences between throughfall and precipitation at the intra-event scale, a more comprehensive understanding of the role of the canopy during different precipitation periods can be attained. Limited previous studies have explored the temporal dynamics of isotopic variations within a single precipitation event, and compared the isotopic signatures of rainfall and throughfall, which have provided important contributions to our understanding of water dynamics within forest canopies. For example, Cayuela et al. (2018) conducted automatic sampling of throughfall and rainfall at 5 mm intervals in the Val Cebret basin in northeastern Spain, and found that evaporation and isotope exchange had a greater impact in the early stage of precipitation events, while the canopy selection process had a greater impact in the later stage [12]. The canopy selection refers to the process by which the vegetation canopy selects and modifies the isotopic composition of rainfall as it passes through. This phenomenon occurs in forested or vegetated areas, where the tree leaves and other vegetation interact with rainwater, causing changes in its isotopic signature. Pinos et al. (2020) observed a substantial initial elevation in the oxygen stable isotope difference (Δδ18OTF-RF) between throughfall and rainfall during the onset of rainfall, which subsequently decreased as accumulated precipitation increased [17]. Notably, this particular index was not found to be directly associated with meteorological variables, raindrop properties, or throughfall amount. However, studies investigating the comparison of isotopes between precipitation and throughfall are relatively scarce in the context of sub-tropical monsoon climate areas. There remains a notable gap in understanding the intra-event characteristics of stable isotopes within this specific climatic zone.
The isotopic composition of rainfall and throughfall is influenced by pre-event weather conditions, including prior precipitation and the sources of moisture. Pre-event precipitation (PEP) plays a critical role in altering hydrological connectivity and water storage within the ecosystem, thereby influencing the distribution of rainfall and throughfall during evaporation and infiltration processes. Consequently, the isotopic composition of throughfall may diverge from that of rainfall due to the selective retention or depletion of specific isotopes during pre-event processes [11]. Exploring the impact of PEP on the isotopic attributes of rainfall and throughfall yields crucial insights into comprehending the water dynamics within the ecosystem [18]. Nevertheless, limited research has been conducted regarding the influence of PEP on the hydrogen and oxygen isotopic composition of subsequent precipitation presently, particularly within the context of the subtropical monsoon climate zone. This study leverages isotopic observations and meteorological data to conduct a comparative analysis of the hydrogen and oxygen isotopes in rainfall and throughfall at both the event and intra-event scales and investigate the impact of PEP on the stable isotopes of hydrogen and oxygen, aiming to unveil the distinct responses of various precipitation periods to variations in weather systems and precipitation sources, with an additional goal of elucidating the role of the forest canopy under diverse precipitation conditions. The findings of this study will help elucidate the mechanisms underlying the alteration of water input into forested regions during precipitation events and provide valuable information for analyzing the factors influencing water movement and transformation within forest ecosystems.

2. Materials and Methods

2.1. Study Area

The study area is located in the southwest suburb of Chengdu, southwest China, which is a planted arbor forest area (103°59′ E, 30°33′ N). The main plant types are pueraria lobata and Tenjikukatsura. The geographic location of the study area is shown in Figure 1. The study area exhibits an annual average temperature of 16.3 °C with extreme maximum temperatures reaching 37.5 °C, and extreme minimum temperatures dropping to −4.6 °C. The average annual precipitation is recorded as 855.8 mm. The region experiences an annual average relative humidity of 83%, accompanied by 957.6 h of sunshine. The average annual evaporation is measured at 907.5 mm. Previous studies have demonstrated that Chengdu is subjected to the influences of both Pacific high-pressure systems and Indian Ocean low-pressure systems during the rainy season, due to its geographical location along the migration trajectory of marine air masses towards inland arid regions. The monsoon precipitation in Chengdu primarily originates from marine air masses characterized by elevated humidity and diminished evaporation [19,20]. Affected by topography and monsoon climate, the precipitation in Chengdu is mostly concentrated between June and September, and the precipitation from July to August accounts for about 47% of the total precipitation of the whole year.

2.2. Sampling Collection and Analysis

In this experiment, fixed-point observation and sampling were carried out in July 2019, July–August 2020 and July–August 2021, which were months with the most concentrated precipitation in Chengdu. Meteorological data from the “World Meteorology” website (https://rp5.ru/, accessed on 1 June 2023) shows that the mean temperatures are 24.7 °C, 25.0 °C and 25.9 °C in the observation periods of the 3 summers. The cumulative precipitation amounts are 362 mm, 1720 mm and 858 mm in the observation periods of the 3 summers. The relative humidities at 2 m level above land are 88%, 85% and 81% in the observation periods of the 3 summers. Therefore, the 3 periods serve as representatives of summers with different precipitation conditions. A plastic bucket with a diameter of 15 cm and a height of 21 cm was selected as the collector for rainfall and throughfall. Heavy blocks were placed in the bucket to ensure its stability. A funnel with an inner diameter of 32 cm was positioned at the bucket’s opening with a ping-pong ball strategically placed within the funnel to minimize the evaporation of rainwater. Event-scale precipitation samples (including rainfall and throughfall) were promptly collected upon the cessation of rainfall. To capture the dynamics of precipitation within the event, sampling intervals were established at specific time points, namely 15 min, 30 min, 60 min, 120 min, and 180 min from the commencement of rainfall. Subsequent sampling intervals of 60 min were maintained until the end of the rainfall event. During the sample collection, expeditiously transfer the rainwater gathered in the collector into a 10 mL high-density polyethylene bottle. Subsequently, the bottle was tightly sealed with a sealing film, and stored in a refrigerated environment to maintain low temperature, thereby preventing any potential isotope fractionation. Event and intra-event precipitation amounts were measured by a SM7001B tipping bucket rain gauge. Temperature and humidity meters were utilized to monitor real-time temperature and relative humidity during rainfall events. Simultaneously, meteorological data obtained from the Chengdu Meteorological APP and China Weather Network were recorded to complement the measured data.
During this study, samples in 84 rainfall events and 78 throughfall events were collected. Additionally, samples of 33 rainfall events and 30 throughfall events were collected at the intra-event scale. The statistical results of total rainfall duration are presented in Table 1. Based on the cumulative duration of rainfall and the designated sampling intervals, the collected event-scale rainfall and throughfall events were categorized into six distinct groups: <15 min, 15 to 30 min, 30 to 60 min, 60 to 120 min, 120 to 300 min, and >300 min.
When discussing the influence of PEP on isotopic composition, some events with very low pre-event precipitation (i.e., amount < 2 mm) were not included in the analysis to avoid unexpectable bias. Therefore, only 70 out of 84 rainfall events and 65 out of 78 throughfall events are identified as events with (or without) PEP in the event scale; 29 out of 33 rainfall events and 27 out of 30 throughfall events are identified as events with (or without) PEP in the intra-event scale.
The sample measurements were conducted at the Hydrology and Water Resources Laboratory of Sichuan University. To analyze the isotopic composition of water, a triple-liquid water isotope analyzer (T-LWIA-45-EP (912-0050)) manufactured by Los Gatos Research (LGR) Company was employed. This instrument facilitated automated and continuous measurements of δ18O and δD values in water. The measurement error of the instrument was determined to be δ18O < 0.08‰ and δD < 0.3‰. Prior to sample measurement, a 1 mL sample was injected using a syringe through a 0.45 μm filter membrane to ensure the removal of impurities from the water sample. Subsequently, the filtered water sample was transferred into a 2.5 mL glass measuring bottle. Each sample underwent six automatic measurements by the instrument. During the instrument measurement process, LGR3C, LGR4C, and LGR5C served as quality control standard samples. These standards were calibrated by LGR Company using two standard water samples, VSMOW-2 and SLAP-2, and prepared using OA-ICOS technology. The sample data was processed using LGR Post-Processing Software 3.1.0.9, resulting in the calculation of δ18O and δD values.

3. Results and Discussions

3.1. Variations of δ18O and D-Excess in Rainfall and Throughfall at Intra-Event Scale

The variations of δ18O (’δ18ORF) and d-excess (’d-excessRF) in rainfall, as well as the differences in δ18O (Δ’δ18OTF-RF) and d-excess (Δ’d-excessTF-RF) between throughfall and rainfall at the intra-event scale are shown in Figure 2. During the initial phase of precipitation, the ’δ18ORF exhibits its highest values, while the observable changes in the first two intervals are less pronounced. As precipitation advanced, the overall ’δ18ORF tended to diminish. This trend can be attributed to the presence of substantial quantities of heavy isotopes within the cloud during the early stage of precipitation. As the precipitation progressed, the heavy isotopes underwent preferential condensation and dropped down, thereby causing a gradual reduction in the heavy isotope contents within raindrops during the subsequent stages of precipitation. As depicted in Figure 2b, the ’d-excessRF exhibited a generally low value during the initial 15 min of precipitation, followed by a slight declining trend from 30 to 60 min, and a subsequent gradual increase in the remaining time intervals. This observed behavior can be attributed to the progressive rise in water vapor saturation within the ambient atmosphere. Consequently, the sub-cloud secondary evaporation effect, which pertains to the process of evaporation experienced by raindrops descending from cloud bases to the earth’s surface, diminished greatly, leading to a gradual reduction in non-equilibrium fractionation.
Figure 2c reveals a discernible increasing trend in Δ’δ18OTF-RF during the initial three precipitation periods (0–15 min, 15–30 min, and 30–60 min). Such behavior can be attributed to the combined influence of canopy interception, evaporation fractionation-induced isotope enrichment, and selection effect-induced isotope depletion. Consequently, a noticeable time lag in isotopic composition was observed between throughfall and rainfall. Specifically, the collected throughfall within the event encompassed rainwater intercepted by the canopy during these stages, resulting in a greater presence of heavy isotope-enriched water. As a result, the δ18O content within the collected throughfall surpassed that of the corresponding rainfall during the current stage. During the time intervals of 60–120 min and 120–300 min, Δ’δ18OTF-RF exhibited a decrease in value. Subsequently, following precipitation exceeding 300 min, Δ’δ18OTF-RF displayed a slight upward trend while generally fluctuating around 0. As the rainfall persisted, the canopy became increasingly saturated, facilitating a greater flow path for throughfall and thereby reducing the time lag from the canopy to the land. Consequently, the isotopic disparity between the throughfall and rainfall diminished, leading to the observed decrease in Δ’δ18OTF-RF. However, towards the end of precipitation, a minor increase in evaporation typically occurred due to the reduction in air humidity.
As depicted in Figure 2d, the median value of Δ’d-excessTF-RF exhibited a decline during the initial stages of precipitation (from 0–15 min to 15–30 min). Subsequently, this index demonstrated an increase during the period from 30 to 300 min, followed by a decrease after 300 min. Cayuela et al. (2018) observed an increase in the d-excess difference between rainfall and throughfall throughout the entire precipitation process [12]. In this study, the shortened time interval for precipitation sampling enabled the detection of more nuanced variations in Δ’d-excessTF-RF. During the initial stages of precipitation, the high level of water vapor unsaturation resulted in a low d-excess value in raindrops due to sub-cloud secondary evaporation occurring. During the 0–15 min period, a portion of the initial precipitation with a low d-excess value was intercepted by the canopy, resulting in the collected throughfall exhibiting a higher d-excess value. Consequently, the median value of Δ’d-excessTF-RF exceeded 0. Subsequently, a portion of the intercepted pre-event precipitation fell and was collected during the 15–30 min period, leading to a d-excess increase of the precipitation in this event. As a result, the Δ’d-excessTF became negative. As the precipitation progressed, the Δ’d-excessTF-RF increased and exceeded 0, indicating that the d-excess of the intra-event throughfall was higher than that of the rainfall. Such observation may be attributed to the elevated water vapor content within the forest compared with that in the open land, resulting in a reduced degree of non-equilibrium fractionation in the throughfall. During the final period of precipitation, a slight decrease in Δ’d-excessTF-RF was observed. This could be attributed to the attenuation of precipitation intensity and the intensified interception and evaporation processes within the canopy, which consequently led to a reduction in the d-excess value of the intra-event throughfall.

3.2. Influencing Factors of the Intra-Event Isotopic Differences between Throughfall and Rainfall

Two precipitation events, occurring in 16 July 2020, and 22 August 2021, were chosen as cases from the collected samples due to their prolonged duration and comprehensive meteorological characteristics. These selected events were further analyzed to investigate the factors influencing the stable isotope differentiation between rainfall and throughfall at the intra-event scale. The variations of meteorological elements (i.e., temperature, relative humidity, precipitation amount and precipitation intensity), δ18O and d-excess values of these two precipitation events are shown in Figure 3 and Figure 4.
As shown in Figure 3, during the event that occurred on 16 July 2020, the total precipitation amounted to 36.8 mm, persisting for a duration of 12 h. Notably, the intensity of precipitation was observed to be highest within the initial 120 min, reaching a peak of 11.8 mm/h. Subsequently, the intensity gradually diminished over time, accompanied by temperature fluctuations ranging between 23.4 °C and 24.9 °C, as well as relative humidity varying from 83.4% to 97%. The isotopic composition of ’δ18ORF ranged from −13.09‰ to −11.14‰, while that of ’δ18OTF exhibited a range from −12.88‰ to −11.57‰. Over the course of the event, both indicators demonstrated a declining pattern. The ’d-excessRF exhibited a range of 3.85‰ to 14.75‰, while the ’d-excessTF ranged from 8.40‰ to 12.21‰. Results from the correlation analysis indicate a negative correlation between ’δ18ORF and ’d-excessRF with accumulated precipitation (p < 0.05), highlighting a significant “precipitation amount effect”. Furthermore, Δ18OTF and Δd-excessTF displayed negative correlations with accumulated precipitation (p < 0.01) and exhibited significant correlations with precipitation intensity (p < 0.05). During the initial 30 min of precipitation, the intra-event throughfall exhibited a greater depletion in δ18O due to the influence of the “selection process”, resulting in higher d-excess values. Subsequently, from 60 to 360 min, certain rainwater underwent interception and evaporation before reaching the land surface, as the precipitation intensity decreased noticeably. This led to a discernible lag effect of isotope signals caused by the initial interception, indicating isotopic enrichment in throughfall. In the three time intervals of 360–540 min, 540–660 min, and 660–720 min, throughfall displayed alternating patterns of δ18O enrichment and depletion. In addition to the accumulated precipitation and precipitation intensity, ’d-excessTF exhibited a positive correlation with relative humidity, while δ18O demonstrated a negative correlation (p < 0.05). During these three periods, the accumulated precipitation surpassed 30 mm, resulting in complete wetting of the canopy surface, accompanied by consistently low precipitation intensity. As air humidity increased, the isotopic composition of throughfall was likely to be influenced by processes such as water vapor exchange, selective effects, and subtle evaporation fractionation.
As shown in Figure 4, during the precipitation event that occurred on 22 August 2021, the total precipitation recorded was 16.6 mm, spanning a duration of 7 h. The precipitation intensity exhibited fluctuations, with the maximum value observed at 360 min, reaching 6.2 mm/h. Concurrently, the temperature exhibits variations within the range of 21 °C to 24 °C, while relative humidity ranges between 84% and 99%. The ’δ18ORF values exhibit a variation range of −16.59‰ to −10.64‰, while the ’δ18OTF values range from −15.90‰ to −10.84‰, both displaying an “L” shaped trend. The ’d-excessRF values range from 3.54‰ to 17.03‰, whereas the ’d-excessTF values range from 4.92‰ to 16.27‰. Notably, ’δ18ORF exhibits a significant correlation with temperature (p < 0.001), relative humidity (p < 0.01), and accumulated precipitation (p < 0.05). ’D-excessRF demonstrates a significant correlation with temperature (p < 0.01) and relative humidity (p < 0.05). ’D-excessTF exhibits a significant correlation with temperature (p < 0.001), relative humidity (p < 0.01), and accumulated precipitation (p < 0.01), while ’δ18OTF demonstrates a significant correlation with temperature (p < 0.01) and relative humidity (p < 0.01). The positive correlation and statistical significance observed between ’δ18ORF and ’δ18OTF with temperature suggests a prominent reduction in heavy isotopes during the initial stages of precipitation, corresponding to rapid temperature changes. This pattern indicates the “temperature effect” on the isotopic composition. Han et al. (2020) indicated that the “L” shaped pattern observed in precipitation isotopes can be attributed to robust water vapor convection and the subsequent ascent of precipitation clouds during the initial stages. This ascent resulted in a reduction in condensation temperature, leading to a rapid decline in δ18O values [21]. At the first 30 min after the onset of precipitation, ’δ18ORF and ’δ18OTF exhibited close proximity, while ’d-excessTF demonstrated a significant increase, potentially attributable to the concurrent impact of intra-event selection and evaporation fractionation. Between 60 and 240 min, the δ18O values in throughfall exhibited a higher enrichment compared to those in rainfall. This divergence occurred despite minimal changes in cumulative precipitation and a sustained high level of relative humidity. The disparity can be attributed to the influence of delayed rainwater release resulting from canopy interception, whereby isotope-depleted rainwater in the later stages mixed with isotope-enriched rainwater within the canopy. In the latter stages of precipitation, δ18ORF and ’δ18OTF alternated in their changes, while ’d-excessTF exhibited higher values. This pattern arose from lower temperatures, higher relative humidity, and reduced non-equilibrium fractionation of throughfall during this phase.

3.3. Effects of PEP on the Isotopic Composition of Rainfall and Throughfall

Events that experienced precipitation within a 12 h timeframe prior to the current precipitation event are categorized as events with PEP. In the collected precipitation records spanning three summers, a total of 27 rainfall events and 26 throughfall events were identified as events with PEP. Conversely, there were 43 rainfall events and 39 throughfall events recorded as events without PEP. The correlation between δD and δ18O in rainfall and throughfall events is established separately for cases with and without PEP, as illustrated in Figure 5. In the presence of PEP, the stable isotope relationship between hydrogen and oxygen in rainfall events can be expressed as follows: δD = 8.22δ18O + 12.39 (R2 = 0.99, n = 27, p < 0.001), and the relationship in throughfall can be expressed as follows: δD = 8.25δ18O + 13.37 (R2 = 0.99, n = 26, p < 0.001). The intercept and slope of the δD-δ18O linear relationship in both rainfall and throughfall surpass the values of the global meteoric water line (GMWL, δD = 8δ18O + 10) [22]. Without the presence of PEP, the stable isotope relationship between hydrogen and oxygen in rainfall events can be expressed as follows: δD = 7.76δ18O + 5.98 (R2 = 0.98, n = 43, p < 0.001) and the relationship in throughfall can be expressed as follows: δD = 7.86δ18O + 7.92 (R2 = 0.98, n = 39, p < 0.001). The intercept and slope of the linear H-O relationship of both types of rainwater exhibit values lower than those of GMWL. The slope of the regression line representing the hydrogen and oxygen isotopes signifies the relative fractionation rates of deuterium and oxygen-18, while the intercept indicates the extent of deviation of deuterium from the equilibrium state. In the presence of PEP, the “water line” exhibits a steeper slope and higher intercept, indicating that PEP maintains higher atmospheric humidity levels to some extent prior to the subsequent precipitation event, thereby reducing the secondary evaporation effect during the sub-cloud descent of raindrops.
The δ18O difference between throughfall and rainfall (ΔPδ18OTF-RF), the d-excess difference between throughfall and rainfall (ΔPd-excessTF-RF), the stable isotope difference between the rainfall in the current event and the preceding event (Δδ18ORF-PRF), and the d-excess difference between the rainfall in the current event and the preceding event (Δd-excessRF-PRF) are calculated for events with PEP. The result of the linear regression analysis, as illustrated in Figure 6, reveals a moderate negative correlation (R2 = 0.36, p < 0.01) between ΔPδ18OTF-RF and Δδ18ORF-PRF. This finding suggests that the isotopic composition of preceding precipitation has a substantial impact on the isotopic composition of throughfall. Nevertheless, no significant correlation was observed between ΔPd-excessTF-RF and Δd-excessRF-PRF. Allen et al. (2014) pointed out that in situations characterized by elevated relative humidity, the impact of fractionation on d-excess is negligible [16]. Consequently, d-excess can serve as an indicator for examining the extent of residual rainwater mixing in the canopy. However, a weak correlation between ΔPδ18OTF-RF and Δδ18ORF-PRF arose due to the influence of non-equilibrium fractionation. The findings of the previous investigation diverge from those of this study conducted in the planted forest area of Chengdu. Several factors may contribute to the lack of significance between ΔPd-excessTF-RF and Δd-excessRF-PRF. These factors include the limited water storage capacity of the canopy resulting from the specific tree species, substantial fluctuations in meteorological conditions during monsoon precipitation, and potential biases arising from irregular sampling intervals. The moderate negative correlation observed between ΔPδ18OTF-RF and Δδ18ORF-PRF may be attributed to the robust mixing effect between incoming precipitation and previously stored precipitation within the canopy. Furthermore, atmospheric saturation beneath the canopy induced by prior precipitation events may suppress fractionation during the landing process of raindrops, thus contributing to the observed correlation.
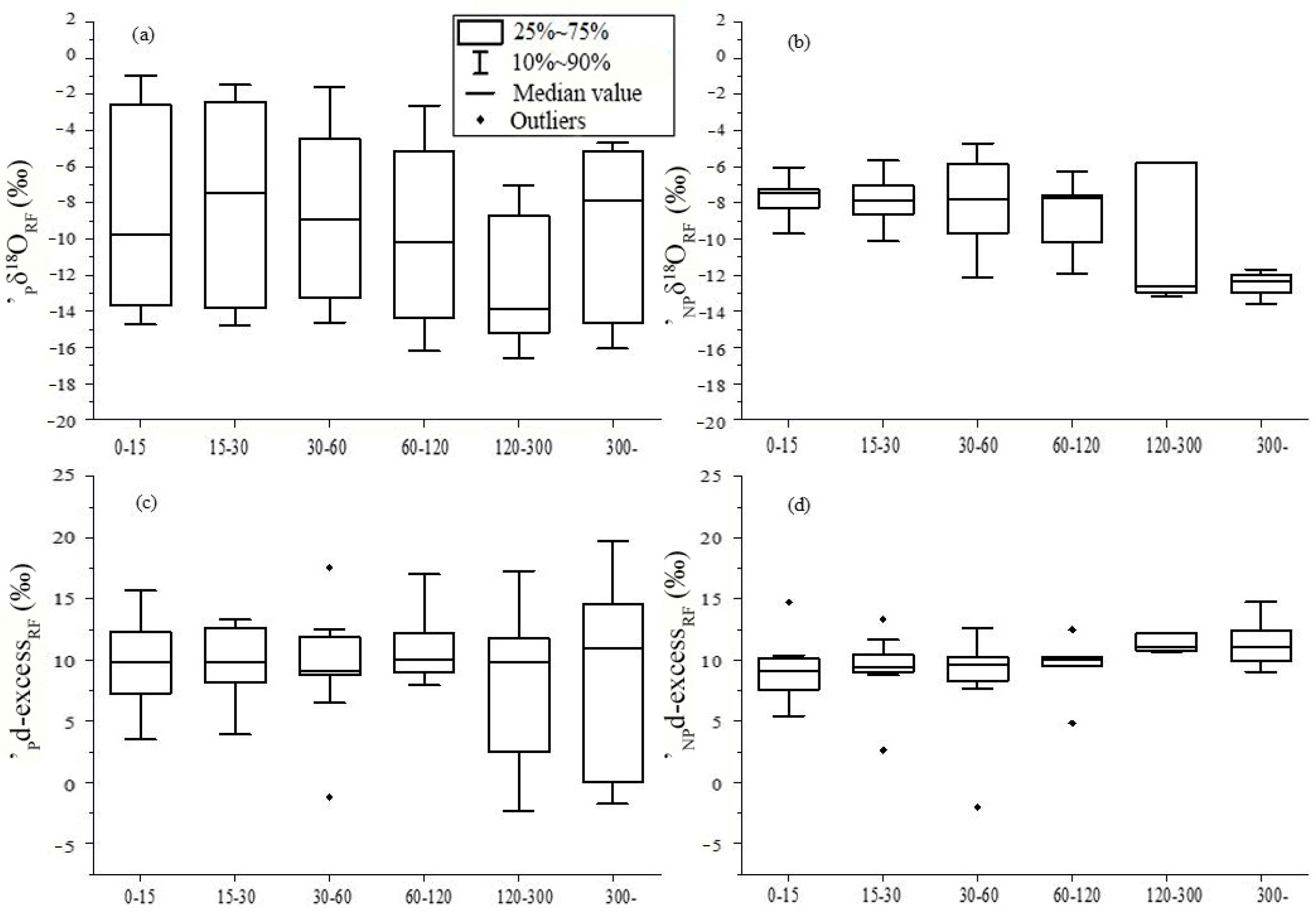
For the intra-event records, a total of 15 rainfall events with PEP were identified, along with corresponding throughfall events. Additionally, there were 14 rainfall events without PEP and 12 throughfall events without PEP. The temporal fluctuations of δ18O and d-excess in throughfall, at an intra-event scale, are presented in Figure 7 for both cases with and without PEP. As shown in Figure 7a,b, the δ18O values for intra-event rainfall with PEP (’Pδ18ORF) are relatively low during the initial 0–15 min period. Subsequently, during the 15–30 min period, the ’Pδ18ORF values gradually increased and approached the δ18O (’NPδ18ORF) values for intra-event rainfall without PEP. Throughout the subsequent four periods (15–30 min, 30–60 min, 60–120 min, and 120–300 min), both ’Pδ18ORF and ’NPδ18ORF exhibited a trend of dilution. In the final period (300 min), the ’Pδ18ORF displays evident enrichment, and the variation range of ’Pδ18ORF was larger than that of ’NPδ18ORF in each period. As shown in Figure 7c,d, during the 0–15 min period, the d-excess of rainfall with PEP is higher compared to that without PEP. However, in the subsequent periods, the median values of both types exhibit similarity. The variation range of ’Pd-excessRF in each period was broader than that of ’NPd-excessRF. These observations suggest that PEP can induce significant fluctuations in δ18O and d-excess during subsequent precipitation events. Specifically, at the early stage of precipitation, δ18O exhibited greater depletion, accompanied by a weakened non-equilibrium fractionation effect experienced by raindrops. ’Pδ18ORF exhibited greater depletion compared to ’NPδ18ORF during the initial stage of precipitation, suggesting a delayed replenishment from new water vapor source following the PEP. Additionally, ’Pd-excessRF is higher than ’NPd-excessRF at the early stage of precipitation, possibly due to the elevated atmospheric humidity resulting from PEP. On the one hand, the occurring of pre-event precipitation promotes the contribution of local recycled moisture to the precipitation moisture, causing the higher d-excess value in the subsequent precipitation. On the other hand, the higher atmospheric humidity caused by pre-event precipitation led to the weak evaporation, dampening the decrease of d-excess value in the subsequent precipitation.
Figure 8 displays the intra-event scale variations in the δ18O and d-excess difference between throughfall and rainfall for cases with and without PEP. It can be found from Figure 8a,b that the δ18O difference (Δ’Pδ18OTF-RF) between throughfall and rainfall in events with PEP exhibits a near-zero value during the initial 0–15 min and displays an upward trend during the first three time intervals (0–15 min, 15–30 min, and 30–60 min). The δ18O difference (Δ’NPδ18OTF-RF) between throughfall and rainfall in events without PEP exhibited values greater than 0 during the initial 0–15 min, demonstrating a decreasing trend across the first three time intervals. The presence of PEP led to water retention within the canopy when subsequent precipitation occurred, thereby weakening the interception effect. Consequently, the δ18O of throughfall closely approximated that of rainfall at the beginning of an event. Conversely, for events lacking PEP, the canopy exhibited stronger interception evaporation, resulting in a more enriched δ18O signature in the throughfall. It is evident that PEP exerts the greatest influence on the δ18O composition of both throughfall and rainfall within the 0–15 min timeframe. As depicted in Figure 8c,d, the d-excess difference between throughfall and rainfall was notably higher in the events with PEP (Δ’Pd-excessTF-RF) compared to those without PEP (Δ’NPd-excessTF-RF) throughout the initial three precipitation periods and the final period. During the subsequent intermediate periods (60–120 min and 120–300 min), Δ’Pd-excessTF-RF and Δ’NPd-excessTF-RF exhibited comparable values. This observation indicates that PEP augmented water vapor content within the forest, thereby attenuating the sub-cloud secondary evaporation effect. In the early stages of precipitation, the influence of PEP on the d-excess difference between rainfall and throughfall was more pronounced.
The results of this study reveal that PEP significantly influences the entire precipitation process. However, its impact on the formation of rainwater within the forest primarily manifests during the initial stages of precipitation. This observation highlights the canopy’s ability to conceal the inherent characteristics of precipitation. Consequently, when the time interval between two rainfall events is short, the water composition of the subsequent precipitation entering the forest undergoes substantial changes during the early stages of precipitation. This underscores the predominant influence of PEP on the hydrological cycle of forest ecosystems, particularly during the initial phases of precipitation.
A relationship was also established between d-excess and δ18O in rainfall during the entire period under event scale (shown in Figure 9). The result indicated that a very weak negative correlation (Person’s r = −0.1) can be observed between these two parameters, which is non-significant at 0.05 confidence level (p > 0.01). Such observation is different from previous studies in other Chinese study areas, in which the negative correlation is significant due to the happening of sub-cloud secondary evaporation [23,24]. This is due to the complex factors driving the variation of d-excess. On the one hand, the monsoon altering from multiple sources carried moisture with different d-excess in summer; on the other hand, the interaction between the contribution of recycled moisture and sub-cloud secondary evaporation increased the variability of d-excess. Such result highlights the importance of isotopic observation at intra-event scale, which helps dampen the inaccurate driving force verification caused by the overlapping of multiple factors.

4. Conclusions

Based on sampling and measurements conducted in a planted arbor forest area at event and intra-event scales during the three summers, this study investigated the characteristics and influencing factors of hydrogen and oxygen stable isotopes in both rainfall and throughfall. Specifically, the analysis focused on elucidating the role of the canopy in the generation of rainfall within forested areas, as well as examining the influence of PEP on stable isotopes. The key findings are summarized as follows:
(1)
The δ18O value of rainfall exhibits its highest value in the initial stage of precipitation events, with an overall dilution trend. Concurrently, the d-excess of rainfall during the event was initially low but displayed an increasing trend. The δ18O difference between rainfall and throughfall demonstrated an increasing trend in the early stage of precipitation, potentially attributed to the lag effect. Subsequently, it exhibited slight fluctuations in the later stage, primarily distributed around 0. This behavior can be attributed to the higher moisture content of the canopy, increased flow paths for throughfall and reduced lag time. The intra-event difference between rainfall and throughfall exhibited a “decrease–increase–decrease” pattern throughout the entire precipitation process. This pattern can be linked to the lag effect caused by the selective interception of the canopy during the early stage of precipitation, the reduced degree of the non-equilibrium fractionation caused by evaporation in the middle stage, and the diminished precipitation intensity and increased interception and evaporation by the canopy in the final stage of precipitation.
(2)
By conducting an analysis of isotopic and meteorological factors in two representative summer precipitation events, it was observed that precipitation intensity exerted an influence on both the δ18O and d-excess of intra-event rainfall. Temperature and relative humidity presented significant positive impact on the δ18O, while accumulated precipitation was found to show a significant negative impact on the δ18O of intra-event throughfall. Among these factors, temperature was identified as the dominant factor. Additionally, higher temperature and relative humidity were found to contribute significantly to the decrease and increase of d-excess value of rainfall and throughfall during the event.
(3)
The slope and intercept of the H-O isotope relationship of rainfall and throughfall at event scale were found to be higher when PEP occurred, compared to situations without PEP. This observation indicates that the presence of PEP results in reduced sub-cloud secondary evaporation, attributed to increased water vapor saturation. Additionally, PEP led to significant fluctuations in the δ18O and d-excess of subsequent precipitation events. It caused a depletion of δ18O during the initial stage of the subsequent precipitation, indicating a weakened non-equilibrium fractionation effect.

Author Contributions

Conceptualization, C.X.; methodology, C.X.; validation, G.L.; formal analysis, C.X.; investigation, C.X.; data curation, K.C. and C.X.; writing—original draft preparation, C.X., K.C.; writing—review and editing, G.L. and Y.M.; supervision, G.L.; project administration, C.X.; funding acquisition, C.X. All authors have read and agreed to the published version of the manuscript.

Funding

This work was financially supported by the Start-up Funding from Chongqing Normal University (No. 202305000221).

Data Availability Statement

The original contributions presented in the study are included in the article, further inquiries can be directed to the corresponding author/s.

Conflicts of Interest

The authors declare no conflict of interest.

References

  1. Xia, C.C.; Liu, G.D.; Mei, J.; Meng, Y.C.; Liu, W.; Hu, Y. Characteristics of hydrogen and oxygen stable isotopes in precipitation and the environmental controls in tropical monsoon climatic zone. Int. J. Hydrogen Energy 2019, 44, 5417–5427. [Google Scholar] [CrossRef]
  2. Gat, J.R. Oxygen and hydrogen isotopes in the hydrologic cycle. Annu. Rev. Earth Planet. Sci. 1996, 24, 225–262. [Google Scholar] [CrossRef]
  3. Liu, J.R.; Song, X.F.; Yuan, G.F.; Sun, X.M.; Liu, X.; Wang, S.Q. Characteristics of delta O-18 in precipitation over Eastern Monsoon China and the water vapor sources. Chin. Sci. Bull. 2010, 55, 200–211. [Google Scholar] [CrossRef]
  4. Xia, C.; Liu, G.; Xia, H.; Jiang, F.; Meng, Y. Influence of saline intrusion on the wetland ecosystem revealed by isotopic and hydrochemical indicators in the Yellow River Delta, China. Ecol. Indic. 2021, 133, 108422. [Google Scholar] [CrossRef]
  5. Botsyun, S.; Ehlers, T.A.; Mutz, S.G.; Methner, K.; Krsnik, E.; Mulch, A. Opportunities and Challenges for Paleoaltimetry in “Small” Orogens: Insights from the European Alps. Geophys. Res. Lett. 2020, 47, e2019GL086046. [Google Scholar] [CrossRef]
  6. Bodé, S.; De Wispelaere, L.; Hemp, A.; Verschuren, D.; Boeckx, P. Water-isotope ecohydrology of Mount Kilimanjaro. Ecohydrology 2020, 13, e2171. [Google Scholar] [CrossRef]
  7. Chen, K.; Liu, G.; Xia, C.; Meng, Y.; Tetzlaff, D.; Zhong, Q.; Chang, J. Water cycling and partitioning through the soil–plant–atmosphere continuum in a subtropical, urban woodland inferred by water stable isotopes. Hydrol. Process. 2022, 36, e14746. [Google Scholar] [CrossRef]
  8. Yang, Y.; Fu, B. Soil water migration in the unsaturated zone of semiarid region in China from isotope evidence. Hydrol. Earth Syst. Sci. 2017, 21, 1757–1767. [Google Scholar] [CrossRef]
  9. Savenije, H.H.G. The importance of interception and why we should delete the term evapotranspiration from our vocabulary. Hydrol. Process. 2004, 18, 1507–1511. [Google Scholar] [CrossRef]
  10. Wang, M.C.; Liu, C.P.; Sheu, B.H. Characterization of organic matter in rainfall, throughfall, stemflow, and streamwater from three subtropical forest ecosystems. J. Hydrol. 2004, 289, 275–285. [Google Scholar] [CrossRef]
  11. Allen, S.T.; Keim, R.F.; Barnard, H.R.; McDonnell, J.J.; Renée Brooks, J. The role of stable isotopes in understanding rainfall interception processes: A review. WIREs Water 2017, 4, e1187. [Google Scholar] [CrossRef]
  12. Cayuela, C.; Llorens, P.; Sánchez-Costa, E.; Latron, J. Modification of the isotopic composition of rainfall by throughfall and stemflow: The case of Scots pine and downy oak forests under Mediterranean conditions. Ecohydrology 2018, 11, e2025. [Google Scholar] [CrossRef]
  13. Saxena, R.K. Estimation of canopy reservoir capacity and oxygen-18 fractionation in throughfall in a pine-forest. Hydrol. Res. 1986, 17, 251–260. [Google Scholar] [CrossRef]
  14. Pichon, A.; Travi, Y.; Marc, V. Chemical and isotopic variations in throughfall in a mediterranean context. Geophys. Res. Lett. 1996, 23, 531–534. [Google Scholar] [CrossRef]
  15. Xu, X.; Guan, H.; Deng, Z. Isotopic composition of throughfall in pine plantation and native eucalyptus forest in South Australia. J. Hydrol. 2014, 514, 150–157. [Google Scholar] [CrossRef]
  16. Allen, S.T.; Brooks, J.R.; Keim, R.F.; Bond, B.J.; Mcdonnell, J.J. The role of pre-event canopy storage in throughfall and stemflow by using isotopic tracers. Ecohydrology 2014, 7, 858–868. [Google Scholar] [CrossRef]
  17. Pinos, J.; Latron, J.; Nanko, K.; Levia, D.F.; Llorens, P. Throughfall isotopic composition in relation to drop size at the intra-event scale in a Mediterranean Scots pine stand. Hydrol. Earth Syst. Sci. 2020, 24, 4675–4690. [Google Scholar] [CrossRef]
  18. Deng, Y.; Jiang, Z.; Kuo, Y.M.; Zhou, X. Effects of canopy interception on epikarst water chemistry and its response to precipitation in Southwest China. Carbonates Evaporites 2019, 34, 273–282. [Google Scholar] [CrossRef]
  19. Xia, C.; Liu, G.; Chen, K.; Hu, Y.; Zhou, J.; Liu, Y.; Mei, J. Stable Isotope Characteristics for Precipitation Events and Their Responses to Moisture and Environmental Changes During the Summer Monsoon Period in Southwestern China. Pol. J. Environ. Stud. 2020, 29, 2429–2445. [Google Scholar] [CrossRef]
  20. Xia, C.C.; Chen, K.; Zhou, J.; Mei, J.; Liu, Y.P.; Liu, G.D. Comparison of precipitation stable isotopes during wet and dry seasons in a subtropical monsoon climate region of China. Appl. Ecol. Environ. Res. 2019, 17, 11979–11993. [Google Scholar] [CrossRef]
  21. Han, T.; Zhang, M.; Wang, S.; Qu, D.; Du, Q. Sub-hourly variability of stable isotopes in precipitation in the marginal zone of East Asian monsoon. Water 2020, 12, 2145. [Google Scholar] [CrossRef]
  22. Craig, H. Isotopic Variations In Meteoric Waters. Science 1961, 133, 1702–1703. [Google Scholar] [CrossRef] [PubMed]
  23. Chen, F.; Zhang, M.; Wang, S.; Ma, Q.; Zhu, X.; Dong, L. Relationship between sub-cloud secondary evaporation and stable isotopes in precipitation of Lanzhou and surrounding area. Quat. Int. 2015, 380–381, 68–74. [Google Scholar] [CrossRef]
  24. Wang, S.J.; Zhang, M.J.; Che, Y.J.; Zhu, X.F.; Liu, X.M. Influence of Below-Cloud Evaporation on Deuterium Excess in Precipitation of Arid Central Asia and Its Meteorological Controls. J. Hydrometeorol. 2016, 17, 1973–1984. [Google Scholar] [CrossRef]
Figure 1. Geographic location of the study area.
Figure 1. Geographic location of the study area.
Forests 14 01603 g001
Figure 2. Boxplot showing the variations of (a) δ18O in rainfall, (b) d-excess in rainfall, (c) Δ’δ18OTF-RF and (d) Δ’d-excessTF-RF in intra-event scale.
Figure 2. Boxplot showing the variations of (a) δ18O in rainfall, (b) d-excess in rainfall, (c) Δ’δ18OTF-RF and (d) Δ’d-excessTF-RF in intra-event scale.
Forests 14 01603 g002
Figure 3. Variations of meteorological parameters (i.e., temperature, relative humidity, precipitation amount and precipitation intensity), δ18O and d-excess in rainfall and throughfall during the event in 16 July 2020.
Figure 3. Variations of meteorological parameters (i.e., temperature, relative humidity, precipitation amount and precipitation intensity), δ18O and d-excess in rainfall and throughfall during the event in 16 July 2020.
Forests 14 01603 g003
Figure 4. Variations of meteorological parameters (i.e., temperature, relative humidity, precipitation amount and precipitation intensity), δ18O and d-excess in rainfall and throughfall during the event in 22 August 2021.
Figure 4. Variations of meteorological parameters (i.e., temperature, relative humidity, precipitation amount and precipitation intensity), δ18O and d-excess in rainfall and throughfall during the event in 22 August 2021.
Forests 14 01603 g004
Figure 5. Comparison of the influence of PEP on δD-δ18O relationships in (a) rainfall and (b) throughfall.
Figure 5. Comparison of the influence of PEP on δD-δ18O relationships in (a) rainfall and (b) throughfall.
Forests 14 01603 g005
Figure 6. Relationship between the throughfall-rainfall δ18O difference and the rainfall-pre-event precipitation δ18O difference.
Figure 6. Relationship between the throughfall-rainfall δ18O difference and the rainfall-pre-event precipitation δ18O difference.
Forests 14 01603 g006
Figure 7. Box-plot showing the δ18O and d-excess variations in intra-event rainfall with PEP (a,c) and those without PEP (b,d).
Figure 7. Box-plot showing the δ18O and d-excess variations in intra-event rainfall with PEP (a,c) and those without PEP (b,d).
Forests 14 01603 g007
Figure 8. Box-plot showing the δ18O and d-excess variations in intra-event throughfall with PEP (a,c) and those without PEP (b,d).
Figure 8. Box-plot showing the δ18O and d-excess variations in intra-event throughfall with PEP (a,c) and those without PEP (b,d).
Forests 14 01603 g008
Figure 9. Relationship between d-excess and δ18O during the entire period under event scale.
Figure 9. Relationship between d-excess and δ18O during the entire period under event scale.
Forests 14 01603 g009
Table 1. Statistical results of duration of precipitation events.
Table 1. Statistical results of duration of precipitation events.
Duration of Event (min)≤6060–120120–180180–240240–300>300
number11111217
Disclaimer/Publisher’s Note: The statements, opinions and data contained in all publications are solely those of the individual author(s) and contributor(s) and not of MDPI and/or the editor(s). MDPI and/or the editor(s) disclaim responsibility for any injury to people or property resulting from any ideas, methods, instructions or products referred to in the content.

Share and Cite

MDPI and ACS Style

Xia, C.; Liu, G.; Meng, Y.; Chen, K. Comparison of Intra-Event Characteristics of Hydrogen and Oxygen Stable Isotopes between Rainfall and Throughfall and the Effects of Pre-Event Precipitation. Forests 2023, 14, 1603. https://doi.org/10.3390/f14081603

AMA Style

Xia C, Liu G, Meng Y, Chen K. Comparison of Intra-Event Characteristics of Hydrogen and Oxygen Stable Isotopes between Rainfall and Throughfall and the Effects of Pre-Event Precipitation. Forests. 2023; 14(8):1603. https://doi.org/10.3390/f14081603

Chicago/Turabian Style

Xia, Chengcheng, Guodong Liu, Yuchuan Meng, and Ke Chen. 2023. "Comparison of Intra-Event Characteristics of Hydrogen and Oxygen Stable Isotopes between Rainfall and Throughfall and the Effects of Pre-Event Precipitation" Forests 14, no. 8: 1603. https://doi.org/10.3390/f14081603

APA Style

Xia, C., Liu, G., Meng, Y., & Chen, K. (2023). Comparison of Intra-Event Characteristics of Hydrogen and Oxygen Stable Isotopes between Rainfall and Throughfall and the Effects of Pre-Event Precipitation. Forests, 14(8), 1603. https://doi.org/10.3390/f14081603

Note that from the first issue of 2016, this journal uses article numbers instead of page numbers. See further details here.

Article Metrics

Back to TopTop