Fungal Community Taxa Differ in Diversity and Number between Live and Dead Prunus serotina Ehrh. Wood in a Protected Forest within Its Secondary Range of Distribution
Abstract
1. Introduction
2. Materials and Methods
2.1. Field Works
2.2. Laboratory Works
2.3. Statistical Analysis
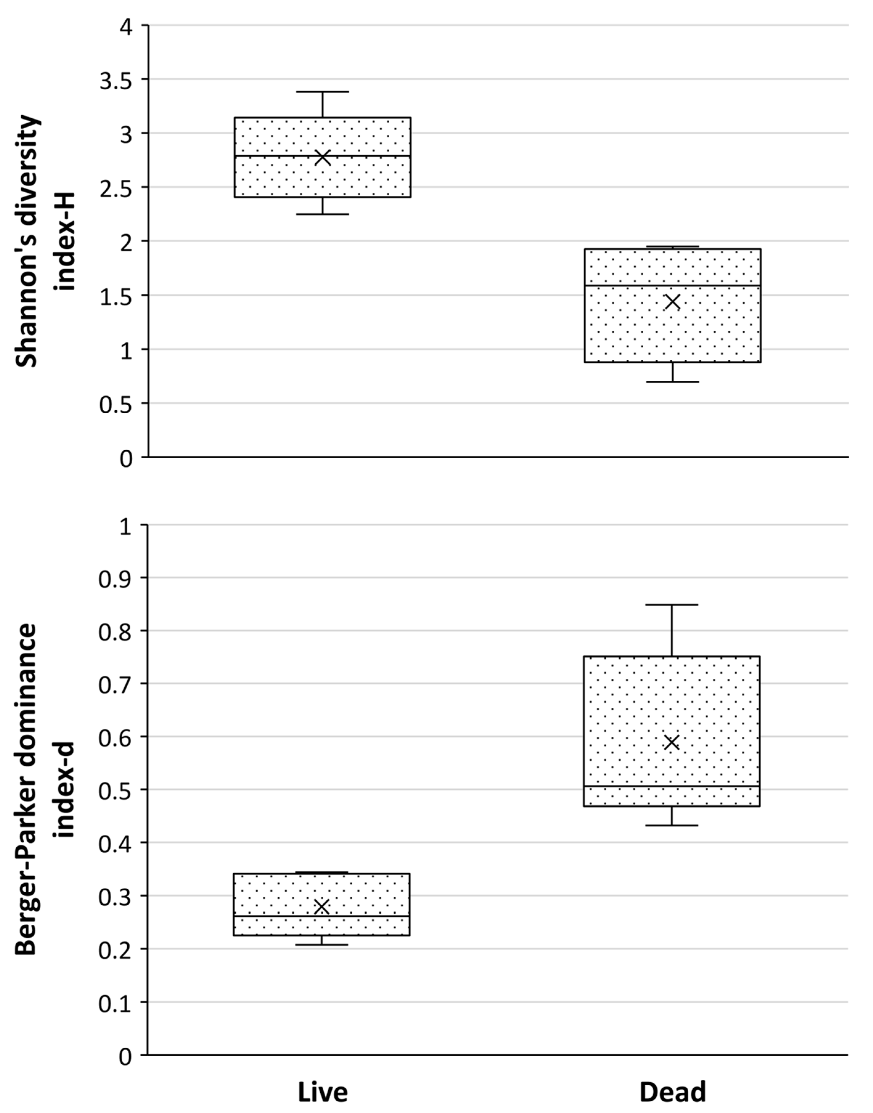
3. Results
4. Discussion
5. Conclusions
Author Contributions
Funding
Data Availability Statement
Acknowledgments
Conflicts of Interest
Appendix A
| Forest Division (GPS Coordinates) | Research Plot (no.) | Area (ha) | Forest Habitat Types | Forest Layer | Tree Species | Share of Species in Layer (%) | Age (Year) | Mean DBH (cm) | Mean height (m) |
|---|---|---|---|---|---|---|---|---|---|
| 46c (16.831801; 52.301139) | 1. and 2. | 3.96 | fresh broadleaved forest | Canopy | Pinus sylvestris Betula pendula | 80 20 | 48 48 | 21 22 | 22 23 |
| Understory | Prunus serotina Fagus sylvatica Quercus petraea | 60 20 20 | 20 20 20 | 5 4 3 | |||||
| 34b (16.827777; 52.312627) | 3. | 0.97 | fresh broadleaved forest | Canopy | Pinus sylvestris Betula pendula | 90 10 | 51 51 | 22 23 | 22 22 |
| Understory | Prunus serotina | 100 | 35 | 8 | 10 | ||||
| 37g (16.824575; 52.307312) | 4. | 6.11 | fresh mixed coniferous forest | Canopy | Pinus sylvestris | 100 | 79 | 30 | 24 |
| Understory | Betula pendula Quercus petraea Prunus serotina Fagus sylvatica | 50 20 20 10 | 25 25 25 25 | 12 9 10 | 13 11 10 9 | ||||
| 29h (16.815404; 52.316147) | 5. | 4.89 | fresh broadleaved forest | Canopy (first layer) | Pinus sylvestris Quercus petraea | 90 10 | 79 79 | 28 28 | 24 23 |
| Canopy (second layer) | Quercus petraea | 100 | 60 | 19 | 17 | ||||
| Understory (first layer) | Prunus serotina | 100 | 40 | 9 | 11 | ||||
| Understory (second layer) | Prunus serotina | 100 | 20 | ||||||
| Shrub layer | Prunus serotina |
Appendix B
| Taxon | Live | Dead | ||||||||
|---|---|---|---|---|---|---|---|---|---|---|
| L1 | L2 | L3 | L4 | L5 | D1 | D2 | D3 | D4 | D5 | |
| Alternaria infectoria E.G. Simmons | 2.41 | 4.28 | 0.82 | 5.22 | 0.14 | --- | --- | --- | --- | 0.01 |
| Alternaria tenuissima (Kunze) Wiltshire | 1.72 | 2.88 | 2.61 | 4.21 | 0.43 | --- | --- | 0.01 | --- | --- |
| Ascocoryne cylichnium (Tul.) Korf | --- | 0.24 | 0.02 | --- | --- | 0.06 | --- | --- | 24.87 | 0.02 |
| Aspergillus parvulus G. Smith | 0.01 | 1.31 | 0.04 | --- | --- | --- | --- | --- | 0.01 | 50.60 |
| Aureobasidium pullulans (de Bary & Löwenthal) G. Arnaud | 2.93 | 6.65 | 1.14 | 0.16 | 0.18 | 0.01 | --- | 0.03 | --- | --- |
| Botrytis cinerea Pers. | 3.86 | 1.58 | 0.31 | 0.08 | 11.23 | --- | --- | --- | --- | --- |
| Chaetosphaeria sp. Tul. & C.Tul. | --- | 0.03 | 0.01 | --- | 0.08 | 0.04 | 0.02 | --- | 1.81 | --- |
| Cladosporium sp. Link | 0.60 | 3.31 | 1.60 | 0.46 | 0.10 | 0.01 | --- | 0.01 | --- | --- |
| Coniophora arida (Fr.) P. Karst. | --- | --- | --- | --- | --- | 4.88 | --- | 0.01 | --- | --- |
| Coniophora sp. DC. | --- | --- | --- | --- | --- | --- | --- | 1.16 | --- | --- |
| Cordana pauciseptata Preuss | --- | --- | --- | --- | --- | 50.43 | --- | 0.01 | --- | --- |
| Cylindrobasidium evolvens (Fr.) Jülich | --- | --- | --- | --- | --- | --- | 8.22 | --- | --- | --- |
| Cytospora leucostoma (Pers.) Sacc. | 9.23 | 2.07 | 4.55 | 10.63 | 23.01 | 0.01 | 0.02 | 5.60 | --- | 0.03 |
| Desmazierella acicola Lib. | --- | 0.95 | 18.71 | --- | --- | --- | --- | --- | --- | --- |
| Diaporthe eres Nitschke | --- | --- | 0.13 | --- | --- | --- | 1.81 | 0.06 | --- | --- |
| Didymella macrostoma (Mont.) Qian Chen & L. Cai | 3.34 | 1.77 | 3.23 | 3.25 | 0.31 | --- | --- | --- | --- | --- |
| Diplodia sapinea (Fr.) Fuckel | 2.01 | 4.53 | 5.46 | 12.31 | 1.25 | 0.02 | --- | --- | --- | --- |
| Dothiora prunorum (C. Dennis & Buhagiar) Crous | 1.83 | 1.96 | 0.19 | 3.35 | 0.03 | --- | --- | --- | --- | --- |
| Epicoccum sp. Link | 24.28 | 20.80 | 26.18 | 33.80 | 3.34 | --- | --- | 0.02 | --- | --- |
| Exophiala sp. J.W.Carmich. | --- | 0.03 | --- | 0.01 | --- | 1.63 | 0.03 | --- | 0.01 | 0.02 |
| Fusarium avenaceum (Fr.) Sacc. | 1.64 | 1.63 | 1.76 | 5.59 | 0.10 | --- | --- | --- | --- | --- |
| Ganoderma adspersum (Schulzer) Donk | --- | --- | --- | --- | --- | --- | --- | 13.22 | --- | --- |
| Ganoderma applanatum (Pers.) Pat. | --- | --- | --- | --- | --- | --- | --- | 15.88 | --- | --- |
| Mucor moelleri (Vuill.) Lendn. | --- | 0.08 | --- | --- | 1.62 | --- | --- | --- | --- | --- |
| Mucor plumbeus Bonord. | 0.43 | 1.73 | 0.36 | 0.98 | --- | --- | --- | --- | --- | --- |
| Myxarium varium Hauerslev | --- | --- | --- | --- | --- | --- | --- | --- | 1.70 | --- |
| Penicillium bialowiezense K.W. Zaleski | 0.97 | 6.07 | 1.89 | 1.43 | 0.56 | 0.01 | --- | 0.03 | --- | --- |
| Penicillium brevicompactum Dierckx | 0.18 | 1.12 | 0.24 | 0.21 | 0.13 | --- | --- | --- | --- | --- |
| Penicillium camemberti Thom | 0.07 | 1.64 | 2.16 | 0.56 | 0.51 | --- | --- | 0.04 | --- | --- |
| Penicillium canescens Sopp | 2.73 | 1.25 | 0.22 | 0.15 | 32.79 | --- | --- | 0.01 | --- | --- |
| Penicillium lilacinoechinulatum S. Abe | 0.09 | 0.20 | 0.04 | --- | 7.21 | --- | --- | 0.01 | --- | --- |
| Penicillium sp. Link | 0.56 | 2.01 | 0.91 | 0.24 | 0.39 | 0.06 | 0.02 | 0.04 | 0.01 | 0.04 |
| Penicillium waksmanii K.W. Zaleski | 2.16 | 2.47 | 0.87 | 0.43 | 2.55 | 0.70 | 0.01 | 0.08 | --- | 0.01 |
| Peniophora cinerea (Pers.) Cooke | --- | 0.01 | 0.02 | 0.05 | 0.01 | --- | --- | 43.22 | --- | --- |
| Peniophora sp. Cooke | --- | --- | --- | --- | --- | --- | --- | 1.05 | --- | --- |
| Pezicula cinnamomea (DC.) Sacc. | 0.04 | 0.21 | 0.27 | 0.05 | 0.06 | 0.94 | 0.11 | 2.60 | 3.23 | 2.38 |
| Pezicula sporulosa Verkley | 0.01 | 0.21 | 0.13 | 0.02 | 0.01 | 1.12 | 0.30 | 0.43 | 0.03 | 0.08 |
| Phialocephala piceae (T.N. Sieber & Grünig) Rossman | 0.04 | 1.02 | 0.65 | 0.09 | 0.05 | 12.45 | 0.97 | 1.67 | 0.21 | 0.45 |
| Phoma laundoniae Boerema & Gruyter | 0.27 | 0.60 | 1.44 | 0.27 | 1.23 | --- | --- | --- | --- | --- |
| Pluteus cervinus (Schaeff.) P. Kumm. | --- | --- | --- | --- | --- | 2.21 | --- | --- | --- | --- |
| Pluteus rangifer Justo, E.F. Malysheva & Bulyonk. | --- | --- | --- | --- | --- | 1.73 | --- | --- | --- | --- |
| Pyrenochaeta sp. De Not. | --- | 0.05 | 0.01 | 3.36 | --- | 0.01 | --- | --- | --- | --- |
| Stemphylium sp. Wallr | 0.14 | 0.27 | 2.83 | 0.19 | 0.01 | --- | --- | --- | --- | --- |
| Stereum rugosum Pers. | 0.02 | 1--- | 0.11 | --- | --- | 12.33 | 84.86 | 5.62 | 65.39 | 18.28 |
| Strasseria geniculata (Berk. & Broome) Höhn. | 12.03 | 0.01 | 0.01 | --- | --- | --- | --- | --- | --- | --- |
| Trichoderma atroviride P.Karst. | 1.20 | 0.04 | 0.04 | 0.01 | 0.01 | 0.01 | --- | 0.01 | --- | 0.02 |
| Trichoderma koningiopsis Samuels, C. Suárez & H.C. Evans | 12.66 | 3.14 | 12.13 | 3.15 | 7.11 | 0.24 | 0.01 | 6.99 | 0.20 | 14.63 |
| Trichoderma reesei E.G. Simmons | 1.75 | 0.02 | 0.25 | --- | 0.13 | --- | --- | --- | --- | --- |
| Trichoderma sp. Pers. | 0.98 | 0.10 | 0.02 | 0.01 | 0.10 | 2.20 | --- | 0.01 | --- | 0.11 |
| Umbelopsis isabellina (Oudem.) W. Gams | 0.03 | 0.16 | 0.38 | 1.47 | 0.02 | 0.02 | --- | 0.01 | 0.01 | 6.55 |
| Vararia sp. P. Karst. | --- | --- | --- | --- | --- | 1.89 | --- | --- | --- | --- |
References
- Binggeli, P. Misuse of terminology and anthropomorphic concepts in the description of introduced species. Bull. Br. Ecol. Soc. 1994, 25, 10–13. [Google Scholar]
- Pyšek, P. On the terminology used in plant invasion studies. In Plant Lnvasions—General Aspects and Special Problems; Pyšek, P., Prach, K., Rejmanek, M., Wade, M., Eds.; Academic Publishing: Amsterdam, The Netherlands, 1994; pp. 71–81. ISBN 9-05-103097-5. [Google Scholar]
- Pyšek, P.; Richardson, D.M.; Rejmánek, M.; Webster, G.L.; Williamson, M.; Kirschner, J. Alien plants in checklists and floras: Towards better communication between taxonomists and ecologists. Taxon 2004, 53, 131–143. [Google Scholar] [CrossRef]
- Tokarska-Guzik, B.; Dajdok, Z.; Urbisz, A.; Zając, M.; Urbisz, A.; Danielewicz, W. Identification and categorization of alien plant species as a basis for management. Acta Bot. Sil. 2011, 6, 23–53. [Google Scholar]
- Villamagna, A.M.; Murphy, B.R. Ecological and socio-economic impacts of invasive water hyacinth (Eichhornia crassipes): A review. Freshw. Biol. 2010, 55, 282–298. [Google Scholar] [CrossRef]
- Kumar Rai, P.; Singh, J.S. Invasive alien plant species: Their impact on environment, ecosystem services and human health. Ecol. Indic. 2020, 111, 106020. [Google Scholar] [CrossRef] [PubMed]
- Najberek, K.; Solarz, W.; Pusz, W.; Patejuk, K.; Olejniczak, P. Two sides of the same coin: Does alien Impatiens balfourii fall into an ecological trap after releasing from enemies? Environ. Exp. Bot. 2020, 176, 104103. [Google Scholar] [CrossRef]
- Kempel, A.; Nater, P.; Fischer, M.; van Kleunen, M. Plant-microbe-herbivore interactions in invasive and non-invasive alien plant species. Funct. Ecol. 2013, 27, 498–508. [Google Scholar] [CrossRef]
- Langmaier, M.; Lapin, K. A systematic review of the impact of invasive alien plants on forest regeneration in european temperate forests. Front. Plant Sci. 2020, 11, 1–15. [Google Scholar] [CrossRef]
- Rai, P.K.; Singh, J.S. Plant invasion in protected areas, the Indian Himalayan region, and the North East India: Progress and prospects. Proc. Indian Natl. Sci. Acad. 2021, 87, 19–35. [Google Scholar] [CrossRef]
- Foxcroft, L.C.; Pyšek, P.; Richardson, D.M.; Genovesi, P.; MacFadyen, S. Plant invasion science in protected areas: Progress and priorities. Biol. Invasions 2017, 19, 1353–1378. [Google Scholar] [CrossRef]
- Rejmánek, M.; Richardson, D.M. Trees and shrubs as invasive alien species—2013 update of the global database. Divers. Distrib. 2013, 19, 1093–1094. [Google Scholar] [CrossRef]
- Brunel, S.; Branquart, E.; Fried, G.; Van Valkenburg, J.; Brundu, G.; Starfinger, U.; Buholzer, S.; Uludag, A.; Joseffson, M.; Baker, R. The EPPO prioritization process for invasive alien plants. EPPO Bull. 2010, 40, 407–422. [Google Scholar] [CrossRef]
- Starfinger, U.; Kowarik, I.; Rode, M.; Schepker, H. From desirable ornamental plant to pest to accepted addition to the flora?—The perception of an alien tree species through the centuries. Biol. Invasions 2003, 5, 323–335. [Google Scholar] [CrossRef]
- Dyderski, M.K.; Jagodziński, A.M. Encroachment of Padus serotina (Ehrh.) Borkh.into alder carrs and ash-alder riparian forests. Acta Sci. Pol. Silv. Colendar. Rat. Ind. Lingar. 2015, 14, 103–113. [Google Scholar] [CrossRef]
- Najberek, K.; Solarz, W. Inwazje biologiczne w polskich parkach narodowych i krajobrazowych. In Gatunki Obce w Faunie Polski; Głowaciński, Z., Okarma, H., Pawłowski, J., Solarz, W., Eds.; Instytut Ochrony Przyrody Polskiej Akademii Nauk: Krakow, Poland, 2011; pp. 624–639. [Google Scholar]
- Namura-Ochalska, A. Walka z czeremchą amerykańską Padus serotina (Ehrh.) Borkh.—Ocena skuteczności wybranych metod w kampinoskim parku narodowym. Stud. I Mater. CEPL 2012, 33, 190–200. [Google Scholar]
- Namura-Ochalska, A.; Borowa, B. Walka z czeremchą amerykańską Padus serotina (Ehrh.) Borkh. w leśnictwie Rózin w Kampinoskim Parku Narodowym. In Zwalczanie Inwazyjnych Gatunków Roślin Obcego Pochodzenia—Dobre i Złe Doświadczenia; Krzysztofiak, L., Krzysztofiak, A., Eds.; Stowarzyszenie Człowiek i Przyroda: Krzywe, Poland, 2015; pp. 57–72. [Google Scholar]
- Tittenbrun, A.; Radliński, B. Praktyka zwalczania inwazyjnych gatunków obcych w Roztoczańskim Parku Narodowym. In Zwalczanie Inwazyjnych Gatunków Roślin Obcego Pochodzenia—Dobre i Złe Doświadczenia; Krzysztofiak, L., Krzysztofiak, A., Eds.; Stowarzyszenie Człowiek i Przyroda: Krzywe, Poland, 2015; pp. 49–54. [Google Scholar]
- Bien, S.; Damm, U. Prunus trees in Germany—A hideout of unknown fungi? Mycol. Prog. 2020, 19, 667–690. [Google Scholar] [CrossRef]
- Terwei, A. Prunus serotina (black cherry). CABI Compend. 2022. [Google Scholar] [CrossRef]
- Van den Meersschaut, D.; Lust, N. Comparison of mechanical, biological and chemical methods for controlling black cherry (Prunus serotina) in Flanders (Belgium). Silva Gandav. 1997, 62, 90–109. [Google Scholar] [CrossRef]
- De Jong, M.D. The BioChon story: Deployment of Chondrostereum purpureum to suppress stump sprouting in hardwoods. Mycologist 2000, 14, 58–62. [Google Scholar] [CrossRef]
- Roy, V.; Dubeau, D.; Auger, I. Biological control of intolerant hardwood competition: Silvicultural efficacy of Chondrostereum purpureum and worker productivity in conifer plantations. For. Ecol. Manag. 2010, 259, 1571–1579. [Google Scholar] [CrossRef]
- Fernando, W.G.D.; Zhang, J.X.; Chen, C.Q.; Remphrey, W.R.; Schurko, A.; Klassen, G.R. Molecular and morphological characteristics of Apiosporina morbosa, the causal agent of black knot in Prunus spp. Can. J. Plant Pathol. 2005, 27, 364–375. [Google Scholar] [CrossRef]
- Korzeniewicz, R.; Baranowska, M.; Behnke-Borowczyk, J. The effect of size of black cherry stumps on the composition of fungal communities colonising stumps. Open Life Sci. 2019, 14, 482–493. [Google Scholar] [CrossRef]
- Korzeniewicz, R.; Baranowska, M.; Kwaśna, H.; Niedbała, G.; Behnke-Borowczyk, J. Communities of fungi in black cherry stumps and effects of herbicide. Plants 2020, 9, 1126. [Google Scholar] [CrossRef] [PubMed]
- Baranowska, M.; Korzeniewicz, R.; Kartawik, N.; Behnke-Borowczyk, J. Seasonal changes in fungi colonies inhabiting black cherry stumps. Sylwan 2019, 163, 872–880. [Google Scholar]
- Marciszewska, K.; Szczepkowski, A.; Otręba, A.; Oktaba, L.; Kondras, M.; Zaniewski, P.; Ciurzycki, W.; Wojtan, R. The dynamics of sprouts generation and colonization by macrofungi of black cherry Prunus serotina Ehrh. eliminated mechanically in the Kampinos National Park. Folia For. Pol. Ser. A 2018, 60, 34–51. [Google Scholar] [CrossRef]
- Vilgalys, R.; Gonzalez, D. Organization of ribosomal DNA in the basidiomycete Thanatephorus praticola. Curr. Genet. 1990, 18, 277–280. [Google Scholar] [CrossRef]
- Schmidt, P.-A.; Bálint, M.; Greshake, B.; Bandow, C.; Römbke, J.; Schmitt, I. Illumina metabarcoding of a soil fungal community. Soil Biol. Biochem. 2013, 65, 128–132. [Google Scholar] [CrossRef]
- Caporaso, J.G.; Kuczynski, J.; Stombaugh, J.; Bittinger, K.; Bushman, F.D.; Costello, E.K.; Fierer, N.; Peña, A.G.; Goodrich, J.K.; Gordon, J.I.; et al. QIIME allows analysis of high- throughput community sequencing data Intensity normalization improves color calling in SOLiD sequencing. Nat. Publ. Gr. 2010, 7, 335–336. [Google Scholar] [CrossRef]
- Martin, M. Cutadapt removes adapter sequences from high-throughput sequencing reads. EMBnet J. 2011, 17, 10. [Google Scholar] [CrossRef]
- Aronesty, E. Ea-Utils: “Command-Line Tools for Processing Biological Sequencing Data”. 2011. Available online: https://github.com/ExpressionAnalysis/ea-utils (accessed on 1 April 2023).
- Benson, D.A.; Cavanaugh, M.; Clark, K.; Karsch-Mizrachi, I.; Lipman, D.J.; Ostell, J.; Sayers, E.W. GenBank. Nucleic Acids Res. 2017, 45, D37–D42. [Google Scholar] [CrossRef]
- Põlme, S.; Abarenkov, K.; Henrik Nilsson, R.; Lindahl, B.D.; Clemmensen, K.E.; Kauserud, H.; Nguyen, N.; Kjøller, R.; Bates, S.T.; Baldrian, P.; et al. FungalTraits: A user-friendly traits database of fungi and fungus-like stramenopiles. Fungal Divers. 2020, 105, 1–16. [Google Scholar] [CrossRef]
- R Development Core Team. R: A Language and Environment for Statistical Computing; R Fundation for Statistical Computing: Vienna, Austria, 2023; Available online: http://www.R-project.org (accessed on 1 April 2023).
- Bliss, C.I. The transformation of percentages for use in the analysis of variance. Ohio J. Sci. 1938, 38, 9–12. [Google Scholar]
- Anderson, M.J. Permutational multivariate analysis of variance (PERMANOVA). Wiley StatsRef Stat. Ref. Online 2017, 1–15. [Google Scholar] [CrossRef]
- Oksanen, J.; Blanchet, F.G.; Kindt, R.; Legendre, P.; Minchin, P.R.; O’Hara, R.B.; Simpson, G.L.; Sólymos, P.; Stevens, M.H.H.; Wagner, H. Vegan: Community Ecology Package Software. 2018. Available online: https://CRAN.R-project.org/package=vegan (accessed on 2 April 2023).
- Kwaśna, H.; Mazur, A.; Łabędzki, A.; Kuźmiński, R.; Łakomy, P. Communities of fungi in decomposed wood of oak and pine. For. Res. Pap. 2016, 77, 261–275. [Google Scholar] [CrossRef]
- Rayner, A.D.M.; Turton, M.N. Mycelial interactions and population structure in the genus Stereum: S. rugosum, S. sanguinolentum and S. rameale. Trans. Br. Mycol. Soc. 1982, 78, 483–493. [Google Scholar] [CrossRef]
- Tanney, J.B.; Douglas, B.; Seifert, K.A. Sexual and asexual states of some endophytic Phialocephala species of Picea. Mycologia 2016, 108, 255–280. [Google Scholar] [CrossRef] [PubMed]
- Kowalski, T.; Kehr, R.D. Two new species of Phialocephala occurring on Picea and Alnus. Can. J. Bot. 1995, 73, 26–32. [Google Scholar] [CrossRef]
- Müller, M.M.; Hantula, J.; Wingfield, M.; Drenkhan, R. Diplodia sapinea found on Scots pine in Finland. For. Pathol. 2019, 49, e12483. [Google Scholar] [CrossRef]
- Blumenstein, K.; Bußkamp, J.; Langer, G.J.; Langer, E.J.; Terhonen, E. The diplodia tip blight pathogen Sphaeropsis sapinea is the most common fungus in Scots pines’ mycobiome, irrespective of health status—A case study from Germany. J. Fungi 2021, 7, 607. [Google Scholar] [CrossRef]
- Williamson, B.; Tudzynski, B.; Tudzynski, P.; Van Kan, J.A.L. Botrytis cinerea: The cause of grey mould disease. Mol. Plant Pathol. 2007, 8, 561–580. [Google Scholar] [CrossRef] [PubMed]
- Van Kan, J.A.L.; Stassen, J.H.M.; Mosbach, A.; Van Der Lee, T.A.J.; Faino, L.; Farmer, A.D.; Papasotiriou, D.G.; Zhou, S.; Seidl, M.F.; Cottam, E.; et al. A gapless genome sequence of the fungus Botrytis cinerea. Mol. Plant Pathol. 2017, 18, 75–89. [Google Scholar] [CrossRef]
- Pan, M.; Zhu, H.; Tian, C.; Huang, M.; Fan, X. Assessment of Cytospora isolates from conifer cankers in China, with the descriptions of four new Cytospora species. Front. Plant Sci. 2021, 12, 636460. [Google Scholar] [CrossRef]
- Karolewski, P.; Jagodziński, A.M.; Giertych, M.J.; Łukowski, A.; Baraniak, E.; Oleksyn, J. Invasive Prunus serotina—A new host for Yponomeuta evonymellus (Lepidoptera: Yponomeutidae)? Eur. J. Entomol. 2014, 111, 227–236. [Google Scholar] [CrossRef]
- Karolewski, P.; Łukowski, A.; Adamczyk, D.; Żmuda, M.; Giertych, M.J.; Mąderek, E. Species composition of arthropods on six understory plant species growing in high and low light conditions. Dendrobiology 2020, 84, 58–80. [Google Scholar] [CrossRef]
- Mąderek, E.; Łukowski, A.; Giertych, M.J.; Karolewski, P. Influence of native and alien Prunus species and light conditions on performance of the leaf beetle Gonioctena quinquepunctata. Entomol. Exp. Appl. 2015, 155, 193–205. [Google Scholar] [CrossRef]
- Łukowski, A.; Giertych, M.J.; Walczak, U.; Baraniak, E.; Karolewski, P. Light conditions affect the performance of Yponomeuta evonymellus on its native host Prunus padus and the alien Prunus serotina. Bull. Entomol. Res. 2017, 107, 208–216. [Google Scholar] [CrossRef] [PubMed]
- Miller, S.T.; Otto, K.L.; Sterle, D.; Minas, I.S.; Stewart, J.E. Preventive fungicidal control of Cytospora leucostoma in peach orchards in Colorado. Plant Dis. 2019, 103, 1138–1147. [Google Scholar] [CrossRef]
- Aveskamp, M.M.; De Gruyter, J.; Crous, P.W. Biology and recent developments in the systematics of Phoma, a complex genus of major quarantine significance. Fungal Divers. 2008, 31, 1–18. [Google Scholar]
- Bennett, A.; Ponder, M.M.; Garcia-Diaz, J. Phoma infections: Classification, potential food sources, and their clinical impact. Microorganisms 2018, 6, 58. [Google Scholar] [CrossRef]
- Guo, D.; Yuan, C.; Zhai, Y.; An, H.; Shang, X.; An, D. Citrus endophytic Fusarium avenaceum Gds-1 for the control of citrus blue mold. Chin. J. Pestic. Sci. 2020, 22, 782–790. [Google Scholar] [CrossRef]
- Xu, Z.L.; Zheng, N.; Cao, S.M.; Li, S.T.; Mo, T.X.; Qin, Y.Y.; Li, J.; Yang, R.Y. Secondary metabolites from the endophytic fungus Stemphylium lycopersici and their antibacterial activities. Chem. Nat. Compd. 2020, 56, 1162–1165. [Google Scholar] [CrossRef]
- Spadoni, A.; Ippolito, A.; Sanzani, S.M. First report of Stemphylium eturmiunum causing postharvest rot of sweet cherry in Italy. Crop Prot. 2020, 132, 105112. [Google Scholar] [CrossRef]
- Halarewicz, A. The reasons underlying the invasion of forest communities by black cherry, Prunus serotina and its subsequent consequences. For. Res. Pap. 2011, 72, 267–272. [Google Scholar] [CrossRef]
- Dennis, C.; Buhagiar, R.W.M. Comparative study of Aureobasidium pullulans, A. prunorum sp.nov. and Trichosporon pullulans. Trans. Br. Mycol. Soc. 1973, 60, 567–575. [Google Scholar] [CrossRef]
- Kachalkin, A.V.; Glushakova, A.M.; Venzhik, A.S. Presence of clinically significant endophytic yeasts in agricultural crops: Monitoring and ecological safety assessment. IOP Conf. Ser. Earth Environ. Sci. 2021, 723, 042005. [Google Scholar] [CrossRef]
- Taguiam, J.D.; Evallo, E.; Balendres, M.A. Epicoccum species: Ubiquitous plant pathogens and effective biological control agents. Eur. J. Plant Pathol. 2021, 159, 713–725. [Google Scholar] [CrossRef]
- Nordberg, H.; Cantor, M.; Dusheyko, S.; Hua, S.; Poliakov, A.; Shabalov, I.; Smirnova, T.; Grigoriev, I.V.; Dubchak, I. The genome portal of the Department of Energy Joint Genome Institute: 2014 updates. Nucleic Acids Res. 2014, 42, 26–31. [Google Scholar] [CrossRef]
- Kwaśna, H.; Bateman, G.L.; Ward, E. Determining species diversity of microfungal communities in forest tree roots by pure-culture isolation and DNA sequencing. Appl. Soil Ecol. 2008, 40, 44–56. [Google Scholar] [CrossRef]
- Poszytek, K. Mikrobiologiczna utylizacja celulozy. Postep. Mikrobiol. 2016, 55, 132–146. [Google Scholar]
- Reinhart, K.O.; Tytgat, T.; Van der Putten, W.H.; Clay, K. Virulence of soil-borne pathogens and invasion by Prunus serotina. New Phytol. 2010, 186, 484–495. [Google Scholar] [CrossRef]
- Richardson, D.M.; Pyšek, P. Plant invasions: Merging the concepts of species invasiveness and community invasibility. Prog. Phys. Geogr. 2006, 30, 409–431. [Google Scholar] [CrossRef]





Disclaimer/Publisher’s Note: The statements, opinions and data contained in all publications are solely those of the individual author(s) and contributor(s) and not of MDPI and/or the editor(s). MDPI and/or the editor(s) disclaim responsibility for any injury to people or property resulting from any ideas, methods, instructions or products referred to in the content. |
© 2023 by the authors. Licensee MDPI, Basel, Switzerland. This article is an open access article distributed under the terms and conditions of the Creative Commons Attribution (CC BY) license (https://creativecommons.org/licenses/by/4.0/).
Share and Cite
Baranowska, M.; Korzeniewicz, R.; Behnke-Borowczyk, J.; Kowalkowski, W.; Krupiński, D.; Purcel, A.; Łukowski, A. Fungal Community Taxa Differ in Diversity and Number between Live and Dead Prunus serotina Ehrh. Wood in a Protected Forest within Its Secondary Range of Distribution. Forests 2023, 14, 1324. https://doi.org/10.3390/f14071324
Baranowska M, Korzeniewicz R, Behnke-Borowczyk J, Kowalkowski W, Krupiński D, Purcel A, Łukowski A. Fungal Community Taxa Differ in Diversity and Number between Live and Dead Prunus serotina Ehrh. Wood in a Protected Forest within Its Secondary Range of Distribution. Forests. 2023; 14(7):1324. https://doi.org/10.3390/f14071324
Chicago/Turabian StyleBaranowska, Marlena, Robert Korzeniewicz, Jolanta Behnke-Borowczyk, Wojciech Kowalkowski, Dariusz Krupiński, Andrzej Purcel, and Adrian Łukowski. 2023. "Fungal Community Taxa Differ in Diversity and Number between Live and Dead Prunus serotina Ehrh. Wood in a Protected Forest within Its Secondary Range of Distribution" Forests 14, no. 7: 1324. https://doi.org/10.3390/f14071324
APA StyleBaranowska, M., Korzeniewicz, R., Behnke-Borowczyk, J., Kowalkowski, W., Krupiński, D., Purcel, A., & Łukowski, A. (2023). Fungal Community Taxa Differ in Diversity and Number between Live and Dead Prunus serotina Ehrh. Wood in a Protected Forest within Its Secondary Range of Distribution. Forests, 14(7), 1324. https://doi.org/10.3390/f14071324

