Soil Organic Carbon Turnover Response to Nitrogen and Phosphorus Additions in Eastern China: Evidence from Stable Carbon Isotopes
Abstract
1. Introduction
2. Materials and Methods
2.1. Study Site and Experimental Design
2.2. Soil Sampling
2.3. Laboratory Analysis
2.4. Data Analysis
3. Results
3.1. δ13CSOC and β Value
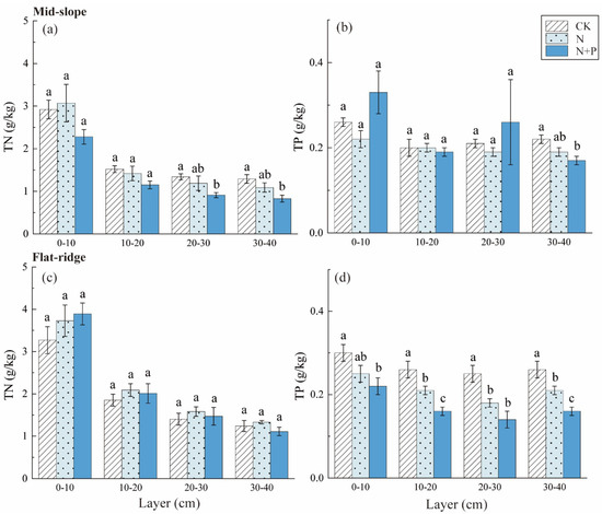
3.2. Soil N and P Contents and Stoichiometric Ratio
3.3. Factors Affecting Soil δ13CSOC and β Value
4. Discussion
4.1. Effects of NP Addition on δ13CSOC, SOC, and β Value
4.2. Effects of NP Addition on Soil Stoichiometric Ratio
4.3. Effect of Soil Physicochemical Factors on δ13CSOC and β Value
5. Conclusions
Supplementary Materials
Author Contributions
Funding
Data Availability Statement
Acknowledgments
Conflicts of Interest
References
- Wang, S.; Fan, J.; Song, M.; Yu, G.; Zhou, L.; Liu, J.; Zhong, H.; Gao, L.; Hu, Z.; Wu, W. Patterns of SOC and soil 13 C and their relations to climatic factors and soil characteristics on the Qinghai–Tibetan Plateau. Plant Soil 2013, 363, 243–255. [Google Scholar] [CrossRef]
- Zhou, Y.; Zhang, W.; Cheng, X.; Harris, W.; Schaeffer, S.M.; Xu, X.; Zhao, B. Factors affecting 13 C enrichment of vegetation and soil in temperate grasslands in Inner Mongolia, China. J. Soils Sediments 2019, 19, 2190–2199. [Google Scholar] [CrossRef]
- Craine, J.M.; Brookshire, E.; Cramer, M.D.; Hasselquist, N.J.; Koba, K.; Marin-Spiotta, E.; Wang, L. Ecological interpretations of nitrogen isotope ratios of terrestrial plants and soils. Plant Soil 2015, 396, 1–26. [Google Scholar] [CrossRef]
- Huang, Z.; Liu, B.; Davis, M.; Sardans, J.; Peñuelas, J.; Billings, S. Long-term nitrogen deposition linked to reduced water use efficiency in forests with low phosphorus availability. New Phytol. 2016, 210, 431–442. [Google Scholar] [CrossRef]
- Vitousek, P.M.; Porder, S.; Houlton, B.Z.; Chadwick, O.A. Terrestrial phosphorus limitation: Mechanisms, implications, and nitrogen–phosphorus interactions. Ecol. Appl. 2010, 20, 5–15. [Google Scholar] [CrossRef]
- Yu, Z.; Wang, M.; Huang, Z.; Lin, T.C.; Vadeboncoeur, M.A.; Searle, E.B.; Chen, H.Y. Temporal changes in soil C-N-P stoichiometry over the past 60 years across subtropical China. Glob. Change Biol. 2018, 24, 1308–1320. [Google Scholar] [CrossRef]
- Zhang, C.; Tian, H.; Liu, J.; Wang, S.; Liu, M.; Pan, S.; Shi, X. Pools and distributions of soil phosphorus in China. Glob. Biogeochem. Cycles 2005, 19, GB1020. [Google Scholar] [CrossRef]
- Li, Y.; Niu, S.; Yu, G. Aggravated phosphorus limitation on biomass production under increasing nitrogen loading: A meta-analysis. Glob. Change Biol. 2016, 22, 934–943. [Google Scholar] [CrossRef]
- Liang, C.; Amelung, W.; Lehmann, J.; Kästner, M. Quantitative assessment of microbial necromass contribution to soil organic matter. Glob. Change Biol. 2019, 25, 3578–3590. [Google Scholar] [CrossRef]
- Li, H.; Yan, F.; Tuo, D.; Yao, B.; Chen, J. The effect of climatic and edaphic factors on soil organic carbon turnover in hummocks based on δ13C on the Qinghai-Tibet Plateau. Sci. Total Environ. 2020, 741, 140141. [Google Scholar] [CrossRef]
- Van Groenigen, K.J.; Qi, X.; Osenberg, C.W.; Luo, Y.; Hungate, B.A. Faster decomposition under increased atmospheric CO2 limits soil carbon storage. Science 2014, 344, 508–509. [Google Scholar] [CrossRef]
- Yuan, X.; Qin, W.; Xu, H.; Zhang, Z.; Zhou, H.; Zhu, B. Sensitivity of soil carbon dynamics to nitrogen and phosphorus enrichment in an alpine meadow. Soil Biol. Biochem. 2020, 150, 107984. [Google Scholar] [CrossRef]
- Camenzind, T.; Homeier, J.; Dietrich, K.; Hempel, S.; Hertel, D.; Krohn, A.; Leuschner, C.; Oelmann, Y.; Olsson, P.A.; Suárez, J.P. Opposing effects of nitrogen versus phosphorus additions on mycorrhizal fungal abundance along an elevational gradient in tropical montane forests. Soil Biol. Biochem. 2016, 94, 37–47. [Google Scholar] [CrossRef]
- Liu, L.; Gundersen, P.; Zhang, T.; Mo, J. Effects of phosphorus addition on soil microbial biomass and community composition in three forest types in tropical China. Soil Biol. Biochem. 2012, 44, 31–38. [Google Scholar] [CrossRef]
- Lu, M.; Zhou, X.; Luo, Y.; Yang, Y.; Fang, C.; Chen, J.; Li, B. Minor stimulation of soil carbon storage by nitrogen addition: A meta-analysis. Agric. Ecosyst. Environ. 2011, 140, 234–244. [Google Scholar] [CrossRef]
- Luo, R.; Kuzyakov, Y.; Liu, D.; Fan, J.; Luo, J.; Lindsey, S.; He, J.-S.; Ding, W. Nutrient addition reduces carbon sequestration in a Tibetan grassland soil: Disentangling microbial and physical controls. Soil Biol. Biochem. 2020, 144, 107764. [Google Scholar] [CrossRef]
- Jing, X.; Yang, X.; Ren, F.; Zhou, H.; Zhu, B.; He, J.-S. Neutral effect of nitrogen addition and negative effect of phosphorus addition on topsoil extracellular enzymatic activities in an alpine grassland ecosystem. Appl. Soil Ecol. 2016, 107, 205–213. [Google Scholar] [CrossRef]
- Feng, W.; Shi, Z.; Jiang, J.; Xia, J.; Liang, J.; Zhou, J.; Luo, Y. Methodological uncertainty in estimating carbon turnover times of soil fractions. Soil Biol. Biochem. 2016, 100, 118–124. [Google Scholar] [CrossRef]
- Garten, C.T., Jr.; Cooper, L.W.; Post, W., III; Hanson, P.J. Climate controls on forest soil C isotope ratios in the southern Appalachian Mountains. Ecology 2000, 81, 1108–1119. [Google Scholar] [CrossRef]
- Powers, J.S.; Schlesinger, W.H. Geographic and vertical patterns of stable carbon isotopes in tropical rain forest soils of Costa Rica. Geoderma 2002, 109, 141–160. [Google Scholar] [CrossRef]
- Gao, J.; Zhang, X.; Lei, G.; Wang, G. Soil organic carbon and its fractions in relation to degradation and restoration of wetlands on the Zoigê Plateau, China. Wetlands 2014, 34, 235–241. [Google Scholar] [CrossRef]
- Werner, C.; Schnyder, H.; Cuntz, M.; Keitel, C.; Zeeman, M.J.; Dawson, T.; Badeck, F.-W.; Brugnoli, E.; Ghashghaie, J.; Grams, T.E. Progress and challenges in using stable isotopes to trace plant carbon and water relations across scales. Biogeosciences 2012, 9, 3083–3111. [Google Scholar] [CrossRef]
- Gautam, M.K.; Lee, K.-S.; Song, B.-Y.; Bong, Y.-S. Site related δ 13 C of vegetation and soil organic carbon in a cool temperate region. Plant Soil 2017, 418, 293–306. [Google Scholar] [CrossRef]
- Wang, C.; Houlton, B.Z.; Liu, D.; Hou, J.; Cheng, W.; Bai, E. Stable isotopic constraints on global soil organic carbon turnover. Biogeosciences 2018, 15, 987–995. [Google Scholar] [CrossRef]
- Xiong, X.; Liu, J.; Zhou, G.; Deng, Q.; Zhang, H.; Chu, G.; Meng, Z.; Zhang, D. Reduced turnover rate of topsoil organic carbon in old-growth forests: A case study in subtropical China. For. Ecosyst. 2021, 8, 58. [Google Scholar] [CrossRef]
- Wang, C.; Wei, H.; Liu, D.; Luo, W.; Hou, J.; Cheng, W.; Han, X.; Bai, E. Depth profiles of soil carbon isotopes along a semi-arid grassland transect in northern China. Plant Soil 2017, 417, 43–52. [Google Scholar] [CrossRef]
- Diochon, A.; Kellman, L. Natural abundance measurements of 13C indicate increased deep soil carbon mineralization after forest disturbance. Geophys. Res. Lett. 2008, 35, L14402. [Google Scholar] [CrossRef]
- Neff, J.C.; Townsend, A.R.; Gleixner, G.; Lehman, S.J.; Turnbull, J.; Bowman, W.D. Variable effects of nitrogen additions on the stability and turnover of soil carbon. Nature 2002, 419, 915–917. [Google Scholar] [CrossRef]
- Fang, X.-M.; Zhang, X.-L.; Chen, F.-S.; Zong, Y.-Y.; Bu, W.-S.; Wan, S.-Z.; Luo, Y.; Wang, H. Phosphorus addition alters the response of soil organic carbon decomposition to nitrogen deposition in a subtropical forest. Soil Biol. Biochem. 2019, 133, 119–128. [Google Scholar] [CrossRef]
- Anderson-Teixeira, K.J.; Davies, S.J.; Bennett, A.C.; Gonzalez-Akre, E.B.; Muller-Landau, H.C.; Joseph Wright, S.; Abu Salim, K.; Almeyda Zambrano, A.M.; Alonso, A.; Baltzer, J.L. CTFS-Forest GEO: A worldwide network monitoring forests in an era of global change. Glob. Change Biol. 2015, 21, 528–549. [Google Scholar] [CrossRef]
- Yu, G.; Chen, Z.; Piao, S.; Peng, C.; Ciais, P.; Wang, Q.; Li, X.; Zhu, X. High carbon dioxide uptake by subtropical forest ecosystems in the East Asian monsoon region. Proc. Natl. Acad. Sci. USA 2014, 111, 4910–4915. [Google Scholar] [CrossRef]
- Baxter, S. World Reference Base for Soil Resources. World Soil Resources Report 103. Rome: Food and Agriculture Organization of the United Nations. Exp. Agric. 2006, 43, 264. [Google Scholar] [CrossRef]
- Vance, E.D.; Brookes, P.C.; Jenkinson, D.S. An extraction method for measuring soil microbial biomass C. Soil Biol. Biochem. 1987, 19, 703–707. [Google Scholar] [CrossRef]
- Brookes, P.; Landman, A.; Pruden, G.; Jenkinson, D. Chloroform fumigation and the release of soil nitrogen: A rapid direct extraction method to measure microbial biomass nitrogen in soil. Soil Biol. Biochem. 1985, 17, 837–842. [Google Scholar] [CrossRef]
- Marriott, E.E.; Wander, M. Qualitative and quantitative differences in particulate organic matter fractions in organic and conventional farming systems. Soil Biol. Biochem. 2006, 38, 1527–1536. [Google Scholar] [CrossRef]
- Griffis, T.J. Tracing the flow of carbon dioxide and water vapor between the biosphere and atmosphere: A review of optical isotope techniques and their application. Agric. For. Meteorol. 2013, 174, 85–109. [Google Scholar] [CrossRef]
- Acton, P.; Fox, J.; Campbell, E.; Rowe, H.; Wilkinson, M. Carbon isotopes for estimating soil decomposition and physical mixing in well-drained forest soils. J. Geophys. Res. Biogeosc. 2013, 118, 1532–1545. [Google Scholar] [CrossRef]
- Guillaume, T.; Damris, M.; Kuzyakov, Y. Losses of soil carbon by converting tropical forest to plantations: Erosion and decomposition estimated by δ13C. Glob. Change Biol. 2015, 21, 3548–3560. [Google Scholar] [CrossRef]
- Xiong, X.; Zhang, H.; Deng, Q.; Hui, D.; Chu, G.; Meng, Z.; Zhou, G.; Zhang, D. Soil organic carbon turnover following forest restoration in south China: Evidence from stable carbon isotopes. For. Ecol. Manag. 2020, 462, 117988. [Google Scholar] [CrossRef]
- Revelle, R.; Suess, H.E. Carbon dioxide exchange between atmosphere and ocean and the question of an increase of atmospheric CO2 during the past decades. Tellus 1957, 9, 18–27. [Google Scholar] [CrossRef]
- Pu, Y.; Nace, T.; Meyers, P.A.; Zhang, H.; Wang, Y.; Zhang, C.L.; Shao, X. Paleoclimate changes of the last 1000 yr on the eastern Qinghai–Tibetan Plateau recorded by elemental, isotopic, and molecular organic matter proxies in sediment from glacial Lake Ximencuo. Palaeogeogr. Palaeoclimatol. Palaeoecol. 2013, 379, 39–53. [Google Scholar] [CrossRef]
- Yang, Y.; Ji, C.; Chen, L.; Ding, J.; Cheng, X.; Robinson, D. Edaphic rather than climatic controls over 13C enrichment between soil and vegetation in alpine grasslands on the Tibetan Plateau. Funct. Ecol. 2015, 29, 839–848. [Google Scholar] [CrossRef]
- Garten, C.T., Jr. Relationships among forest soil C isotopic composition, partitioning, and turnover times. Can. J. For. Res. 2006, 36, 2157–2167. [Google Scholar] [CrossRef]
- Menichetti, L.; Houot, S.; Van Oort, F.; Kätterer, T.; Christensen, B.T.; Chenu, C.; Barré, P.; Vasilyeva, N.A.; Ekblad, A. Increase in soil stable carbon isotope ratio relates to loss of organic carbon: Results from five long-term bare fallow experiments. Oecologia 2015, 177, 811–821. [Google Scholar] [CrossRef]
- Yu, H.; Wei, X.; Tan, W. High nitrogen enrichment increases the allocation of new organic carbon to deep soil layers. Geoderma 2022, 406, 115515. [Google Scholar] [CrossRef]
- Chen, J.; Xiao, W.; Zheng, C.; Zhu, B. Nitrogen addition has contrasting effects on particulate and mineral-associated soil organic carbon in a subtropical forest. Soil Biol. Biochem. 2020, 142, 107708. [Google Scholar] [CrossRef]
- Cusack, D.F.; Torn, M.S.; McDOWELL, W.H.; Silver, W.L. The response of heterotrophic activity and carbon cycling to nitrogen additions and warming in two tropical soils. Glob. Change Biol. 2010, 16, 2555–2572. [Google Scholar] [CrossRef]
- Huang, S.; Peng, X.; Huang, Q.; Zhang, W. Soil aggregation and organic carbon fractions affected by long-term fertilization in a red soil of subtropical China. Geoderma 2010, 154, 364–369. [Google Scholar] [CrossRef]
- Monteith, D.T.; Stoddard, J.L.; Evans, C.D.; De Wit, H.A.; Forsius, M.; Høgåsen, T.; Wilander, A.; Skjelkvåle, B.L.; Jeffries, D.S.; Vuorenmaa, J. Dissolved organic carbon trends resulting from changes in atmospheric deposition chemistry. Nature 2007, 450, 537–540. [Google Scholar] [CrossRef]
- Boot, C.M.; Hall, E.K.; Denef, K.; Baron, J.S. Long-term reactive nitrogen loading alters soil carbon and microbial community properties in a subalpine forest ecosystem. Soil Biol. Biochem. 2016, 92, 211–220. [Google Scholar] [CrossRef]
- Yu, X.; Xu, C.; Zhu, Y.; Xu, X. Litterfall production and its relation to stand structural factors in a subtropical evergreen broadleaf forest. J. Zhejiang AF Univ. 2016, 33, 991–999. [Google Scholar]
- Dai, Y.; Fu, X.; Zhang, S.; Guan, M.; Zhang, D.; Xu, X. Metabolic characteristics of soil microbial community in different forest stands of subtropical evergreen broad-leaved forest at Chaiwan Natural Reserve in Qimen, Anhui. Ecol. Environ. Sci. 2017, 26, 1114–1121. [Google Scholar] [CrossRef]
- Xu, X.; Shi, Z.; Li, D.; Rey, A.; Ruan, H.; Craine, J.M.; Liang, J.; Zhou, J.; Luo, Y. Soil properties control decomposition of soil organic carbon: Results from data-assimilation analysis. Geoderma 2016, 262, 235–242. [Google Scholar] [CrossRef]
- Schleuss, P.M.; Widdig, M.; Heintz-Buschart, A.; Kirkman, K.; Spohn, M. Interactions of nitrogen and phosphorus cycling promote P acquisition and explain synergistic plant-growth responses. Ecology 2020, 101, e03003. [Google Scholar] [CrossRef]
- Marklein, A.R.; Houlton, B.Z. Nitrogen inputs accelerate phosphorus cycling rates across a wide variety of terrestrial ecosystems. New Phytol. 2012, 193, 696–704. [Google Scholar] [CrossRef]
- Deng, Q.; Hui, D.; Dennis, S.; Reddy, K.C. Responses of terrestrial ecosystem phosphorus cycling to nitrogen addition: A meta-analysis. Glob. Ecol. Biogeogr. 2017, 26, 713–728. [Google Scholar] [CrossRef]
- Peri, P.L.; Ladd, B.; Pepper, D.A.; Bonser, S.P.; Laffan, S.W.; Amelung, W. Carbon (δ13 C) and nitrogen (δ15 N) stable isotope composition in plant and soil in S outhern P atagonia’s native forests. Glob. Change Biol. 2012, 18, 311–321. [Google Scholar] [CrossRef]
- Yang, J.; Ke, L.; Cui, J.; Xu, X. Effects of N and P Addition on Soil Dissolved Organic Carbon and Microbial Biomass Carbon in a Subtropical Evergreen Broad-leaved Forest. Chin. J. Soil Sci. 2014, 45, 876–883. [Google Scholar] [CrossRef]
- Zhao, X.; Xu, X.; Wang, F.; Greenberg, I.; Liu, M.; Che, R.; Zhang, L.; Cui, X. Climatic, edaphic and biotic controls over soil δ13C and δ15N in temperate grasslands. Forests 2020, 11, 433. [Google Scholar] [CrossRef]
- Zhang, Y.; Qiang, W.; Luo, R.; Wang, M.; Pang, X. Effects of nitrogen and phosphorus addition on soil microbial growth, turnover, and carbon use efficiency: A review. Chin. J. Appl. Environ. 2022, 28, 526–534. [Google Scholar] [CrossRef]
- Syers, J.K.; Johnston, A.E.; Curtin, D. Efficiency of Soil and Fertilizer Phosphorus: Reconciling Changing Concepts of Soil Phosphorus Chemistry with Agronomic Information. In Proceedings of the The 18th World Congress of Soil Science, Philadelphia, PA, USA, 9–15 July 2006. [Google Scholar]
- Zhou, G.; Xu, S.; Ciais, P.; Manzoni, S.; Fang, J.; Yu, G.; Tang, X.; Zhou, P.; Wang, W.; Yan, J. Climate and litter C/N ratio constrain soil organic carbon accumulation. Natl. Sci. Rev. 2019, 6, 746–757. [Google Scholar] [CrossRef]







| Site | Plot No. | Environmental Factors | Soil Factors | ||||
|---|---|---|---|---|---|---|---|
| Altitude | Slope | pH | EC | BD | SWC | ||
| (μS/cm) | (g/cm3) | (%) | |||||
| Mid-slope | 1–9 | 280–350 m | 29.8°–30.8° | 4.43 | 82.42 | 1.31 | 35.30 |
| Flat ridge | 10–18 | 480 m | 0–5° | 4.33 | 75.58 | 1.42 | 34.37 |
| Predictor | DF | δ13CSOC | SOC | N | P | C/N | C/P | N/P |
|---|---|---|---|---|---|---|---|---|
| Treatment | 2 | 15.333 *** | 0.831 | 3.008 | 7.447 *** | 30.341 *** | 7.898 ** | 16.038 *** |
| Site | 1 | 194.664 *** | 12.779 *** | 40.344 *** | 0.804 | 65.987 *** | 24.617 *** | 85.975 *** |
| Depth | 3 | 59.263 *** | 135.721 *** | 141.879 *** | 8.483 *** | 22.445 *** | 92.085 *** | 95.383 *** |
| Treatment ×Site | 2 | 5.003 ** | 1.613 | 5.811 ** | 9.356 *** | 15.937 *** | 22.523 *** | 51.684 *** |
| Treatment × Depth | 6 | 1.242 | 0.237 | 0.378 | 1.282 | 1.31 | 0.925 | 0.778 |
| Site × Depth | 3 | 7.679 *** | 3.865 ** | 3.984 ** | 0.668 | 3.702 * | 4.090 ** | 3.355 * |
| Treatment × site × Depth | 6 | 1.278 | 0.75 | 0.799 | 0.502 | 0.878 | 3.220 ** | 3.464 ** |
Disclaimer/Publisher’s Note: The statements, opinions and data contained in all publications are solely those of the individual author(s) and contributor(s) and not of MDPI and/or the editor(s). MDPI and/or the editor(s) disclaim responsibility for any injury to people or property resulting from any ideas, methods, instructions or products referred to in the content. |
© 2023 by the authors. Licensee MDPI, Basel, Switzerland. This article is an open access article distributed under the terms and conditions of the Creative Commons Attribution (CC BY) license (https://creativecommons.org/licenses/by/4.0/).
Share and Cite
Chen, L.; Wen, Z.; Yin, R.; Deng, P.; Gao, Y.; Xu, H.; Xu, X. Soil Organic Carbon Turnover Response to Nitrogen and Phosphorus Additions in Eastern China: Evidence from Stable Carbon Isotopes. Forests 2023, 14, 1314. https://doi.org/10.3390/f14071314
Chen L, Wen Z, Yin R, Deng P, Gao Y, Xu H, Xu X. Soil Organic Carbon Turnover Response to Nitrogen and Phosphorus Additions in Eastern China: Evidence from Stable Carbon Isotopes. Forests. 2023; 14(7):1314. https://doi.org/10.3390/f14071314
Chicago/Turabian StyleChen, Leiru, Zhengyu Wen, Ruoyong Yin, Pengfei Deng, Yu Gao, Hui Xu, and Xiaoniu Xu. 2023. "Soil Organic Carbon Turnover Response to Nitrogen and Phosphorus Additions in Eastern China: Evidence from Stable Carbon Isotopes" Forests 14, no. 7: 1314. https://doi.org/10.3390/f14071314
APA StyleChen, L., Wen, Z., Yin, R., Deng, P., Gao, Y., Xu, H., & Xu, X. (2023). Soil Organic Carbon Turnover Response to Nitrogen and Phosphorus Additions in Eastern China: Evidence from Stable Carbon Isotopes. Forests, 14(7), 1314. https://doi.org/10.3390/f14071314

