Nitrogen Addition Alleviates Cadmium Toxicity in Eleocarpus glabripetalus Seedlings
Abstract
1. Introduction
2. Materials and Methods
2.1. Experiment Design
2.2. Measurements of Gas Exchange Parameters
2.3. Measurements of Root Morphology and Biomass
2.4. Measurements of N, P and Cd Contents, and Non-Structural Carbohydrate (NSC) Contents
2.5. Data Analysis
3. Results
3.1. Gas Exchange
3.2. Biomass
3.3. Root Architecture
3.4. N, P and Cd Contents
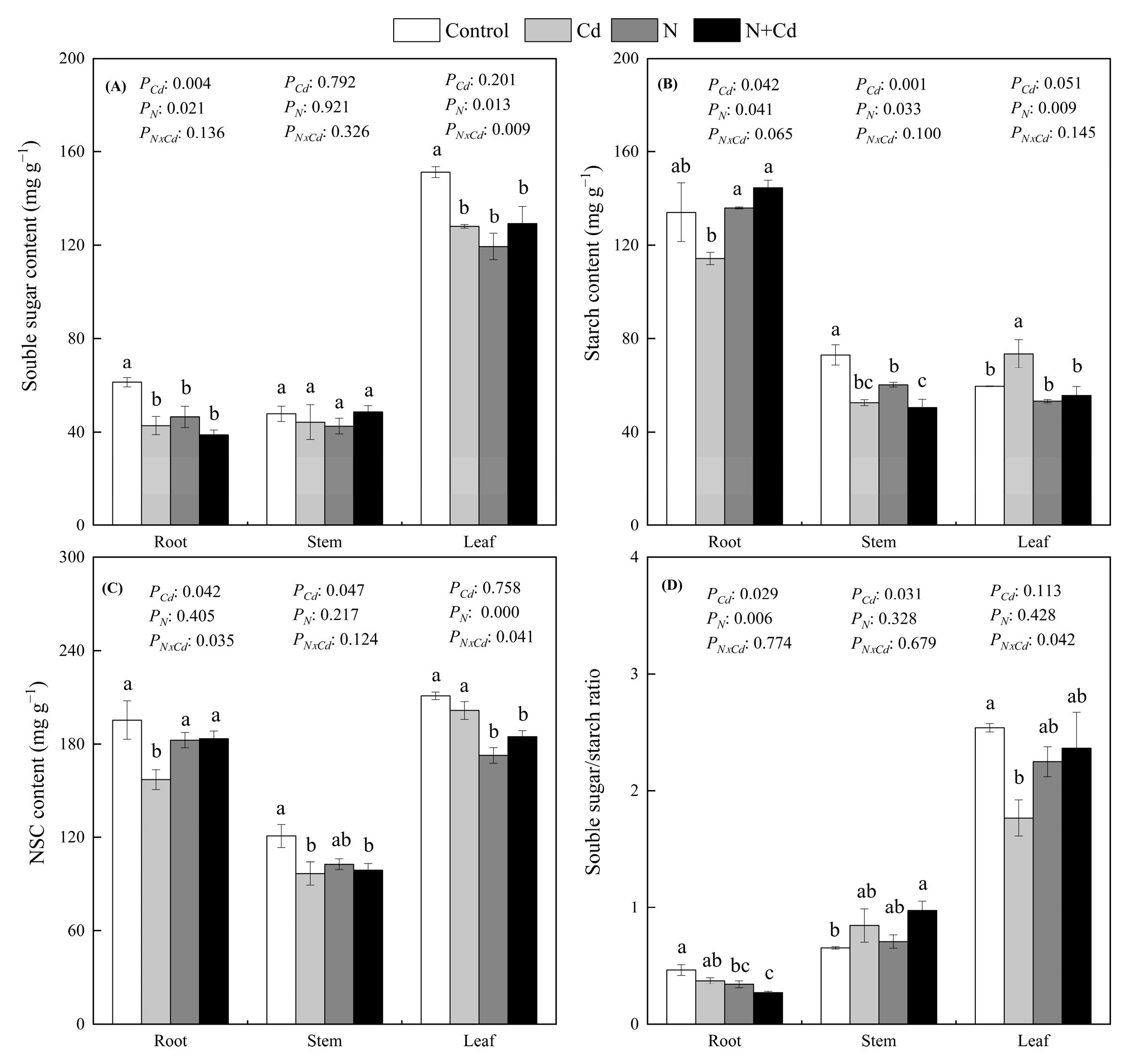
3.5. Non-Structural Carbohydrate Content
3.6. Correlation between the Indicators in E. glabripetalus Seedlings
4. Discussion
4.1. The Impact of N and Cd Treatments on the Gas Exchange of E. glabripetalus Seedlings
4.2. The Impact of Cd and N Treatments on N, P and Cd Contents of E. glabripetalus Seedlings
4.3. The Impact of N and Cd Treatments on the Non-Structural Carbohydrates of E. glabripetalus Seedlings
4.4. The Impact of Cd and N Treatments on the Growth of E. glabripetalus Seedlings
5. Conclusions
Author Contributions
Funding
Data Availability Statement
Conflicts of Interest
References
- Rizwan, M.; Ali, S.; Adrees, M.; Ibrahim, M.; Tsang, D.C.W.; Zia-Ur-Rehman, M.; Zahir, Z.A.; Rinklebe, J.; Tack, F.M.G.; Ok, Y.S. A critical review on effects, tolerance mechanisms and management of cadmium in vegetables. Chemosphere 2017, 182, 90–105. [Google Scholar] [CrossRef] [PubMed]
- Kubier, A.; Wilkin, R.T.; Pichler, T. Cadmium in soils and groundwater: A review. Appl. Geochem. 2019, 108, 1–16. [Google Scholar] [CrossRef] [PubMed]
- Sakouhi, L.; Kharbech, O.; Massoud, M.B.; Munemasa, S.; Murata, Y.; Chaoui, A. Oxalic acid mitigates cadmium toxicity in Cicer arietinum L. germinating seeds by maintaining the cellular redox homeostasis. J. Plant Growth Regul. 2021, 41, 697–709. [Google Scholar] [CrossRef]
- Yin, A.; Huang, B.; Xie, J.; Huang, Y.; Shen, C.; Xin, J. Boron decreases cadmium influx into root cells of Capsicum annuum by altering cell wall components and plasmalemma permeability. Environ. Sci. Pollut. Res. 2021, 28, 52587–52597. [Google Scholar] [CrossRef] [PubMed]
- Zulfiqar, U.; Ayub, A.; Hussain, S.; Waraich, E.A.; El-Esawi, M.A.; Ishfaq, M.; Ahmad, M.; Ali, N.; Maqsood, M.F. Cadmium toxicity in plants: Recent progress on morpho-physiological effects and remediation strategies. J. Soil Sci. Plant Nutr. 2022, 22, 212–269. [Google Scholar] [CrossRef]
- Das, P.; Samantaray, S.; Rout, G.R. Studies on cadmium toxicity in plants: A review. Environ. Pollut. 1997, 98, 29–36. [Google Scholar] [CrossRef]
- Gill, S.S.; Khan, N.A.; Tuteja, N. Cadmium at high dose perturbs growth, photosynthesis and nitrogen metabolism while at low dose it up regulates sulfur assimilation and antioxidant machinery in garden cress (Lepidium sativum L.). Plant Sci. 2012, 182, 112–120. [Google Scholar] [CrossRef]
- Yamaguchi, C.; Khamsalath, S.; Takimoto, Y.; Suyama, A.; Mori, Y.; Ohkama-Ohtsu, N.; Maruyama-Nakashita, A. SLIM1 transcription factor promotes sulfate uptake and distribution to shoot, along with phytochelatin accumulation, under cadmium stress in Arabidopsis thaliana. Plants 2020, 9, 163. [Google Scholar] [CrossRef]
- Ma, X.Y.; Wang, T.X.; Shi, Z.; Chiariello, N.R.; Docherty, K.; Field, C.B.; Gutknecht, J.; Gao, Q.; Gu, Y.F.; Guo, X.; et al. Long-term nitrogen deposition enhances microbial capacities in soil carbon stabilization but reduces network complexity. Microbiome 2022, 10, 112. [Google Scholar] [CrossRef]
- Li, W.; Jin, C.; Guan, D.; Wang, Q.; Wang, A.; Yuan, F.; Wu, J. The effects of simulated nitrogen deposition on plant root traits: A meta-analysis. Soil Biol. Biochem. 2015, 82, 112–118. [Google Scholar] [CrossRef]
- Li, W.B.; Zhang, H.X.; Huang, G.Z.; Liu, R.X.; Wu, H.J.; Zhao, C.Y.; McDowell, N.G. Effects of nitrogen enrichment on tree carbon allocation: A global synthesis. Glob. Ecol. Biogeogr. 2020, 29, 573–589. [Google Scholar] [CrossRef]
- Wang, M.; Zhang, W.W.; Li, N.; Liu, Y.Y.; Zheng, X.B.; Hao, G.Y. Photosynthesis and growth responses of Fraxinus mandshurica Rupr. seedlings to a gradient of simulated nitrogen deposition. Ann. For. Sci. 2018, 75, 1. [Google Scholar] [CrossRef]
- Zou, Y.X.; Li, B.Y.; Penuelas, J.; Sardans, J.; Yu, H.; Chen, X.P.; Deng, X.Y.; Cheng, D.L.; Zhong, Q.L. Response of functional traits in Machilus pauhoi to nitrogen addition is influenced by differences of provenances. For. Ecol. Manag. 2022, 513, 120207. [Google Scholar] [CrossRef]
- Singh, S.; Parihar, P.; Singh, R.; Singh, V.P.; Prasad, S.M. Heavy metal tolerance in plants: Role of transcriptomics, proteomics, metabolomics, and ionomics. Front. Plant Sci. 2016, 6, 1143. [Google Scholar] [CrossRef]
- Yin, H.Y.; Yang, F.; He, X.Y.; Du, X.Y.; Mu, P.; Ma, W.J. Advances in the functional study of glutamine synthetase in plant abiotic stress tolerance response. Crop J. 2022, 10, 917–923. [Google Scholar] [CrossRef]
- Meng, S.; Zhang, C.; Su, L.; Li, Y.; Zhao, Z. Nitrogen uptake and metabolism of Populus simonii in response to PEG-induced drought stress. Environ. Exp. Bot. 2016, 123, 78–87. [Google Scholar] [CrossRef]
- Maglovski, M.; Gregorová, Z.; Rybanský, Ľ.; Mészáros, P.; Moravčíková, J.; Hauptvogel, P.; Adamec, L.; Matušíková, I. Nutrition supply affects the activity of pathogenesis-related β-1,3-glucanases and chitinases in wheat. Plant Growth Regul. 2017, 81, 443–453. [Google Scholar] [CrossRef]
- Kasera, N.; Kolar, P.; Hall, S.G. Nitrogen-doped biochars as adsorbents for mitigation of heavy metals and organics from water: A review. Biochar 2022, 4, 17. [Google Scholar] [CrossRef]
- Wångstrand, H.; Eriksson, J.; Öborn, I. Cadmium concentration in winter wheat as affected by nitrogen fertilization. Eur. J. Agron. 2007, 26, 209–214. [Google Scholar] [CrossRef]
- Li, Z.; Wang, X.; Liu, Y.; Zhou, Y.; Qian, Z.; Yu, Z.; Wu, N.; Bian, Z. Water uptake and hormone modulation responses to nitrogen supply in Populus simonii under PEG-induced drought stress. Forests 2022, 13, 907. [Google Scholar] [CrossRef]
- Zhang, F.; Li, J.; Huang, J.; Lin, L.; Wan, X.; Zhao, J.; Dong, J.; Sun, L.; Chen, Q. Transcriptome profiling reveals the important role of exogenous nitrogen in alleviating cadmium toxicity in poplar plants. J. Plant Growth Regul. 2017, 36, 942–956. [Google Scholar] [CrossRef]
- Yu, F.; Yi, L.; Mao, X.; Song, Q.; Korpelainen, H.; Liu, M. Nitrogen addition alleviated sexual differences in responses to cadmium toxicity by regulating the antioxidant system and root characteristics, and inhibiting Cd translocation in mulberry seedlings. Ecotoxicol. Environ. Saf. 2022, 232, 113288. [Google Scholar] [CrossRef]
- Wang, S.; Wei, M.; Wu, B.; Cheng, H.; Wang, C. Combined nitrogen deposition and Cd stress antagonistically affect the allelopathy of invasive alien species Canada goldenrod on the cultivated crop lettuce. Sci. Hortic. 2020, 261, 108955. [Google Scholar] [CrossRef]
- Lin, Z.; Dou, C.; Li, Y.; Wang, H.; Niazi, N.K.; Zhang, S.; Liu, D.; Zhao, K.; Fu, W.; Li, Y.; et al. Nitrogen fertilizer enhances zinc and cadmium uptake by hyperaccumulator Sedum alfredii Hance. J. Soil. Sediment. 2020, 20, 320–329. [Google Scholar] [CrossRef]
- Wang, J.; Wang, H.; Chen, J.; Zhang, S.; Xu, J.; Han, X.; Feng, Y.; Chen, Y.; Zhang, X.; Dong, G. Xylem development, cadmium bioconcentration, and antioxidant defense in Populus × euramericana stems under combined conditions of nitrogen and cadmium. Environ. Exp. Bot. 2019, 164, 1–9. [Google Scholar] [CrossRef]
- Yang, C.; Qiu, W.; Chen, Z.; Chen, W.; Li, Y.; Zhu, J.; Rahman, S.U.; Han, Z.; Jiang, Y.; Yang, G. Phosphorus influence Cd phytoextraction in Populus stems via modulating xylem development, cell wall Cd storage and antioxidant defense. Chemosphere 2020, 242, 125154. [Google Scholar] [CrossRef] [PubMed]
- Altas, S.; Uzal, O. Mitigation of negative impacts of cadmium stress on physiological parameters of curly lettuce (Lactuca sativa var. Crispa) by proline treatments. J. Elementol. 2022, 27, 351–365. [Google Scholar] [CrossRef]
- Huang, Y.; Chen, J.; Sun, Y.; Wang, H.; Zhan, J.; Huang, Y.; Zou, J.; Wang, L.; Su, N.; Cui, J. Mechanisms of calcium sulfate in alleviating cadmium toxicity and accumulation in pak choi seedlings. Sci. Total Environ. 2022, 805, 150115. [Google Scholar] [CrossRef]
- Hu, M.; Dou, Q.; Cui, X.; Lou, Y.; Zhuge, Y. Polyaspartic acid mediates the absorption and translocation of mineral elements in tomato seedlings under combined copper and cadmium stress. J. Integr. Agric. 2019, 18, 1130–1137. [Google Scholar] [CrossRef]
- Chen, H.; Li, Y.; Ma, X.; Guo, L.; He, Y.; Ren, Z.; Kuang, Z.; Zhang, X.; Zhang, Z. Analysis of potential strategies for cadmium stress tolerance revealed by transcriptome analysis of upland cotton. Sci. Rep. 2019, 9, 86. [Google Scholar] [CrossRef]
- Yan, H.; Li, X.; Xu, Z.; Lin, G. Application of fluorescence analysis technology in the study of crop response to cadmium stress. Spectrosc. Spect. Anal. 2020, 40, 3118–3122. [Google Scholar]
- Liu, M.; Korpelainen, H.; Dong, L.; Yi, L. Physiological responses of Elaeocarpus glabripetalus seedlings exposed to simulated acid rain and cadmium. Ecotoxicol. Environ. Saf. 2019, 175, 118–127. [Google Scholar] [CrossRef]
- Jin, C.; Zhou, Q.; Zhou, Q.; Fan, J. Effects of chlorimuron-ethyl and cadimum on biomass growth and cadimum accumulation of wheat in the phaiozem area, northeast China. Bulle. Environ. Contam. Toxicol. 2010, 84, 395–400. [Google Scholar] [CrossRef]
- Zhou, Q.X.; Kong, F.X.; Zhu, L. Ecotoxicology; Science Press: Beijing, China, 2004. (In Chinese) [Google Scholar]
- Ti, C.; Gao, B.; Luo, Y.; Wang, S.; Chang, S.X.; Yan, X. Dry deposition of N has a major impact on surface water quality in the Taihu Lake region in southeast China. Atmos. Environ. 2018, 190, 1–9. [Google Scholar] [CrossRef]
- Liu, X.; Zhang, Y.; Han, W.; Tang, A.; Shen, J.; Cui, Z.; Vitousek, P.; Erisman, J.W.; Goulding, K.; Christie, P.; et al. Enhanced nitrogen deposition over China. Nature 2013, 494, 459–462. [Google Scholar] [CrossRef]
- Galloway, J.; Dentener, F.; Boyer, E.; Howarth, R.; Seitzinger, S.; Asner, G.; Cleveland, C.; Green, P.; Holland, E.; Karl, D.; et al. Nitrogen cycles: Past, present, and future. Biogeochemistry 2004, 70, 153–226. [Google Scholar] [CrossRef]
- Newell, E.A.; Mulkey, S.S.; Wright, J.S. Seasonal patterns of carbohydrate storage in four tropical tree species. Oecologia 2002, 131, 333–342. [Google Scholar] [CrossRef]
- Pereira, T.S.; Pereira, T.S.; Figueredo de Carvalho Souza, C.L.; Alvino Lima, E.J.; Batista, B.L.; da Silva Lobato, A.K. Silicon deposition in roots minimizes the cadmium accumulation and oxidative stress in leaves of cowpea plants. Physiol. Mol. Biol. Plants 2018, 24, 99–114. [Google Scholar] [CrossRef] [PubMed]
- Zhao, H.; Guan, J.; Liang, Q.; Zhang, X.; Hu, H.; Zhang, J. Effects of cadmium stress on growth and physiological characteristics of sassafras seedlings. Sci. Rep. 2021, 11, 9913. [Google Scholar] [CrossRef] [PubMed]
- El-Esawi, M.A.; Elkelish, A.; Soliman, M.; Elansary, H.O.; Zaid, A.; Wani, S.H. Serratia marcescens BM1 enhances cadmium stress tolerance and phytoremediation potential of soybean through modulation of osmolytes, leaf gas exchange, antioxidant machinery, and stress-responsive genes expression. Antioxidants 2020, 9, 43. [Google Scholar] [CrossRef]
- Li, S.; Yang, W.; Yang, T.; Chen, Y.; Ni, W. Effects of cadmium stress on leaf chlorophyll fluorescence and photosynthesis of Elsholtzia argyi-A cadmium accumulating plant. Int. J. Phytopharm. 2015, 17, 85–92. [Google Scholar]
- Khan, M.I.R.; Nazir, F.; Asgher, M.; Per, T.S.; Khan, N.A. Selenium and sulfur influence ethylene formation and alleviate cadmium-induced oxidative stress by improving proline and glutathione production in wheat. J. Plant Physiol. 2015, 173, 9–18. [Google Scholar] [CrossRef]
- Hasan, S.A.; Hayat, S.; Ahmad, A. Brassinosteroids protect photosynthetic machinery against the cadmium induced oxidative stress in two tomato cultivars. Chemosphere 2011, 84, 1446–1451. [Google Scholar] [CrossRef]
- Ci, D.; Jiang, D.; Wollenweber, B.; Dai, T.; Jing, Q.; Cao, W. Cadmium stress in wheat seedlings: Growth, cadmium accumulation and photosynthesis. Acta Physiol. Plant. 2010, 32, 365–373. [Google Scholar] [CrossRef]
- Ahammed, G.J.; Choudhary, S.P.; Chen, S.; Xia, X.; Shi, K.; Zhou, Y.; Yu, J. Role of brassinosteroids in alleviation of phenanthrene–cadmium co-contamination-induced photosynthetic inhibition and oxidative stress in tomato. J. Exp. Bot. 2013, 64, 199–213. [Google Scholar] [CrossRef]
- Ahmad, P.; Ahanger, M.A.; Alyemeni, M.N.; Wijaya, L.; Alam, P. Exogenous application of nitric oxide modulates osmolyte metabolism, antioxidants, enzymes of ascorbate-glutathione cycle and promotes growth under cadmium stress in tomato. Protoplasma 2018, 255, 79–93. [Google Scholar] [CrossRef] [PubMed]
- Effah, Z.; Li, L.; Xie, J.; Liu, C.; Xu, A.; Karikari, B.; Anwar, S.; Zeng, M. Regulation of nitrogen metabolism, photosynthetic activity, and yield attributes of spring wheat by nitrogen fertilizer in the semi-arid Loess Plateau region. J. Plant Growth Regul. 2022, 42, 1120–1133. [Google Scholar] [CrossRef]
- Leiter, T.d.S.; Monteiro, F.A. Partial replacement of nitrate by ammonium increases photosynthesis and reduces oxidative stress in Tanzania guinea grass exposed to cadmium. Ecotoxicol. Environ. Saf. 2019, 174, 592–600. [Google Scholar] [CrossRef]
- Yang, Y.; Xiong, J.; Tao, L.; Cao, Z.; Tang, W.; Zhang, J.; Yu, X.; Fu, G.; Zhang, X.; Lu, Y. Regulatory mechanisms of nitrogen (N) on cadmium (Cd) uptake and accumulation in plants: A review. Sci. Total Environ. 2020, 708, 135186. [Google Scholar] [CrossRef]
- Song, J.; Finnegan, P.M.; Liu, W.; Li, X.; Yong, J.W.H.; Xu, J.; Zhang, Q.; Wen, Y.; Qin, K.; Guo, J.; et al. Mechanisms underlying enhanced Cd translocation and tolerance in roots of Populus euramericana in response to nitrogen fertilization. Plant Sci. 2019, 287, 110206. [Google Scholar] [CrossRef]
- Chi, K.; Zou, R.; Wang, L.; Huo, W.; Fan, H. Cellular distribution of cadmium in two amaranth (Amaranthus mangostanus L.) cultivars differing in cadmium accumulation. Environ. Sci. Pollut. Res. 2019, 26, 22147–22158. [Google Scholar] [CrossRef]
- Shackira, A.M.; Puthur, J.T. Cd2+ influences metabolism and elemental distribution in roots of Acanthus ilicifolius L. Int. J. Phytoremediat. 2019, 21, 866–877. [Google Scholar] [CrossRef]
- Zhang, D.; Dong, F.; Zhang, Y.; Huang, Y.; Zhang, C. Mechanisms of low cadmium accumulation in storage root of sweet potato (Ipomoea batatas L.). J. Plant Physiol. 2020, 254, 153262. [Google Scholar] [CrossRef]
- Yu, S.; Deng, H.; Zhang, B.; Liu, Z.; Lin, J.; Sheng, L.; Pan, J.; Huang, L.; Qi, J. Physiological response of Vetiveria zizanioides to cadmium stress revealed by Fourier transform infrared spectroscopy. Spectrosc. Lett. 2022, 55, 157–165. [Google Scholar] [CrossRef]
- Xu, Q.; Wang, C.; Li, S.; Li, B.; Li, Q.; Chen, G.; Chen, W.; Wang, F. Cadmium adsorption, chelation and compartmentalization limit root-to-shoot translocation of cadmium in rice (Oryza sativa L.). Environ. Sci. Pollut. Res. 2017, 24, 11319–11330. [Google Scholar] [CrossRef]
- Tan, S.; Liu, Z.; Zeng, Q.; Zhu, M.; Wang, A.; Chen, B. Nutrient allocation might affect the cadmium accumulation of Bermuda grass (Cynodon dactylon). Chemosphere 2020, 252, 126512. [Google Scholar] [CrossRef]
- Yang, J.; Sun, H.; Qin, J.; Wang, X.; Chen, W. Impacts of Cd on temporal dynamics of nutrient distribution pattern of Bletilla striata, a traditional Chinese medicine plant. Agriculture 2021, 11, 594. [Google Scholar] [CrossRef]
- Mourato, M.; Pinto, F.; Moreira, I.; Sales, J.; Leitão, I.; Martins, L.L. Chapter 13—The effect of Cd stress in mineral nutrient uptake in plants. In Cadmium Toxicity and Tolerance in Plants; Hasanuzzaman, M., Prasad, M.N.V., Fujita, M., Eds.; Academic Press: Cambridge, MA, USA, 2019. [Google Scholar]
- Zhang, C.; Yi, X.; Gao, X.; Wang, M.; Shao, C.; Lv, Z.; Chen, J.; Liu, Z.; Shen, C. Physiological and biochemical responses of tea seedlings (Camellia sinensis) to simulated acid rain conditions. Ecotoxicol. Environ. Saf. 2020, 192, 110315. [Google Scholar] [CrossRef] [PubMed]
- Huang, J.; Ruecker, A.; Schmidt, A.; Gleixner, G.; Gershenzon, J.; Trumbore, S.; Hartmann, H. Production of constitutive and induced secondary metabolites is coordinated with growth and storage in Norway spruce saplings. Tree Physiol. 2020, 40, 928–942. [Google Scholar] [CrossRef]
- Ravi, S.; Bader, M.K.F.; Young, T.; Duxbury, M.; Clearwater, M.; Macinnis-Ng, C.; Leuzinger, S. Are the well-fed less thirsty? Effects of drought and salinity on New Zealand mangroves. J. Plant Ecol. 2022, 15, 85–99. [Google Scholar] [CrossRef]
- Ravi, S.; Young, T.; Macinnis-Ng, C.; Nyugen, T.V.; Duxbury, M.; Alfaro, A.C.; Leuzinger, S. Untargeted metabolomics in halophytes: The role of different metabolites in New Zealand mangroves under multi-factorial abiotic stress conditions. Environ. Exp. Bot. 2020, 173, 103993. [Google Scholar] [CrossRef]
- Xu, L.; Wu, X.; Zhou, Z. Effects of physiological integration and fertilization on heavy metal remediation in soil by a clonal grass. Pol. J. Environ. Stud. 2016, 25, 395–404. [Google Scholar] [CrossRef]
- Li, M.H.; Cherubini, P.; Dobbertin, M.; Arend, M.; Xiao, W.F.; Rigling, A. Responses of leaf nitrogen and mobile carbohydrates in different Quercus species/provenances to moderate climate changes. Plant Biol. 2013, 15, 177–184. [Google Scholar] [CrossRef]
- Körner, C. Carbon limitation in trees. J. Ecol. 2003, 91, 4–17. [Google Scholar] [CrossRef]
- Wang, G.; Liu, F. Carbon allocation of Chinese pine seedlings along a nitrogen addition gradient. For. Ecol. Manag. 2014, 334, 114–121. [Google Scholar] [CrossRef]
- Cui, Z.; Yang, Z.; Xu, D.; Li, X. Drought could promote the heartwood formation in Dalbergia odorifera by enhancing the transformation of starch to soluble sugars. Scand. J. For. Res. 2022, 37, 23–32. [Google Scholar] [CrossRef]
- Shang, X.; Xue, W.; Jiang, Y.; Zou, J. Effects of calcium on the alleviation of cadmium toxicity in Salix matsudana and its effects on other minerals. Pol. J. Environ. Stud. 2020, 29, 2001–2010. [Google Scholar] [CrossRef]
- Cheng, Y.; Zou, Z.; Ye, Z.; Cheng, Y.; Song, Y.; Li, R.; Li, J. Effect of iron oxide nanoparticles on cadmium stress in melon. Fresenius Environ. Bull. 2020, 29, 8988–8997. [Google Scholar]
- Zhu, T.; Li, L.; Duan, Q.; Liu, X.; Chen, M. Progress in our understanding of plant responses to the stress of heavy metal cadmium. Plant Signal. Behav. 2021, 16, 1836884. [Google Scholar] [CrossRef]
- Mccarthy, M.C.; Enquist, B.J. Consistency between an allometric approach and optimal partitioning theory in global patterns of plant biomass allocation. Funct. Ecol. 2007, 21, 713–720. [Google Scholar] [CrossRef]
- Bari, M.A.; Akther, M.S.; Reza, M.A.; Kabir, A.H. Cadmium tolerance is associated with the root-driven coordination of cadmium sequestration, iron regulation, and ROS scavenging in rice. Plant Physiol. Biochem. 2019, 136, 22–33. [Google Scholar] [CrossRef]
- Zhang, F.; Wan, X.; Zhong, Y. Nitrogen as an important detoxification factor to cadmium stress in poplar plants. J. Plant Interact. 2014, 9, 249–258. [Google Scholar] [CrossRef]
- Huang, J.; Wu, X.; Tian, F.; Chen, Q.; Luo, P.; Zhang, F.; Wan, X.; Zhong, Y.; Liu, Q.; Lin, T. Changes in proteome and protein phosphorylation reveal the protective roles of exogenous nitrogen in alleviating cadmium toxicity in poplar plants. Int. J. Mol. Sci. 2020, 21, 278. [Google Scholar] [CrossRef] [PubMed]
- Liu, M.; Bi, J.; Liu, X.; Kang, J.; Korpelainen, H.; Niinemets, U.; Li, C. Microstructural and physiological responses to cadmium stress under different nitrogen levels in Populus cathayana females and males. Tree Physiol. 2020, 40, 30–45. [Google Scholar] [CrossRef] [PubMed]
- Lynch, J.P. Edaphic stress interactions: Important yet poorly understood drivers of plant production in future climates. Field Crops Res. 2022, 283, 108547. [Google Scholar] [CrossRef]
- Hannan, A.; Hassan, L.; Hoque, M.N.; Tahjib-Ul-Arif, M.; Robin, A.H.K. Increasing new root length reflects survival mechanism of rice (Oryza sativa L.) genotypes under PEG-induced osmotic stress. Plant Breed. Biotechnol. 2020, 8, 46–57. [Google Scholar] [CrossRef]
- Malamy, J.E. Intrinsic and environmental response pathways that regulate root system architecture. Plant Cell Environ. 2010, 28, 67–77. [Google Scholar] [CrossRef]
- Lux, A.; Martinka, M.; Vaculík, M.; White, P.J. Root responses to cadmium in the rhizosphere: A review. J. Exp. Bot. 2011, 62, 21–37. [Google Scholar] [CrossRef]
- Kuriakose, S.V.; Prasad, M.N.V. Cadmium stress affects seed germination and seedling growth in Sorghum bicolor (L.) Moench by changing the activities of hydrolyzing enzymes. Plant Growth Regul. 2008, 54, 143–156. [Google Scholar] [CrossRef]
- Yu, L.; Wang, X.; Li, X.; Wang, Y.; Kang, H.; Chen, G.; Fan, X.; Sha, L.; Zhou, Y.; Zeng, J. Protective effect of different forms of nitrogen application on cadmium-induced toxicity in wheat seedlings. Environ. Sci. Pollut. Res. 2019, 26, 13085–13094. [Google Scholar] [CrossRef]
- Wang, S.; van Dijk, J.; de Boer, H.J.; Wassen, M.J. Source and sink activity of Holcus lanatus in response to absolute and relative supply of nitrogen and phosphorus. Funct. Plant Biol. 2021, 48, 493–502. [Google Scholar] [CrossRef] [PubMed]
- Zhang, B.; Ouyang, Y.; Xu, J.; Liu, K. Cadmium remobilization from shoot to grain is related to pH of vascular bundle in rice. Ecotoxicol. Environ. Saf. 2018, 147, 913–918. [Google Scholar] [CrossRef]
- Shaar-Moshe, L.; Hayouka, R.; Roessner, U.; Peleg, Z. Phenotypic and metabolic plasticity shapes life-history strategies under combinations of abiotic stresses. Plant Direct 2019, 3, e00113. [Google Scholar] [CrossRef] [PubMed]
- Mertens, D.; Boege, K.; Kessler, A.; Koricheva, J.; Thaler, J.S.; Whiteman, N.K.; Poelman, E.H. Predictability of biotic stress structures plant defence evolution. Trends Ecol. Evol. 2021, 36, 444–456. [Google Scholar] [CrossRef] [PubMed]





| N (kg N ha−1 yr−1) | Cd (mg kg−1) | Total Root Length (cm) | Total Root Surface Area (cm2) | Average Root Diameter (mm) | Total Root Volume (cm3) | The Proportion of the Length of Fine Roots with Different Diameter Classes to Total Root Length (%) | ||
|---|---|---|---|---|---|---|---|---|
| 0–0.5 mm | 0.5–1 mm | 1–2 mm | ||||||
| 0 | 0 | 6236.20 ± 626.70 b | 1080.60 ± 34.40 b | 0.52 ± 0.02 b | 16.79 ± 0.54 b | 66.88 ± 1.00 ab | 24.97 ± 0.04 bc | 8.15 ± 0.97 b |
| 0 | 100 | 6445.24 ± 1815.82 b | 1342.86 ± 389.49 b | 0.64 ± 0.01 a | 23.99 ± 3.72 b | 56.53 ± 0.16 c | 31.40 ± 0.26 a | 12.07 ± 0.09 a |
| 90 | 0 | 15,991.44 ± 1747.08 a | 2318.75 ± 250.20 a | 0.50 ± 0.02 b | 23.18 ± 4.68 b | 72.09 ± 3.01 a | 21.88 ± 2.16 c | 6.02 ± 0.91 b |
| 90 | 100 | 14,579.63 ± 3224.05 a | 2602.361 ± 549.36 a | 0.55 ± 0.01 b | 39.36 ± 5.53 a | 64.37 ± 1.32 b | 27.86 ± 0.59 ab | 7.77 ± 0.73 b |
| PCd | NS | NS | ** | * | * | * | * | |
| PN | ** | ** | * | * | * | NS | * | |
| PN × Cd | NS | NS | NS | NS | NS | NS | NS | |
| N (kg N·ha−1 yr−1) | Cd (mg·kg−1 Dry Soil) | Root Cd (mg·kg−1) | Stem Cd (mg·kg−1) | Leaf Cd (mg·kg−1) |
|---|---|---|---|---|
| 0 | 0 | 1.95 ± 0.35 c | 1.78 ± 0.19 c | 0.18 ± 0.05 c |
| 0 | 100 | 1701.01 ± 53.06 b | 12.2 ± 0.64 b | 2.08 ± 1.13 b |
| 90 | 0 | 2.85 ± 0.02 c | 2.78 ± 0.71 c | 0.48 ± 0.11 bc |
| 90 | 100 | 2451.07 ± 392.77 a | 15.62 ± 0.93 a | 5.43 ± 0.14 a |
| PCd | ** | ** | ** | |
| PN | NS | * | * | |
| PN × Cd | NS | NS | * |
Disclaimer/Publisher’s Note: The statements, opinions and data contained in all publications are solely those of the individual author(s) and contributor(s) and not of MDPI and/or the editor(s). MDPI and/or the editor(s) disclaim responsibility for any injury to people or property resulting from any ideas, methods, instructions or products referred to in the content. |
© 2023 by the authors. Licensee MDPI, Basel, Switzerland. This article is an open access article distributed under the terms and conditions of the Creative Commons Attribution (CC BY) license (https://creativecommons.org/licenses/by/4.0/).
Share and Cite
Liu, M.; Shi, M.; Gao, H.; Zheng, Y.; Yi, L. Nitrogen Addition Alleviates Cadmium Toxicity in Eleocarpus glabripetalus Seedlings. Forests 2023, 14, 1264. https://doi.org/10.3390/f14061264
Liu M, Shi M, Gao H, Zheng Y, Yi L. Nitrogen Addition Alleviates Cadmium Toxicity in Eleocarpus glabripetalus Seedlings. Forests. 2023; 14(6):1264. https://doi.org/10.3390/f14061264
Chicago/Turabian StyleLiu, Meihua, Mengjiao Shi, Haili Gao, Yu Zheng, and Lita Yi. 2023. "Nitrogen Addition Alleviates Cadmium Toxicity in Eleocarpus glabripetalus Seedlings" Forests 14, no. 6: 1264. https://doi.org/10.3390/f14061264
APA StyleLiu, M., Shi, M., Gao, H., Zheng, Y., & Yi, L. (2023). Nitrogen Addition Alleviates Cadmium Toxicity in Eleocarpus glabripetalus Seedlings. Forests, 14(6), 1264. https://doi.org/10.3390/f14061264

