Responses of Soil C, N, and P Stoichiometrical Characteristics, Enzyme Activities and Microbes to Land Use Changes in Southwest China Karst
Abstract
1. Introduction
2. Materials and Methods
2.1. Study Area Description
2.2. Sample Plot Set and Soil Sample Collection
2.3. Soil Total C, N and P Content Determination
2.4. Soil Enzyme Activity Measurement
2.5. PFLAs Extraction and Identification
2.6. Statistical Analyses
3. Results
3.1. Soil C, N, and P Stoichiometrical Characteristics
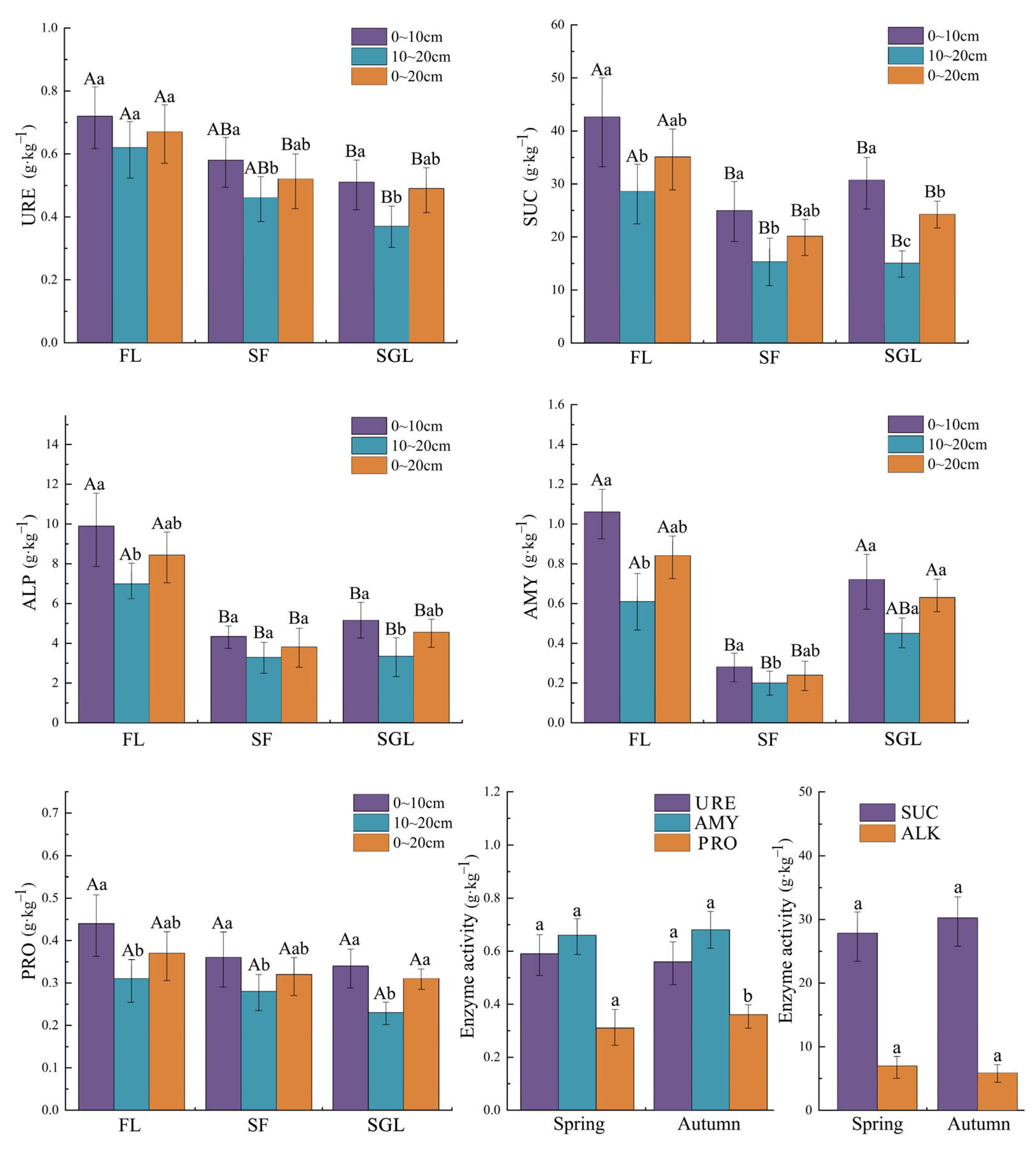
3.2. Soil Enzyme Activities
3.3. Soil Microbial PLFAs
3.4. Correlations between soil C, N, and P Stoichiometrical Characteristics, Soil Enzyme Activities and Microbial PLFAs
3.5. PCA Analysis
4. Discussion
4.1. Effects of Land Use Changes on Soil C, N, and P Stoichiometrical Characteristics in the Karst Ecosystem
4.2. Responses of Soil Enzyme Activities and Microbe Communities to Land Use Changes in the Karst Ecosystem
4.3. Relationships between Soil Nutrition Stoichiometrical Characteristics, Enzyme Activities and Microbes
5. Conclusions
Supplementary Materials
Author Contributions
Funding
Institutional Review Board Statement
Informed Consent Statement
Data Availability Statement
Acknowledgments
Conflicts of Interest
References
- Bai, Y.X.; Sheng, M.Y.; Hu, Q.J.; Zhao, C.; Xiao, H.L. Response of soil organic carbon and its active fractions to restoration measures in the karst rocky desertification ecosystem, SW China. Pol. J. Environ. Stud. 2021, 30, 1991–2011. [Google Scholar] [CrossRef] [PubMed]
- Wang, L.J.; Wang, P.; Sheng, M.Y.; Tian, J. Ecological stoichiometry and environmental influencing factor of soil nutrients in the karst rocky desertification ecosystem, southwest China. Glob. Ecol. Conserv. 2018, 16, e00449. [Google Scholar] [CrossRef]
- Ha, K.V.; Marchner, P.; Bünemann, E.K. Dynamics of C, N, P and microbial community composition in particulate soil organic matter during residue decomposition. Plant Soil 2008, 303, 253–264. [Google Scholar] [CrossRef]
- Anderson, T.H. Microbial eco-physiological indicators to asses soil quality. Agr. Ecosyst. Environ. 2003, 98, 285–293. [Google Scholar] [CrossRef]
- Rathore, A.P.; Chaudhary, D.R.; Jha, B. Seasonal patterns of microbial community structure and enzyme activities in coastal saline soils of perennial halophytes. Land Degrad. Dev. 2017, 28, 1779–1790. [Google Scholar] [CrossRef]
- Insam, H.; Hutchinson, T.C.; Reber, H.H. Effects of heavy metal stress on the metabolic quotient of the soil microflora. Soil Biol. Biochem. 1996, 28, 691–694. [Google Scholar] [CrossRef]
- Merino, C.; Godoy, R.; Matus, F. Soil enzymes and biological activity at different levels of organic matter stability. J. Soil Sci. Plant Nut. 2016, 16, 14–30. [Google Scholar]
- Tian, J.; Sheng, M.Y.; Wang, P.; Wen, P.C. Influence of land use change on litter and soil C, N, P stoichiometric characteristics and soil enzyme activity in karst ecosystem, Southwest China. Environ. Sci. 2019, 40, 431–439. [Google Scholar]
- Liu, E.K.; Zhao, B.Q.; Li, X.Y.; Jiang, R.B.; Li, Y.T.; Hwat, B.S. Biological properties and enzymatic activity of arable soils affected by long-term different fertilization systems. Chin. J. Plant Ecol. 2008, 32, 176–182. [Google Scholar]
- Kevin, Z.M.; Bahar, S.R.; Yakov, K. Land use affects soil biochemical properties in Mt. Kilimanjaro region. Catena 2016, 141, 22–29. [Google Scholar]
- Guo, L.B.; Gifford, R.M. Soil carbon stocks and land use change: A meta analysis. Glob. Chang. Biol. 2002, 8, 345–360. [Google Scholar] [CrossRef]
- Jobbágy, E.G.; Jackson, R.B. The distribution of soil nutrients with depth: Global patterns and the imprint of plants. Biogeochemistry 2001, 53, 51–77. [Google Scholar] [CrossRef]
- Sheng, M.Y.; Xiong, K.N.; Wang, L.J.; Li, X.N.; Li, R.; Tian, X.J. Response of soil physical and chemical properties to rocky desertification succession in South China Karst. Carbonate Evaporite 2018, 33, 15–28. [Google Scholar] [CrossRef]
- Xu, Z.H.; Ward, S.; Chen, C.R.; Blumfield, T.; Prasolova, N.; Liu, J.X. Soil carbon and nutrient pools, microbial properties and gross nitrogen transformations in adjacent natural forest and hoop pine plantations of subtropical Australia. J. Soil Sediment 2008, 8, 99–105. [Google Scholar] [CrossRef]
- Hu, Q.J.; Sheng, M.Y.; Bai, Y.X.; Yin, J.; Xiao, H.L. Response of C, N, and P stoichiometry characteristics of Broussonetia papyrifera to altitude gradients and soil nutrients in the karst rocky ecosystem, SW China. Plant Soil 2022, 475, 123–136. [Google Scholar] [CrossRef]
- Wang, L.J.; Sheng, M.Y.; Li, S.; Wu, J. Patterns and dynamics of plant diversity and soil physical-chemical properties of the karst rocky desertification ecosystem, SW China. Pol. J. Environ. Stud. 2021, 30, 1393–1408. [Google Scholar] [CrossRef]
- Wang, W.J.; Qiu, L.; Zu, Y.G.; Su, D.X.; An, J.; Wang, H.Y.; Zheng, G.Y.; Sun, W.; Chen, X.Q. Changes in soil organic carbon, nitrogen, pH and bulk density with the development of larch (Larix gmelinii) plantations in China. Glob. Chang. Biol. 2011, 17, 2657–2676. [Google Scholar]
- Kotroczó, S.; Veres, Z.; Fekete, I.; Krakomperger, Z.; Tóth, J.A.; Lajtha, K.; Tóthmérész, B. Soil enzyme activity in response to long-term organic matter manipulation. Soil Biol. Biochem. 2014, 70, 237–243. [Google Scholar] [CrossRef]
- Frostegård, A.; Bååth, E.; Tunlid, A. Shifts in the structure of soil microbial communities in limed forests as revealed by phospholipid fatty acid analysis. Soil Biol. Biochem. 1993, 25, 723–730. [Google Scholar] [CrossRef]
- Bardgett, R.D.; Hobbs, P.J.; Frostagård, A. Changes in soil fungal: Bacterial biomass following reduction in the intensity of management of an upland grassland. Biol. Fert. Soils 1996, 22, 261–264. [Google Scholar] [CrossRef]
- Bååth, E. The use of neutral lipid fatty acids to indicate the physiological conditions of soil fungi. Microb. Ecol. 2003, 45, 373–383. [Google Scholar] [CrossRef]
- Bossio, D.A.; Scow, K.M. Impacts of carbon and flooding on soil microbial communities: Phospholipid fatty acid profiles and substrate utilization patterns. Microb. Ecol. 1998, 35, 265–278. [Google Scholar] [CrossRef]
- Rumpel, C.; Kgel-Knabner, I. Deep soil organic matter–a key but poorly understood component of terrestrial C cycle. Plant Soil 2011, 338, 143–158. [Google Scholar] [CrossRef]
- Don, A.; Schumacher, J.; Freibauer, A. Impact of tropical land-use change on soil organic carbon stocks—A meta-analysis. Glob. Chang. Biol. 2011, 17, 1658–1670. [Google Scholar] [CrossRef]
- Chen, X.W.; Li, B.L. Change in soil carbon and nutrient storage after human disturbance of a primary Korean pine forest in Northeast China. Forest Ecol. Manag. 2003, 186, 197–206. [Google Scholar] [CrossRef]
- Meersmans, J.; van Wesemael, B.; de Ridder, F.; Fallas, D.M.; de Baets, S.; van Molle, M. Changes in organic carbon distribution with depth in agricultural soils in northern Belgium, 1960–2006. Glob. Chang. Biol. 2009, 15, 2739–2750. [Google Scholar] [CrossRef]
- Sistla, S.A.; Schimel, J.P. Stoichiometric flexibility as a regulator of carbon and nutrient cycling in terrestrial ecosystems under change. New Phytol. 2012, 196, 68–78. [Google Scholar] [CrossRef]
- Cleveland, C.C.; Liptzin, D. C:N:P stoichiometry in soil: Is there a “Redfield ratio” for the microbial biomass? Biogeochemistry 2007, 85, 235–252. [Google Scholar] [CrossRef]
- Tian, H.Q.; Chen, G.S.; Zhang, C.; Melillo, J.M.; Hall, C.A.S. Pattern and variation of C:N:P ratios in China’s soils: A synthesis of observational data. Biogeochemistry 2010, 98, 139–151. [Google Scholar] [CrossRef]
- Xiao, L.; Liu, G.; Li, P.; Xue, S. Ecological stoichiometry of plant-soil-enzyme interactions drives secondary plant succession in the abandoned grasslands of Loess Plateau, China. Catena 2021, 202, 105302. [Google Scholar] [CrossRef]
- Hamer, U.; Potthast, K.; Burneo, J.I.; Makeschin, F. Nutrient stocks and phosphorus fractions in mountain soils of Southern Ecuador after conversion of forest to pasture. Biogeochemistry 2013, 112, 495–510. [Google Scholar] [CrossRef]
- Zhu, M.L.; Gong, L.; Zhang, L.L. Soil enzyme activities and their relationships to environmental factors in a typical oasis in the upper reaches of the Tarim River. Environ. Sci. 2015, 36, 2678–2685. [Google Scholar]
- Yu, P.; Li, Y.; Liu, S.; Liu, J.; Ding, Z.; Ma, M.; Tang, X. Afforestation influences soil organic carbon and its fractions associated with aggregates in a karst region of Southwest China. Sci. Total Environ. 2022, 814, 152710. [Google Scholar] [CrossRef] [PubMed]
- Drenovsky, R.E.; Steenwerth, K.L.; Jackson, L.E.; Scow, K.M. Land use and climatic factors structure regional patterns in soil microbial communities. Glob. Ecol. Biogeogr. 2010, 19, 27–39. [Google Scholar] [CrossRef] [PubMed]
- Yan, H.; Cai, Z.C.; Zhong, W. Method for the analysis of phospholipid fatty acids and its application in the study of soil microbial diversity. Acta Pedol. Sin. 2006, 43, 851–859. [Google Scholar]
- Bossio, D.A.; Girvan, M.S.; Verchot, L.; Bullimore, J.; Borelli, T.; Albrecht, A.; Scow, K.M.; Ball, A.S.; Pretty, J.N.; Osborn, A.M. Soil microbial community response to land use change in an agricultural landscape of Western Kenya. Microb. Ecol. 2005, 49, 50–62. [Google Scholar] [CrossRef]
- Cui, J.; Song, D.; Dai, X.; Xu, X.; He, P.; Wang, X.; Liang, G.; Zhou, W.; Zhu, P. Effects of long-term cropping regimes on SOC stability, soil microbial community and enzyme activities in the Mollisol region of Northeast China. Appl. Soil Ecol. 2021, 164, 103941. [Google Scholar] [CrossRef]
- Joshi, R.K.; Garkoti, S.C.; Gupta, R.; Kumar, S.; Mishra, A.; Kumar, M. Recovery of soil microbial biomass, stoichiometry, and herb-layer diversity with chronosequence of farmland land abandonment in the central Himalayas, India. Restor. Ecol. 2023, 31, e13782. [Google Scholar] [CrossRef]
- Koerselman, W.; Meuleman, A.F.M. The vegetation N:P ratio: A new tool to detect the nature of nutrient limitation. J. Appl. Ecol. 1996, 33, 1441–1450. [Google Scholar] [CrossRef]
- Yao, H.; He, Z.; Wilson, M.J.; Campbell, C.D. Microbial biomass and community structure in a sequence of soils with increasing fertility and changing land use. Microb. Ecol. 2000, 40, 223–237. [Google Scholar] [CrossRef]





| Symbol of Sample Plot | Land Use Type | Elevation (m) | Aspect | Slope (°) | Soil Type | Vegetation Type | Average of Vegetation Coverage (%) | Longitude (E) | Latitude (N) | Amount and Number of Sample Square |
|---|---|---|---|---|---|---|---|---|---|---|
| FL | Forest land | 1059~1082 | Southwest | 12~22 | Yellow soil | Natural | 46.75 | 105°39′22″~106°39′31″ | 25°39′11″~25°39′28″ | 11 (FL01~11) |
| SF | Slope farmland | 1061~1079 | Southwest | 14~25 | Yellow soil | Artificial | 50.25 | 105°39′16″~106°39′22″ | 25°39′02″~25°39′11″ | 3 (SF01~03) |
| SGL | Shrub-grassland | 1045~1071 | Southwest | 10~23 | Yellow soil | Natural | 45.50 | 105°39′31″~106°39′45″ | 25°39′28″~25°39′37″ | 7 (AF01~07) |
| Land Use Types | Soil Profile | Saturated PLFAs (S) | Monounsaturated PLFAs (M) | S/M |
|---|---|---|---|---|
| FL | 0~10 cm | 3.34 ± 0.32 Aa | 1.30 ± 0.04 Aa | 2.56 ± 0.19 Ba |
| 10~20 cm | 1.08 ± 0.05 Ac | 0.54 ± 0.04 Cc | 2.01 ± 0.25 Ab | |
| 0~20 cm | 2.21 ± 0.17 Ab | 0.92 ± 0.01 Ab | 2.39 ± 0.16 Aab | |
| SF | 0~10 cm | 3.02 ± 0.04 Aa | 0.96 ± 0.07 Ba | 3.15 ± 0.19 Aa |
| 10~20 cm | 1.04 ± 0.06 Ac | 0.63 ± 0.02 Bc | 1.65 ± 0.14 Bc | |
| 0~20 cm | 2.03 ± 0.03 Ab | 0.80 ± 0.04 Bb | 2.40 ± 0.14 Ab | |
| SGL | 0~10 cm | 2.34 ± 0.12 Ba | 0.85 ± 0.04 Ca | 2.76 ± 0.25 ABa |
| 10~20 cm | 0.94 ± 0.01 Bc | 0.75 ± 0.04 Ab | 1.26 ± 0.07 Cc | |
| 0~20 cm | 1.64 ± 0.05 Bb | 0.81 ± 0.03 Bab | 2.01 ± 0.10 Bb |
| Factors | Soil Microbial PLFA Concentration | Soil Enzyme Activity | |||||||||||||
|---|---|---|---|---|---|---|---|---|---|---|---|---|---|---|---|
| Bacteria (B) | BG+ | BG− | Fungi (F) | F/B | Actino-mycetes | Saturated PLFAs (S) | Monounsaturated PLFAs (M) | S/M | URE | SUC | ALP | AMY | PRO | ||
| Soil C, N, and P content and ratios | C | 0.348 | 0.449 | −0.030 | 0.285 | 0.248 | 0.114 | 0.261 | 0.418 | 0.030 | 0.565 ** | 0.651 ** | 0.548 ** | 0.682 ** | 0.726 ** |
| N | 0.805 ** | 0.273 | 0.377 | 0.766 ** | 0.633 ** | 0.150 | 0.872 ** | 0.845 ** | 0.658 ** | 0.688 ** | 0.577 ** | 0.671 ** | 0.463 ** | 0.476 ** | |
| P | 0.321 | 0.568 * | −0.010 | 0.363 | 0.319 | 0.456 | 0.504 * | 0.550 * | 0.299 | 0.407 ** | 0.658 ** | 0.555 ** | 0.542 ** | 0.614 ** | |
| C:N | −0.499 * | 0.041 | −0.407 | −0.548 * | −0.445 | −0.660 | −0.684 * | −0.505 * | −0.676 ** | −0.363 * | −0.259 | −0.395 ** | −0.091 | −0.094 | |
| C:P | −0.019 | −0.269 | −0.044 | −0.139 | −0.128 | −0.345 | −0.305 | −0.194 | −0.324 | −0.062 | −0.22 | −0.169 | −0.055 | −0.107 | |
| N:P | 0.469 * | −0.263 | 0.409 | 0.418 | 0.334 | −0.299 | 0.394 | 0.308 | 0.383 | 0.336 * | 0.083 | 0.257 | 0.045 | 0.02 | |
| Soil enzyme activity | URE | 0.563 * | 0.322 | 0.269 | 0.527 * | 0.455 | 0.135 | 0.620 ** | 0.570 * | 0.496 * | |||||
| SUC | 0.545 * | 0.01 | 0.411 | 0.567 * | 0.470 * | −0.101 | 0.688 ** | 0.592 ** | 0.57 * | ||||||
| ALP | 0.774 ** | 0.199 | 0.118 | 0.645 ** | 0.466 | 0.367 | 0.751 ** | 0.899 ** | 0.363 | ||||||
| AMY | 0.457 | −0.015 | −0.214 | 0.277 | 0.091 | 0.469 * | 0.403 | 0.638 ** | −0.003 | ||||||
| PRO | 0.575 * | 0.471 * | 0.141 | 0.554 * | 0.438 | 0.312 | 0.698 ** | 0.751 ** | 0.436 | ||||||
| Factors | Principal Components | ||
|---|---|---|---|
| 1 | 2 | 3 | |
| Saturated PLFAs (S) | 0.127 | 0.188 | 0.956 |
| Monounsaturated PLFAs (M) | −0.340 | 0.886 | 0.009 |
| S/M | 0.330 | −0.723 | 0.534 |
| Actinomyces | 0.269 | −0.178 | 0.263 |
| BG+ | 0.545 | 0.365 | 0.722 |
| BG− | −0.377 | 0.877 | 0.010 |
| Bacteria (B) | 0.163 | 0.788 | 0.522 |
| Fungi (F) | −0.583 | 0.318 | 0.652 |
| F/B | −0.595 | −0.312 | 0.238 |
| URE | 0.859 | −0.248 | 0.087 |
| SUC | 0.913 | 0.167 | 0.254 |
| ALP | 0.759 | 0.392 | 0.172 |
| AMY | 0.049 | 0.736 | −0.033 |
| PRO | 0.905 | 0.207 | −0.349 |
| Total C | 0.873 | −0.171 | 0.159 |
| Total N | 0.931 | 0.223 | −0.145 |
| Total P | 0.928 | −0.239 | 0.025 |
| C:N | −0.711 | −0.408 | 0.458 |
| C:P | −0.819 | 0.266 | 0.012 |
| N:P | 0.286 | 0.696 | −0.452 |
| Eigenvalue | 8.19 | 4.78 | 3.23 |
| Percent (%) | 40.94 | 23.92 | 16.15 |
| Cumulative percent (%) | 40.94 | 64.85 | 81.00 |
Disclaimer/Publisher’s Note: The statements, opinions and data contained in all publications are solely those of the individual author(s) and contributor(s) and not of MDPI and/or the editor(s). MDPI and/or the editor(s) disclaim responsibility for any injury to people or property resulting from any ideas, methods, instructions or products referred to in the content. |
© 2023 by the authors. Licensee MDPI, Basel, Switzerland. This article is an open access article distributed under the terms and conditions of the Creative Commons Attribution (CC BY) license (https://creativecommons.org/licenses/by/4.0/).
Share and Cite
Wang, L.; Sheng, M. Responses of Soil C, N, and P Stoichiometrical Characteristics, Enzyme Activities and Microbes to Land Use Changes in Southwest China Karst. Forests 2023, 14, 971. https://doi.org/10.3390/f14050971
Wang L, Sheng M. Responses of Soil C, N, and P Stoichiometrical Characteristics, Enzyme Activities and Microbes to Land Use Changes in Southwest China Karst. Forests. 2023; 14(5):971. https://doi.org/10.3390/f14050971
Chicago/Turabian StyleWang, Linjiao, and Maoyin Sheng. 2023. "Responses of Soil C, N, and P Stoichiometrical Characteristics, Enzyme Activities and Microbes to Land Use Changes in Southwest China Karst" Forests 14, no. 5: 971. https://doi.org/10.3390/f14050971
APA StyleWang, L., & Sheng, M. (2023). Responses of Soil C, N, and P Stoichiometrical Characteristics, Enzyme Activities and Microbes to Land Use Changes in Southwest China Karst. Forests, 14(5), 971. https://doi.org/10.3390/f14050971

