Effects of Climate on Stand-Level Biomass for Larch Plantations in Heilongjiang Province, Northeast China
Abstract
1. Introduction
2. Materials and Methods
2.1. Study Area
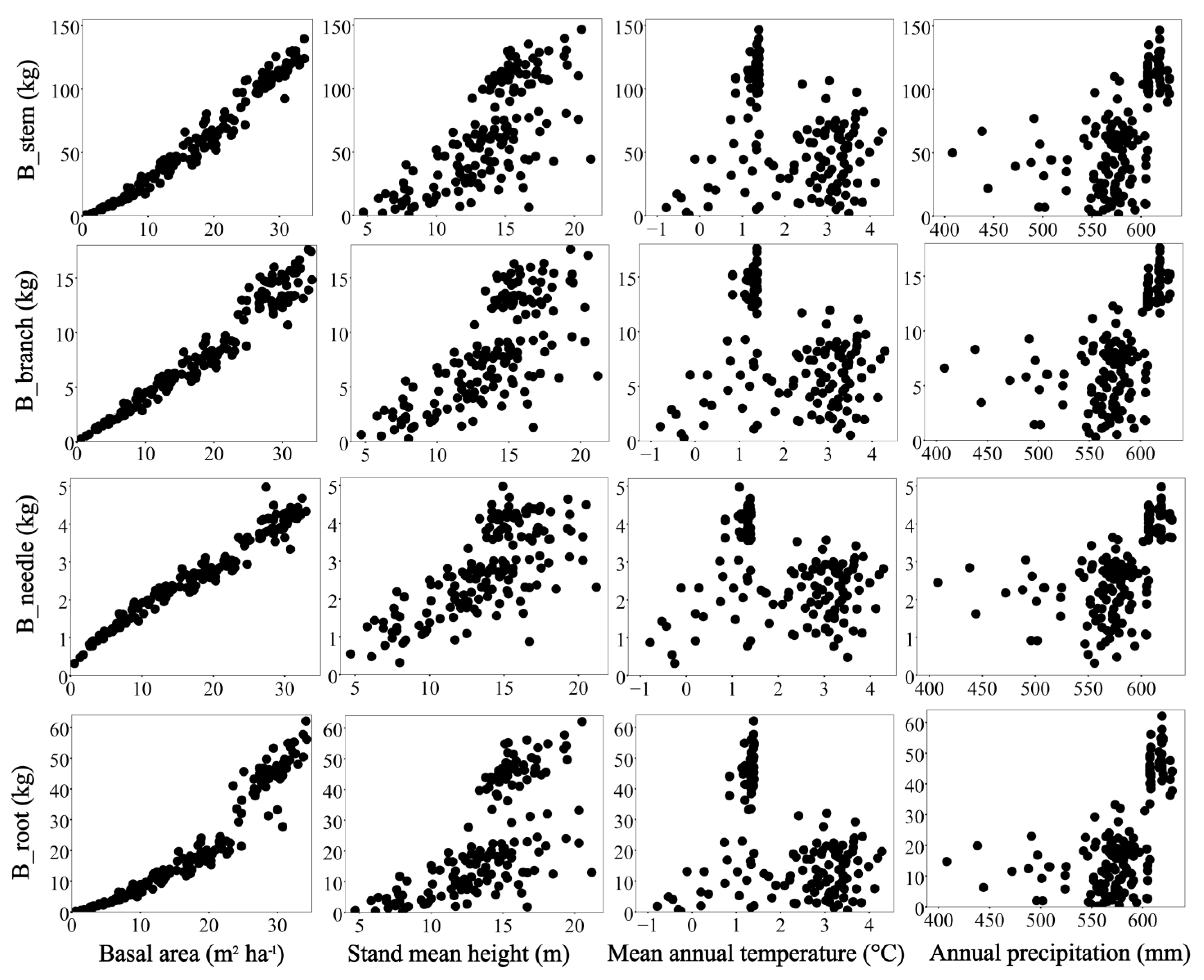
2.2. Data Collection
2.3. Stand Biomass Calculation
2.4. Climate Data
2.5. Stand Biomass Model Development
2.5.1. Basic Model
2.5.2. Stand-Level Biomass Climate-Based Model
2.6. Weighting Function to Overcome Heteroscedasticity
2.7. Statistical Analysis and Model Evaluation
3. Results
3.1. Model Fitting
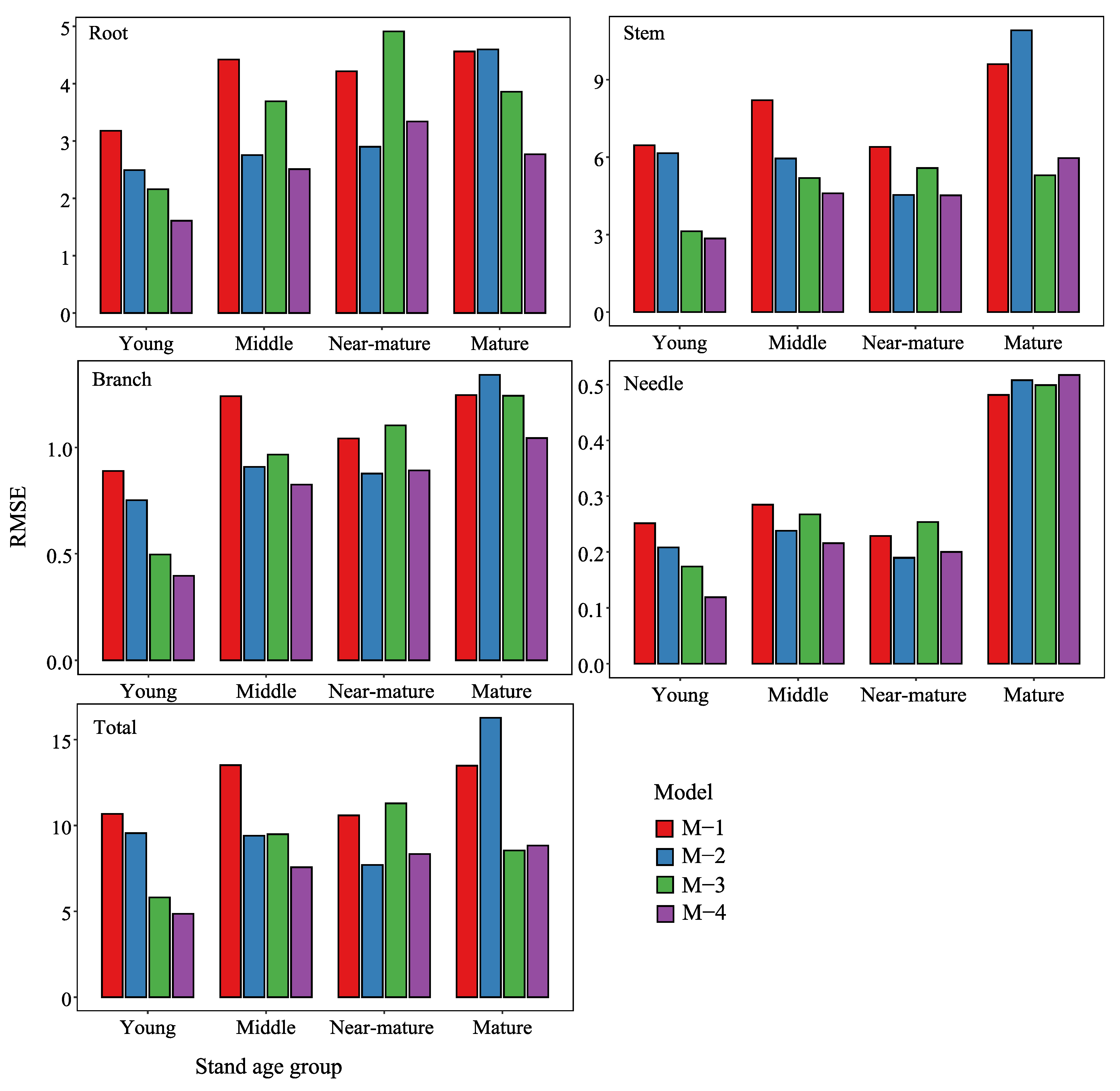
3.2. Model Validation
3.3. Comparison toward Previously Published Model
4. Discussion
4.1. Performance of Basic Models and Stand-Level Biomass Climate-Based Models
4.2. The Effects of Climate Variables on Stand-Level Biomass Models
4.3. Comparison with Previously Published Studies
5. Conclusions
Author Contributions
Funding
Data Availability Statement
Acknowledgments
Conflicts of Interest
References
- Erickson, L.E.; Brase, G. Paris Agreement on Climate Change. In Reducing Greenhouse Gas Emissions and Improving Air Quality; CRC Press: Boca Raton, FL, USA, 2019; pp. 11–22. ISBN 9781351116589. [Google Scholar]
- IPCC. Climate Change 2014: Synthesis Report. Contribution; IPCC: Geneva, Szwitzerland, 2014; ISBN 9789291691432. [Google Scholar]
- United Nations Environment Programme and International Union for Conservation of Nature. Nature-Based Solutions for Climate Change Mitigation; UNEP: Nairobi, Kenya; IUCN: Gland, Switzerland, 2021; ISBN 9789280738971. [Google Scholar]
- Thuiller, W.; Lavorel, S.; Araújo, M.B.; Sykes, M.T.; Prentice, I.C. Climate Change Threats to Plant Diversity in Europe. Proc. Natl. Acad. Sci. USA 2005, 102, 8245–8250. [Google Scholar] [CrossRef] [PubMed]
- He, B.; Miao, L.; Cui, X.; Wu, Z. Carbon Sequestration from China’s Afforestation Projects. Environ. Earth Sci. 2015, 74, 5491–5499. [Google Scholar] [CrossRef]
- Fang, J.; Chen, A.; Peng, C.; Zhao, S.; Ci, L. Changes in Forest Biomass Carbon Storage in China between 1949 and 1998. Science (80-) 2001, 292, 2320–2322. [Google Scholar] [CrossRef]
- Dong, L.; Liu, Y.; Zhang, L.; Longfei, X. Variation in Carbon Concentration and Allometric Equations for Estimating Tree Carbon Contents of 10 Broadleaf Species in Natural Forests in Northeast China. Forests 2019, 10, 928. [Google Scholar] [CrossRef]
- Dong, L.; Zhang, Y.; Zhang, Z.; Xie, L.; Li, F. Comparison of Tree Biomass Modeling Approaches for Larch (Larix Olgensis Henry) Trees in Northeast China. Forests 2020, 11, 202. [Google Scholar] [CrossRef]
- Keith, H.; Mackey, B.G.; Lindenmayer, D.B. Re-Evaluation of Forest Biomass Carbon Stocks and Lessons from the World’s Most Carbon-Dense Forests. Proc. Natl. Acad. Sci. USA 2009, 106, 11635–11640. [Google Scholar] [CrossRef]
- Dixon, R.K.; Brown, S.; Houghton, R.A.; Solomon, A.M.; Trexler, M.C.; Wisniewski, J. Carbon Pools and Flux of Global Forest Ecosystems. Science (80-) 1994, 263, 185–190. [Google Scholar] [CrossRef]
- Balboa-Murias, M.Á.; Rodríguez-Soalleiro, R.; Merino, A.; Álvarez-González, J.G. Temporal Variations and Distribution of Carbon Stocks in Aboveground Biomass of Radiata Pine and Maritime Pine Pure Stands under Different Silvicultural Alternatives. For. Ecol. Manag. 2006, 237, 29–38. [Google Scholar] [CrossRef]
- Dong, L.; Zhang, L.; Li, F. Evaluation of Stand Biomass Estimation Methods for Major Forest Types in the Eastern Da Xing’an Mountains, Northeast China. Forests 2019, 10, 715. [Google Scholar] [CrossRef]
- Laclau, P. Biomass and Carbon Sequestration of Ponderosa Pine Plantations and Native Cypress Forests in Northwest Patagonia. For. Ecol. Manag. 2003, 180, 317–333. [Google Scholar] [CrossRef]
- Lehtonen, A.; Palviainen, M.; Ojanen, P.; Kalliokoski, T.; Nöjd, P.; Kukkola, M.; Penttilä, T.; Mäkipää, R.; Leppälammi-Kujansuu, J.; Helmisaari, H.S. Modelling Fine Root Biomass of Boreal Tree Stands Using Site and Stand Variables. For. Ecol. Manag. 2016, 359, 361–369. [Google Scholar] [CrossRef]
- Parresol, B.R. Assessing Tree and Stand Biomass: A Review with Examples and Critical Comparisons. For. Sci. 1999, 45, 573–593. [Google Scholar]
- Parresol, B.R. Additivity of Nonlinear Biomass Equations. Can. J. For. Res. 2001, 31, 865–878. [Google Scholar] [CrossRef]
- Bi, H.; Turner, J.; Lambert, M. Additive Biomass Equations for Native Eucalypt Forest Trees of Temperate Australia. Trees 2004, 18, 467–479. [Google Scholar] [CrossRef]
- Rutishauser, E.; Noor’an, F.; Laumonier, Y.; Halperin, J.; Rufi’ie; Hergoualch, K.; Verchot, L. Generic Allometric Models Including Height Best Estimate Forest Biomass and Carbon Stocks in Indonesia. For. Ecol. Manag. 2013, 307, 219–225. [Google Scholar] [CrossRef]
- Saha, C.; Mahmood, H.; Nandi, S.; Nayan, S.; Raqibul, M.; Siddique, H.; Abdullah, S.M.R.; Islam, S.M.Z.; Iqbal, Z.; Akhter, M. Allometric Biomass Models for the Most Abundant Fruit Tree Species of Bangladesh: A Non-Destructive Approach. Environ. Chall. 2021, 3, 100047. [Google Scholar] [CrossRef]
- Zhao, M.; Yang, J.; Zhao, N.; Liu, Y.; Wang, Y.; Wilson, J.P.; Yue, T. Estimation of China’s Forest Stand Biomass Carbon Sequestration Based on the Continuous Biomass Expansion Factor Model and Seven Forest Inventories from 1977 to 2013. For. Ecol. Manag. 2019, 448, 528–534. [Google Scholar] [CrossRef]
- Fayolle, A.; Doucet, J.L.; Gillet, J.F.; Bourland, N.; Lejeune, P. Tree Allometry in Central Africa: Testing the Validity of Pantropical Multi-Species Allometric Equations for Estimating Biomass and Carbon Stocks. For. Ecol. Manag. 2013, 305, 29–37. [Google Scholar] [CrossRef]
- Kumi, J.A.; Kyereh, B.; Ansong, M.; Asante, W. Influence of Management Practices on Stand Biomass, Carbon Stocks and Soil Nutrient Variability of Teak Plantations in a Dry Semi-Deciduous Forest in Ghana. Trees For. People 2021, 3, 100049. [Google Scholar] [CrossRef]
- Ross, C.W.; Hanan, N.P.; Prihodko, L.; Anchang, J.; Ji, W.; Yu, Q. Woody-Biomass Projections and Drivers of Change in Sub-Saharan Africa. Nat. Clim. Chang. 2021, 11, 449–455. [Google Scholar] [CrossRef]
- Bi, H.; Long, Y.; Turner, J.; Lei, Y.; Snowdon, P.; Li, Y.; Harper, R.; Zerihun, A.; Ximenes, F. Additive Prediction of Aboveground Biomass for Pinus Radiata (D. Don) Plantations. For. Ecol. Manag. 2010, 259, 2301–2314. [Google Scholar] [CrossRef]
- Lemay, V.; Temesgen, H. Connecting Inventory Information Sources for Landscape Level Analyses. For. Biometry Model. Inf. Sci. 2005, 1, 37–49. [Google Scholar]
- Wang, X.; Ouyang, S.; Sun, O.J.; Fang, J. Forest Biomass Patterns across Northeast China Are Strongly Shaped by Forest Height. For. Ecol. Manag. 2013, 293, 149–160. [Google Scholar] [CrossRef]
- Castedo-Dorado, F.; Gómez-García, E.; Diéguez-Aranda, U.; Barrio-Anta, M.; Crecente-Campo, F. Aboveground Stand-Level Biomass Estimation: A Comparison of Two Methods for Major Forest Species in Northwest Spain. Ann. For. Sci. 2012, 69, 735–746. [Google Scholar] [CrossRef]
- Tang, S.; Li, Y.; Wang, Y. Simultaneous Equations, Error-in-Variable Models, and Model Integration in Systems Ecology. Ecol. Model. 2001, 142, 285–294. [Google Scholar] [CrossRef]
- Trautenmüller, J.W.; Péllico Netto, S.; Balbinot, R.; Watzlawick, L.F.; Dalla Corte, A.P.; Sanquetta, C.R.; Behling, A. Regression Estimators for Aboveground Biomass and Its Constituent Parts of Trees in Native Southern Brazilian Forests. Ecol. Indic. 2021, 130, 108025. [Google Scholar] [CrossRef]
- Zhao, D.; Kane, M.; Markewitz, D.; Teskey, R.; Clutter, M. Additive Tree Biomass Equations for Midrotation Loblolly Pine Plantations. For. Sci. 2015, 61, 613–623. [Google Scholar] [CrossRef]
- Gao, Z.; Wang, Q.; Hu, Z.; Luo, P.; Duan, G.; Sharma, R.P.; Ye, Q.; Gao, W.; Song, X.; Fu, L. Comparing Independent Climate-Sensitive Models of Aboveground Biomass and Diameter Growth with Their Compatible Simultaneous Model System for Three Larch Species in China. Int. J. Biomath. 2019, 12, 1–20. [Google Scholar] [CrossRef]
- Trasobares, A.; Mola-Yudego, B.; Aquilué, N.; Ramón González-Olabarria, J.; Garcia-Gonzalo, J.; García-Valdés, R.; De Cáceres, M. Nationwide Climate-Sensitive Models for Stand Dynamics and Forest Scenario Simulation. For. Ecol. Manag. 2022, 505, 119909. [Google Scholar] [CrossRef]
- Fu, L.; Lei, X.; Hu, Z.; Zeng, W.; Tang, S.; Marshall, P.; Cao, L.; Song, X.; Yu, L.; Liang, J. Integrating Regional Climate Change into Allometric Equations for Estimating Tree Aboveground Biomass of Masson Pine in China. Ann. For. Sci. 2017, 74, 1–15. [Google Scholar] [CrossRef]
- Zeng, W.S.; Duo, H.R.; Lei, X.D.; Chen, X.Y.; Wang, X.J.; Pu, Y.; Zou, W.T. Individual Tree Biomass Equations and Growth Models Sensitive to Climate Variables for Larix Spp. in China. Eur. J. For. Res. 2017, 136, 233–249. [Google Scholar] [CrossRef]
- Krug, J.H.A. How Can Forest Management Increase Biomass Accumulation and CO2 Sequestration? A Case Study on Beech Forests in Hesse, Germany. Carbon Balance Manag. 2019, 14, 1–16. [Google Scholar] [CrossRef] [PubMed]
- Forrester, D.I.; Tachauer, I.H.H.; Annighoefer, P.; Barbeito, I.; Pretzsch, H.; Ruiz-Peinado, R.; Stark, H.; Vacchiano, G.; Zlatanov, T.; Chakraborty, T.; et al. Generalized Biomass and Leaf Area Allometric Equations for European Tree Species Incorporating Stand Structure, Tree Age and Climate. For. Ecol. Manag. 2017, 396, 160–175. [Google Scholar] [CrossRef]
- Zhu, K.; Zhang, J.; Niu, S.; Chu, C.; Luo, Y. Limits to Growth of Forest Biomass Carbon Sink under Climate Change. Nat. Commun. 2018, 9, 2709. [Google Scholar] [CrossRef]
- Chen, D.; Huang, X.; Zhang, S.; Sun, X. Biomass Modeling of Larch (Larix Spp.) Plantations in China Based on the Mixed Model, Dummy Variable Model, and Bayesian Hierarchical Model. Forests 2017, 8, 268. [Google Scholar] [CrossRef]
- Leng, W.; He, H.S.; Bu, R.; Dai, L.; Hu, Y.; Wang, X. Predicting the Distributions of Suitable Habitat for Three Larch Species under Climate Warming in Northeastern China. For. Ecol. Manag. 2008, 254, 420–428. [Google Scholar] [CrossRef]
- Fu, L.; Sun, W.; Wang, G. A Climate-Sensitive Aboveground Biomass Model for Three Larch Species in Northeastern and Northern China. Trees-Struct. Funct. 2017, 31, 557–573. [Google Scholar] [CrossRef]
- Lei, X.; Yu, L.; Hong, L. Climate-Sensitive Integrated Stand Growth Model (CS-ISGM) of Changbai Larch (Larix Olgensis) Plantations. For. Ecol. Manag. 2016, 376, 265–275. [Google Scholar] [CrossRef]
- Dong, L.; Lu, W.; Liu, Z. Determining the Optimal Rotations of Larch Plantations When Multiple Carbon Pools and Wood Products Are Valued. For. Ecol. Manag. 2020, 474, 118356. [Google Scholar] [CrossRef]
- Liu, C.; Zhang, L.; Li, F.; Jin, X. Spatial Modeling of the Carbon Stock of Forest Trees in Heilongjiang Province, China. J. For. Res. 2014, 25, 269–280. [Google Scholar] [CrossRef]
- Hidalgo, C.A.; Klinger, B.; Barabási, A.; Hausmann, R. A Large and Persistent Carbon Sink in the World’s Forests. Science (80-) 2007, 317, 4. [Google Scholar]
- Ju, W.M.; Chen, J.M.; Harvey, D.; Wang, S. Future Carbon Balance of China’s Forests under Climate Change and Increasing CO2. J. Environ. Manag. 2007, 85, 538–562. [Google Scholar] [CrossRef]
- Dong, L.; Zhang, L.; Li, F. A Three-Step Proportional Weighting System of Nonlinear Biomass Equations. For. Sci. 2015, 61, 35–45. [Google Scholar] [CrossRef]
- Jagodziński, A.M.; Dyderski, M.K.; Gȩsikiewicz, K.; Horodecki, P. Tree- and Stand-Level Biomass Estimation in a Larix Decidua Mill. Chronosequence. Forests 2018, 9, 587. [Google Scholar] [CrossRef]
- Leng, W.; He, H.S.; Liu, H. Response of Larch Species to Climate Changes. J. Plant Ecol. 2008, 1, 203–205. [Google Scholar] [CrossRef]
- Xin, S.; Wang, J.; Mahardika, S.B.; Jiang, L. Sensitivity of Stand-Level Biomass to Climate for Three Conifer Plantations in Northeast China. Forests 2022, 13, 2022. [Google Scholar] [CrossRef]
- Gao, H.; Dong, L.; Li, F.; Zhang, L. Evaluation of Four Methods for Predicting Carbon Stocks of Korean Pine Plantations in Heilongjiang Province, China. PLoS ONE 2015, 10, e0145017. [Google Scholar] [CrossRef]
- Hai-qing, H.; Yuan-chun, L.; Yan, J. Estimation of the Carbon Storage of Forest Vegetation and Carbon Emission from Forest Fires in Heilongjiang Province, China. J. For. Res. 2007, 18, 17–22. [Google Scholar] [CrossRef]
- Liu, N.; Wang, D.; Guo, Q. Exploring the Influence of Large Trees on Temperate Forest Spatial Structure from the Angle of Mingling. For. Ecol. Manag. 2021, 492, 119220. [Google Scholar] [CrossRef]
- National Forestry and Grassland Administration of China. Forest Resources in China-The 9th National Forest Inventory; National Forestry and Grassland Administration of China: Beijing, China, 2019.
- Li, F. Forest Mensuration, 4th ed.; China Forestry Publishing House: Beijing, China, 2019. (In Chinese) [Google Scholar]
- Dong, L. Developing Individual and Stand-Level Biomass Equations in Northeast China Forest Area. Ph.D. Thesis, Northeast Forestry University, Harbin, China, 2015. (In Chinese with an English abstract). [Google Scholar]
- Wang, C. Biomass Allometric Equations for 10 Co-Occurring Tree Species in Chinese Temperate Forests. For. Ecol. Manag. 2006, 222, 9–16. [Google Scholar] [CrossRef]
- Ali, A.; Lin, S.L.; He, J.K.; Kong, F.M.; Yu, J.H.; Jiang, H.S. Climate and Soils Determine Aboveground Biomass Indirectly via Species Diversity and Stand Structural Complexity in Tropical Forests. For. Ecol. Manag. 2019, 432, 823–831. [Google Scholar] [CrossRef]
- Guo, H.; Lei, X.; You, L.; Zeng, W.; Lang, P.; Lei, Y. Climate-Sensitive Diameter Distribution Models of Larch Plantations in North and Northeast China. For. Ecol. Manag. 2022, 506, 119947. [Google Scholar] [CrossRef]
- Wang, T.; Wang, G.; Innes, J.L.; Seely, B.; Chen, B. ClimateAP: An Application for Dynamic Local Downscaling of Historical and Future Climate Data in Asia Pacific. Front. Agric. Sci. Eng. 2017, 4, 448–458. [Google Scholar] [CrossRef]
- Zhou, Z.; Fu, L.; Zhou, C.; Sharma, R.P.; Zhang, H. Simultaneous Compatible System of Models of Height, Crown Length, and Height to Crown Base for Natural Secondary Forests of Northeast China. Forests 2022, 13, 148. [Google Scholar] [CrossRef]
- Paré, D.; Bernier, P.; Lafleur, B.; Titus, B.D.; Thiffault, E.; Maynard, D.G.; Guo, X. Estimating Stand-Scale Biomass, Nutrient Contents, and Associated Uncertainties for Tree Species of Canadian Forests David. Can. J. For. Res. 2013, 43, 599–608. [Google Scholar] [CrossRef]
- Hirschberg, J.G.; Slottje, D.J. The Reparameterization of Linear Models; The University of Melbourne: Victoria, Australia, 1999. [Google Scholar]
- Parresol, B.R. Modeling Multiplicative Error Variance-An Example Predicting Tree Diameter from Stump Dimensions in Baldcypress. For. Sci. 1993, 39, 670–679. [Google Scholar]
- Zeng, W.-S.; Tang, S.-Z. Modeling Compatible Single-Tree Aboveground Biomass Equations for Masson Pine (Pinus Massoniana) in Southern China. J. For. Res. 2012, 23, 593–598. [Google Scholar] [CrossRef]
- Xin, S.; Mahardika, S.B.; Jiang, L. Stand-Level Biomass Estimation for Korean Pine Plantations Based on Four Additive Methods in Heilongjiang Province, Northeast China. Cerne 2022, 28, 1–11. [Google Scholar] [CrossRef]
- Dong, L.; Zhang, L.; Li, F. Developing Additive Systems of Biomass Equations for Nine Hardwood Species in Northeast China. Trees-Struct. Funct. 2015, 29, 1149–1163. [Google Scholar] [CrossRef]
- SAS Institute Inc. SAS/ETS® User’s Guide; SAS Institute Inc.: Cary, NC, USA, 2021; Volume 2021, p. 58. [Google Scholar]
- Harvey, A.C. Estimating Regression Models with Multiplicative Heteroscedasticity. Econometrica 1976, 44, 461. [Google Scholar] [CrossRef]
- Dong, L.; Zhang, L.; Li, F. A Compatible System of Biomass Equations for Three Conifer Species in Northeast, China. For. Ecol. Manag. 2014, 329, 306–317. [Google Scholar] [CrossRef]
- R Core Team. R: A Language and Environment for Statistical Computing; R Foundation for Statistical Computing: Vienna, Austria, 2022; p. 3806. [Google Scholar]
- National Forestry and Grassland Administration of China. China Forestry and Grassland Development Report 2019; National Forestry and Grassland Administration of China: Beijing, China, 2019.
- He, X.; Lei, X.; Dong, L. How Large Is the Difference in Large-Scale Forest Biomass Estimations Based on New Climate-Modified Stand Biomass Models? Ecol. Indic. 2021, 126, 107569. [Google Scholar] [CrossRef]
- Albert, M.; Schmidt, M. Climate-Sensitive Modelling of Site-Productivity Relationships for Norway Spruce (Picea Abies (L.) Karst.) and Common Beech (Fagus Sylvatica L.). For. Ecol. Manag. 2010, 259, 739–749. [Google Scholar] [CrossRef]
- Chou, J.; Xu, Y.; Dong, W.; Xian, T.; Xu, H.; Wang, Z. Comprehensive Climate Factor Characteristics and Quantitative Analysis of Their Impacts on Grain Yields in China’s Grain-Producing Areas. Heliyon 2019, 5, e02846. [Google Scholar] [CrossRef]
- Nothdurft, A. Climate Sensitive Single Tree Growth Modeling Using a Hierarchical Bayes Approach and Integrated Nested Laplace Approximations (INLA) for a Distributed Lag Model. For. Ecol. Manag. 2020, 478, 118497. [Google Scholar] [CrossRef]
- Di Cosmo, L.; Gasparini, P.; Tabacchi, G. A National-Scale, Stand-Level Model to Predict Total above-Ground Tree Biomass from Growing Stock Volume. For. Ecol. Manag. 2016, 361, 269–276. [Google Scholar] [CrossRef]
- Curtis, R.O.; Marshall, D.D. Why Quadratic Mean Diameter? West. J. Appl. For. 2000, 15, 137–139. [Google Scholar] [CrossRef]
- Case, B.S.; Hall, R.J. Assessing Prediction Errors of Generalized Tree Biomass and Volume Equations for the Boreal Forest Region of West-Central Canada. Can. J. For. Res. 2008, 38, 878–889. [Google Scholar] [CrossRef]
- Guo, Y.; Peng, C.; Trancoso, R.; Zhu, Q.; Zhou, X. Stand Carbon Density Drivers and Changes under Future Climate Scenarios across Global Forests. For. Ecol. Manag. 2019, 449, 117463. [Google Scholar] [CrossRef]
- Fontes, L.; Bontemps, J.-D.; Bugmann, H.; Van Oijen, M.; Gracia, C.; Kramer, K.; Lindner, M.; Rötzer, T.; Skovsgaard, J.P. Models for Supporting Forest Management in a Changing Environment. For. Syst. 2011, 3, 8. [Google Scholar] [CrossRef]
- Wang, X.Y.; Zhao, C.Y.; Jia, Q.Y. Impacts of Climate Change on Forest Ecosystems in Northeast China. Adv. Clim. Chang. Res. 2013, 4, 230–241. [Google Scholar] [CrossRef]
- Khan, D.; Din, E.U.; Muneer, M.A.; Hayat, M.; Khan, T.U.; Asif, M.; Shah, S.; Uddin, S.; Munir, M.Z.; Zaib-Un-nisa. Effect of Temperature and Precipitation on Stem Biomass and Composition of White Birch (Betula Platyphylla) in Daxing’anling Mountains Inner Mongolia, China. Appl. Ecol. Environ. Res. 2019, 17, 13945–13959. [Google Scholar] [CrossRef]
- Reich, P.B.; Luo, Y.; Bradford, J.B.; Poorter, H.; Perry, C.H.; Oleksyn, J. Temperature Drives Global Patterns in Forest Biomass Distribution in Leaves, Stems, and Roots. Proc. Natl. Acad. Sci. USA 2014, 111, 13721–13726. [Google Scholar] [CrossRef] [PubMed]
- Huang, C.; Liang, Y.; He, H.S.; Wu, M.M.; Liu, B.; Ma, T. Sensitivity of Aboveground Biomass and Species Composition to Climate Change in Boreal Forests of Northeastern China. Ecol. Modell. 2021, 445, 109472. [Google Scholar] [CrossRef]
- Usoltsev, V.A.; Shobairi, S.O.R.; Tsepordey, I.S. Are There Differences in the Reaction of the Light-Tolerant Subgenus Pinus Spp. Biomass to Climate Change as Compared to Light-Intolerant Genus Picea Spp.? Plants 2020, 9, 1255. [Google Scholar] [CrossRef] [PubMed]
- Luo, Y.; Wang, X.; Zhang, X.; Ren, Y.; Poorter, H. Variation in Biomass Expansion Factors for China’s Forests in Relation to Forest Type, Climate, and Stand Development. Ann. For. Sci. 2013, 70, 589–599. [Google Scholar] [CrossRef]
- Zeng, W.S.; Chen, X.Y.; Yang, X.Y. Developing National and Regional Individual Tree Biomass Models and Analyzing Impact of Climatic Factors on Biomass Estimation for Poplar Plantations in China. Trees-Struct. Funct. 2020, 35, 93–102. [Google Scholar] [CrossRef]
- Wu, Z.; Dai, E.; Wu, Z.; Lin, M. Assessing Differences in the Response of Forest Aboveground Biomass and Composition under Climate Change in Subtropical Forest Transition Zone. Sci. Total Environ. 2020, 706, 135746. [Google Scholar] [CrossRef]




| Variables | Min. | Max. | Mean | SD |
|---|---|---|---|---|
| Bt (Mg·ha−1) | 1.6596 | 230.1158 | 99.7864 | 62.7069 |
| Br (Mg·ha−1) | 0.2218 | 62.0667 | 23.4326 | 17.3993 |
| Bs (Mg·ha−1) | 0.8517 | 146.5333 | 65.2729 | 39.8265 |
| Bb (Mg·ha−1) | 0.2682 | 17.6024 | 8.3023 | 4.6180 |
| Bn (Mg·ha−1) | 0.3179 | 6.5581 | 2.7786 | 1.1537 |
| BA (m2·ha−1) | 0.5500 | 34.3008 | 18.8140 | 9.4055 |
| Dg (cm) | 6.1000 | 27.3000 | 14.5093 | 3.8287 |
| Hm (m) | 4.7000 | 21.2000 | 13.7085 | 3.4106 |
| Age (year) | 5.0000 | 55.0000 | 30.4188 | 10.0592 |
| N (trees·ha−1) | 80.0000 | 3140 | 1170.6480 | 571.0343 |
| MAT (℃) | −1.1958 | 4.2875 | 2.0952 | 1.1898 |
| AP (mm) | 408.0000 | 629.0000 | 579.4375 | 38.0306 |
| Model | Components | ai | bi | ci | di | fi | |||||
|---|---|---|---|---|---|---|---|---|---|---|---|
| Estimates | SE | Estimates | SE | Estimates | SE | Estimates | SE | Estimates | SE | ||
| M-1 | Total | — | — | — | — | ||||||
| Root | 0.1567 ** | 0.0136 | 1.6671 ** | 0.0259 | |||||||
| Stem | 1.0706 ** | 0.0540 | 1.3855 ** | 0.0155 | |||||||
| Branch | 0.2874 ** | 0.0124 | 1.1467 ** | 0.0134 | |||||||
| Needle | 0.3674 ** | 0.0133 | 0.7030 ** | 0.0116 | |||||||
| M-2 | Total | — | — | — | — | — | — | ||||
| Root | 0.0795 ** | 0.0109 | 1.4521 ** | 0.0206 | 0.4964 ** | 0.0515 | |||||
| Stem | 0.5799 ** | 0.0289 | 1.1646 ** | 0.0110 | 0.4743 ** | 0.0222 | |||||
| Branch | 0.1813 ** | 0.0129 | 0.9754 ** | 0.0129 | 0.3596 ** | 0.0315 | |||||
| Needle | 0.2754 ** | 0.0241 | 0.6525 ** | 0.0157 | 0.1647 ** | 0.0394 | |||||
| M-3 | Total | — | — | — | — | — | — | — | — | ||
| Root | 0.3487 ** | 0.0122 | 0.6795 ** | 0.0713 | 1.2711 ** | 0.1085 | −0.0171 ** | 0.0018 | |||
| Stem | 1.5837 ** | 0.0496 | 0.9862 ** | 0.0473 | 0.4471 ** | 0.0712 | |||||
| Branch | 0.4140 ** | 0.0126 | 0.6194 ** | 0.0532 | −0.0059 ** | 0.0016 | 0.6936 ** | 0.0807 | |||
| Needle | 0.3897 ** | 0.0134 | 0.3692 ** | 0.0472 | 0.5267 ** | 0.0696 | |||||
| M-4 | Total | — | — | — | — | — | — | — | — | — | — |
| Root | 0.1801 ** | 0.0100 | −0.0054 ** | 0.0007 | 0.5167 ** | 0.0497 | 1.2493 ** | 0.0777 | 0.4360 ** | 0.0270 | |
| Stem | 0.7178 ** | 0.0436 | 0.8753 ** | 0.0366 | 0.3854 ** | 0.0506 | 0.4649 ** | 0.0269 | |||
| Branch | 0.2367 ** | 0.0174 | −0.0042 ** | 0.0011 | 0.5230 ** | 0.0491 | 0.6501 ** | 0.0714 | 0.3501 ** | 0.0344 | |
| Needle | 0.2823 ** | 0.0153 | −0.0049 ** | 0.0013 | 0.3153 ** | 0.0450 | 0.4960 ** | 0.0673 | 0.2172 ** | 0.0294 | |
| Model | Components | R2 | RMSE | Weight Functions |
|---|---|---|---|---|
| M-1 | Total | 0.9636 | 11.9599 | BA1.3139 |
| Root | 0.9441 | 4.1141 | BA1.0188 | |
| Stem | 0.9644 | 7.5111 | BA1.3991 | |
| Branch | 0.9422 | 1.1102 | BA1.5266 | |
| Needle | 0.9322 | 0.3004 | BA0.5263 | |
| M-2 | Total | 0.9779 | 9.3159 | BA1.7658Hm−0.8141 |
| Root | 0.9503 | 3.8780 | BA1.0090 | |
| Stem | 0.9844 | 4.9754 | BA1.6903 | |
| Branch | 0.9542 | 0.9879 | BA1.4848 | |
| Needle | 0.9349 | 0.2943 | BA0.2356 | |
| M-3 | Total | 0.9743 | 10.0582 | BA1.2663 |
| Root | 0.9697 | 3.0309 | BA2.0758 | |
| Stem | 0.9738 | 6.4489 | BA1.6641 | |
| Branch | 0.9592 | 0.9330 | BA1.5172 | |
| Needle | 0.9438 | 0.2735 | BA0.9103 | |
| M-4 | Total | 0.9856 | 7.5167 | BA1.6287 |
| Root | 0.9763 | 2.6811 | BA2.4416 | |
| Stem | 0.9874 | 4.4725 | BA1.4808 | |
| Branch | 0.9689 | 0.8149 | BA1.4973 | |
| Needle | 0.9479 | 0.2633 | BA0.6226Hm1.8235 |
| Model | Components | RMSE | RMSPE | MAE | MAPE | MPE |
|---|---|---|---|---|---|---|
| M-1 | Total | 12.1564 | 0.1499 | 8.6032 | 11.2165 | 8.6216 |
| Root | 4.1812 | 0.2305 | 2.8486 | 17.1401 | 12.1564 | |
| Stem | 7.5914 | 0.1428 | 5.5935 | 10.8353 | 8.5695 | |
| Branch | 1.1228 | 0.1422 | 0.8521 | 11.4392 | 10.2638 | |
| Needle | 0.3006 | 0.0929 | 0.1866 | 7.0029 | 6.7151 | |
| M-2 | Total | 9.4978 | 0.1032 | 6.7471 | 7.9600 | 6.7615 |
| Root | 3.9706 | 0.1912 | 2.7974 | 14.8200 | 11.9382 | |
| Stem | 5.0620 | 0.0922 | 3.6382 | 6.8980 | 5.5738 | |
| Branch | 1.0029 | 0.1046 | 0.7004 | 8.3834 | 8.4356 | |
| Needle | 0.2981 | 0.0831 | 0.1761 | 6.2375 | 6.3369 | |
| M-3 | Total | 10.2127 | 0.1331 | 7.2904 | 9.7924 | 7.3060 |
| Root | 3.0923 | 0.1702 | 2.2026 | 12.5073 | 9.3996 | |
| Stem | 6.5462 | 0.1344 | 4.6312 | 9.7138 | 7.0951 | |
| Branch | 0.9499 | 0.1211 | 0.7232 | 9.6681 | 8.7108 | |
| Needle | 0.2781 | 0.0841 | 0.1652 | 6.1731 | 5.9467 | |
| M-4 | Total | 7.6593 | 0.0958 | 5.5504 | 7.0569 | 5.5623 |
| Root | 2.7315 | 0.1356 | 1.9177 | 10.0865 | 8.1837 | |
| Stem | 4.5711 | 0.0961 | 3.2952 | 6.7650 | 5.0483 | |
| Branch | 0.8335 | 0.0953 | 0.5991 | 7.4924 | 7.2163 | |
| Needle | 0.2690 | 0.0715 | 0.1498 | 5.1831 | 5.3904 |
Disclaimer/Publisher’s Note: The statements, opinions and data contained in all publications are solely those of the individual author(s) and contributor(s) and not of MDPI and/or the editor(s). MDPI and/or the editor(s) disclaim responsibility for any injury to people or property resulting from any ideas, methods, instructions or products referred to in the content. |
© 2023 by the authors. Licensee MDPI, Basel, Switzerland. This article is an open access article distributed under the terms and conditions of the Creative Commons Attribution (CC BY) license (https://creativecommons.org/licenses/by/4.0/).
Share and Cite
Mahardika, S.B.; Xin, S.; Wang, W.; Jiang, L. Effects of Climate on Stand-Level Biomass for Larch Plantations in Heilongjiang Province, Northeast China. Forests 2023, 14, 820. https://doi.org/10.3390/f14040820
Mahardika SB, Xin S, Wang W, Jiang L. Effects of Climate on Stand-Level Biomass for Larch Plantations in Heilongjiang Province, Northeast China. Forests. 2023; 14(4):820. https://doi.org/10.3390/f14040820
Chicago/Turabian StyleMahardika, Surya Bagus, Shidong Xin, Weifang Wang, and Lichun Jiang. 2023. "Effects of Climate on Stand-Level Biomass for Larch Plantations in Heilongjiang Province, Northeast China" Forests 14, no. 4: 820. https://doi.org/10.3390/f14040820
APA StyleMahardika, S. B., Xin, S., Wang, W., & Jiang, L. (2023). Effects of Climate on Stand-Level Biomass for Larch Plantations in Heilongjiang Province, Northeast China. Forests, 14(4), 820. https://doi.org/10.3390/f14040820

