Challenges of Retrieving LULC Information in Rural-Forest Mosaic Landscapes Using Random Forest Technique
Abstract
1. Introduction
2. Materials and Methods
2.1. Study Site
2.2. Data Processing and LULC Classification


| Level-III | Level-II | Level-I |
|---|---|---|
| 1. Broadleaf (Br) | 1. Br | 1. Forest (F) |
| 2. Cypress (Cy) | 2. Conifer (Co) | |
| 3. Pine (P) | ||
| 4. Other Conifers (OC) | ||
| 5. Grassland (Gl) | 3. Gl | 2. Gl |
| 6. Orchard (Or) | 4. Or | 3. Agriculture (Ag) |
| 7. Tea farm (TF) | 5. TF | |
| 8. Vegetated cropland (Clv) | 6. Cropland (Cl) | |
| 9. Non-vegetated cropland (Clb) | ||
| 10. Built-up (Bu) | 7. Bu | 4. Bu |
| 11. Eroded land (EL) | 8. EL | 5. Bareland (Bl) |
| 12. Sand (Sa) | 9. Sa | |
| 13. Water (W) | 10. W | 6. W |
3. Results
3.1. Generalized Spectral Features of LULCs
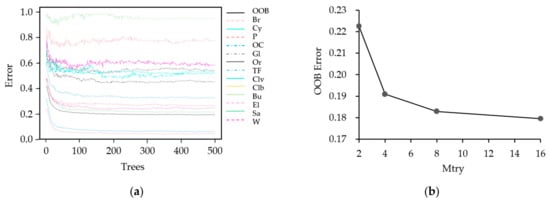
3.2. Performance of Multi-Level LULC Classifications
4. Discussion
4.1. Inherited Complexity of Biophysical Properties May Induce Reflectance Variation of Endmembers
4.2. Challenges in Deriving Robust Random Forest
- Considerable reflectance variations in vegetation classes increase the RF model’s prediction uncertainty.
- 2.
- Complexity and difficulty of LULC classification increase as the number and homogeneity of classes to be dealt with increases.
- 3.
- High-level LULC classification with complicated and homogeneous classes seems to require a flexible non-linear model to derive reliable information.
- 4.
- Looking for possible ways to improve RF modeling for LULC classification.
5. Conclusions
Author Contributions
Funding
Data Availability Statement
Acknowledgments
Conflicts of Interest
References
- Beer, C.; Reichstein, M.; Tomelleri, E.; Ciais, P.; Jung, M.; Carvalhais, N.; Rodenbeck, C.; Arain, M.A.; Baldocchi, D.; Bonan, G.B.; et al. Terrestrial gross carbon dioxide uptake: Global distribution and covariation with climate. Science 2010, 329, 834–838. [Google Scholar] [CrossRef]
- Pan, Y.; Birdsey, R.A.; Fang, J.; Houghton, R.; Kauppi, P.E.; Kurz, W.A.; Phillips, O.L.; Shvidenko, A.; Lewis, S.L.; Canadell, J.G.; et al. A large and persistent carbon sink in the world’s forests. Science 2011, 333, 988–993. [Google Scholar] [CrossRef] [PubMed]
- Ahlström, A.; Xia, J.; Arneth, A.; Luo, Y.; Smith, B. Importance of vegetation dynamics for future terrestrial carbon cycling. Environ. Res. Lett. 2015, 10, 054019. [Google Scholar] [CrossRef]
- Reichstein, M.; Bahn, M.; Ciais, P.; Frank, D.; Mahecha, M.D.; Seneviratne, S.I.; Zscheischler, J.; Beer, C.; Buchmann, N.; Frank, D.C.; et al. Climate extremes and the carbon cycle. Nature 2013, 500, 287–295. [Google Scholar] [CrossRef] [PubMed]
- FAO. Global Forest Resources Assessment 2020–Key Findings; FAO: Rome, Italy, 2020. [Google Scholar] [CrossRef]
- Tayyebi, A.; Pijanowski, B.C.; Linderman, M.; Gratton, C. Comparing three global parametric and local non-parametric models to simulate land use change in diverse areas of the world. Environ. Model. Softw. 2014, 59, 202–221. [Google Scholar] [CrossRef]
- Tayyebi, A.; Pijanowski, B.C. Modeling multiple land use changes using ANN, CART and MARS: Comparing tradeoffs in goodness of fit and explanatory power of data mining tools. Int. J. Appl. Earth Obs. Geoinf. 2014, 28, 102–116. [Google Scholar] [CrossRef]
- Lin, C.; Thomson, G.; Hung, S.-H.; Lin, Y.-D. A GIS-based protocol for the simulation and evaluation of realistic 3-D thinning scenarios in recreational forest management. J. Environ. Manag. 2012, 113, 440–446. [Google Scholar] [CrossRef]
- Sobhani, P.; Esmaeilzadeh, H.; Barghjelveh, S.; Sadeghi, S.M.M.; Marcu, M.V. Habitat Integrity in Protected Areas Threatened by LULC Changes and Fragmentation: A Case Study in Tehran Province, Iran. Land 2022, 11, 6. [Google Scholar] [CrossRef]
- Lin, C.; Tsogt, K.; Zandraabal, T. A decompositional stand structure analysis for exploring stand dynamics of multiple attributes of a mixed-species forest. For. Ecol. Manag. 2016, 378, 111–121. [Google Scholar] [CrossRef]
- Lin, C.; Wu, C.-C.; Tsogt, K.; Ouyang, Y.-C.; Chang, C.-I. Effects of atmospheric correction and pansharpening on LULC classification accuracy using worldview-2 imagery. Inf. Process. Agric. 2015, 2, 25–36. [Google Scholar] [CrossRef]
- Lin, C.; Popescu, S.C.; Thomson, G.; Tsogt, K.; Chang, C.-I. Classification of tree species in overstorey canopy of subtropical forest using QuickBird images. PLoS ONE 2015, 10, e0125554. [Google Scholar] [CrossRef]
- Rodriguez-Galiano, V.F.; Ghimire, B.; Rogan, J.; Chica-Olmo, M.; Rigol-Sanchez, J.P. An assessment of the effectiveness of a random forest classifier for land-cover classification. ISPRS J. Photogramm. Remote Sens. 2012, 67, 93–104. [Google Scholar] [CrossRef]
- Reiche, J.; Verbesselt, J.; Hoekman, D.; Herold, M. Fusing Landsat and SAR time series to detect deforestation in the tropics. Remote Sens. Environ. 2015, 156, 276–293. [Google Scholar] [CrossRef]
- Singh, R.K.; Singh, P.; Drews, M.; Kumar, P.; Singh, H.; Gupta, A.K.; Govil, H.; Kaur, A.; Kumar, M. A machine learning-based classification of LANDSAT images to map land use and land cover of India. Remote Sens. Appl. Soc. Environ. 2021, 24, 100624. [Google Scholar] [CrossRef]
- Disperati, L.; Virdis, S.G.P. Assessment of land-use and land-cover changes from 1965 to 2014 in Tam Giang-Cau Hai Lagoon, central Vietnam. Appl. Geogr. 2015, 58, 48–64. [Google Scholar] [CrossRef]
- Xin, Q.; Olofsson, P.; Zhu, Z.; Tan, B.; Woodcock, C.E. Toward near real-time monitoring of forest disturbance by fusion of MODIS and Landsat data. Remote Sens. Environ. 2013, 135, 234–247. [Google Scholar] [CrossRef]
- Wan, B.; Guo, Q.; Fang, F.; Su, Y.; Wang, R. Mapping US Urban Extents from MODIS Data Using One-Class Classification Method. Remote Sens. 2015, 7, 10143–10163. [Google Scholar] [CrossRef]
- Jamsran, B.E.; Lin, C.; Byambakhuu, I.; Raash, J.; Akhmadi, K. Applying a support vector model to assess land cover changes in the Uvs Lake Basin ecoregion in Mongolia. Inf. Process. Agric. 2019, 6, 158–169. [Google Scholar] [CrossRef]
- Thanh Noi, P.; Kappas, M. Comparison of random forest, k-nearest neighbor and support vector machine classifiers for land cover classification using Sentinel-2 imagery. Sensors 2018, 18, 18. [Google Scholar] [CrossRef] [PubMed]
- Lambert, M.-J.; Traoré, P.C.S.; Blaes, X.; Baret, P.; Defourny, P. Estimating smallholder crops production at village level from Sentinel-2-time series in Mali’s cotton belt. Remote Sens. Environ. 2018, 216, 647–657. [Google Scholar] [CrossRef]
- Furberg, D.; Ban, Y.; Nascetti, A. Monitoring of Urbanization and Analysis of Environmental Impact in Stockholm with Sentinel-2A and SPOT-5 Multispectral Data. Remote Sens. 2019, 11, 2408. [Google Scholar] [CrossRef]
- Rapinel, S.; Mony, C.; Lecoq, L.; Clément, B.; Thomas, A.; Hubert-Moy, L. Evaluation of Sentinel-2 time-series for mapping floodplain grassland plant communities. Remote Sens. Environ. 2019, 223, 115–129. [Google Scholar] [CrossRef]
- Lin, C.-H.; Chen, P.-H.; Shih, H.-Y.; Lin, C.; Chen, Y.-C.; Huang, M.-J.; Liu, W.-M. Automatic detection and counting of small yellow thrips on lotus leaf back based on deep learning. In Proceedings of the CVGIP 2020: The 33th IPPR Conference on Computer Vision, Graphics, and Image Processing, Hsinchu, Taiwan, 16–18 August 2020. [Google Scholar]
- Chiu, W.-T.; Lin, C.; Chen, Y.-C.; Huang, M.-J.; Liu, W.-M. Semantic segmentation of lotus leaves in UAV aerial image via U-Net and Deeplab-based networks. In Proceedings of the CVGIP 2020: The 33th IPPR Conference on Computer Vision, Graphics, and Image Processing, Hsinchu, Taiwan, 16–18 August 2020. [Google Scholar]
- Chiu, T.-W.; Huang, C.; Pai, C.-C.; Chen, Y.-C.; Liu, K.-H.; Lin, C. Detection of the erosion area of lotus leaf using hyperspectral imaging. In Proceedings of the International Computer Symposium (ICS 2020), Tainan, Taiwan, 17–19 December 2020. [Google Scholar]
- Liu, K.-H.; Yang, M.-H.; Huang, S.-T.; Lin, C. Plant species classification based on hyperspectral imaging via a lightweight convolutional neural network model. Front. Plant Sci. 2022, 13, 855660. [Google Scholar] [CrossRef]
- Brown, C.F.; Brumby, S.P.; Guzder-Williams, B.; Birch, T.; Hyde, S.B.; Mazzariello, J.; Czerwinski, W.; Pasquarella, V.J.; Haertel, R.; Ilyushchenko, S.; et al. Dynamic World, Near real-time global 10 m land use land cover mapping. Sci. Data 2022, 9, 251. [Google Scholar] [CrossRef]
- Lowe, B.; Kulkarni, A. Multispectral Image Analysis Using Random Forest. Int. J. Soft Comput. 2015, 6, 1–14. [Google Scholar] [CrossRef]
- Basten, K. Classifying Landsat Terrain Images via Random Forests. Bachelor’s Thesis, Computer Science in Radboud University, Nijmegen, The Netherlands, 2016. [Google Scholar]
- Pelletiera, C.; Valeroa, S.; Inglada, J.; Championb, N.; Dedieu, G. Assessing the robustness of Random Forests to map land cover with high resolution satellite image time series over large areas. Remote Sens. Environ. 2016, 187, 156–168. [Google Scholar] [CrossRef]
- Gislason, P.O.; Benediktsson, J.A.; Sveinsson, J.R. Random forests for land cover classification. Pattern Recognit. Lett. 2006, 27, 294–300. [Google Scholar] [CrossRef]
- Lawrence, R.L.; Wood, S.D.; Sheley, R.L. Mapping invasive plants using hyperspectral imagery and breiman cutler classifications (random forest). Remote Sens. Environ. 2006, 100, 356–362. [Google Scholar] [CrossRef]
- Chan, J.C.W.; Paelinckx, D. Evaluation of random forest and adaboost tree-based ensemble classification and spectral band selection for ecotope mapping using airborne hyperspectral imagery. Remote Sens. Environ. 2008, 112, 2999–3011. [Google Scholar] [CrossRef]
- Sesnie, S.; Gessler, P.; Finegan, B.; Thessler, S. Integrating Landsat TM and SRTM-DEM derived variables with decision trees for habitat classification and change detection in complex neotropical environments. Remote Sens. Environ. 2008, 112, 2145–2159. [Google Scholar] [CrossRef]
- Ghimire, B.; Rogan, J.; Miller, J. Contextual land-cover classification: Incorporating spatial dependence in land-cover classification models using random forests and the Getis statistic. Remote Sens. Lett. 2010, 1, 45–54. [Google Scholar] [CrossRef]
- Puissant, A.; Rougier, S.; Stumpf, A. Object-oriented mapping of urban trees using Random Forest classifiers. Int. J. Appl. Earth Obs. Geoinf. 2014, 26, 235–245. [Google Scholar] [CrossRef]
- Feng, Q.; Gong, J.; Liu, J.; Li, Y. Flood mapping based on multiple endmember spectral mixture analysis and random forest classifier—The case of Yuyao, China. Remote Sens. 2015, 7, 12539–12562. [Google Scholar] [CrossRef]
- Juel, A.; Groom, G.B.; Svenning, J.C.; Ejrnaes, R. Spatial application of random forest models for fine-scale coastal vegetation classification using object based analysis of aerial orthophoto and DEM data. Int. J. Appl. Earth Obs. Geoinf. 2015, 42, 106–114. [Google Scholar] [CrossRef]
- Nitze, I.; Barrett, B.; Cawkwell, F. Temporal optimisation of image acquisition for land cover classification with Random Forest and MODIS time-series. Int. J. Appl. Earth Obs. Geoinf. 2015, 34, 136–146. [Google Scholar] [CrossRef]
- Xia, J.; Chanussot, J.; Du, P.; He, X. Spectral-spatial classification for hyperspectral data using rotation forests with local feature extraction and Markov random fields. IEEE Trans. Geosci. Remote Sens. 2015, 53, 2532–2546. [Google Scholar] [CrossRef]
- Liu, Y.; Feng, Y.; Zhao, Z.; Zhang, Q.; Su, S. Socioeconomic drivers of forest loss and fragmentation: A comparison between different land use planning schemes and policy implications. Land Use Policy 2016, 54, 58–68. [Google Scholar] [CrossRef]
- Lin, C.; Lin, C.-H. Comparison of carbon sequestration potential in agricultural and afforestation farming systems. Sci. Agric. 2013, 70, 93–101. [Google Scholar] [CrossRef]
- Lin, C.; Trianingsih, D. Identifying forest ecosystem regions for agricultural use and conservation. Sci. Agric. 2016, 73, 62–70. [Google Scholar] [CrossRef]
- Dugarsuren, N.; Lin, C. Temporal variations in phenological events of forests, grasslands and desert steppe ecosystems of Mongolia: A Remote Sensing Approach. Ann. For. Res. 2016, 59, 175–190. [Google Scholar] [CrossRef]
- Lin, C.; Dugarsuren, N. Deriving the Spatiotemporal NPP Pattern in Terrestrial Ecosystems of Mongolia using MODIS Imagery. Photogram. Eng. Remote Sens. 2015, 81, 587–598. [Google Scholar] [CrossRef]
- Saah, D.; Tenneson, K.; Poortinga, A.; Nguyen, Q.; Chishtie, F.; Aung, K.S.; Markert, K.N.; Clinton, N.; Anderson, E.R.; Cutter, P.; et al. Primitives as building blocks for constructing land cover maps. Int. J. Appl. Earth Obs. Geoinf. 2020, 85, 101979. [Google Scholar] [CrossRef]
- Doyog, N.D.; Lin, C.; Lee, Y.J.; Lumbres, R.I.C.; Daipan, B.P.O.; Bayer, D.C.; Parian, C.P. Diagnosing pristine pine forest development through pansharpened-surface-reflectance Landsat images derived aboveground biomass productivity. For. Ecol. Manag. 2021, 487, 119011. [Google Scholar] [CrossRef]
- Chung, M.-E.; Doyog, N.D.; Lin, C. Monitoring of the trend of timberlines in Taiwan amidst climate change through multi-temporal satellite images. In Proceedings of the 2021 IEEE International Geoscience and Remote Sensing Symposium IGARSS, Brussels, Belgium, 11–16 July 2021; pp. 6488–6491. [Google Scholar] [CrossRef]
- Lin, C.; Ma, S.-E.; Huang, L.-P.; Chen, C.-I.; Lin, P.-T.; Yang, Z.-K.; Lin, K.-T. Generating a baseline map of surface fuel loading using stratified random sampling inventory data through cokriging and multiple linear regression methods. Remote Sens. 2021, 13, 1561. [Google Scholar] [CrossRef]
- Main-Knorn, M.; Pflug, B.; Louis, J.; Debaecker, V.; Müller-Wilm, U.; Gascon, F. Sen2Cor for Sentinel-2. In Proceedings of the Image and Signal Processing for Remote Sensing XXIII, Warsaw, Poland, 11–14 September 2017; p. 1042704. [Google Scholar] [CrossRef]
- Brodu, N. Super-resolving multiresolution images with band-independent geometry of multispectral pixels. IEEE Trans. Geosci. Remote Sens. 2017, 55, 4610–4617. [Google Scholar] [CrossRef]
- Lin, C.; Popescu, S.C.; Huang, S.-C.; Chang, P.-T.; Wen, H.-L. A novel reflectance-based model for evaluating chlorophyll concentration of fresh and water-stressed leaves. Biogeosciences 2015, 12, 49–66. [Google Scholar] [CrossRef]
- Rikimaru, A.; Roy, P.S.; Miyatake, S. Tropical forest cover density mapping. Trop. Ecol. 2002, 43, 39–47. [Google Scholar]
- Xu, H. Modification of normalised difference water index (NDWI) to enhance open water features in remotely sensed imagery. Int. J. Remote Sens. 2006, 27, 3025–3033. [Google Scholar] [CrossRef]
- Popescu, S.C.; Zhou, T.; Nelson, R.F.; Neuenschwander, A.; Sheridan, R.; Narine, L.; Walsh, K.M. Photon counting LiDAR: An adaptive ground and canopy height retrieval algorithm for ICESat-2 data. Remote Sens. Environ. 2018, 208, 154–170. [Google Scholar] [CrossRef]
- Lin, C. Improved derivation of forest stand canopy height structure using harmonized metrics of full-waveform data. Remote Sens. Environ. 2019, 235, 111436. [Google Scholar] [CrossRef]
- Anderson, J.R.; Hardy, E.E.; Roach, J.T.; Witmer, R.E. A Land Use and Land Cover Classification System for Use with Remote Sensor Data; USGS Professional Paper 964; U.S. Geological Survey: Reston, VA, USA, 1976.
- Breiman, L. Random Forests. Mach. Learn. 2001, 45, 5–32. [Google Scholar] [CrossRef]
- Liaw, A.; Wiener, M. Classification and Regression by randomForest. R News 2002, 2, 18–22. Available online: https://CRAN.R-project.org/doc/Rnews/ (accessed on 25 October 2022).
- Bestelmeyer, B.T.; Okin, G.S.; Duniway, M.C.; Archer, S.R.; Sayre, N.F.; Williamson, J.C.; Herrick, J.E. Desertification, land use, and the transformation of global drylands. Front. Ecol. Environ. 2015, 13, 28–36. [Google Scholar] [CrossRef] [PubMed]
- Nedd, R.; Light, K.; Owens, M.; James, N.; Johnson, E.; Anandhi, A. A Synthesis of Land Use/Land Cover Studies: Definitions, Classification Systems, Meta-Studies, Challenges and Knowledge Gaps on a Global Landscape. Land 2021, 10, 994. [Google Scholar] [CrossRef]
- Nasiri, V.; Deljouei, A.; Moradi, F.; Sadeghi, S.M.M.; Borz, S.A. Land Use and Land Cover Mapping Using Sentinel-2, Landsat-8 Satellite Images, and Google Earth Engine: A Comparison of Two Composition Methods. Remote Sens. 2022, 14, 1977. [Google Scholar] [CrossRef]
- Lin, C.; Chen, S.-Y.; Chen, C.-C.; Tai, C.-H. Detecting newly grown tree leaves from unmanned-aerial-vehicle images using hyperspectral target detection techniques. ISPRS J. Photogramm. Remote Sens. 2018, 142, 174–189. [Google Scholar] [CrossRef]
- Breiman, L. Bagging Predictors; Technical Report No. 421; Department of Statistics, University of California: Berkeley, CA, USA, 1994; 19p. [Google Scholar]








| Observed LULC | |||||||||||||||||||||||||||
|---|---|---|---|---|---|---|---|---|---|---|---|---|---|---|---|---|---|---|---|---|---|---|---|---|---|---|---|
| Class | Br (356) | Cy (33) | P (1366) | OC (396) | Gl (31) | Or (744) | TF (215) | Clv (846) | Clb (375) | Bu (20) | EL (38) | Sa (140) | W (794) | ||||||||||||||
| Predicted | Br | 0.73 | 0.85 | 0.09 | 0.03 | 0.04 | 0.03 | 0.03 | 0.06 | 0.01 | 0.04 | 0.09 | 0.01 | 0.20 | |||||||||||||
| Cy | 0.52 | 0.73 | 0.01 | 0.01 | 0.01 | 0.01 | |||||||||||||||||||||
| P | 0.09 | 0.09 | 0.12 | 0.86 | 0.88 | 0.26 | 0.19 | 0.01 | 0.04 | 0.04 | 0.01 | 0.02 | |||||||||||||||
| OC | 0.06 | 0.18 | 0.12 | 0.07 | 0.05 | 0.68 | 0.74 | 0.003 | 0.05 | 0.02 | 0.02 | ||||||||||||||||
| Gl | 0.65 | 0.84 | 0.01 | 0.01 | 0.20 | 0.10 | |||||||||||||||||||||
| Or | 0.22 | 0.12 | 0.01 | 0.01 | 0.02 | 0.19 | 0.16 | 0.88 | 0.78 | 0.36 | 0.07 | 0.07 | 0.23 | 0.02 | 0.03 | 0.05 | 0.07 | ||||||||||
| TF | 0.03 | 0.01 | 0.03 | 0.004 | 0.04 | 0.55 | 0.73 | 0.002 | 0.01 | ||||||||||||||||||
| Clv | 0.02 | 0.01 | 0.16 | 0.04 | 0.11 | 0.66 | 0.75 | 0.02 | 0.08 | ||||||||||||||||||
| Clb | 0.004 | 0.03 | 0.04 | 0.72 | 0.77 | 0.05 | 0.11 | 0.10 | 0.04 | ||||||||||||||||||
| Bu | 0.03 | 0.70 | 0.85 | ||||||||||||||||||||||||
| EL | 0.01 | 0.10 | 0.47 | 0.79 | |||||||||||||||||||||||
| Sa | 0.11 | 0.20 | 0.05 | 0.64 | 0.89 | ||||||||||||||||||||||
| W | 0.01 | 0.04 | 0.005 | 0.22 | 0.21 | 0.53 | 0.26 | 1.0 | 1.0 | ||||||||||||||||||
| Level-III | Level-II | Level-I | ||||||
|---|---|---|---|---|---|---|---|---|
| Class | RF | SVM | Class | RF | SVM | Class | RF | SVM |
| Br | 36.37 | 44.64 | Br | 36.37 | 44.64 | F | 66.53 | 79.02 |
| Cy | 0.02 | 0.77 | Co | 30.15 | 34.39 | |||
| P | 26.89 | 29.46 | ||||||
| OC | 3.24 | 4.16 | ||||||
| Gl | 0.07 | 1.54 | Gl | 0.07 | 1.54 | Gl | 0.07 | 1.54 |
| Or | 23.80 | 13.91 | Or | 23.80 | 13.91 | Ag | 31.14 | 16.95 |
| TF | 2.38 | 0.76 | TF | 2.38 | 0.76 | |||
| Clv | 4.40 | 1.73 | Cl | 4.96 | 2.28 | |||
| Clb | 0.55 | 0.55 | ||||||
| Bu | 0.004 | 0.19 | Bu | 0.004 | 0.19 | Bu | 0.004 | 0.19 |
| EL | 0.001 | 0.22 | EL | 0.001 | 0.22 | Bl | 0.94 | 1.16 |
| Sa | 0.94 | 0.95 | Sa | 0.94 | 0.95 | |||
| W | 1.33 | 1.14 | W | 1.33 | 1.14 | W | 1.33 | 1.14 |
Disclaimer/Publisher’s Note: The statements, opinions and data contained in all publications are solely those of the individual author(s) and contributor(s) and not of MDPI and/or the editor(s). MDPI and/or the editor(s) disclaim responsibility for any injury to people or property resulting from any ideas, methods, instructions or products referred to in the content. |
© 2023 by the authors. Licensee MDPI, Basel, Switzerland. This article is an open access article distributed under the terms and conditions of the Creative Commons Attribution (CC BY) license (https://creativecommons.org/licenses/by/4.0/).
Share and Cite
Lin, C.; Doyog, N.D. Challenges of Retrieving LULC Information in Rural-Forest Mosaic Landscapes Using Random Forest Technique. Forests 2023, 14, 816. https://doi.org/10.3390/f14040816
Lin C, Doyog ND. Challenges of Retrieving LULC Information in Rural-Forest Mosaic Landscapes Using Random Forest Technique. Forests. 2023; 14(4):816. https://doi.org/10.3390/f14040816
Chicago/Turabian StyleLin, Chinsu, and Nova D. Doyog. 2023. "Challenges of Retrieving LULC Information in Rural-Forest Mosaic Landscapes Using Random Forest Technique" Forests 14, no. 4: 816. https://doi.org/10.3390/f14040816
APA StyleLin, C., & Doyog, N. D. (2023). Challenges of Retrieving LULC Information in Rural-Forest Mosaic Landscapes Using Random Forest Technique. Forests, 14(4), 816. https://doi.org/10.3390/f14040816

