Next Article in Journal
Climatic Factors Affecting Wild Mushroom Foraging in Central Europe
Previous Article in Journal
Verification of Structural Strength of Spur Roads Constructed Using a Locally Developed Method for Mountainous Areas: A Case Study in Kochi University Forest, Japan
Previous Article in Special Issue
Comparison of Morphological and Physiological Traits between Pinus brutia, Pinus halepensis, and Their Vigorous F1 Hybrids
 
 
Font Type:
Arial Georgia Verdana
Font Size:
Aa Aa Aa
Line Spacing:
Column Width:
Background:
Article

Quantitative Genetics of a Hybrid Population of Eucalyptus nitens × Eucalyptus globulus: Estimation of Genetic Parameters and Implications for Breeding Strategies

1
Camcore, Department of Forestry and Environmental Resources, NC State University, Raleigh, NC 27695, USA
2
Division of Genetic Improvement, Bioforest-Arauco, Coronel 4190000, BioBio, Chile
*
Author to whom correspondence should be addressed.
Forests 2023, 14(2), 381; https://doi.org/10.3390/f14020381
Submission received: 25 November 2022 / Revised: 14 December 2022 / Accepted: 21 December 2022 / Published: 13 February 2023

Abstract

In Chile, interspecific hybrids between Eucalyptus nitens × Eucalyptus globulus (GloNi) were developed by Arauco Forestry to capture specific traits from each parental species: growth rate and cold resistance from E. nitens (NIT) and wood properties from E. globulus (GLO). Field tests of E. nitens × E. globulus were distributed in two geographic zones: Arauco (12 tests) and Valdivia (15 tests), where growth and wood properties measurements were recorded at different ages. The hybrid population is composed of clones from 28 full-sib families, being the result of crossing 12 E. nitens females and 8 E. globulus males. Progeny from each of these families were vegetatively propagated and tested on each growth zone, with a total of 1214 clones developed. The quantitative genetic parameter estimates reveal high genetic variation in hybrid volume gain and wood properties, which make possible large genetic gain in all traits analyzed. Additionally, E. nitens has a considerable impact on the volume gain of the hybrid, making it important to test more parents in future interspecific crosses in both hybrid zones. In contrast, E. globulus demonstrated zero impact in volume. In wood traits, E. globulus in Arauco zone demonstrates a large effect on the genetic variability of these traits; meanwhile, in the Valdivia zone, E. nitens and E. globulus parents contributed roughly similar amounts of genetic variation. The high General Hybridizing Ability (GHA) and General Combining Ability (GCA) relationship between hybrid progeny and pure species progeny performance indicates that parents could be selected for interspecific crosses based on pure species test results for volume and wood properties.

1. Introduction

The genus Eucalyptus contains over 700 species, many of which are widely planted for industrial forestry purposes. As a genus, Eucalyptus is appreciated for its fast-growing, valuable wood properties and wide adaptability. Several Eucalyptus species were introduced successfully in the first quarter of the 1800s into many countries, including India, France, Portugal, Congo, South Africa, Zimbabwe, Brazil, and Chile. Today, Eucalyptus species are one of the largest sources of woody biomass globally and are the most extensive plantation hardwoods used for pulpwood and timber production [1].
Chile is one of the top ten countries in terms of land dedicated to forestry plantations [2]. In Chile, the most common hardwood species used across the country are E. globulus and E. nitens, representing a large proportion of the total forest land base of 2.3 million hectares, with 25.3% planted with E. globulus and 11.9% with E. nitens [3]. Both Eucalyptus species are originally from Australia and are well adapted to the Chilean soil and weather after generations of breeding. Breeding work of these species began with provenance tests and progressed through cycles of improvement using both open-pollination and controlled-pollination. In the last decade, many operational programs began utilizing clonal propagation of these species for some of their commercial deployment. The choice between E. nitens and E. globulus for commercial plantations across the country depends mainly on the environment. E. globulus is considered the premium species for pulp and paper production due to its promising growth and excellent overall pulpwood properties. However, the relatively poor frost tolerance of this species in the south of the country restricts its use. On frost-prone sites, E. globulus is replaced by E. nitens, a more frost-tolerant species [4], which also exhibits extremely fast growth. Under these circumstances, the hybridization of these two species was the next step in Chilean breeding programs.
In forestry, hybridization is understood as a successful mating between individual trees of two different species [5], typically resulting in progeny with intermediate characteristics of its parents. In some cases, the hybrid progeny performs better than the average of parents, and this phenomenon is referred to as mid-parent heterosis. In other cases, the hybrid progeny performs better than the best parent. This behavior is called high-parent heterosis [5], which is very desirable in developing a new commercial population or variety of trees.
Interspecific hybrid crosses are often made with the goal of combining specific traits from each parental species [6], such as growth rate, resistance to diseases, adaptability to climatic conditions, and wood quality. However, the successful hybridization of trees can be difficult, and it is necessary to consider the compatibility of the two species, flowering time, and also the direction of pollination, that is, whether to use species A as the female and species B as the male, or vice versa [7,8]. Often in the development of hybrid crosses, relatively few of them are successful, with the result that not as many parents have the chance to be tested for their value as a hybrid parent in comparison with the number of parents that can be tested in classic pure species breeding programs. In this scenario, it is not easy to obtain a balanced progeny test design with a similar number of parents and crosses to precisely estimate the genetic parameters and parental genetic values. This matter must be considered when diallel crosses are planned in a hybrid breeding program.
In the Chilean forestry context, the goal of hybridization of these species was the combination of frost tolerance and high growth rate from E. nitens with the favorable wood properties of E. globulus, thus exploiting the best characteristics of both species [4,9,10]. A complicating factor in the hybridization of E. globulus and E. nitens is a structural pre-zygotic barrier due to flower size. Eucalyptus globulus has a much larger flower than E. nitens, and as a result, crosses were made in only one direction, using E. nitens as the female and E. globulus as the male. Even with crosses done in this direction, typically, a low number of seeds are obtained [4,11].
Despite the complicated process of obtaining hybrid progeny of these two Eucalyptus species, successful full-sib hybrid progenies have been tested by Arauco Forestry Company in Chile, using clonal propagation of progeny from the successful crosses. The parents of those crosses came from pure species breeding programs, where the E. globulus parents were selected from several controlled-pollination (CP) field tests, and the E. nitens parents were selected from several open-pollinated (OP) tests. From both pure and hybrid trials, information on breeding values of growth and wood properties was obtained from two major breeding zones from Arauco Forestry.
In the pure species programs of E. nitens and E. globulus and the hybrid between them, the target traits for improvement have been growth and wood properties, as these are the most valuable economic traits in Chilean plantations. The wood properties related to pulp and paper production are Basic Density (kg/m3), Pulp Yield (%), and Specific Consumption (m3/ADt), where ADt stands for Air-Dry Metric Tons of wood. Specific Consumption is the product of wood volume (m3) and Basic Density. Basic density is also an important trait for solid wood products, where typically, a higher basic density is associated with increased stiffness and strength of the wood [12]. In order to rapidly assess a large number of trees, non-destructive wood samples were used along with near-infrared reflectance spectroscopy (NIRS) to obtain estimates of this hybrid population’s physical and chemical wood properties, including pulp yield, basic density, and specific consumption.
In this research study, a large clonal population of E. nitens × E. globulus hybrid was evaluated, using quantitative genetics methods to estimate important genetic parameters for tree volume and wood properties, and then to predict clonal genetic values, General Hybridizing Ability (GHA) for parents of both species, and Specific Hybridizing Ability (SHA) for the specific full-sib crosses. Hybrid genetic values were compared with analogous genetic values from pure species testing to elucidate if there is a relationship with the known parental performance as pure species and evaluate the possible implications for the hybrid breeding strategies of this variety.

2. Material and Methods

2.1. Description of Field Tests and Locations

A large full-sib clonal population of Eucalyptus nitens × Eucalyptus globulus (GloNi) was established in the middle-south of Chile, from the Bio-Bio to Los Lagos Region. The total number of sites was 26, distributed in two breeding zones, Arauco and Valdivia (Figure 1).
The Arauco zone (represented in orange in Figure 1) has a Temperate Coastal climate, with oceanic influence near to the coast in the north and a Temperate Rainy Oceanic climate in the south of the zone, according to the regional macro descriptions of the country [13]. Yearly seasonal changes influence the monthly mean temperature (MMT) and the monthly mean precipitation (MMP). Through the coldest months of winter, between June and July, the minimum mean monthly temperature is around 6.5 °C, while in the summer season, from December to January, the maximum mean monthly temperature is close to 21 °C. The total annual precipitation is approximately 1360 mm, concentrated mainly during the winter season (see Figure 2 for more details). Soils in this zone are generally deep, derived principally from metamorphic rocks and marine sediments, and secondarily formed from ancient volcanic ashes.
The Valdivia zone (green in Figure 1) has a Temperate Rainy climate, with abundant precipitation and a low chance of dry periods during the summer [13]. The minimum mean monthly temperature of the year is near to 3.6 °C during the winter season, and the maximum monthly mean temperature is roughly 22 °C in summer. The total annual precipitation is close to 1900 mm, with a precipitation peak at the beginning of winter (Figure 2). Soils in this zone are deep, with good permeability, derived principally from ancient volcanic ashes deposited over a metamorphic rock complex and secondarily formed from newer volcanic ashes. In some places of this zone, the secondary parental material is marine sediments.
In terms of weather, the main difference between Arauco and Valdivia zones are mainly rainfall amount (mm) and mean temperature (°C). Arauco zone is on average warmer than Valdivia, whereas Valdivia is colder and with more precipitation than Arauco.
The minimum and maximum monthly mean temperature and the monthly mean precipitation were estimated with data of 30 years (1987–2017) from the Climatic Explorer of Chile [14] for each of the described zones, and it is depicted in Figure 2.
From the same dataset of CR2, the number of days under 0 °C from May to August was counted to obtain the proportion of days with frost events during the winter months in both zones (Table 1). With the measurements over 30 years, it was found that the Valdivia zone had around 3-times more frost events than the Arauco zone. In total (during the months of May to August), Valdivia averaged 10.2 frost days per year, compared to 3.1 days in Arauco. This ratio also holds during the month of July, which is the coldest month of the year, with 13% of the total days of the month with frost events (Table 1).

2.2. Test Design and Measurements

Field tests followed a randomized complete block design (RCBD), with 10-replications in each site, with the same experimental design in both breeding zones. Treatments (hybrid clones) were established in single-tree plots (STP) in each replication. Trees were planted with a spacing of 3 m × 2.5 m, which generates a planting density of approximately 1667 trees per hectare (ha). The clonal population was derived from 27 full-sib crosses, among 12 Eucalyptus nitens (NIT) parents and 8 Eucalyptus globulus (GLO) parents. Roughly the same population of clones was tested in both zones. The total number of clones tested in Arauco zone was 1260 across 12 sites, and the number of clones per site ranged from 68 to 352. In the Valdivia zone, there was 1148 clones tested across 14 sites, and the number of clones per site ranged from 66 to 820. In both zones, there was good connectivity across sites to allow examination of genotype x environment interaction (see Appendix A Table A1 and Table A2). The mean number of clones per full-sib family was 47 in Arauco and 55 in Valdivia, and the mean number of ramets per clone across all sites was 16 in Arauco and 30 in Valdivia.
For each trial, the following traits were measured: survival (%), diameter at breast height in cm (DBH), total height in m (HT), forking, the incidence of pests, and presence of broken tops. Growth traits (DBH and HT) were recorded for all trees at 4, 5, and 8 years across sites. The volume for each tree was estimated using the Ladrach [15] formula for juvenile trees as follows:
V o l u m e = 0.00003 × D B H 2 × H T
The wood property traits Basic Density (kg/m3), Pulp Yield (%), and Specific Consumption (m3/ADt) were estimated according to company protocols, using Near-Infrared Reflectance Spectroscopy (NIRS), with non-destructive samples taken for the best 20% genotypes in volume gain identified by earlier analysis (BLUP) within zones. Around 4 to 6 ramets per clone per site were sampled for wood properties at 6 years of age after tree establishment. Samples were taken from 385 selected clones in Arauco and 325 clones in Valdivia.

2.3. Individual Tree Volume Data Analysis and Cleaning

All data cleaning and analysis was done using R-software [16]. For accurate estimation of individual tree volume, trees with abnormalities were removed from the analysis, including trees with pests, broken tops, strong stem sinuosity, more than two main stems, and dead trees. Similarly, trees with an extreme DBH/HT ratio were removed (values > 3 or <0.3), assuming that these trees had some type of measurement error or unreported damage, such as a broken top.

2.4. Individual Tree Volume Standardization

The volume (m3) of each tree was standardized prior to the estimation of genetic parameters to deal with scale effects due to Genotype × Environment (G × E) interaction variances, arising from differences in growth trait means, reflecting different productivity across the sites [17]. Commonly, sites with high productivity produce larger trees with higher phenotypic variances than sites with less productivity [18]. In forestry, growth traits frequently have a strong relationship between the mean of the trait (DBH, HT, or volume) and its phenotypic and genetic variances [17,19,20]. To correct for heterogeneous variance of volume across different test sites, tree volume was standardized for each replication within a test, expressing the tree volume as a deviation from the replication volume mean divided by the standard deviation: y y ¯ / σ , where “y” is the observed tree volume, y ¯ is the mean volume within replication and σ is the standard deviation of the volume within replication.
Coefficients of variation (CV) for volume were calculated per replication, and then the average CV across all sites was calculated (CVy). Finally, the standardized volume for each tree (i.e., each ramet of each clone in each test) was estimated as:
s t V o l = y y ¯ σ × ( C V y × 100 ) + 100
The standardized volume (stVol) is indicated in units of %, where the population’s mean is centered on 100%, and the spread of the phenotypic data is expressed as CVy × 100 [5]. Consequently, all variance components estimates and predicted breeding values could be interpreted in terms of gain (above or below 100%), without the necessity of rescaling [17,20]. Data standardization was conducted through an R script.

2.5. Estimation of Variance Components and Genetic Parameters

The phenotypic observations of wood properties and the standardized tree volume (stVol) were analyzed via restricted maximum likelihood [21,22] using linear mixed models (LMM). Single- and multi-site analyses were conducted using ASReml-R [16,23,24] by following a LMM including the effect of both parental species. Preliminary single-site analyses were done to identify any problems with the data sets, and to ensure that genetic variances among parents, families and clones were detected.
After inspecting the genetic variance estimates from single-sites, all tests were used for a combined-site analyses in each region. The statistical LMM model for the combined-site analysis is presented below:
y i j k l m n = u + S i + B j i + G H A N I T k + G H A G L O l + S H A k l + C l w m + S x G H A N I T i k + S x G H A G L O i l + S x S H A i k l + S x C l w i m + e r r i j k l m n
where: y i j k l m n is the nth observation for the mth clone in the klth family in the jth replication at the ith site; u is the overall mean; S i is the fixed effect of the ith site; B j i is fixed effect of the jth replication within the ith site; G H A N I T k or G H A G L O l is the random General Hybridizing Ability (GHA) effect for the kth female of E. nitens or the lth male of E. globulus; S H A k l is the random Specific Hybridization Ability (SHA) or full-sib family effect of the kth and the lth parents; C l w m is the random effect of the mth clone within a hybrid family; S x G H A N I T i k or S x G H A G L O i l is the random effect of the interaction between the ith site and the kth E. nitens female parent or the lth E. globulus male parent; S x S H A i k l is the random effect of the interaction between the ith site and klth hybrid family; S x C l w i m is the random effect of the interaction between the ith site test and the mth hybrid clone; and e r r i j k l m n is the error associated with the single-plot random variation within blocks.
Genetic parameters for the multi-site analysis were estimated with the following formulae adapted from Falconer & Mackay [25]:
Phenotypic variance:
σ ^ p h e n 2 = σ ^ G H A N I T 2 + σ ^ G H A G L O 2 + σ ^ S H A 2 + σ ^ C l w 2 + σ ^ S x G H A N I T 2 + σ ^ S x G H A G L O 2 + σ ^ S x S H A 2 + σ ^ S x C l w 2 + σ ^ e r r 2
Genetic variance:
σ ^ G 2 = σ ^ G H A N I T 2 + σ ^ G H A G L O 2 + σ ^ S H A 2 + σ ^ C l w 2
Broad-sense heritability:
H 2 = σ ^ G 2 / σ ^ p h e n 2
In pure species breeding, the narrow-sense heritability (h2) is often estimated as 4 times the General Combining Ability (GCA) variance divided by phenotypic variance. Likewise, authors working with hybrid populations may also estimate a hybrid narrow-sense heritability for each parental species by multiplying the parental GHA variance by 4 and then dividing by the total phenotypic variance [1,26,27,28,29]. In this research, just the broad-sense heritability will be reported (H2), and total genetic variance is described as the GHA variances for the two parent species, SHA variance, and clone-within-family (Clw) variance.
Type-B genetic correlations were obtained for all genetic effects, clone within family, cross and parental level, estimated as:
All genetic effects:
r B G = ( σ ^ G 2 ) / ( σ ^ G 2 + σ ^ S x C l w 2 + σ ^ S x G H A N I T 2 + σ ^ S x G H A G L O 2 + σ ^ S x S H A 2 )
Clone-within-family:
r B c l = σ ^ C l w 2 / ( σ ^ C l w 2 + σ ^ S x C l w 2 )
Cross:
r B n x g = σ ^ S H A 2 / ( σ ^ S H A 2 + σ ^ S x S H A 2 )
NIT:
r B n i t : = σ ^ G H A N I T 2 / ( σ ^ G H A N I T 2 + σ ^ S x G H A N I T 2 )
GLO:
r B g l o = σ ^ G H A G L O 2 / ( σ ^ G H A G L O 2 + σ ^ S x G H A G L O 2 )
The type-B genetic correlations, described by Burdon [30], evaluate the degree of Genotype × Environment interaction (G × E) by measuring the correlation between the same trait in different environments (often called multi-environment trial analysis, MET). The magnitude of G×E interaction ranges from 0 to 1, where values near 0 indicate weak agreement, and close to 1 a near-perfect correlation between the performance of the genotypes for the trait of interest measured across the different environments.
Studies with cloned progeny from controlled crosses allow for the estimation of additive and non-additive genetic variances and the breakdown of the non-additive variance into an estimate of dominance and epistasis variances. Foster & Shaw [31] showed that with full-sib clonal data, an approximation of the epistasis variance ( σ ^ E 2 ) can be calculated for pure species. Similar methodology has been followed by many authors in studies of growth and wood properties, for example, in Eucalyptus globulus [32,33,34] and in the estimation of the genetic parameters for rooting in loblolly pine [35]. Adapting Foster & Shaw’s equation to the hybrid linear model used in this study, the epistasis variance was calculated for all traits in both zones as follows:
σ ^ E 2 = σ ^ C l w 2 ( σ ^ G H A N I T 2 + σ ^ G H A G L O 2 ) 3 σ ^ S H A 2
where σ ^ C l w 2 is the clone-within-family variance, σ ^ G H A N I T 2 and σ ^ G H A G L O 2 are the respective nitens and globulus GHA variances and σ ^ S H A 2 is the SHA variance.
To estimate the size of the epistasis effect, a ratio between epistasis variance and total genetic variance was obtained, calculated as:
E / G = σ ^ E 2 / σ ^ G 2
where σ ^ E 2 is the epistasis variance and σ ^ G 2 is the genetic variance.

2.6. Consistency of Parents for Pure Species Progeny and Hybrid Progeny Performance

Forest tree breeders working with hybrids will often maintain breeding populations of both parental species, and periodically, new hybrid crosses are made between these populations. One method involves intra-species recurrent selection made in the parental populations, selecting based on pure-species progeny performance, and using the selected parents for interspecific species crosses, i.e., the production of new hybrids for commercial plantation establishment. This method is known as Recurrent Selection for General Combining Ability (RSGCA) and requires hybrid crosses only for deployment. However, it is necessary to know the correspondence between the GCA value of each parent with their GHA, to see if there is a relationship between the parental ability to produce superior progeny in intra-specific and inter-specific crosses. A high correlation between these GCA and GHA parameters indicates that parents can be selected for inter-specific crosses based on their pure species performance for a given trait.
Reciprocal Recurrent Selection (RRS) is another breeding strategy to develop new hybrid populations when the GCA is not a good predictor of the GHA, perhaps due to high levels of dominance variance (SHA or Specific Combining Ability, SCA) or epistasis variance or other factors. The RRS method is well known, and was defined by Comstock et al. [36] as a method of selecting inbred lines through SCA values in maize. Both RSGCA and RRS breeding strategies have been adopted successfully in forestry through the years, with interspecific crosses of species of the genus Populus, Eucalyptus, and Pinus, to mention some of them.
For the current E. nitens and E. globulus populations, elite selections of parents were made based on their General Combining Ability (GCA) estimated from pure species field tests established in the Arauco and Valdivia breeding zones by the Arauco Forestry Company. The E. nitens parents were tested in several open-pollinated (OP) trials in both breeding zones. The E. globulus parents were also tested in both breeding zones with controlled-pollinated (CP) and clonal field tests. Prediction of pure species GCA values for growth was done internally by the Arauco Forestry breeding team, using standardized volume from ages 5 to 12 years across multiple sites. For wood property traits, phenotypic data were obtained from tree samples in each breeding zone for roughly the top 20% of the genotypes for 6-year-old volume gain. The wood properties assessed were Basic Density (kg/m3), Specific Consumption (m3/ADt), and Pulp Yield (%) with NIR spectroscopy, using techniques similar to those used for the hybrid progeny in this study.
The parental GCA values of E. nitens and E. globulus were compared with their GHA value using Pearson correlations to evaluate the consistency of the parental performance evaluated as pure species parents and as hybrid parents. A high correlation would indicate that parental GCA could be a good indicator of GHA performance. For each target trait, the statistical significance of the Pearson correlation between the GCA and GHA parental performances was assessed through a t-test, using the native ‘stats’ package of the R software [16].

3. Results

3.1. Growth

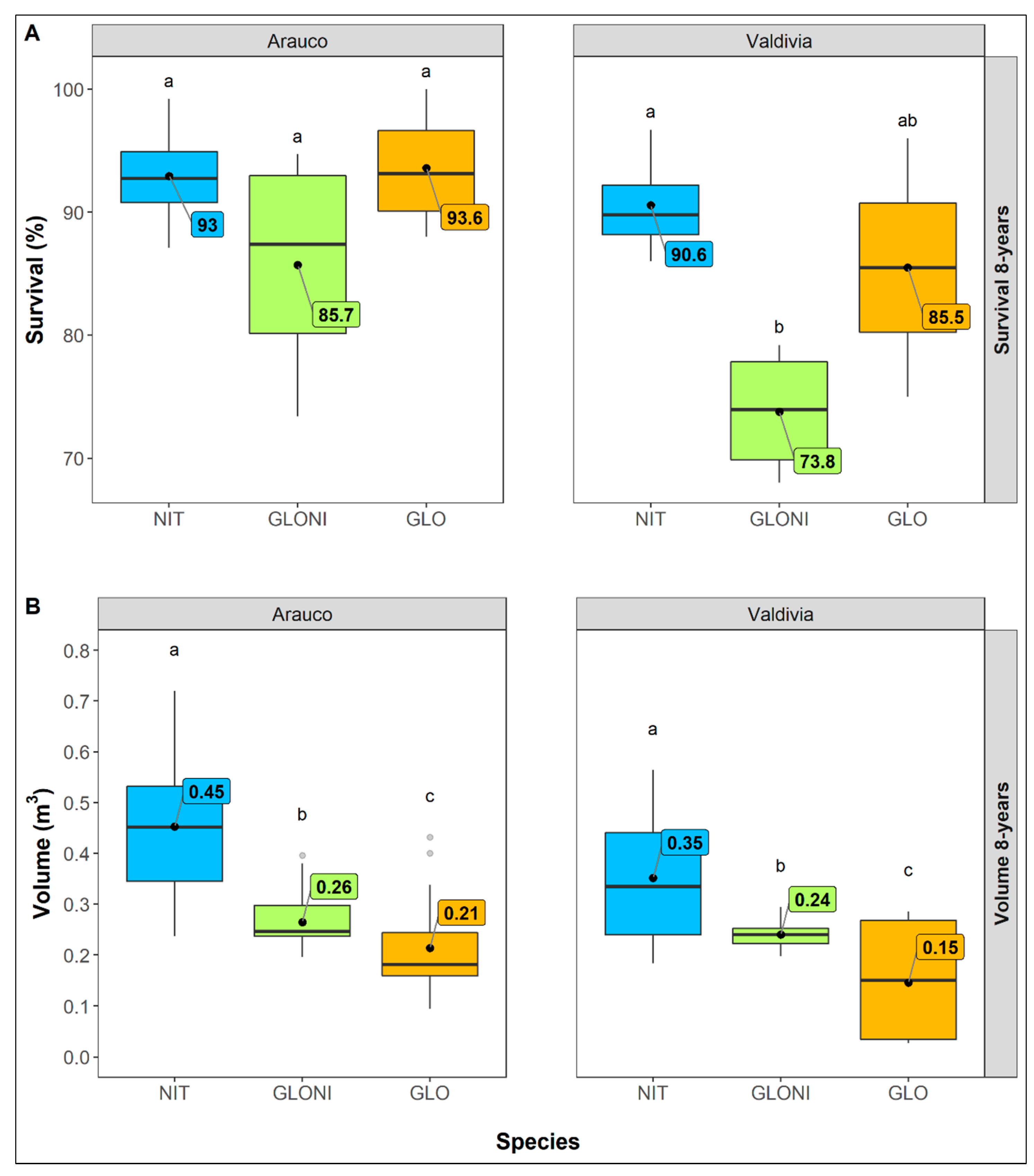
Average survival across tests in the Arauco zone was 93%, and in the Valdivia zone was 80%. In both zones, the survival decreased as the age of the trials increased, which is expected due to competition for light, water, and nutrients. The average volume per tree at 8 years was 0.265 m3 in the Arauco zone and 0.237 m3 in the Valdivia zone. This higher growth in Arauco than in Valdivia was also observed in earlier measurements. A summary of the results can be seen in Table 2.
The mean volume per tree and survival of the hybrid was compared with the pure species controls established in each site, measured at 8 years within zones. In this comparison, depicted in Figure 3A, the hybrid survival was lower in both zones compared with the parental species, but that difference was statistically significant only with NIT in Valdivia (p < 0.05). In general, overall survival was higher in Arauco than Valdivia, and among varieties, NIT had the highest survival in both zones, followed by GLO and finally the hybrid.
The individual tree volume (Figure 3B) of the hybrid (GloNi) was reasonably constant between zones, with a volume of 0.26 and 0.24 m3/tree in Arauco and Valdivia, respectively, a difference of only 0.02 m3/tree. The control species showed much larger differences, with NIT decreasing 0.10 m3 from Arauco to Valdivia (0.45 to 0.35) and GLO decreasing 0.06 m3 (0.21 to 0.15) from Arauco to Valdivia.
NIT had a statistically significant better mean volume performance in both zones than GLO and GloNi (p < 0.05). In the same way, GloNi performed significantly better than GLO (p < 0.05). It is interesting to see that in the Arauco zone, the hybrid grows better than GLO but it is much more similar to GLO than to NIT; in contrast, in Valdivia, the hybrid grows roughly similar to the mid-parent value.

3.2. Wood Properties

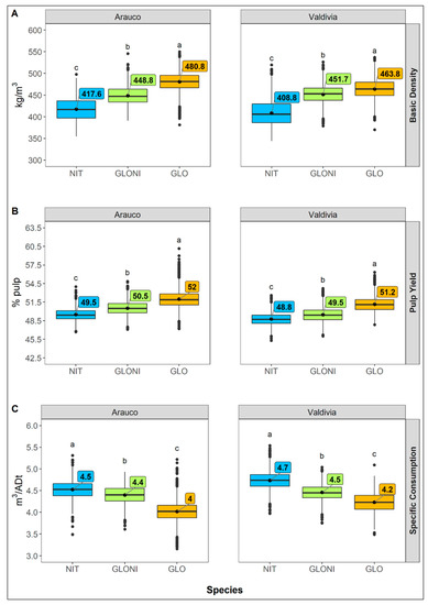
The results indicate that hybrid wood properties for pulp production were slightly better in the Arauco zone than in Valdivia, with higher pulp yield (PY) and lower specific consumption (SC) (Table 3). Basic density (BD) was the only wood property trait where the hybrid had a better value in Valdivia than Arauco.
The means of the wood property traits for the GloNi hybrid and the two parental species are compared in Figure 4. First, as was seen with the hybrids, the pure species had slightly superior wood properties in the Arauco zone than in Valdivia, with higher values for BD and PY and lower values for SC in both E. nitens and E. globulus. Secondly, for all three wood property traits in both zones, GLO had the best performance, followed by GloNi and then by NIT (p < 0.05). The GloNi hybrid clones had a mean near to the mid-parent value of the two parent species for all wood property traits. In the Valdivia zone, the mean BD of the hybrid was a bit closer to the E. globulus mean, and the mean PY was closer to the E. nitens mean. Hence, the functional product of the two traits, SC for the hybrid, was almost exactly intermediate to the parent species in Valdivia.

3.3. Genetic Parameters for Individual Tree Volume

The multi-site analysis revealed a high broad-sense heritability for the standardized tree volume (stVol) for the GloNi hybrid, with an estimated H2 > 0.50 in both zones (Table 4). This high H2 value was associated with low levels of Genotype x Environment (G x E) variance for all levels of genetic effects, as indicated by high estimates of type B genetic correlations. Type B correlations for GHANIT, GHAGLO, SHA, clone within family, and total genetic variance ranged from rB = 0.89 to 0.96.
Table 5 presents estimates of genetic variation in genetic standard deviations, i.e., sigma values (σ = σ 2 ), in order to express the range of the genetic effects present in the population in the measurement units for each trait evaluated (stVol, BD, SC, PY).
In both zones, the estimated GHAGLO effect for stVol was zero (Table 5). The estimate of σ ^ G H A G L O = 0 means that the E. globulus fathers had no consistent and detectable effect on the volume gain of the hybrid clones. In contrast, there was an enormous impact of the E. nitens mothers on the volume gain of the hybrid clones, with σ ^ G H A N I T = 21.06% in the Arauco zone, and 27.37% in Valdivia, implying that if a large population of E. nitens females was tested as hybrid parents, the range of GHANIT values would be roughly from ±42% in Arauco, and ±55% in Valdivia. For growth, SHA variation was also zero in both zones. However, clonal variation within full-sib hybrid families was very significant, with σ ^ C l w  = 39.89% in the Arauco zone, and 42.75% in Valdivia, indicating the possibility to find clones within a full-sib family with a genetic worth up to 80% above the family mean. Considering the two genetic effects with non-zero variation ( σ ^ G H A N I T and σ ^ C l w ), total genetic variation for stVol among hybrid clones appears to be very large, with σ ^ G = 45.1% in the Arauco zone, and 50.8% in Valdivia.

3.4. Genetic Parameters for Wood Properties

Moderate to high broad-sense heritability values were observed for all wood properties in both zones, with H2 ranging from 0.22 to 0.60 (Table 4). The highest H2 values were obtained for Pulp Yield (PY), with an H2 = 0.60 in Arauco, and H2 = 0.55 in Valdivia. For specific consumption (SC), estimated heritability was H2 = 0.53 in Arauco, and H2 = 0.36 in Valdivia. Basic density showed the lowest level of genetic control among the wood traits, with H2 = 0.36 and 0.22 in Arauco and Valdivia, respectively; these heritabilities were even lower than the heritability observed for volume in both zones. Additionally, of interest was the fact that the H2 of all wood traits was higher in the Arauco zone than the Valdivia zone, though this difference was larger for BD and SC than for PY. Similarly, estimated variances for clone-within-family ( σ ^ C l w ) and total genetic effect ( σ ^ G ) were higher in Arauco than Valdivia (Table 5).
For all wood traits, there is important GHA variance from both parent species, with the only exception being PY in Valdivia, where the GHA variance of E. globulus was σ ^ G H A  = 0. For all other wood traits in both regions, σ ^ G H A G L O was important, in contrast to volume, where σ ^ G H A G L O was zero in both regions. There was also an interesting relationship of the GHA variance for wood traits in the two zones. In the Arauco zone, the σ ^ G H A G L O was higher than σ ^ G H A N I T for all wood traits, while in the Valdivia zone, the opposite was observed, with σ ^ G H A N I T higher than σ ^ G H A G L O . For example, for BD in Arauco, the GHA variance of E. globulus was higher than E. nitens, with a σ ^ G H A G L O  = 6.76 and σ ^ G H A N I T  = 4.50, a difference of 2.26 kg/m3 in favor of E. globulus. In contrast, for BD in Valdivia, the GHA variance of the two species was almost the same, with σ ^ G H A N I T  = 3.56 and σ ^ G H A G L O  = 3.59 kg/m3 (Table 5).
In general, there appeared to be low to moderate levels of SHA variation for wood traits in both zones. In the Arauco zone, there was a zero estimate for σ ^ S H A G L O in BD, and moderate levels of variation for SC and PY. In Valdivia, SHA variance appeared to be substantially less important than GHA variation for the two species for all wood traits (BD, SC, and PY).
The clone-within-family effect ( σ ^ C l w ) was the most important source of genetic variation for all wood traits in both zones. In every case, σ ^ C l w was greater than σ ^ G H A N I T , σ ^ G H A G L O , and σ ^ S H A (Table 5).
Aggregating across all sources of genetic variation, the type-B genetic correlations ranged from rBg = 0.92 to 0.99 in in Arauco, and rBg = 0.86 to 0.94 in Valdivia (Table 4). These results indicate very low levels of genotype x environment interaction for wood traits.

3.5. Epistasis

The largest contribution to the total genetic variation for volume was attributed to the clone-within-family component ( σ ^ C l w ) in both zones, implying a significant amount of epistasis for this trait. Appling Foster’s Equation (12), an estimate of the epistasis effect ( σ ^ E ) was calculated for all traits in both zones (Table 4).
For the three wood traits in both zones, the estimates of the epistasis effect ( σ ^ E ) were negative or near zero, which can be interpreted as a null or minimal epistasis effect since these values are not significantly different from zero. In contrast, the estimate of epistasis variance for volume is relatively high in both zones, and the epistasis ratio (Equation (13)) is E/G = 0.419 in Arauco and E/G = 0.564 in Valdivia, with both of these values being significantly different from zero (Table 4). In other words, the estimate of epistasis variance accounts for 41% to 56% of the total genetic variance for volume growth among GloNi clones.

3.6. Hybrid GHA vs. Pure Species GCA for Volume Gain

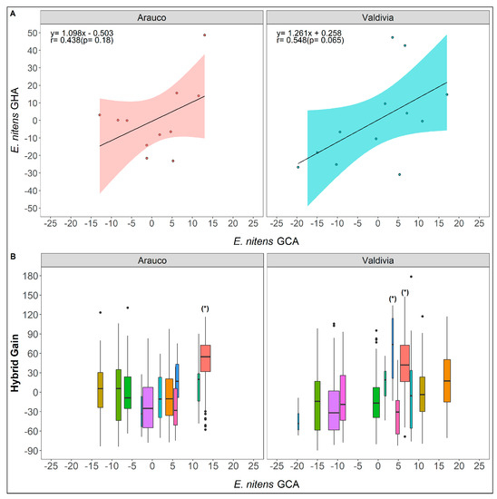
Comparisons of hybrid GHA value and pure species GCA value for volume gain were only possible for the E. nitens parents since there was no variation for GHAGLO in both breeding zones (Table 5). The relationship between E. nitens GCA (x-axis) and GHA (y-axis) was plotted and is shown in Figure 5. In Figure 5A, a scatter plot is shown, with the GHA value for each hybrid mother plotted against pure species GCA. In Figure 5B, a box-and-whisker plot shows the range of total genetic values predicted for all clones from a given hybrid mother, plotted against pure species GCA.
Comparing the GHA (y-axis) to the parental GCA (x-axis) in Figure 5A, there is a positive relationship (rHP = GHA-GCA correlation), with a moderately low correlation of rHP = 0.44 (not statistically significant, as indicated by p = 0.18) in the Arauco zone and a moderate correlation of rHP = 0.55 (p = 0.065) in Valdivia. Although the number of parents is low, these correlations suggest that the parental GCA values could be used as an estimator of the hybrid GHA for volume in both breeding zones. The pure species GCA values were predicted with an approach similar to the one used for the hybrids, and the GCA values are expressed in units of percent gain above the pure species population mean. The regression coefficients, i.e., the slope of GHA vs. GCA, were greater than 1 in both zones, indicating that the growth gains observed in pure species E. nitens will, in general, be slightly increased when extended to the hybrid. For example, in Arauco, the slope was 1.1, so an E. nitens parent with a GCA of 10% would be expected to have a GHA value of around 11% in the Arauco zone. Similarly, in Valdivia, the slope was 1.26, so an E. nitens parent with a GCA of 10% in the Valdivia zone would be expected to have a GHA value of around 13%.
Examining the box-and-whisker plots in Figure 5B, a positive association can be seen between E. nitens GCA and Hybrid Gain, where higher GCA values for E. nitens correspond to higher values of the hybrid gain in volume due to the substantial GHA variance of this parent in both zones. It is clear that some E. nitens mothers produced better clones than others, with some mothers producing clones that, on average, performed around 50% better than the population mean in both zones (indicated with an asterisk symbol in Figure 5B). Furthermore, each E. nitens mother showed high clonal variability in standardized volume, consistent with the large clonal variation within hybrid families that was observed. The data indicated that, in general, we could expect to find clones ranging from ±80% gain in volume relative to the mean of each E. nitens mother.

3.7. Hybrid GHA vs. Pure Species GCA for Wood Properties

The GHA for the wood properties BD, SC, and PY were compared with the parental GCA of both species, E. nitens and E. globulus, with a series of scatter plots and regressions (Figure 6).
For E. nitens parents, the correlations between parental GCA and GHA (rHP = correlation GHA-GCA) in the Arauco breeding zone were positive, but low: rHP = 0.40 for BD, rHP = 0.42 for SC, and rHP = 0.50 for PY. In Valdivia, these correlations were also positive, but were higher than in the Arauco zone: rHP = 0.65 for BD, rHP = 0.71 for SC, and rHP = 0.70 for PY. For the E. nitens parents in either zone, none of the GHA-GCA correlations estimated for wood properties was found to be statistically significant at the 5% significant level, perhaps due in part to the small number of parents examined.
Looking at correlations between GHA and GCA for the E. globulus parents, there were strong correlations between GHAGLO with GCAGLO for all wood properties in the Arauco zone, with rHP = 0.97 for BD, rHP = 0.99 for SC, and rHP = 0.81 for PY, with all values significantly different from zero at p < 0. 05 (Figure 6). In Valdivia, the correlations between GHAGLO and GCAGLO were near zero for BD and SC. For the trait PY, there was no observed variation for GHAGLO, so it was not possible to calculate a correlation with GCAGLO.

4. Discussion

4.1. Survival and Hybrid Performance in Arauco and Valdivia

Although the annual temperature profiles of Arauco and Valdivia (Figure 2) are reasonably similar, Valdivia is cooler, with a minimum mean monthly temperature (MMT) around 2.6 °C lower across the year and a difference near 3 °C in the coldest month of the year, July. Moreover, Valdivia is a more frost-prone region with 10.2 frost days in winter per year, compared to 3.1 in Arauco (see Table 1). The temperature difference between zones is probably a primary factor in the differences in survival observed in the two zones. Age 8-year survival of both species and the hybrid were lower in Valdivia than Arauco; however, the decrease was larger for the hybrid than for the pure species: 8.1% lower survival for E. globulus and 2.4% lower for E. nitens, compared to 11.9% lower for GloNi (Figure 3). Tibbits et al. [37] reviewed and studied the performance of a number of Eucalyptus hybrids and concluded that, on average, F1 hybrids tend to be intermediate to the parent species for frost tolerance with a slight tendency toward the more frost-susceptible species. These authors also observed this to be true for the E. nitens x E. globulus hybrid in particular, with sporadic statistically significant deviation toward the less tolerant E. globulus, depending on the trait and the time of year. Potts et al. [11] comment on high levels of abnormal phenotypes (dwarfs) and mortality in E. nitens × E. globulus nursery and field experiments in Australia. In the current clonal trials in Chile, it seems likely that many abnormal phenotypes would be culled during the rooting phase of the selection process. However, the lower survival at 8 years could still be the result of some level of incompatibility for this hybrid that becomes more apparent with age and under stress from competition, frost, and other factors. Costa e Silva et al. [38] and Larcombe et al. [39] reported outbreeding depression in both survival and growth in long-term studies (14 and 20 years, respectively) of hybrids between E. globulus and E. nitens. Nevertheless, in the current study, the best 20% clones in volume gain (BLUP) had an average survival of 89% and 90% in Arauco and Valdivia, respectively; this is higher than the overall average survival of the hybrid observed at 8 years in Figure 3, especially in Valdivia, where the difference is around 16% higher survival of the best 20% of the clones in the zone.
This climatic difference also has an impact on the individual tree volume of the pure species and the hybrid in the two zones. At 8 years of age, all three varieties have larger individual tree volume in the Arauco zone than in Valdivia; however, the magnitude of the difference varies considerably. Comparing individual tree volume at 8 years between Arauco and Valdivia (Figure 3), E. nitens grows some 22.2% less in Valdivia than Arauco. The E. globulus grows 29.6% less volume in Valdivia and shows much more variation in growth rate, perhaps indicating a slightly lower degree of adaptation to the zone. However, the GloNi hybrid also grows less in Valdivia but has a decrease of only 7.7% compared to the growth in Arauco. This phenomenon is partly due to the higher mortality (lower survival) observed in Valdivia. However, even accounting for this, it seems that the hybrid tree volume is less affected by the environment of Valdivia compared to Arauco in general.
In this study, the GloNi hybrid had wood properties intermediate to the parent species in both zones, being consistent with the conclusions of various authors indicating that, on average, Eucalyptus hybrids tend to have intermediate values for wood density and other wood property traits [11,40,41]

4.2. Genetic Parameters

The genetic variances in these clonal populations of GloNi were, in general, high for volume, pulp yield, specific consumption, and moderate for basic density. Broad sense heritabilities ranged from H2 = 0.22 to 0.60 for wood traits (basic density, pulp yield, and specific consumption) and were above 0.50 for volume (Table 4). All traits in the Arauco breeding zone had higher H2 estimates than in Valdivia, and this was also reflected in a lower level of G×E interaction observed in the Arauco zone. At the clonal level, rBG values for all traits ranged from rBG = 0.92 to 0.99 in Arauco and were typically lower in Valdivia, ranging from rBG = 0.86 to 0.94 in Valdivia (Table 4). In general, the low levels of G × E interaction suggest that in the future, more clones can be tested for growth across fewer sites, and for wood properties, samples could also be taken in fewer tests.
Volker et al. [10], working with E. nitens × E. globulus trials in Australia, reported narrow-sense heritability for the growth trait DBH, and the wood property trait Pilodyn penetration. Pilodyn is a useful indirect measurement of wood basic density [42,43]. In the mentioned research, Volker et al. [10] reported a narrow-sense heritability (h2) of h2 = 0.42 for DBH and h2 = 0.20 for Pilodyn, roughly comparable to the estimates of H2 ≈ 0.50 for growth and H2 ranging from 0.22 to 0.36 for basic density observed in this study. The estimated H2 for basic density in the hybrid population in this study was lower than might have been expected, based on published heritability estimates for the parental species. Raymond [44] reported a summary of wood genetic parameters for the species E. globulus and E. nitens based on a decade of publications, and reported a mean h2 estimate for basic density around 0.60 and 0.70 for E. nitens (based on 12 publications) and E. globulus (based on 7 publications), respectively. For pulp yield, the mean h2 estimates for both E. nitens and E. globulus were around 0.40 (based on 7 and 5 publications, respectively), and these values correspond more closely to the H2 = 0.55 and 0.60 in the two zones in this study.
For volume, there was a strong effect of the E. nitens parent on the growth performance of the hybrid in both breeding zones. In addition, there was a substantial clonal variation found within full-sib GloNi families, and the data suggests that it should be possible to find clones ranging from ±80% in volume gain, relative to the mean of each family. There was no SHA variance found for these interspecific crosses for volume, and there was no GHA variance found for volume among E. globulus parents.
It is important to remember that there were only 8 E. globulus fathers evaluated in this study. Simulation results for hybrid populations suggest a low (but non-zero) chance of estimating a zero variance for a random effect when the number of parents is low and the true underlying genetic variance is small [45]. So even if the true GHAGLO variance ( σ ^ G H A G L O 2 ) is not zero, it is likely that σ ^ G H A G L O 2 is relatively low and much less important than the other effects for hybrid tree volume. Other authors have estimated zero GHA variance for one of the parent species in Eucalyptus hybrids. In a study with a large hybrid population of Eucalyptus grandis x E. urophylla with seedling progeny, van den Berg et al. [20] reported a broad-sense heritability of H2 = 0.37, but estimated the GHA variance for the 30 E. grandis parents to be zero. There was substantial GHA variance for the 27 E. urophylla parents, but there was also a considerable non-additive SHA variance, indicating a high amount of dominance genetic variance. In the current study, there was no SHA variance detected for volume in either zone. However, there appears to be a substantial amount of non-additive epistasis variation observed in both zones.
The estimates of epistasis ( σ ^ E 2 ) for volume was large in both zones, making up 42% to 50% of the total genetic variation. In contrast, there was no evidence of epistasis for any of the wood traits in either zone. These results are consistent with results reported by Tan et al. [46] in an extensive study of the progeny of 476 full-sib hybrid families of E. urophylla × E. grandis. The families were derived from 86 E. urophylla and 95 E. grandis parents and represented by 35 individuals each. In one trial, the hybrids were tested in a randomized complete block design in single-tree plots and 35 replications. Using 41,304 SNP markers, genomic models were evaluated that accounted for additive, dominance, and first-order epistatic interactions for two growth traits (Circumference at Breast Height (CBH) and Height) and two wood traits (basic density and pulp yield) evaluated at 3 and 6 years-old. The study results showed significant epistasis variation in height and CBH at 3 years, with the epistasis variance comprising 91% and 65% of the total genetic variance, respectively. In the measurement at 6 years, the epistasis variance was zero for height but still accounted for 36% of the total genetic variance in CBH. Similar to the current GloNi study results, Tan et al. [46] found no epistasis variation for any of the wood traits at either age.
By applying Foster and Shaw’s [31] epistasis variance estimation procedure on the variances components reported by van den Berg et al. [20] for a sizeable clonal population of Eucalyptus grandis x E. urophylla, discussed above, the epistasis variance for tree volume was estimated to be 40% of the total genetic variation, a value roughly similar to the estimates found in this study for the same trait. It seems that the direction of the cross for E. urophylla x E. grandis does not affect the amount of epistatic variation; comparing the result of van den Berg et al. [20] with Tan et al. [46], both show high epistasis variation for growth in these hybrid populations.
At the pure species level, Costa e Silva et al. [33] estimated the effect of epistasis in a study with full-sib families and clonally replicated progeny of E. globulus in Portugal. Epistasis variation was estimated for DBH growth and Pilodyn penetration measured at 4 years of age. That study reported a very low amount of epistasis variance for DBH, accounting for only 3% of the total genetic variation. In contrast, for Pilodyn penetration, a substantial epistasis effect was reported, corresponding to 23% of the total genetic variance.
In another study of E. globulus in Portugal, Araújo et al. [32] partitioned additive and non-additive variation for DBH growth in a clonal population, testing more than 4200 genotypes in 40 sites. These authors reported a small amount of epistasis variance σ ^ E 2 = −0.02, not significantly different from zero (using the expectations of genetic variances derived by Costa e Silva et al. [33]). They did report some important non-additive genetic variation in this Eucalyptus clonal population, but this was dominance variation ( σ ^ d 2 = 0.096) of a similar size to the additive variance ( σ ^ a 2 = 0.096), followed for the clonal within family variation ( σ ^ C l w 2  = 0.055).
Overall, the studies of Costa e Silva et al. [33] and Araújo et al. [32] are in accord with a low to zero epistasis variance for the DBH growth trait in E. globulus. For E. nitens, there are no studies that characterize epistasis.
Isik et al. [47], studying clonally replicated progeny tests with loblolly pine (Pinus taeda), composed of 9-full sib families, partitioned genetic variance into additive, dominance, and epistatic components, and found a negative epistasis variance for growth traits (Total height, DBH, and volume), which was interpreted as zero variance.
Costa e Silva [33] and Isik et al. [47] both mention that the epistasis variance estimates obtained using the Foster & Shaw method [31] could be underestimates, since that model assumes that epistasis comes mostly from high-level loci interaction. Instead, if low-level loci interaction occurs, the additive variance could be slightly overestimated, and similarly, dominance variance could be slightly overestimated. However, in general, the Foster and Shaw [31] method should give a good and straightforward approximation of the epistasis variation.

4.3. Pure Species GCA—Hybrid GHA Correlations

Positive correlations from small to moderate size were found for E. nitens pure species GCA and hybrid GHA (rHP) for volume in both the Arauco and Valdivia zones, with correlation values of rHP = 0.44 and 0.55, respectively. These correlations (Figure 5) suggest that the pure species genetic value for growth traits could be used as an indicator of genetic worth as a hybrid parent. Since there was zero GHA variance found for E. globulus, rHP for this species could not be defined.
There was a relationship between E. nitens GCA and GHA in both the Arauco and Valdivia zones for wood property traits, but with much higher correlations found in Valdivia (rHP = 0.65 to 0.71) than in Arauco (rHP = 0.4 to 0.5). For E. globulus, there were quite strong correlations between GCA and GHA for all three wood traits in the Arauco zone, ranging from rHP = 0.81 to 0.99. However, in Valdivia, the correlations were near zero for BD and SC, and were non-estimable for PY since the E. globulus GHA was zero for this trait.
Volker et al. [10], working with E. nitens, reported a correlation for GCA-GHA of rHP = 0.67 for 6-year-old DBH and rHP = 0.65 for 10-year-old DBH. In contrast, for E. globulus, they reported a GCA-GHA correlation of rHP = 0.16 for 6-year-old DBH and a negative correlation for 10-year-old DBH. For Pilodyn penetration (an indirect measure of basic density (BD) in the current study), GCA-GHA correlations of rHP = 0.60 and 0.65 were found for E. globulus and E. nitens, respectively. In all cases, the standard errors of the correlation estimates were high, but in general, those results correspond well to the current study results. Thus, it appears that E. nitens GCA values are moderate predictors of the hybrid GHA for both growth and wood properties, while for E. globulus, only for wood traits are GCA values related to GHA values.
For a different hybrid, E. grandis × E. urophylla, van den Berg et al. [20] found a statistically significant correlation of rHP = 0.58 between GCA and GHA for E. urophylla for DBH. As there was very little GHA variance for E. grandis, the GCA-GHA correlation for E. grandis was not reported. These authors concluded that individual tree breeding values for growth traits would be relatively good indicators of GHA. However, they also noted a large amount of non-additive genetic variation for DBH in the hybrid. Nevertheless, there would be some value in selecting the best pure species E. urophylla parents for growth to test as hybrid parents in a hybrid breeding program, similar to the case for E. nitens parents and the GloNi hybrid variety in Chile.
Finally, it is important to note that the current population of GloNi does not have many NIT and GLO parents to date, and relatively few crosses per parent (approximately 2 per E. nitens, and 4 per E. globulus), so the GCA-GHA correlations have to be viewed with some caution. Nevertheless, for tree volume, the data suggest a clear tendency with E. nitens for high GCA values to be associated with high GHA in both breeding zones (Arauco and Valdivia). For wood properties in Arauco, E. globulus GCA is an excellent predictor of the GHA, and E. nitens GCA is a moderate GHA predictor. For wood properties in Valdivia, E. nitens GCA is an excellent GHA predictor.

4.4. Impact of Environment on Hybrid Genetic Architecture

An interesting pattern emerged in this study where there was a clear relationship between the environment (i.e., the Arauco and Valdivia zones) and the expression of genetic variances related to the E. nitens or E. globulus parentage of the GloNi hybrid. Comparing the two parental pure species, it is clear that E. nitens should be better adapted to the Valdivia zone than Arauco, and the reverse is true for E. globulus. The magnitude of the E. nitens-related genetic parameters was greater in Valdivia than in Arauco, while the opposite was true for the E. globulus-related parameters.
Regarding E. nitens, the GHA variance was higher in Valdivia than in Arauco for volume and the wood traits SC and BD. The correlation between E. nitens GCA and GHA for volume was low in Arauco and moderate Valdivia (rHP = 0.44 and 0.55, respectively). However, for the three wood traits, this correlation was much higher in Valdivia than in Arauco (rHP = 0.65 to 0.71 in Valdivia, and rHP = 0.42 to 0.5 in Arauco). Concerning E. globulus, GHA variance was higher in Arauco than in Valdivia for all three wood traits. The correlation between E. globulus GCA and GHA for wood traits was very high in Arauco (rHP = 0.81 to 0.99) and low to near-zero in Valdivia (rHP = 0.29 to 0.19).
It is conceivable that in a hybrid tree variety where one species brings adaptability to specific environmental conditions and stresses, more of the genetic variation in hybrid performance could derive from that species relative to the other parental species. He et al. [48] examined genetic variation in E. urophylla × E. tereticornis in a cool frost-prone environment where E. tereticornis would be expected to bring frost tolerance to the hybrid. These authors found higher (and statistically significant) GHA variance for 4-year volume in the E. tereticornis parents than the E. urophylla parents. Additionally, they found that genetic variation in “cold hardiness” (i.e., field assessed cold and frost damage) derived only from the E. tereticornis parents.
Trials of E. grandis × E. tereticornis and E. grandis × E. camaldulensis hybrids were planted on four sites in Zimbabwe that were considered marginal for E. grandis due to low rainfall [1], and where the E. tereticornis and E. camaldulensis parents were intended to bring drought tolerance to the hybrid. There was no GHA variance for 43-month height and DBH among the E. grandis parents in either hybrid combination in these four tests. In contrast, there was significant GHA variance among the E. tereticornis parents for both height and DBH, and among the E. camaldulensis parents for DBH.
The above examples involve growth traits and seem consistent with the pattern observed in this study for volume, where E. nitens (GHA) contribute more genetic variation for volume in the cooler zone Valdivia than in the warmer zone of Arauco. However, the current results appear to be the first observation of this kind of pattern with wood traits, where E. globulus parents explain more of the hybrid performance in the warmer zone (Arauco), and E. nitens parents explain more of the hybrid performance in the cooler zone (Valdivia).
This last observation is somewhat surprising, as generally, there is a low level of G×E interaction reported for wood properties in forest trees, and specifically, this has been found to be true for pure species E. globulus and E. nitens. For E. globulus, no G×E interaction was found for basic density and pulp yield in a study conducted by Raymond et al. [49] in Tasmania, Australia, or for basic density and Kraft pulp yield in another study by Nickolas et al. [50], also in Tasmania. In E. nitens, there was no significant G×E interaction in wood properties in multiple studies in different environments in Victoria and Tasmania, Australia. In those studies, Greaves et al. [42] evaluated the Pilodyn for indirect measurement of wood density, Blackburn et al. [51] used acoustic wave velocity for indirect selection of trees related to MOE, and Hamilton et al. [51] evaluated wood density and cellulose content, among other traits. As pure species, both E. nitens and E. globulus present very stable behavior across sites in wood properties evaluations.

4.5. Implications for Crossing Strategy for F1 GloNi Clone Production

This study provides some guidance for the formulation of crossing strategies to identify new GloNi clones. All traits examined show considerable genetic variation for clones within hybrid family, and volume appears to have a large amount of epistatic variation. These results first suggest that it is essential to test large numbers of clones, as this will be the only way to capture these potential genetic gains. However, the selection of specific E. nitens and E. globulus parents can also provide some genetic gains.
First, an important strategy to improve volume in both breeding zones would be to increase the number of E. nitens parents used in the crossing design, as there is important GHA variation due to E. nitens in both zones. Thus, a sizable increment of gain could be achieved by testing more E. nitens females in hybrid crosses, and E. nitens parents could be selected based on their performance as pure species due to the moderately high correlation observed between GCANIT and GHANIT in both breeding zones. Moreover, it appears that increments of GCANIT might result in larger increments of GHANIT in the hybrid, as the regression coefficient suggests a multiplier of 1.26 and 1.1 for Arauco and Valdivia, respectively.
GHA variation for wood properties was also due to E. nitens in both zones, and GCA-GHA correlations were moderate (Arauco) to high (Valdivia), so some emphasis could also be placed on wood properties when selecting E. nitens parents.
There was substantial GHA variation for wood properties due to E. globulus in both zones and a very high GCA-GHA correlation in the Arauco zone. Similarly, to the discussion above, there may be some scale effect where increments of GCAGLO for wood traits might result in larger increments of GHAGLO in the hybrid: the regression coefficients suggest a multiplier of 1.36 for BD, 1.72 for SC and 1.87 for PY in Arauco (Figure 6 D, E and F, respectively). Since E. globulus does not contribute GHA variation to hybrid performance in volume, it seems likely that breeders can ignore pure species volume and focus only on wood properties when selecting E. globulus parents for hybrid crosses. Possibly a breeder would want to be cautious with the interpretation of these results since a very small number of parents were tested, and therefore would not want to ignore pure species volume GCA completely. Nevertheless, even selecting the top half of the population for volume would allow substantial selection intensity for wood traits.
Finally, the low amount of G x E interaction observed within hybrid zones (almost all type-B genetic correlations ranging from 0.80 to 1.00) indicates that clones should perform in essentially the same way across all sites within the Arauco and Valdivia breeding zones. In other words, the top 10 clones selected on one or a small number of sites should be excellent performers on any other site within the zone. Therefore, clones could be tested on relatively few sites within zones, allowing more hybrid families and clones to be included in the testing program.
In summary, to obtain gain in growth and wood properties for the Arauco zone, it is proposed to select the best E. nitens females with high performance in growth and the best E. globulus parents with good performance for wood properties, using the results of the parent-tested as pure species or hybrid crosses. In Valdivia, parental selection should focus more on the performance of E. nitens females for volume and wood properties.

5. Conclusions

Significant clonal variation was found among GloNi hybrids in volume gain in both breeding zones, indicating that large total genetic gains can be obtained. The NIT parents demonstrated a considerable impact on the volume of the hybrids, which makes it important to test more NIT parents in future interspecific crosses in Arauco and Valdivia zones. The GHA variance from GLO parents was estimated to be zero in both breeding zones, and if GHA variance is indeed low, it would be preferable to use fewer GLO fathers in future interspecific crosses, or to select these parents for their merits in other traits as wood properties or rooting abilities (a very important trait for clonal propagation of hybrid progeny). This study did not find an SHA effect of the crosses for volume, which, again, could be related to the low number of parents tested.
The selection of NIT parents to improve volume gain in future interspecific crosses could be made based on pure species results or hybrid progeny testing. The positive relationship in tree volume for GHA and GCA in both breeding zones supports this strategy. However, this result should be considered with some caution. Only a small number of E. nitens and E. globulus parents (12 and 8, respectively) have been used so far in the hybrid program, with the number of parents expected to increase in the next years.
The very low genotype by environment interaction in both zones is a good indicator that selected clones within zones will perform similarly across sites, without ranking changes.
A strong environmental effect between zones was found in the expression of the wood properties in GloNi hybrids, indicating that neither E. nitens nor E. globulus parents have a consistent effect on the wood properties of the hybrid progeny among the zones. However, a significant improvement in wood properties can be made in both breeding zones. In Arauco, most of the selection should be made based on E. globulus performance. Parent selection for all wood traits can be made based on parent performance either in pure species or hybrid breeding programs. In Valdivia, the selection should be made based on the performance of both species in wood properties. For E. nitens, selection could be made based on GCA or GHA estimates, but E. globulus parent selections should be made based on GHA estimates.
In conclusion, for future hybrid crosses in the Arauco zone, it will be preferable to select the best NIT parents based on growth performance and the best GLO parents based on their performance for the wood traits. For the Valdivia zone, NIT parents should be selected based on good performance for both growth and wood properties, and E. globulus parents selected based only on good performance for the wood properties Basic Density and Specific Consumption.

Author Contributions

L.I. and G.H.; Methodology: G.H. and L.I.; Formal analysis and investigation: L.I. and G.H.; Writing—original draft preparation: L.I.; Writing—review and editing: G.H. and J.J.A.; Supervision: G.H. and J.J.A. All authors have read and agreed to the published version of the manuscript.

Funding

This research received no external funding.

Data Availability Statement

The data supporting this study’s findings is property of Bioforest-Arauco and is available from the corresponding author upon reasonable request.

Acknowledgments

The authors would like to acknowledge to Bioforest-Arauco for their support and data collection. Thanks also to the entire Camcore membership for their long-term financial and in-kind support and collaboration (https://camcore.cnr.ncsu.edu/ (accessed on 15 October 2020)).

Conflicts of Interest

The authors declare no conflict of interest.

Appendix A

Total number of clones tested within each site, and the common clones tested across sites in the Arauco and Valdivia zones.
Table A1. Total number of clones tested within sites in the Arauco zone. On the diagonal is the total number of clones within each site, and on the off-diagonals is the number of common clones tested in pairs of sites.
Table A1. Total number of clones tested within sites in the Arauco zone. On the diagonal is the total number of clones within each site, and on the off-diagonals is the number of common clones tested in pairs of sites.
SitesARA01ARA02ARA03ARA04ARA05ARA06ARA07ARA08ARA09ARA10ARA11ARA12
ARA0172
ARA026977
ARA030077
ARA04006368
ARA0500128141
ARA060010883177
ARA070011976154172
ARA08004342737373
ARA0900003350288
ARA100000344065294
ARA110000345019184352
ARA122200000017290326
Table A2. Total number of clones tested within sites in the Valdivia zone. On the diagonal is the total number of clones within each site, and on the off-diagonals is the number of common clones tested in pairs of sites.
Table A2. Total number of clones tested within sites in the Valdivia zone. On the diagonal is the total number of clones within each site, and on the off-diagonals is the number of common clones tested in pairs of sites.
SitesVAL01VAL02VAL03VAL04VAL05VAL06VAL07VAL08VAL09VAL10VAL11VAL12VAL13VAL14
VAL0166
VAL025668
VAL0374115
VAL047570120
VAL051494955194
VAL061495255159194
VAL0715126159125130159
VAL0812116363127127129161
VAL090064171766322
VAL10001211015899
VAL1100221281112383190
VAL12006536329731597186820
VAL130076373310831697186806820
VAL14006528288631796185529527535

References

  1. Madhibha, T.; Murepa, R.; Musokonyi, C.; Gapare, W. Genetic Parameter Estimates for Interspecific Eucalyptus Hybrids and Implications for Hybrid Breeding Strategy. New For. 2013, 44, 63–84. [Google Scholar] [CrossRef]
  2. Salas, C.; Donoso, P.J.; Vargas, R.; Arriagada, C.A.; Pedraza, R.; Soto, D.P. The Forest Sector in Chile: An Overview and Current Challenges. J. For. 2016, 114, 562–571. [Google Scholar] [CrossRef]
  3. INFOR. Statistical Bulletin No. 174; Instituto Forestal, Gobierno de Chile: Santiago, Chile, 2020; p. 274. [Google Scholar]
  4. Humphreys, J.R.; O’Reilly-Wapstra, J.M.; Harbard, J.L.; Davies, N.W.; Griffin, A.R.; Jordan, G.J.; Potts, B.M. Discrimination between Seedlings of Eucalyptus Globulus, E. Nitens and Their F1hybrid Using near-Infrared Reflectance Spectroscopy and Foliar Oil Content. Silvae Genet. 2008, 57, 262–269. [Google Scholar] [CrossRef]
  5. White, T.L.; Adams, W.T.; Neale, D.B. Forest Genetics; CABI Publishing: Cambridge, MA, USA, 2007; ISBN 978-085-199-083-5. [Google Scholar]
  6. Luan, Q.F.; Li, Y.J.; Jiang, J.M.; Yue, H.F.; Diao, S.F. Discrimination of Pinus Taeda × P. Caribaea Var. Hondurensis between Its Allele-Species and Hybrids Using near Infrared Spectroscopy. J. Near Infrared Spectrosc. 2013, 21, 203–211. [Google Scholar] [CrossRef]
  7. Potts, B.M.; Dungey, H.S. Interspecific Hybridization of Eucalyptus: Key Issues for Breeders and Geneticists. For. Res. 2004, 27, 115–138. [Google Scholar] [CrossRef]
  8. Stockwell, P.; Richter, F.I. Hybrid Forest Trees. Yearb. Agr. 1943–1947 1947, 465–472. [Google Scholar]
  9. Griffin, A.R.; Harbard, J.L.; Centurion, C.; Santini, P. Breeding Eucalyptus Grandis x Globulus and Other Inter-Specific Hybrids with High Inviability—Problem Analysis and Experience with Shell Forestry Projects in Uruguay and Chile. In Proceedings of the Hybrid Breeding and Genetics of Forest Trees Proceedings of QFRI/CRC-SPF Symposium, Noosa, Australia, 9–14 April 2000; pp. 1–13. [Google Scholar]
  10. Volker, P.W.; Potts, B.M.; Borralho, N.M.G. Genetic Parameters of Intra- and Inter-Specific Hybrids of Eucalyptus Globulus and E. Nitens. Tree Genet. Genomes 2008, 4, 445–460. [Google Scholar] [CrossRef]
  11. Potts, B.M.; Volker, P.W.; Tilyard, P.A.; Joyce, K. The Genetics of Hybridisation in the Temperate Eucalyptus. In Proceedings of the Hybrid Breeding and Genetics of Forest Trees Proceedings of QFRI/CRC-SPF Symposium, Noosa, Australia, 9–14 April 2000; pp. 200–211. [Google Scholar]
  12. Chen, S.; Weng, Q.; Li, F.; Li, M.; Zhou, C.; Gan, S. Genetic Parameters for Growth and Wood Chemical Properties in Eucalyptus Urophylla × E. Tereticornis Hybrids. Ann. For. Sci. 2018, 75, 16. [Google Scholar] [CrossRef]
  13. BCN. Clima y Vegetacion Region Del Bio Bio. Available online: www.bcn.cl/siit/nuestropais/region8/clima.htm (accessed on 10 April 2021).
  14. CR2. Climatic Explorer. Available online: https://explorador.cr2.cl/ (accessed on 15 October 2020).
  15. Ladrach, W.E. Comparaciones Entre Procedencias de Siete Coníferas En La Zona Andina Al Finalizar Los Ochos Años. Inf. Investig. Smurfit Carton Colomb. 1986, 105, 8. [Google Scholar]
  16. R Core Team. R: A Language and Environment for Statistical Computing; R Foundation for Statistical Computing: Vienna, Austria, 2019. [Google Scholar]
  17. Hodge, G.R.; Dvorak, W.S. Provenance Variation and Within-Provenance Genetic Parameters in Eucalyptus Urophylla across 125 Test Sites in Brazil, Colombia, Mexico, South Africa and Venezuela. Tree Genet. Genomes 2015, 11. [Google Scholar] [CrossRef]
  18. Gezan, S.A.; de Carvalho, M.P.; Sherrill, J. Statistical Methods to Explore Genotype-by-Environment Interaction for Loblolly Pine Clonal Trials. Tree Genet. Genomes 2017, 13, 1. [Google Scholar] [CrossRef]
  19. Gapare, W.J.; Musokonyi, C. Provenance Performance and Genetic Parameter Estimates for Pinus Caribaea Var. Hondurensis Planted at Three Sites in Zimbabwe. For. Genet. 2002, 9, 183–189. [Google Scholar]
  20. Berg, G.J.; van den Verryn, S.D.; Chirwa, P.W.; Van Deventer, F. Genetic Parameters of Interspecific Hybrids of Eucalyptus Grandis and E. Urophylla Seedlings and Cuttings. Silvae Genet. 2015, 64, 291–308. [Google Scholar] [CrossRef]
  21. Harville, D.A. Maximum Likelihood Approaches to Variance Component Estimation and to Related Problems. J. Am. Stat. Assoc. 1977, 72, 320–338. [Google Scholar] [CrossRef]
  22. Patterson, H.D.; Thompson, R. Recovery of Inter-Block Information When Block Sizes Are Unequal. Biometrika 1971, 58, 545–554. [Google Scholar] [CrossRef]
  23. Butler, D.G. Asreml: Fits the Linear Mixed Model. R Packag, version 4.1.0.110; VSN Int. Ltd.: Hemel Hempstead, UK, 2019. [Google Scholar]
  24. Butler, D.G.; Cullis, B.R.; Gilmour, A.R.; Gogel, B.J.; Thompson, R. ASReml-R Reference Manual, Version 4; VSN Int. Ltd.,: Hemel Hempstead, UK, 2017; 176.
  25. Falconer, D.; Mackay, T. Introduction to Quantitative Genetics, 4th ed.; Pearson: London, UK; New York, NY, USA, 1996; ISBN 00063452. [Google Scholar]
  26. Dieters, M.J.; Nikles, D.G.; Toon, P.G.; Pomroy, P. Genetic Parameters for F1 Hybrids of Pinus Caribaea Var. Hondurensis with Both Pinus Oocarpa and Pinus Tecunumanii. Can. J. For. Res. 1997, 27, 1024–1031. [Google Scholar] [CrossRef]
  27. Mitchell, R.G.; Wingfield, M.J.; Hodge, G.R.; Steenkamp, E.T.; Coutinho, T.A. The Tolerance of Pinus Patula × Pinus Tecunumanii, and Other Pine Hybrids, to Fusarium Circinatum in Greenhouse Trials. New For. 2013, 44, 443–456. [Google Scholar] [CrossRef]
  28. Zhu, Y.; Wu, S.J.; Xu, J.; Lu, Z.; Li, G.; Hu, Y.; Yang, X.; Bush, D. Genetic Parameters for Growth Traits and Stem-Straightness in Eucalyptus Urophylla × E. Camaldulensis Hybrids from a Reciprocal Mating Design. Euphytica 2017, 213, 1–16. [Google Scholar] [CrossRef]
  29. van den Berg, G.J.; Verryn, S.D.; Chirwa, P.; van Deventer, F. Genetic Parameters and Genotype by Environment Interaction of Eucalyptus Grandis Populations Used in Intraspecific Hybrid Production in South Africa. South. For. J. For. Sci. 2017, 79, 287–295. [Google Scholar] [CrossRef]
  30. Burdon, R.D. Genetic Correlation as a Concept for Studying Genotype-Environment Interaction in Forest Tree Breeding. Silvae Genet. 1977, 26, 168–175. [Google Scholar]
  31. Foster, G.S.; Shaw, D. V Using Clonal Replicates to Explore Genetic Variation in a Perennial Plant Species. Theor. Appl. Genet. 1988, 76, 788–794. [Google Scholar] [CrossRef] [PubMed]
  32. Araújo, J.A.; Borralho, N.M.G.; Dehon, G. The Importance and Type of Non-Additive Genetic Effects for Growth in Eucalyptus Globulus. Tree Genet. Genomes 2012, 8, 327–337. [Google Scholar] [CrossRef]
  33. Costa e Silva, J.; Borralho, N.M.G.; Potts, B.M. Additive and Non-Additive Genetic Parameters from Clonally Replicated and Seedling Progenies of Eucalyptus Globulus. Theor. Appl. Genet. 2004, 108, 1113–1119. [Google Scholar] [CrossRef] [PubMed]
  34. Costa e Silva, J.; Borralho, N.M.G.; Araújo, J.A.; Vaillancourt, R.E.; Potts, B.M. Genetic Parameters for Growth, Wood Density and Pulp Yield in Eucalyptus Globulus. Tree Genet. Genomes 2009, 5, 291–305. [Google Scholar] [CrossRef]
  35. Baltunis, B.S.; Huber, D.A.; White, T.L.; Goldfarb, B.; Stelzer, H.E. Genetic Effects of Rooting Loblolly Pine Stem Cuttings from a Partial Diallel Mating Design. Can. J. For. Res. 2005, 35, 1098–1108. [Google Scholar] [CrossRef]
  36. Comstock, R.E.; Robinson, H.F.; Harvey, P.H. A Breeding Procedure Designed To Make Maximum Use of Both General and Specific Combining Ability 1. Agron. J. 1949, 41, 360–367. [Google Scholar] [CrossRef]
  37. Tibbits, W.N.; Potts, B.M.; Savva, M.H. Inheritance of Freezing Resistance in Interspecific F1 Hybrids of Eucalyptus. Theor. Appl. Genet. 1991, 83, 126–135. [Google Scholar] [CrossRef]
  38. Costa e Silva, J.; Potts, B.M.; Tilyard, P. Epistasis Causes Outbreeding Depression in Eucalypt Hybrids. Tree Genet. Genomes 2012, 8, 249–265. [Google Scholar] [CrossRef]
  39. Larcombe, M.J.; Costa e Silva, J.; Tilyard, P.; Gore, P.; Potts, B.M.; Costa, J.; Tilyard, P.; Gore, P.; Potts, B.M. On the Persistence of Reproductive Barriers in Eucalyptus: The Bridging of Mechanical Barriers to Zygote Formation by F1 Hybrids Is Counteracted by Intrinsic Post-Zygotic Incompatibilities. Ann. Bot. 2016, 118, 431–444. [Google Scholar] [CrossRef]
  40. de Assis, T.F. Production and Use of Eucalyptus Hybrids for Industrial Purposes. In Proceedings of the Hybrid Breeding and Genetics of Forest Trees Proceedings of QFRI/CRC-SPF Symposium, Noosa, Australia, 9–14 April 2000. [Google Scholar]
  41. Zobel, B.J.; Jett, J.B. Genetics of Wood Production; Springer Series in Wood Science; Springer: Berlin/Heidelberg, Germany, 2012; ISBN 9783642795145. [Google Scholar]
  42. Greaves, B.; Borralho, N.M.; Raymond, C.A.; Farrington, A. Use of a Pilodyn for the Indirect Selection of Basic Density in Eucalyptus Nitens. Can. J. For. Res. 1996, 26, 1643–1650. [Google Scholar] [CrossRef]
  43. Wu, S.J.; Xu, J.M.; Li, G.Y.; Risto, V.; Lu, Z.H.; Li, B.Q.; Wang, W. Use of the Pilodyn for Assessing Wood Properties in Standing Trees of Eucalyptus Clones. J. For. Res. 2010, 21, 68–72. [Google Scholar] [CrossRef]
  44. Raymond, C.A. Genetics of Eucalyptus Wood Properties. Ann. For. Sci. 2002, 59, 525–531. [Google Scholar] [CrossRef]
  45. Ibarra, L. Quantitative Genetics on Hybrid Populations of Trees: Estimations of Genetic Parameters and Implications for Breeding Strategies. Dissertation; North Carolina State University: Raleigh, NC, USA, 2021. [Google Scholar]
  46. Tan, B.; Grattapaglia, D.; Wu, H.X.; Ingvarsson, P.K. Genomic Relationships Reveal Significant Dominance Effects for Growth in Hybrid Eucalyptus. Plant Sci. 2018, 267, 84–93. [Google Scholar] [CrossRef] [PubMed]
  47. Isik, F.; Li, B.; Frampton, J. Estimates of Additive, Dominance and Epistatic Genetic Variances from a Clonally Replicated Test of Loblolly Pine. For. Sci. 2003, 49, 77–88. [Google Scholar] [CrossRef]
  48. He, X.; Li, F.; Li, M.; Weng, Q.; Shi, J.; Mo, X.; Gan, S. Quantitative Genetics of Cold Hardiness and Growth in Eucalyptus as Estimated from E. Urophylla × E. Tereticornis Hybrids. New For. 2012, 43, 383–394. [Google Scholar] [CrossRef]
  49. Raymond, C.A.; Schimleck, L.R.; Muneri, A.; Michell, A.J. Genetic Parameters and Genotype-by-Environment Interactions for Pulp Yield Predicted Using near Infrared Reflectance Analysis and Pulp Productivity in Eucalyptus Globulus. For. Genet. 2001, 8, 213–224. [Google Scholar]
  50. Nickolas, H.; Williams, D.; Downes, G.; Tilyard, P.; Harrison, P.A.; Vaillancourt, R.E.; Potts, B. Genetic Correlations among Pulpwood and Solid-Wood Selection Traits in Eucalyptus Globulus. New For. 2020, 51, 137–158. [Google Scholar] [CrossRef]
  51. Blackburn, D.; Hamilton, M.; Williams, D.; Harwood, C.; Potts, B. Acoustic Wave Velocity as a Selection Trait in Eucalyptus Nitens. Forests 2014, 5, 744–762. [Google Scholar] [CrossRef]
Figure 1. Map of E. nitens × E. globulus trial distribution. Left: global location of the trials, with the country region depicted in blue and the study location in yellow. Right: detailed location of the trials per breeding zone. Represented in orange is the Arauco zone, and in green the Valdivia zone. Each black dot represents the location of a field test.
Figure 1. Map of E. nitens × E. globulus trial distribution. Left: global location of the trials, with the country region depicted in blue and the study location in yellow. Right: detailed location of the trials per breeding zone. Represented in orange is the Arauco zone, and in green the Valdivia zone. Each black dot represents the location of a field test.
Forests 14 00381 g001
Figure 2. Yearly distribution of temperature and rainfall in Arauco and Valdivia breeding zones with data of 30 years (1987–2017). The primary Y-axis represents the Mean Monthly Temperature (MMT) in °C, and the secondary Y-axis the Mean Monthly Precipitation (MMP) in mm. The orange lines represent the maximum MMT and the blue line minimum MMT (°C). The gray line represents the monthly mean precipitation (mm). The orange label with the title MaxT represents the mean of the maximum MMT, and the blue label the mean of the minimum MMT. The blue arrows in July represent the lowest minimum MMT of the year.
Figure 2. Yearly distribution of temperature and rainfall in Arauco and Valdivia breeding zones with data of 30 years (1987–2017). The primary Y-axis represents the Mean Monthly Temperature (MMT) in °C, and the secondary Y-axis the Mean Monthly Precipitation (MMP) in mm. The orange lines represent the maximum MMT and the blue line minimum MMT (°C). The gray line represents the monthly mean precipitation (mm). The orange label with the title MaxT represents the mean of the maximum MMT, and the blue label the mean of the minimum MMT. The blue arrows in July represent the lowest minimum MMT of the year.
Forests 14 00381 g002
Figure 3. Parental and hybrid phenotypic values in survival (%) and individual tree volume (m3), measured at 8 years in the Arauco and Valdivia breeding zones. (A) Survival plots. (B) Volume plots. The abbreviation NIT is for E. nitens parents, GLO for E. globulus parents, and GLONI for the hybrid between these species. NIT and GLO survival and volume values were obtained from the pure species controls planted in each hybrid field test. Black dots represent the mean of survival and volume, with their value on a label near to the dot for each species within a zone. The Tukey HSD significance test for differences in the means Volume (m3) and Survival (%) was performed within a zone, where different letters indicate statistically significant differences (p < 0.05).
Figure 3. Parental and hybrid phenotypic values in survival (%) and individual tree volume (m3), measured at 8 years in the Arauco and Valdivia breeding zones. (A) Survival plots. (B) Volume plots. The abbreviation NIT is for E. nitens parents, GLO for E. globulus parents, and GLONI for the hybrid between these species. NIT and GLO survival and volume values were obtained from the pure species controls planted in each hybrid field test. Black dots represent the mean of survival and volume, with their value on a label near to the dot for each species within a zone. The Tukey HSD significance test for differences in the means Volume (m3) and Survival (%) was performed within a zone, where different letters indicate statistically significant differences (p < 0.05).
Forests 14 00381 g003
Figure 4. Means for parental and hybrid wood properties in Arauco and Valdivia breeding zones. (A) Basic Density (kg/m3). (B) Pulp Yield (%). (C) Specific Consumption (m3/ADt). The abbreviation NIT is for E. nitens, GLO for E. globulus, and GLONI is for the hybrid between these species. The NIT and GLO wood property values were obtained from the company’s current pure species breeding programs (around 5–8 tests for each zone). The Tukey HSD significance test for differences in the means of Basic Density (kg/m3), Pulp Yield (%), and Specific Consumption (m3/ADt) was performed within zone, where different letters indicate statistically significant differences (p < 0.05).
Figure 4. Means for parental and hybrid wood properties in Arauco and Valdivia breeding zones. (A) Basic Density (kg/m3). (B) Pulp Yield (%). (C) Specific Consumption (m3/ADt). The abbreviation NIT is for E. nitens, GLO for E. globulus, and GLONI is for the hybrid between these species. The NIT and GLO wood property values were obtained from the company’s current pure species breeding programs (around 5–8 tests for each zone). The Tukey HSD significance test for differences in the means of Basic Density (kg/m3), Pulp Yield (%), and Specific Consumption (m3/ADt) was performed within zone, where different letters indicate statistically significant differences (p < 0.05).
Forests 14 00381 g004
Figure 5. Relationship between E. nitens GCA and their effect in Hybrid Gain and E. nitens GHA for standardized volume (stVol) in the Arauco and Valdivia zones. (A) GHA vs. GCA of E. nitens parents, where each dot represents an E. nitens mother, and the significance probability of the correlations is in parenthesis (p-value). (B) Hybrid Gain vs. E. nitens GCA, where each E. nitens parent was represented with a unique color. Identified with an asterisk (*) are E. nitens mothers with clones that, on average, had predicted gains of more than 50% gain relative to the hybrid population mean (zero).
Figure 5. Relationship between E. nitens GCA and their effect in Hybrid Gain and E. nitens GHA for standardized volume (stVol) in the Arauco and Valdivia zones. (A) GHA vs. GCA of E. nitens parents, where each dot represents an E. nitens mother, and the significance probability of the correlations is in parenthesis (p-value). (B) Hybrid Gain vs. E. nitens GCA, where each E. nitens parent was represented with a unique color. Identified with an asterisk (*) are E. nitens mothers with clones that, on average, had predicted gains of more than 50% gain relative to the hybrid population mean (zero).
Forests 14 00381 g005
Figure 6. GHA vs. GCA on wood properties of E. nitens and E. globulus parents in Arauco and Valdivia breeding zones. In parenthesis, the p-value of each correlation per trait-species. (A) E. nitens GHA vs. GCA for Basic Density. (B) E. nitens GHA vs. GCA for Specific Consumption. (C) E. nitens GHA vs. GCA for Pulp Yield. (D) E. globulus GHA vs. GCA for Basic Density. (E) E. globulus GHA vs. GCA for Specific Consumption. (F) E. globulus GHA vs. GCA for Pulp Yield (The globulus PY relationship could not be plotted, since the globulus GHA variance of PY was zero in this zone).
Figure 6. GHA vs. GCA on wood properties of E. nitens and E. globulus parents in Arauco and Valdivia breeding zones. In parenthesis, the p-value of each correlation per trait-species. (A) E. nitens GHA vs. GCA for Basic Density. (B) E. nitens GHA vs. GCA for Specific Consumption. (C) E. nitens GHA vs. GCA for Pulp Yield. (D) E. globulus GHA vs. GCA for Basic Density. (E) E. globulus GHA vs. GCA for Specific Consumption. (F) E. globulus GHA vs. GCA for Pulp Yield (The globulus PY relationship could not be plotted, since the globulus GHA variance of PY was zero in this zone).
Forests 14 00381 g006
Table 1. Average of a 30-year period of observations of the proportion of days under 0 °C degrees in Arauco and Valdivia zones for the months from May to August. Total frost days are estimated based on the proportion of days under 0 °C and the number of days of each month from May to August.
Table 1. Average of a 30-year period of observations of the proportion of days under 0 °C degrees in Arauco and Valdivia zones for the months from May to August. Total frost days are estimated based on the proportion of days under 0 °C and the number of days of each month from May to August.
ZoneMonthTotal Frost Days
MayJunJulyAugust
Arauco1%2%4%3%3.1
Valdivia6%8%13%6%10.2
Table 2. Summary of field test growth measurements per age and breeding zone. HT = Total tree height (m), DBH = diameter measured at 1.3 m above ground (cm). The means of the growth traits and their standard deviations (SD) are provided for each zone and age.
Table 2. Summary of field test growth measurements per age and breeding zone. HT = Total tree height (m), DBH = diameter measured at 1.3 m above ground (cm). The means of the growth traits and their standard deviations (SD) are provided for each zone and age.
ZoneAgeTrial (N)Survival ± SD (%)HT ± SDDBH ± SDVolume ± SD
Arauco4499 ± 111.1 ± 111 ± 1.120.0459 ± 0.0127
Arauco5496 ± 214.23 ± 0.6213.76 ± 0.520.0957 ± 0.0066
Arauco8486 ± 1020.07 ± 1.3519.05 ± 1.190.2646 ± 0.0529
Valdivia4487 ± 59.72 ± 0.9210.67 ± 0.610.0384 ± 0.0052
Valdivia5780 ± 912.35 ± 2.2413.03 ± 1.940.0791 ± 0.0315
Valdivia8474 ± 520.68 ± 1.2617.75 ± 0.460.2371 ± 0.0129
Table 3. Summary of wood properties measurements for a clonal population of E. nitens x E. globulus at 6 years. BD = Basic Density (kg/m3), PY = Pulp Yield (%), SC = Specific Consumption (m3/ADt), N Ramets = number of ramets per clone sampled, and N Clones = number of clones evaluated.
Table 3. Summary of wood properties measurements for a clonal population of E. nitens x E. globulus at 6 years. BD = Basic Density (kg/m3), PY = Pulp Yield (%), SC = Specific Consumption (m3/ADt), N Ramets = number of ramets per clone sampled, and N Clones = number of clones evaluated.
ZoneBD ± SDPY ± SDSC ± SDN Ramets N Clones
Arauco448.8 ± 20.850.5 ± 1.14.4 ± 0.26.0385
Valdivia451.7 ± 21.949.5 ± 1.24.5 ± 0.24.6325
Table 4. Genetic parameter estimates from combined-site analysis for standardized volume (stVol), Basic Density (BD), Specific Consumption (SC), and Pulp Yield (PY) in Arauco and Valdivia zone with their respective SE. H2 is the broad-sense heritability. rBNIT, rBGLO, rBSHA, rBClw, and rBG are the type-B genetic correlations for GHANIT, GHAGLO, SHA, Clw, and G x site interaction, respectively. E/G is the epistasis ratio between epistasis and total genetic variance.
Table 4. Genetic parameter estimates from combined-site analysis for standardized volume (stVol), Basic Density (BD), Specific Consumption (SC), and Pulp Yield (PY) in Arauco and Valdivia zone with their respective SE. H2 is the broad-sense heritability. rBNIT, rBGLO, rBSHA, rBClw, and rBG are the type-B genetic correlations for GHANIT, GHAGLO, SHA, Clw, and G x site interaction, respectively. E/G is the epistasis ratio between epistasis and total genetic variance.
ZoneTraitsGenetic Parameters ± SE
H2rBNITrBGLOrBSHArBClwrBGE/G
Araucostvol0.54 ± 0.030.92 ± 0.05--0.92 ± 0.010.92 ± 0.010.56 ± 0.16
BD0.36 ± 0.070.80 ± 0.221 ± 0-0.93 ± 0.080.93 ± 0.05−0.03 ± 0.31
SC0.53 ± 0.071 ± 0.180.99 ± 0.031 ± 00.99 ± 0.040.99 ± 0.03−0.17 ± 0.33
PY0.60 ± 0.081 ± 00.93 ± 0.091 ± 00.88 ± 0.050.92 ± 0.04−0.4 ± 0.31
Valdiviastvol0.51 ± 0.040.96 ± 0.03--0.89 ± 0.010.89 ± 0.020.42 ± 0.21
BD0.22 ± 0.051 ± 01 ± 00.38 ± 0.480.87 ± 0.160.86 ± 0.1−0.01 ± 0.36
SC0.36 ± 0.060.86 ± 0.181 ± 00.64 ± 0.730.84 ± 0.090.86 ± 0.06−0.01 ± 0.31
PY0.55 ± 0.060.95 ± 0.07-0.81 ± 0.440.94 ± 0.040.94 ± 0.030.09 ± 0.31
Table 5. Variance component estimates from combined-site analysis for standardized volume (stVol), Basic Density (BD), Specific Consumption (SC), and Pulp Yield (PY) in Arauco and Valdivia zone with their respective SE. GHANIT or GHAGLO is the General Hybridizing Ability variance due to E. nitens female or E. globulus male. SHA is the Specific Hybridizing Ability variance. Clw is the clonal variance within family. G is the total genetic variance. E is the variance estimate of epistasis. All these genetic variances are expressed in sigma values (σ).
Table 5. Variance component estimates from combined-site analysis for standardized volume (stVol), Basic Density (BD), Specific Consumption (SC), and Pulp Yield (PY) in Arauco and Valdivia zone with their respective SE. GHANIT or GHAGLO is the General Hybridizing Ability variance due to E. nitens female or E. globulus male. SHA is the Specific Hybridizing Ability variance. Clw is the clonal variance within family. G is the total genetic variance. E is the variance estimate of epistasis. All these genetic variances are expressed in sigma values (σ).
ZoneTraitsσ Values ± SE
GHANITGHAGLOSHAClwGE
Araucostvol21.06 ± 5.07--39.89 ± 0.9645.1 ± 2.5133.82 ± 3.34
BD4.5 ± 1.746.76 ± 2.7-7.91 ± 0.5711.34 ± 1.79−1.85 ± 11.08
SC0.04 ± 0.020.08 ± 0.030.04 ± 0.020.10± 0.010.14 ± 0.02−0.06 ± 0.06
PY0.29 ± 0.160.53 ± 0.240.32 ± 0.130.59 ± 0.030.90 ± 0.15−0.57 ± 0.29
Valdiviastvol27.37 ± 6.87--42.75 ± 1.0650.76 ± 3.8132.81 ± 5.88
BD3.59 ± 1.53.56 ± 1.971.81 ± 1.685.91 ± 0.657.99 ± 1.17−0.63 ± 18.29
SC0.05 ± 0.020.04 ± 0.020.02 ± 0.020.07 ± 0.010.1 ± 0.01−0.01 ± 0.15
PY0.43 ± 0.13-0.14 ± 0.120.54 ± 0.030.7 ± 0.080.22 ± 0.34
Disclaimer/Publisher’s Note: The statements, opinions and data contained in all publications are solely those of the individual author(s) and contributor(s) and not of MDPI and/or the editor(s). MDPI and/or the editor(s) disclaim responsibility for any injury to people or property resulting from any ideas, methods, instructions or products referred to in the content.

Share and Cite

MDPI and ACS Style

Ibarra, L.; Hodge, G.; Acosta, J.J. Quantitative Genetics of a Hybrid Population of Eucalyptus nitens × Eucalyptus globulus: Estimation of Genetic Parameters and Implications for Breeding Strategies. Forests 2023, 14, 381. https://doi.org/10.3390/f14020381

AMA Style

Ibarra L, Hodge G, Acosta JJ. Quantitative Genetics of a Hybrid Population of Eucalyptus nitens × Eucalyptus globulus: Estimation of Genetic Parameters and Implications for Breeding Strategies. Forests. 2023; 14(2):381. https://doi.org/10.3390/f14020381

Chicago/Turabian Style

Ibarra, Luis, Gary Hodge, and Juan José Acosta. 2023. "Quantitative Genetics of a Hybrid Population of Eucalyptus nitens × Eucalyptus globulus: Estimation of Genetic Parameters and Implications for Breeding Strategies" Forests 14, no. 2: 381. https://doi.org/10.3390/f14020381

APA Style

Ibarra, L., Hodge, G., & Acosta, J. J. (2023). Quantitative Genetics of a Hybrid Population of Eucalyptus nitens × Eucalyptus globulus: Estimation of Genetic Parameters and Implications for Breeding Strategies. Forests, 14(2), 381. https://doi.org/10.3390/f14020381

Note that from the first issue of 2016, this journal uses article numbers instead of page numbers. See further details here.

Article Metrics

Back to TopTop