Vegetation and Forest Complexity Analysis of the Caucasian Grouse (Lyrurus mlokosiewiczi) Habitats in the Lesser Caucasus Mountain
Abstract
1. Introduction
2. Materials and Methods
2.1. Study Area
2.2. Species Description
2.3. Data Collection and Analysis
2.3.1. Forest Structure
- DC1: recently dead trees with intact tops and the majority of fine branching present, the structure is round, leaves and bark present, cambium is still fresh, wood solid, wood color is original, more than 75% of wood still intact and a good part of the bark was still intact, twigs and leaves attached;
- DC2: 25%–50% of wood beginning to be soft and bark only partially convert; lacked fine twigs and leaves.
- DC3: 75% of the tree trunk has decayed, the bark is totally degraded.
| Attribute | Index | Description & Reference |
|---|---|---|
| Tree diameter | Tree DBH | Tree DBH generally increases with stand age. |
| Tree size diversity (TSD) | Shannon–Weiner Index was used to summarize DBH distribution in a single measure called TSD (H′), where H′ = − and pi is the proportion of trees in the ith DBH class. The 10–15 DBH class was considered a reference DBH class [44]. | |
| Diameter distribution | The DBH distribution indicates something about the stand structure. Stands with a reverse J distribution are indicative of uneven-aged stands [45]. Also, it is as an attribute of forest structure is the complexity of comparing distributions from different stands [10]. | |
| Tree height | Height of overstorey | The simplest attribute associated with height is the height of the overstorey. This attribute may be indicative of successional stage, the number of strata or stand biomass. The overstorey tree layer included all trees with a DBH ≥10 cm [46]. |
| Stand basal area | Stand basal area is directly related to mean DBH. It is also indicative of stand volume and biomass. | |
| Tree species | Species richness | The number of species per sample plot [16,47] |
| Relative frequency of three high frequency species | The ratio between the frequency of a species and the sum of all species frequencies [47,48] | |
| Understorey vegetation | Shrub height | The understorey tree layer included all trees with a DBH <10 cm and ≥1.3 m in height [46]. |
| Understory richness | Species richness was estimated in each sample plot and per ha. Understorey species richness due to the increased interspecific competition may lead to reducing resource availability [46]. | |
| Deadwood | Number, basal area and volume of dead trees (by decay classes) | Dead standing and fallen trees are considered key structural elements. In natural forests, a wide variety of dead wood forms correspond to the continuity of wood decomposition, ranging from dead branches still attached to tree crowns, standing dead trees to rotting logs [49]. Number, BA, and volume of dead trees were classified in 4 classes. |
2.3.2. Structural Complexity Index
3. Results
4. Discussion
5. Conclusions
Author Contributions
Funding
Institutional Review Board Statement
Informed Consent Statement
Data Availability Statement
Conflicts of Interest
References
- Kara, F.; Lhotka, J.M. Comparison of unmanaged and managed Trojan Fir-Scots pine forests for structural complexity. Turk. J. Agric. For. 2020, 44, 62–70. [Google Scholar] [CrossRef]
- Oliver, C.D.; Osawa, A.; Camp, A. Forest dynamics and resulting animal and plant population changes at the stand and landscape levels. J. Sustain. For. 1997, 6, 281–312. [Google Scholar] [CrossRef]
- Silaeva, T.; Andreychev, A.; Kiyaykina, O.; Balčiauskas, L. Taxonomic and ecological composition of forest stands inhabited by forest dormouse Dryomys nitedula (Rodentia: Gliridae) in the Middle Volga. Biologia 2021, 76, 1475–1482. [Google Scholar] [CrossRef]
- Åberg, J.; Swenson, J.E.; Angelstam, P. The habitat requirements of hazel grouse (Bonasa bonasia) in managed boreal forest and applicability of forest stand descriptions as a tool to identify suitable patches. For. Ecol. Manag. 2003, 175, 437–444. [Google Scholar] [CrossRef]
- Sabatini, F.M.; Burrascano, S.; Lombardi, F.; Chirici, G.; Blasi, C. An index of structural complexity for Apennine beech forests. Iforest Biogeosciences For. 2015, 8, 314. [Google Scholar] [CrossRef]
- Caviedes, J.; Ibarra, J.T. Influence of anthropogenic disturbances on stand structural complexity in Andean temperate forests: Implications for managing key habitat for biodiversity. PLoS ONE 2017, 12, e0169450. [Google Scholar] [CrossRef] [PubMed]
- Ehbrecht, M.; Schall, P.; Ammer, C.; Seidel, D. Quantifying stand structural complexity and its relationship with forest management, tree species diversity and microclimate. Agric. For. Meteorol. 2017, 242, 1–9. [Google Scholar] [CrossRef]
- Seidel, D.; Ehbrecht, M.; Dorji, Y.; Jambay, J.; Ammer, C.; Annighöfer, P. Identifying architectural characteristics that determine tree structural complexity. Trees 2019, 33, 911–919. [Google Scholar] [CrossRef]
- McElhinny, C.; Gibbons, P.; Brack, C. An objective and quantitative methodology for constructing an index of stand structural complexity. For. Ecol. Manag. 2006, 235, 54–71. [Google Scholar] [CrossRef]
- McElhinny, C.; Gibbons, P.; Brack, C.; Bauhus, J. Forest and woodland stand structural complexity: Its definition and measurement. For. Ecol. Manag. 2005, 218, 1–24. [Google Scholar] [CrossRef]
- Mensah, S.; Salako, V.K.; Seifert, T. Structural complexity and large-sized trees explain shifting species richness and carbon relationship across vegetation types. Funct. Ecol. 2020, 34, 1731–1745. [Google Scholar] [CrossRef]
- De Groot, R.S. Functions of Nature: Evaluation of Nature in Environmental Planning, Management and Decision Making; Wolters-Noordhoff BV: Groningen, The Netherlands, 1992. [Google Scholar]
- Seidel, D.; Ehbrecht, M.; Annighöfer, P.; Ammer, C. From tree to stand-level structural complexity—Which properties make a forest stand complex? Agric. For. Meteorol. 2019, 278, 107699. [Google Scholar] [CrossRef]
- Sefidi, K.; Copenheaver, C.A. Tree-Related Microhabitats: A Comparison of Managed and Unmanaged Oriental Beech–Dominated Forests in Northern Iran. For. Sci. 2020, 66, 747–753. [Google Scholar] [CrossRef]
- Braunisch, V.; Roder, S.; Coppes, J.; Froidevaux, J.S.; Arlettaz, R.; Bollmann, K. Structural complexity in managed and strictly protected mountain forests: Effects on the habitat suitability for indicator bird species. For. Ecol. Manag. 2019, 448, 139–149. [Google Scholar] [CrossRef]
- Atsbha, T.; Desta, A.B.; Zewdu, T. Woody species diversity, population structure, and regeneration status in the Gra-Kahsu natural vegetation, southern Tigray of Ethiopia. Heliyon 2019, 5, e01120. [Google Scholar] [CrossRef]
- Pretzsch, H. Forest dynamics, growth, and yield. In Forest Dynamics, Growth and Yield; Springer: Berlin/Heidelberg, Germany, 2009; pp. 1–39. [Google Scholar]
- Gadow, K.v.; Zhang, C.Y.; Wehenkel, C.; Pommerening, A.; Corral-Rivas, J.; Korol, M.; Myklush, S.; Hui, G.Y.; Kiviste, A.; Zhao, X.H. Forest structure and diversity. In Continuous Cover Forestry; Springer: Berlin/Heidelberg, Germany, 2012; pp. 29–83. [Google Scholar]
- Ghanbari, S.; Jafari, M.; Nasiri, V. Effects of conservation programs in changing the pattern of fuel consumption of villagers in the Arasbaran forests. J. For. Res. Dev. 2015, 1, 67–83. [Google Scholar]
- Ross, B.; Fredericksen, T.; Ross, E.; Hoffman, W.; Morrison, M.L.; Beyea, J.; Lester, M.B.; Johnson, B.N.; Fredericksen, N.J. Relative abundance and species richness of herpetofauna in forest stands in Pennsylvania. For. Sci. 2000, 46, 139–146. [Google Scholar]
- Lanham, J.D.; Guynn, D.C., Jr. Influences of Coarse Woody Debris on Birds in Southern Forests: Biodiversity and Coarse Woody Debris in Southern Forests; US Forest Service Technical Report SE-94; United States Forest Service: Washington, DC, USA, 1996; pp. 101–107.
- Lohr, S.M.; Gauthreaux, S.A.; Kilgo, J.C. Importance of coarse woody debris to avian communities in loblolly pine forests. Conserv. Biol. 2002, 16, 767–777. [Google Scholar] [CrossRef]
- Tomasevic, J.A.; Estades, C.F. Stand attributes and the abundance of secondary cavity-nesting birds in southern beech (Nothofagus) forests in south-central Chile. Ornitol. Neotrop. 2006, 17, 1–14. [Google Scholar]
- Acosta-Jamett, G.; Simonetti, J.A. Habitat use by Oncifelis guigna and Pseudalopex culpaeus in a fragmented forest landscape in central Chile. Biodivers. Conserv. 2004, 13, 1135–1151. [Google Scholar]
- Mac Nally, R.; Parkinson, A.; Horrocks, G.; Conole, L.; Tzaros, C. Relationships between terrestrial vertebrate diversity, abundance and availability of coarse woody debris on south-eastern Australian floodplains. Biol. Conserv. 2001, 99, 191–205. [Google Scholar] [CrossRef]
- Thiollay, J.-M. Influence of selective logging on bird species diversity in a Guianan rain forest. Conserv. Biol. 1992, 6, 47–63. [Google Scholar] [CrossRef]
- Reid, S.; Díaz, I.A.; Armesto, J.J.; Willson, M.F. Importance of native bamboo for understory birds in Chilean temperate forests. Auk 2004, 121, 515–525. [Google Scholar] [CrossRef]
- Darvishi, A.; Fakheran, S.; Soffianian, A. Monitoring landscape changes in Caucasian black grouse (Tetrao mlokosiewiczi) habitat in Iran during the last two decades. Environ. Monit. Assess. 2015, 187, 443. [Google Scholar] [CrossRef]
- Amini Parsa, V.; Yavari, A.; Nejadi, A. Spatio-temporal analysis of land use/land cover pattern changes in Arasbaran Biosphere Reserve: Iran. Model. Earth Syst. Environ. 2016, 2, 1–13. [Google Scholar] [CrossRef]
- Ghanbari, S.; Vaezin, S.M.H.; Shamekhi, T.; Eastin, I.L. Market expansion’s influence on the harvesting of non-wood forest products in the Arasbaran forests of Iran. For. Chron. 2014, 90, 599–604. [Google Scholar] [CrossRef]
- Ghanbari, S.; Vaezin, S.M.H.; Shamekhi, T.; Eastin, I.L.; Lovrić, N.; Aghai, M.M. The Economic and Biological Benefits of Non-wood Forest Products to Local Communities in Iran. Econ. Bot. 2020, 74, 59–73. [Google Scholar] [CrossRef]
- Department of Environment. A Research Project on Arasbaran Biosphere Reserve; D.o.E.: Washington, DC, USA, 2010.
- Ghanbari, S.; Turvey, S.T. Local ecological knowledge provides novel evidence on threats and declines for the Caucasian grouse Lyrurus mlokosiewiczi in Arasbaran Biosphere Reserve, Iran. People Nat. 2022, 4, 1536–1546. [Google Scholar] [CrossRef]
- Baskaya, S. Distribution and principal threats to Caucasian black grouse Tetrao mlokosiewiczi in the Eastern Karadeniz Mountains in Turkey. Wildl. Biol. 2003, 9, 377–383. [Google Scholar] [CrossRef]
- BirdLifeInternational. Lyrurus Mlokosiewiczi. The IUCN Red List of Threatened Species 2016: E.T22679483A92815595. 2016. Available online: https://www.birdlife.org/projects/iucn-red-list/ (accessed on 10 April 2022).
- Storch, I. Conservation status of grouse worldwide: An update. Wildl. Biol. 2007, 13, 5–12. [Google Scholar] [CrossRef]
- Faridi, E.; Naseri, D. Providing a habitat model for black male Caucasians grouse (Tetrao mlokosiewiczi) using geographical information system (GIS). J. Environ. Sci. Technol. 2019, 21, 263–272. [Google Scholar]
- Müller, D.; Schröder, B.; Müller, J. Modelling habitat selection of the cryptic Hazel Grouse Bonasa bonasia in a montane forest. J. Ornithol. 2009, 150, 717–732. [Google Scholar] [CrossRef]
- Luoma, V.; Saarinen, N.; Wulder, M.A.; White, J.C.; Vastaranta, M.; Holopainen, M.; Hyyppä, J. Assessing precision in conventional field measurements of individual tree attributes. Forests 2017, 8, 38. [Google Scholar] [CrossRef]
- Juchheim, J.; Ehbrecht, M.; Schall, P.; Ammer, C.; Seidel, D. Effect of tree species mixing on stand structural complexity. For. Int. J. For. Res. 2020, 93, 75–83. [Google Scholar] [CrossRef]
- Rusaati, B.I.W.; Joo, S.-H.; Yun, G.-Y.; Park, J.; Cephas, M.N.; Kang, J.-W. Assessment of Coarse Woody Debris in Gallery Forest in the Bombo-Lumene Reserve (Democratic Republic of Congo). J. For. Environ. Sci. 2019, 35, 205–211. [Google Scholar]
- Sefidi, K. Characteristics of coarse woody debris in successional stages of natural beech (Fagus orientalis) forests of Northern Iran. J. For. Sci. 2010, 56, 7–17. [Google Scholar] [CrossRef]
- Tavankar, F.; Nikooy, M.; Picchio, R.; Venanzi, R.; Lo Monaco, A. Long-term effects of single-tree selection cutting management on coarse woody debris in natural mixed beech stands in the Caspian forest (Iran). Iforest Biogeosciences For. 2017, 10, 652. [Google Scholar] [CrossRef]
- Wikström, P.; Eriksson, L.O. Solving the stand management problem under biodiversity-related considerations. For. Ecol. Manag. 2000, 126, 361–376. [Google Scholar] [CrossRef]
- Peng, C. Growth and yield models for uneven-aged stands: Past, present and future. For. Ecol. Manag. 2000, 132, 259–279. [Google Scholar] [CrossRef]
- Zhang, Y.; Chen, H.Y.; Taylor, A.R. Positive species diversity and above-ground biomass relationships are ubiquitous across forest strata despite interference from overstorey trees. Funct. Ecol. 2017, 31, 419–426. [Google Scholar] [CrossRef]
- Maua, J.O.; MugatsiaTsingalia, H.; Cheboiwo, J.; Odee, D. Population structure and regeneration status of woody species in a remnant tropical forest: A case study of South Nandi forest, Kenya. Glob. Ecol. Conserv. 2020, 21, e00820. [Google Scholar] [CrossRef]
- Haq, S.M.; Rashid, I.; Khuroo, A.A.; Malik, Z.A.; Malik, A.H. Anthropogenic disturbances alter community structure in the forests of Kashmir Himalaya. Trop. Ecol. 2019, 60, 6–15. [Google Scholar] [CrossRef]
- Fröhlich, A.; Ciach, M. Dead tree branches in urban forests and private gardens are key habitat components for woodpeckers in a city matrix. Landsc. Urban Plan. 2020, 202, 103869. [Google Scholar] [CrossRef]
- Pach, M.; Podlaski, R. Tree diameter structural diversity in Central European forests with Abies alba and Fagus sylvatica: Managed versus unmanaged forest stands. Ecol. Res. 2015, 30, 367–384. [Google Scholar] [CrossRef]
- Bourdier, T.; Cordonnier, T.; Kunstler, G.; Piedallu, C.; Lagarrigues, G.; Courbaud, B. Tree size inequality reduces forest productivity: An analysis combining inventory data for ten European species and a light competition model. PLoS ONE 2016, 11, e0151852. [Google Scholar] [CrossRef] [PubMed]
- Storch, I. Habitat selection by capercaillie in summer and autumn: Is bilberry important? Oecologia 1993, 95, 257–265. [Google Scholar] [CrossRef]
- Schäublin, S.; Bollmann, K. Winter habitat selection and conservation of Hazel Grouse (Bonasa bonasia) in mountain forests. J. Ornithol. 2011, 152, 179–192. [Google Scholar] [CrossRef]




| Species Name | Overstorey | Understorey | ||
|---|---|---|---|---|
| Pseudo-Absence | Presence | Pseudo-Absence | Presence | |
| A. campestre | Yes | Yes | Yes | Yes |
| A. hyrcanum | No | Yes | Yes | Yes |
| Berberis densiflora | Yes | Yes | Yes | Yes |
| C. orientalis | Yes | Yes | Yes | Yes |
| Cerasus avium | Yes | No | No | No |
| Cornus sanguinea | Yes | Yes | Yes | Yes |
| Cotoneaster integerrimus | No | Yes | Yes | Yes |
| Cratagus meyeri | Yes | Yes | Yes | No |
| Euonymus sp. | Yes | No | Yes | No |
| Fraxinus excelsiour | No | Yes | No | No |
| Juglans regia | Yes | No | No | No |
| Juniperus communis | Yes | Yes | Yes | Yes |
| Juniperus excelsa | Yes | No | No | No |
| Lonicera caucasica | Yes | Yes | Yes | Yes |
| Malus orientalis | Yes | Yes | Yes | Yes |
| Mespilus sp. | Yes | No | Yes | No |
| Prunus spinosa | Yes | Yes | Yes | Yes |
| Pyrus sp. | Yes | Yes | No | Yes |
| Q. macranthera | Yes | Yes | Yes | Yes |
| R. biberestentii | No | Yes | No | Yes |
| Rosa canina | Yes | Yes | Yes | Yes |
| Rubus sp. | No | Yes | No | No |
| Sorbus aucuparia | Yes | Yes | No | Yes |
| Sorbus graeca | Yes | Yes | No | Yes |
| Viburnum lantana | Yes | Yes | Yes | Yes |
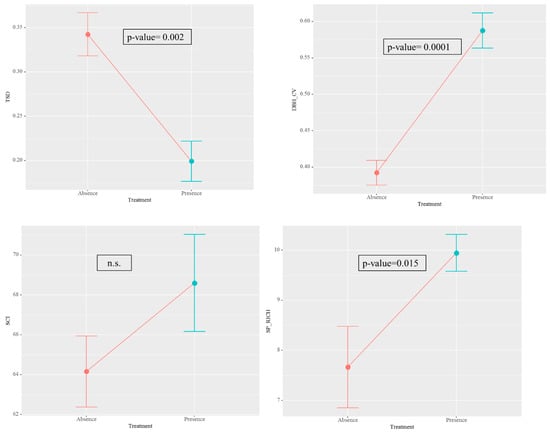
| Indices | Pseudo-Absence (Mean ± sd) (Ranges) | Presence (mean ± sd) (RangeS) | t-Value | p-Value | |
|---|---|---|---|---|---|
| 1 | Mean DBH (cm) | 11.1 ± 5.5 (8–19.3) | 12.7 ± 8.2 (7.6–18.3) | −0.04 | 0.971 |
| 2 | Tree size diversity (TSD) | 0.34 (0.17–0.55) | 0.2 (0.06–0.41) | 3.69 | 0.002 |
| 3 | Horizontal variation in DBH (CV, %) | 39 (23–58) | 59 (44–83) | −6.01 | 0.0001 |
| 4 | Maximum DBH (cm) | 73 (22–73) | 60 (22–60) | −0.98 | 0.340 |
| 5 | Gini coefficient | 0.985 (0.95–1) | 0.983 (0.97–0.99) | 0.613 | 0.548 |
| 6 | Frequency of stems/ha (<5 cm) (number/ha) | 53 (15–697) | 485 (158–1269) | −4.01 | 0.001 |
| 7 | Height of overstorey (m) | 6.2 ± 3.1 (4.9–11) | 4.3 ± 1.9 (3.6–7.6) | 3.46 | 0.003 |
| 8 | Height class richness (number) | 10 (7–10) | 10 (4–10) | 3.49 | 0.003 |
| 9 | Species richness per ha (number of species/ha) | 16 (6–28) | 20 (16–26) | −2.70 | 0.015 |
| 10 | Understory stem/ha (number/ha) | 67 (0–138) | 499 (22–639) | −4.63 | 0.0001 |
| 11 | Number of dead trees/ha (number/ha) | 432 (8–516) | 104 (82–1240) | −5.05 | 0.0001 |
| 12 | Log volume (cubic meter per ha) | 7.2 (0–11.2) | 0.7 (0–28.4) | −3.66 | 0.002 |
| 13 | SCI | 64.1 (50–75) | 68.6 (51.6–82.6) | 1.491 | 0.154 |
| Index | Regression Equation | R2 | Mean of Rescaled Value | |
|---|---|---|---|---|
| 1 | Mean of DBH (cm) | Score = −3.15 + X × 0.777 | 0.903 | 6.2 |
| 2 | Tree size diversity (TSD) | Score = −0.67 + X × 23.806 | 0.934 | 5.7 |
| 3 | Horizontal variation in DBH (CV) | Score = 1.47 + X × 0.267 | 0.995 | 1.6 |
| 4 | Maximum DBH (cm) | Score = −1.43 + X × 0.246 | 0.981 | 6.3 |
| 5 | Gini coefficient | Score = −381.22 + X × 0·393.6 | 0.936 | 6.6 |
| 6 | Frequency of smaller than 5 cm | Score = 2.838 + X · 0.008 | 0.988 | 6.3 |
| 7 | Height of overstorey (m) | Score = −2.844 + X × 1.47 | 0.928 | 5.9 |
| 8 | Height class richness | Score = −8.745 + X × 1.84 | 0.978 | 2.7 |
| 9 | Species richness | Score = −0.968 + X × 0.839 | 0.897 | 6.4 |
| 10 | Understory stem/ha | Score = 4 + X × 0.017 | 0.851 | 6.06 |
| 11 | Number of dead trees (n) | Score = 3.258 + X × 0.012 | 0.843 | 6.2 |
| 12 | Log volume | Score = 4.79 + X × 0.432 | 0.843 | 6.2 |
Disclaimer/Publisher’s Note: The statements, opinions and data contained in all publications are solely those of the individual author(s) and contributor(s) and not of MDPI and/or the editor(s). MDPI and/or the editor(s) disclaim responsibility for any injury to people or property resulting from any ideas, methods, instructions or products referred to in the content. |
© 2023 by the authors. Licensee MDPI, Basel, Switzerland. This article is an open access article distributed under the terms and conditions of the Creative Commons Attribution (CC BY) license (https://creativecommons.org/licenses/by/4.0/).
Share and Cite
Ghanbari, S.; Sefidi, K.; Álvarez-Álvarez, P. Vegetation and Forest Complexity Analysis of the Caucasian Grouse (Lyrurus mlokosiewiczi) Habitats in the Lesser Caucasus Mountain. Forests 2023, 14, 353. https://doi.org/10.3390/f14020353
Ghanbari S, Sefidi K, Álvarez-Álvarez P. Vegetation and Forest Complexity Analysis of the Caucasian Grouse (Lyrurus mlokosiewiczi) Habitats in the Lesser Caucasus Mountain. Forests. 2023; 14(2):353. https://doi.org/10.3390/f14020353
Chicago/Turabian StyleGhanbari, Sajad, Kiomars Sefidi, and Pedro Álvarez-Álvarez. 2023. "Vegetation and Forest Complexity Analysis of the Caucasian Grouse (Lyrurus mlokosiewiczi) Habitats in the Lesser Caucasus Mountain" Forests 14, no. 2: 353. https://doi.org/10.3390/f14020353
APA StyleGhanbari, S., Sefidi, K., & Álvarez-Álvarez, P. (2023). Vegetation and Forest Complexity Analysis of the Caucasian Grouse (Lyrurus mlokosiewiczi) Habitats in the Lesser Caucasus Mountain. Forests, 14(2), 353. https://doi.org/10.3390/f14020353
