Interaction Effect of Stand Age and Diversity on Aboveground Wood Carbon Accumulation in Subtropical Mixed Forests of the Zhejiang Province (China)
Abstract
1. Introduction
2. Materials and Methods
2.1. Study Area and Forest Inventory Data
2.2. Environment Variables
2.3. The Stand Diversity, Structure, and Functional Variables
2.4. Statistical Analysis
3. Results
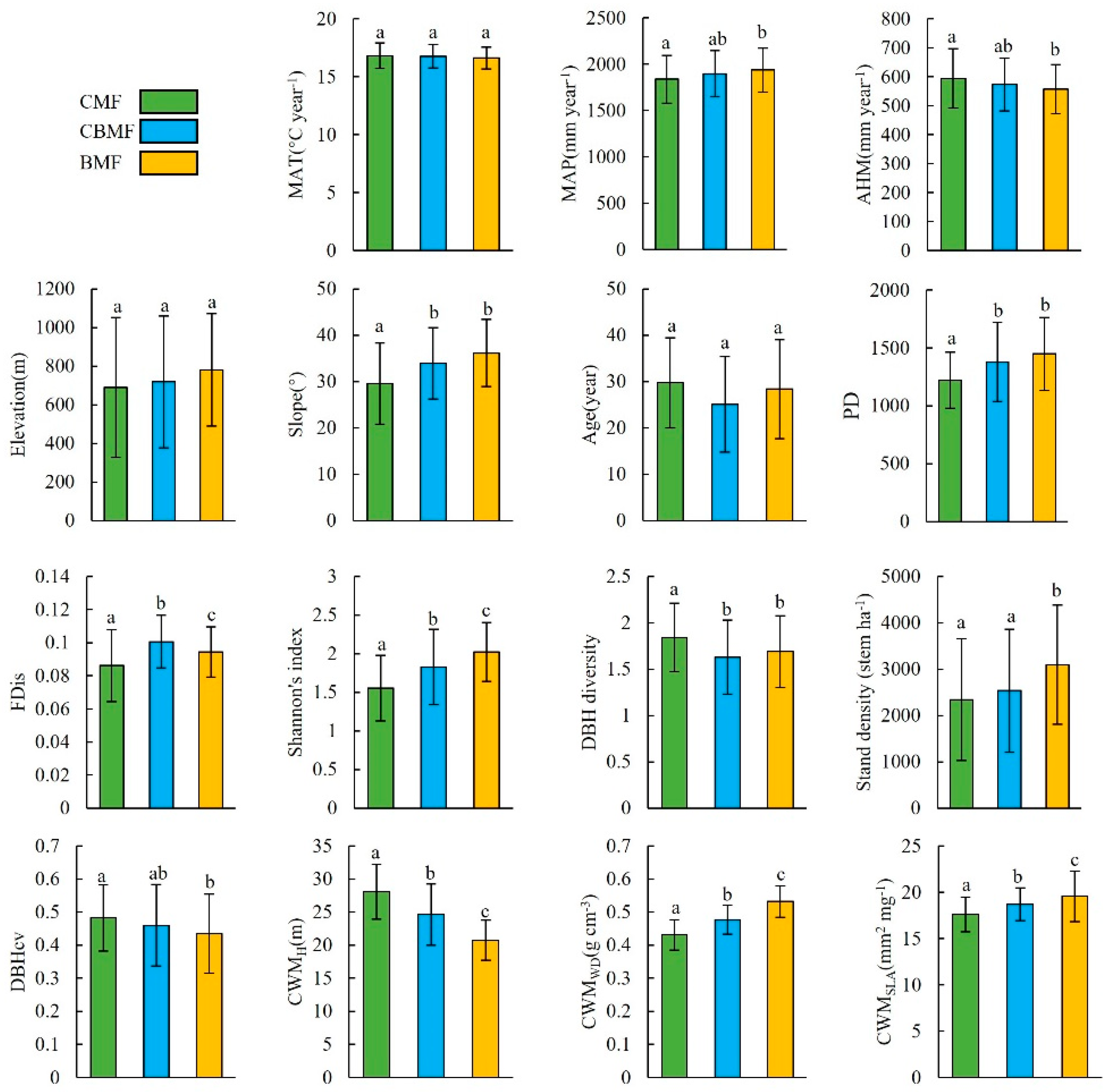
3.1. The Bivariate Relationships between Abiotic Factors and AWC in Three Different Kinds of Mixed Forests
3.2. Changes and Interactions of Drivers in Three Different Kinds of Mixed Forests
3.3. The Direct and Indirect Effects of Driving Factors on AWC
4. Discussion
4.1. Different Effects of Abiotic Factors on AWC in Three Different Kinds of Mixed Forest Types
4.2. The Effects of Stand Age on AWC Depends on Interactions with Stand Structure and Diversity
4.3. Implications for Management of Subtropical Forest
5. Conclusions
Supplementary Materials
Author Contributions
Funding
Data Availability Statement
Acknowledgments
Conflicts of Interest
References
- Bonan, G.B. Forests and Climate Change: Forcings, Feedbacks, and the Climate Benefits of Forests. Science 2008, 320, 1444–1449. [Google Scholar] [CrossRef] [PubMed]
- Pan, Y.; Birdsey, R.A.; Fang, J.; Houghton, R.; Kauppi, P.E.; Kurz, W.A.; Phillips, O.L.; Shvidenko, A.; Lewis, S.L.; Canadell, J.G.; et al. A Large and Persistent Carbon Sink in the World’s Forests. Science 2011, 333, 988–993. [Google Scholar] [CrossRef]
- Fang, J.; Yu, G.; Liu, L.; Hu, S.; Chapin, F.S., III. Climate change, human impacts, and carbon sequestration in China. Proc. Natl. Acad. Sci. USA 2018, 115, 4015–4020. [Google Scholar] [CrossRef] [PubMed]
- Dixon, R.K.; Solomon, A.M.; Brown, S.; Houghton, R.A.; Trexier, M.C.; Wisniewski, J. Carbon Pools and Flux of Global Forest Ecosystems. Science 1994, 263, 185–190. [Google Scholar] [CrossRef]
- Yu, G.; Chen, Z.; Piao, S.; Peng, C.; Ciais, P.; Wang, Q.; Li, X.; Zhu, X. High carbon dioxide uptake by subtropical forest ecosystems in the East Asian monsoon region. Proc. Natl. Acad. Sci. USA 2014, 111, 4910–4915. [Google Scholar] [CrossRef] [PubMed]
- Zhejiang Forestry Bureau. Zhejiang Province promotes “adding millions of acres of land greening action”. L. Green. 2020, 6, 34–36. (In Chinese) [Google Scholar]
- Ali, A. Forest stand structure and functioning: Current knowledge and future challenges. Ecol. Indic. 2019, 98, 665–677. [Google Scholar] [CrossRef]
- Ullah, F.; Gilani, H.; Sanaei, A.; Hussain, K.; Ali, A. Stand structure determines aboveground biomass across temperate forest types and species mixture along a local-scale elevational gradient. For. Ecol. Manag. 2021, 486, 118984. [Google Scholar] [CrossRef]
- Li, Y.; Bao, W.; Bongers, F.; Chen, B.; Chen, G.; Guo, K.; Jiang, M.; Lai, J.; Lin, D.; Liu, C.; et al. Drivers of tree carbon storage in subtropical forests. Sci. Total Environ. 2019, 654, 684–693. [Google Scholar] [CrossRef]
- Chiang, J.-M.; Spasojevic, M.J.; Muller-Landau, H.C.; Sun, I.-F.; Lin, Y.; Su, S.-H.; Chen, Z.-S.; Chen, C.-T.; Swenson, N.G.; McEwan, R.W. Functional composition drives ecosystem function through multiple mechanisms in a broadleaved subtropical forest. Oecologia 2016, 182, 829–840. [Google Scholar] [CrossRef]
- Poorter, L.; van der Sande, M.T.; Thompson, J.; Arets, E.J.M.M.; Alarcón, A.; Álvarez-Sánchez, J.; Ascarrunz, N.; Balvanera, P.; Barajas-Guzmán, G.; Boit, A.; et al. Diversity enhances carbon storage in tropical forests. Glob. Ecol. Biogeogr. 2015, 24, 1314–1328. [Google Scholar] [CrossRef]
- Lee, H.-I.; Seo, Y.-O.; Kim, H.; Ali, A.; Lee, C.-B.; Chung, Y. Species evenness declines but specific functional strategy enhances aboveground biomass across strata in subtropical—Warm-temperate forests of South Korea. For. Ecol. Manag. 2022, 512, 120179. [Google Scholar] [CrossRef]
- Srivastava, D.S.; Cadotte, M.W.; MacDonald, A.A.M.; Marushia, R.G.; Mirotchnick, N. Phylogenetic diversity and the functioning of ecosystems. Ecol. Lett. 2012, 15, 637–648. [Google Scholar] [CrossRef] [PubMed]
- Ali, A.; Yan, E.-R.; Chang, S.X.; Cheng, J.-Y.; Liu, X.-Y. Community-weighted mean of leaf traits and divergence of wood traits predict aboveground biomass in secondary subtropical forests. Sci. Total Environ. 2017, 574, 654–662. [Google Scholar] [CrossRef]
- Finegan, B.; Peña-Claros, M.; de Oliveira, A.; Ascarrunz, N.; Bret-Harte, M.S.; Carreño-Rocabado, G.; Casanoves, F.; Díaz, S.; Eguiguren Velepucha, P.; Fernandez, F.; et al. Does functional trait diversity predict above-ground biomass and productivity of tropical forests? Testing three alternative hypotheses. J. Ecol. 2015, 103, 191–201. [Google Scholar] [CrossRef]
- Nüchel, J.; Bøcher, P.K.; Svenning, J.-C. Topographic slope steepness and anthropogenic pressure interact to shape the distribution of tree cover in China. Appl. Geogr. 2019, 103, 40–55. [Google Scholar] [CrossRef]
- Belote, R.T. Species-Rich National Forests Experience More Intense Human Modification, but Why? Forests 2018, 9, 753. [Google Scholar] [CrossRef]
- Fotis, A.T.; Murphy, S.J.; Ricart, R.D.; Krishnadas, M.; Whitacre, J.; Wenzel, J.W.; Queenborough, S.A.; Comita, L.S. Above-ground biomass is driven by mass-ratio effects and stand structural attributes in a temperate deciduous forest. J. Ecol. 2018, 106, 561–570. [Google Scholar] [CrossRef]
- Ji, B.; Yin, J.; Shi, Y.; Xu, L.; Tao, J.; Zhou, Y. Predicting Vegetation Carbon Density Distribution in different Terrains in Subtropical Forests in China. J. Sustain. For. 2021, 40, 473–490. [Google Scholar] [CrossRef]
- Ge, Z.; Wen, W.; Xu, L.; Chen, G.; Zhou, G.; Ji, B.; Zhou, Y.; Zhu, G.; Shi, Y. Vegetation Carbon Accumulation Driven by Stand Characteristics and Climatic Factors in Subtropical Forests of Southeastern China. J. Sustain. For. 2022, 41, 941–958. [Google Scholar] [CrossRef]
- Woodbury, P.B.; Smith, J.E.; Heath, L.S. Carbon sequestration in the U.S. forest sector from 1990 to 2010. For. Ecol. Manag. 2007, 241, 14–27. [Google Scholar] [CrossRef]
- del Río, M.; Pretzsch, H.; Alberdi, I.; Bielak, K.; Bravo, F.; Brunner, A.; Condés, S.; Ducey, M.J.; Fonseca, T.; von Lüpke, N.; et al. Characterization of the structure, dynamics, and productivity of mixed-species stands: Review and perspectives. Eur. J. For. Res. 2016, 135, 23–49. [Google Scholar] [CrossRef]
- Liang, J.; Crowther, T.W.; Picard, N.; Wiser, S.; Zhou, M.; Alberti, G.; Schulze, E.D.; McGuire, A.D.; Bozzato, F.; Pretzsch, H.; et al. Positive biodiversity-productivity relationship predominant in global forests. Science 2016, 354, aaf8957. [Google Scholar] [CrossRef] [PubMed]
- Paquette, A.; Messier, C. The effect of biodiversity on tree productivity: From temperate to boreal forests. Glob. Ecol. Biogeogr. 2011, 20, 170–180. [Google Scholar] [CrossRef]
- Zhang, Y.; Chen, H.Y.H. Individual size inequality links forest diversity and above-ground biomass. J. Ecol. 2015, 103, 1245–1252. [Google Scholar] [CrossRef]
- Ouyang, S.; Xiang, W.; Wang, X.; Zeng, Y.; Lei, P.; Deng, X.; Peng, C. Significant effects of biodiversity on forest biomass during the succession of subtropical forest in south China. For. Ecol. Manag. 2016, 372, 291–302. [Google Scholar] [CrossRef]
- Tilman, D. The Ecological Consequences of Changes in Biodiversity: A Search for General Principles. Ecology 1999, 80, 1455–1474. [Google Scholar] [CrossRef]
- Ren, S.; Ali, A.; Liu, H.; Yuan, Z.; Yang, Q.; Shen, G.; Zhou, S.; Wang, X. Response of community diversity and productivity to canopy gap disturbance in subtropical forests. For. Ecol. Manag. 2021, 502, 119740. [Google Scholar] [CrossRef]
- Faith, D.P. Conservation evaluation and phylogenetic diversity. Biol. Conserv. 1992, 61, 1–10. [Google Scholar] [CrossRef]
- Kunwar, S.; Wang, L.-Q.; Chaudhary, R.; Joshi, P.R.; Ali, A. Evolutionary diversity and species richness predict aboveground biomass better than tree size variation in local-scale tropical forest types of Nepal. For. Ecol. Manag. 2021, 490, 119146. [Google Scholar] [CrossRef]
- Westoby, M.; Falster, D.S.; Moles, A.T.; Vesk, P.A.; Wright, I.J. Plant Ecological Strategies: Some Leading Dimensions of Variation Between Species. Annu. Rev. Ecol. Syst. 2002, 33, 125–159. [Google Scholar] [CrossRef]
- Kunstler, G.; Falster, D.; Coomes, D.A.; Hui, F.; Kooyman, R.M.; Laughlin, D.C.; Poorter, L.; Vanderwel, M.; Vieilledent, G.; Wright, S.J.; et al. Plant functional traits have globally consistent effects on competition. Nature 2016, 529, 204–207. [Google Scholar] [CrossRef] [PubMed]
- Cai, H.; Li, F.; Jin, G. Forest strata-dependent effects of vegetation attributes and soil nutrients on decadal changes in aboveground net carbon stock in two temperate forests. CATENA 2020, 194, 104776. [Google Scholar] [CrossRef]
- van der Sande, M.T.; Peña-Claros, M.; Ascarrunz, N.; Arets, E.J.M.M.; Licona, J.C.; Toledo, M.; Poorter, L. Abiotic and biotic drivers of biomass change in a Neotropical forest. J. Ecol. 2017, 105, 1223–1234. [Google Scholar] [CrossRef]
- Dănescu, A.; Albrecht, A.T.; Bauhus, J. Structural diversity promotes productivity of mixed, uneven-aged forests in southwestern Germany. Oecologia 2016, 182, 319–333. [Google Scholar] [CrossRef]
- Brassard, B.; Wang, J.; Duinker, P. Effects of time since stand-replacing fire and overstory composition on live-tree structural diversity in the boreal forest of central Canada. Ecosystems 2008, 38, 52–62. [Google Scholar] [CrossRef]
- Kazempour Larsary, M.; Pourbabaei, H.; Sanaei, A.; Salehi, A.; Yousefpour, R.; Ali, A. Tree-size dimension inequality shapes aboveground carbon stock across temperate forest strata along environmental gradients. For. Ecol. Manag. 2021, 496, 119482. [Google Scholar] [CrossRef]
- Tetemke, B.A.; Birhane, E.; Rannestad, M.M.; Eid, T. Species diversity and stand structural diversity of woody plants predominantly determine aboveground carbon stock of a dry Afromontane forest in Northern Ethiopia. For. Ecol. Manag. 2021, 500, 119634. [Google Scholar] [CrossRef]
- Aynekulu, E.; Aerts, R.; Moonen, P.; Denich, M.; Gebrehiwot, K.; Vågen, T.-G.; Mekuria, W.; Boehmer, H.J. Altitudinal variation and conservation priorities of vegetation along the Great Rift Valley escarpment, northern Ethiopia. Biodivers. Conserv. 2012, 21, 2691–2707. [Google Scholar] [CrossRef]
- Ali, A.; Lin, S.-L.; He, J.-K.; Kong, F.-M.; Yu, J.-H.; Jiang, H.-S. Climatic water availability is the main limiting factor of biotic attributes across large-scale elevational gradients in tropical forests. Sci. Total Environ. 2019, 647, 1211–1221. [Google Scholar] [CrossRef]
- Ali, A.; Mattsson, E.; Nissanka, S.P. Big-sized trees and species-functional diversity pathways mediate divergent impacts of environmental factors on individual biomass variability in Sri Lankan tropical forests. J. Environ. Manag. 2022, 315, 115177. [Google Scholar] [CrossRef] [PubMed]
- Barry, K.E.; Mommer, L.; van Ruijven, J.; Wirth, C.; Wright, A.J.; Bai, Y.; Connolly, J.; De Deyn, G.B.; de Kroon, H.; Isbell, F.; et al. The Future of Complementarity: Disentangling Causes from Consequences. Trends Ecol. Evol. 2019, 34, 167–180. [Google Scholar] [CrossRef] [PubMed]
- Xu, L.; Shi, Y.; Fang, H.; Zhou, G.; Xu, X.; Zhou, Y.; Tao, J.; Ji, B.; Xu, J.; Li, C.; et al. Vegetation carbon stocks driven by canopy density and forest age in subtropical forest ecosystems. Sci. Total Environ. 2018, 631–632, 619–626. [Google Scholar] [CrossRef] [PubMed]
- Tao, J.X.; Du, Q.; Ji, B.Y.; Zhang, G.J.; Fu, W.J. The Forest Carbon Sequestration Function Monitoring in Zhejiang; China Forestry Publishing House: Beijing, China, 2014. [Google Scholar]
- Wang, T.; Wang, G.; Innes, J.L.; Seely, B.; Chen, B. ClimateAP: An application for dynamic local downscaling of historical and future climate data in Asia Pacific. Front. Agric. Sci. Eng. 2017, 4, 448–458. [Google Scholar] [CrossRef]
- Garnier, E.; Cortez, J.; Billès, G.; Navas, M.-L.; Roumet, C.; Debussche, M.; Laurent, G.; Blanchard, A.; Aubry, D.; Bellmann, A.; et al. Plant functional markers capture ecosystem properties during secondary succession. Ecology 2004, 85, 2630–2637. [Google Scholar] [CrossRef]
- Chave, J.; Muller-Landau, H.C.; Baker, T.R.; Easdale, T.A.; ter Steege, H.; Webb, C.O. Regional and phylogenetic variation of wood density across 2456 neotropical tree species. Ecol. Appl. 2006, 16, 2356–2367. [Google Scholar] [CrossRef] [PubMed]
- Wright, I.J.; Reich, P.B.; Westoby, M.; Ackerly, D.D.; Baruch, Z.; Bongers, F.; Cavender-Bares, J.; Chapin, T.; Cornelissen, J.H.C.; Diemer, M.; et al. The worldwide leaf economics spectrum. Nature 2004, 428, 821–827. [Google Scholar] [CrossRef]
- Chave, J.; Coomes, D.; Jansen, S.; Lewis, S.L.; Swenson, N.G.; Zanne, A.E. Towards a worldwide wood economics spectrum. Ecol. Lett. 2009, 12, 351–366. [Google Scholar] [CrossRef]
- Wang, H.; Harrison, S.P.; Prentice, I.C.; Yang, Y.; Bai, F.; Togashi, H.F.; Wang, M.; Zhou, S.; Ni, J. The China Plant Trait Database: Toward a comprehensive regional compilation of functional traits for land plants. Ecology 2018, 99, 500. [Google Scholar] [CrossRef]
- Editorial Committee of Flora of China. Flora Reipublicae Popularis Sinicae (Chinese Edition of Flora of China); Science Press: Beijing, China, 2004. [Google Scholar]
- Lei, X.; Wang, W.; Peng, C. Relationships between stand growth and structural diversity in spruce-dominated forests in New Brunswick, Canada. Can. J. For. Res. 2009, 39, 1835–1847. [Google Scholar] [CrossRef]
- Ali, A.; Chen, H.Y.H.; You, W.-H.; Yan, E.-R. Multiple abiotic and biotic drivers of aboveground biomass shift with forest stratum. For. Ecol. Manag. 2019, 436, 1–10. [Google Scholar] [CrossRef]
- Grace, J.B.; Anderson, T.M.; Seabloom, E.W.; Borer, E.T.; Adler, P.B.; Harpole, W.S.; Hautier, Y.; Hillebrand, H.; Lind, E.M.; Pärtel, M.; et al. Integrative modelling reveals mechanisms linking productivity and plant species richness. Nature 2016, 529, 390–393. [Google Scholar] [CrossRef] [PubMed]
- Cangur, S.; Ercan, I. Comparison of Model Fit Indices Used in Structural Equation Modeling Under Multivariate Normality. J. Mod. Appl. Stat. Methods 2015, 14, 152–167. [Google Scholar] [CrossRef]
- R Development Core Team. R Foundation for Statistical Computing; R Development Core Team: Vienna, Austria, 2019; Volume 10, ISBN 3900051070. [Google Scholar]
- Oksanen, J.; Blanchet, F.G.; Kindt, R.; Legendre, P.; Minchin, P.; O’Hara, B.; Simpson, G.; Solymos, P.; Stevens, H.; Wagner, H. Vegan: Community Ecology Package. R Packag. Version 2.2-1 2015, 2, 1–2. [Google Scholar]
- Rosseel, Y. lavaan: An R Package for Structural Equation Modeling. J. Stat. Softw. 2012, 48, 1–36. [Google Scholar] [CrossRef]
- Lan, T.; Gu, J.; Wen, Z. Spatial distribution characteristics of carbon storage density in typical mixed fir and broadleaf forests. Energy Rep. 2021, 7, 7315–7322. [Google Scholar] [CrossRef]
- Tang, X.; Zhao, X.; Bai, Y.; Tang, Z.; Wang, W.; Zhao, Y.; Wan, H.; Xie, Z.; Shi, X.; Wu, B.; et al. Carbon pools in China’s terrestrial ecosystems: New estimates based on an intensive field survey. Proc. Natl. Acad. Sci. USA 2018, 115, 4021–4026. [Google Scholar] [CrossRef]
- Pan, Y.; Birdsey, R.A.; Phillips, O.L.; Jackson, R.B. The Structure, Distribution, and Biomass of the World’s Forests. Annu. Rev. Ecol. Evol. Syst. 2013, 44, 593–622. [Google Scholar] [CrossRef]
- Wubie, M.A.; Assen, M. Effects of land cover changes and slope gradient on soil quality in the Gumara watershed, Lake Tana basin of North–West Ethiopia. Model. Earth Syst. Environ. 2020, 6, 85–97. [Google Scholar] [CrossRef]
- Yang, B.; Zhang, W.; Lu, Y.; Zhang, W.; Wang, Y. Carbon Storage Dynamics of Secondary Forest Succession in the Central Loess Plateau of China. Forests 2019, 10, 342. [Google Scholar] [CrossRef]
- Wiesmeier, M.; Urbanski, L.; Hobley, E.; Lang, B.; von Lützow, M.; Marin-Spiotta, E.; van Wesemael, B.; Rabot, E.; Ließ, M.; Garcia-Franco, N.; et al. Soil organic carbon storage as a key function of soils—A review of drivers and indicators at various scales. Geoderma 2019, 333, 149–162. [Google Scholar] [CrossRef]
- Duan, B.; Man, X.; Cai, T.; Xiao, R.; Ge, Z. Increasing soil organic carbon and nitrogen stocks along with secondary forest succession in permafrost region of the Daxing’an mountains, northeast China. Glob. Ecol. Conserv. 2020, 24, e01258. [Google Scholar] [CrossRef]
- Liu, C.; Xiang, W.; Lei, P.; Deng, X.; Tian, D.; Fang, X.; Peng, C. Standing fine root mass and production in four Chinese subtropical forests along a succession and species diversity gradient. Plant Soil 2014, 376, 445–459. [Google Scholar] [CrossRef]
- Loreau, M.; Hector, A. Partitioning selection and complementarity in biodiversity experiments. Nature 2001, 412, 72–76. [Google Scholar] [CrossRef]
- David, T.; Johannes, K.; David, W.; Peter, R.; Mark, R.; Evan, S. The Influence of Functional Diversity and Composition on Ecosystem Processes. Science 1997, 277, 1300–1302. [Google Scholar] [CrossRef]
- Jucker, T.; Sanchez, A.C.; Lindsell, J.A.; Allen, H.D.; Amable, G.S.; Coomes, D.A. Drivers of aboveground wood production in a lowland tropical forest of West Africa: Teasing apart the roles of tree density, tree diversity, soil phosphorus, and historical logging. Ecol. Evol. 2016, 6, 4004–4017. [Google Scholar] [CrossRef]
- Yuan, Z.; Wang, S.; Ali, A.; Gazol, A.; Ruiz-Benito, P.; Wang, X.; Lin, F.; Ye, J.; Hao, Z.; Loreau, M. Aboveground carbon storage is driven by functional trait composition and stand structural attributes rather than biodiversity in temperate mixed forests recovering from disturbances. Ann. For. Sci. 2018, 75, 67. [Google Scholar] [CrossRef]
- Girardin, C.A.J.; Farfan-Rios, W.; Garcia, K.; Feeley, K.J.; Jørgensen, P.M.; Murakami, A.A.; Cayola Pérez, L.; Seidel, R.; Paniagua, N.; Fuentes Claros, A.F.; et al. Spatial patterns of above-ground structure, biomass and composition in a network of six Andean elevation transects. Plant Ecol. Divers. 2014, 7, 161–171. [Google Scholar] [CrossRef]
- Liang, J.; Buongiorno, J.; Monserud, R.A.; Kruger, E.L.; Zhou, M. Effects of diversity of tree species and size on forest basal area growth, recruitment, and mortality. For. Ecol. Manag. 2007, 243, 116–127. [Google Scholar] [CrossRef]
- Bakker, E.S.; Gill, J.L.; Johnson, C.N.; Vera, F.W.M.; Sandom, C.J.; Asner, G.P.; Svenning, J.C. Combining paleo-data and modern exclosure experiments to assess the impact of megafauna extinctions on woody vegetation. Proc. Natl. Acad. Sci. USA 2016, 113, 847–855. [Google Scholar] [CrossRef]
- Ouyang, S.; Xiang, W.; Gou, M.; Chen, L.; Lei, P.; Xiao, W.; Deng, X.; Zeng, L.; Li, J.; Zhang, T.; et al. Stability in subtropical forests: The role of tree species diversity, stand structure, environmental and socio-economic conditions. Glob. Ecol. Biogeogr. 2021, 30, 500–513. [Google Scholar] [CrossRef]
- Liu, L.; Zeng, F.; Song, T.; Wang, K.; Du, H. Stand Structure and Abiotic Factors Modulate Karst Forest Biomass in Southwest China. Forests 2020, 11, 443. [Google Scholar] [CrossRef]
- Vayreda, J.; Gracia, M.; Canadell, J.G.; Retana, J. Spatial Patterns and Predictors of Forest Carbon Stocks in Western Mediterranean. Ecosystems 2012, 15, 1258–1270. [Google Scholar] [CrossRef]
- Feng, Y.; Schmid, B.; Loreau, M.; Forrester, D.I.; Fei, S.; Zhu, J.; Tang, Z.; Zhu, J.; Hong, P.; Ji, C.; et al. Multispecies forest plantations outyield monocultures across a broad range of conditions. Science 2022, 376, 865–868. [Google Scholar] [CrossRef] [PubMed]
- Asbeck, T.; Sabatini, F.; Augustynczik, A.L.D.; Basile, M.; Helbach, J.; Jonker, M.; Knuff, A.; Bauhus, J. Biodiversity response to forest management intensity, carbon stocks and net primary production in temperate montane forests. Sci. Rep. 2021, 11, 1625. [Google Scholar] [CrossRef]
- Michaletz, S.T.; Cheng, D.; Kerkhoff, A.J.; Enquist, B.J. Convergence of terrestrial plant production across global climate gradients. Nature 2014, 512, 39–43. [Google Scholar] [CrossRef]
- Frank, D.; Reichstein, M.; Bahn, M.; Thonicke, K.; Frank, D.; Mahecha, M.D.; Smith, P.; van der Velde, M.; Vicca, S.; Babst, F.; et al. Effects of climate extremes on the terrestrial carbon cycle: Concepts, processes and potential future impacts. Glob. Chang. Biol. 2015, 21, 2861–2880. [Google Scholar] [CrossRef]
- Gao, W.; Lei, X.; Gao, D.; Li, Y. Mass-ratio and complementarity effects simultaneously drive aboveground biomass in temperate Quercus forests through stand structure. Ecol. Evol. 2021, 11, 16806–16816. [Google Scholar] [CrossRef]
- Ouyang, S.; Xiang, W.; Wang, X.; Xiao, W.; Chen, L.; Li, S.; Sun, H.; Deng, X.; Forrester, D.I.; Zeng, L.; et al. Effects of stand age, richness and density on productivity in subtropical forests in China. J. Ecol. 2019, 107, 2266–2277. [Google Scholar] [CrossRef]
- Forrester, D.I. The spatial and temporal dynamics of species interactions in mixed-species forests: From pattern to process. For. Ecol. Manag. 2014, 312, 282–292. [Google Scholar] [CrossRef]
- Hua, F.; Bruijnzeel, L.A.; Meli, P.; Martin, P.A.; Zhang, J.; Nakagawa, S.; Miao, X.; Wang, W.; McEvoy, C.; Peña-Arancibia, J.L.; et al. The biodiversity and ecosystem service contributions and trade-offs of forest restoration approaches. Science 2022, 376, 839–844. [Google Scholar] [CrossRef] [PubMed]
- Cai, H.; Li, F.; Jin, G. Soil nutrients, forest structure and species traits drive aboveground carbon dynamics in an old-growth temperate forest. Sci. Total Environ. 2020, 705, 135874. [Google Scholar] [CrossRef] [PubMed]
- Gao, W.; Lei, X.; Liang, M.; Larjavaara, M.; Li, Y.; Gao, D.; Zhang, H.-R. Biodiversity increased both productivity and its spatial stability in temperate forests in northeastern China. Sci. Total Environ. 2021, 780, 146674. [Google Scholar] [CrossRef] [PubMed]







| Forest Type | Models | df | Model Fit Statistics Summary | ||||||
|---|---|---|---|---|---|---|---|---|---|
| CFI | GFI | RMSEA | SRMR | Chi-Square | AIC | p Value | |||
| CMF | Model 1 (Full model) | 0 | 1 | 1 | 0 | 0 | 0 | 714.534 | 0.083 |
| Model 2 [Model 1: (ClimatePC1→FunctionPC1)] | 1 | 1 | 1 | 0 | 0.002 | 0.008 | 712.542 | 0.927 | |
| Model 3 (Model 1: (Age→FunctionPC1)) | 1 | 0.965 | 0.967 | 0.296 | 0.04 | 5.219 | 717.753 | 0.022 | |
| Model 4 (Model 1: (ClimatePC1→FunctionPC1&Age→FunctionPC1)) | 2 | 0.973 | 0.966 | 0.185 | 0.04 | 5.274 | 715.808 | 0.072 | |
| CBMF | Model 5 (Full model) | 0 | 1 | 1 | 0 | 0 | 0 | 1032.232 | 0.096 |
| Model 6 (Model 5: (ClimatePC1→FunctionPC1)) | 1 | 0.987 | 0.983 | 0.197 | 0.04 | 3.744 | 1033.976 | 0.053 | |
| Model 7 (Model 5: (Age→FunctionPC1)) | 1 | 0.998 | 0.994 | 0.072 | 0.016 | 1.373 | 1031.605 | 0.241 | |
| Model 8 (Model 5: (ClimatePC1→FunctionPC1&Age→FunctionPC1)) | 2 | 0.989 | 0.98 | 0.133 | 0.039 | 4.502 | 1032.734 | 0.105 | |
| BMF | Model 9 (Full model) | 0 | 1 | 1 | 0 | 0 | 0 | 2232.194 | 0.079 |
| Model 10 (Model 9: (ClimatePC1→FunctionPC1)) | 1 | 1 | 0.999 | 0 | 0.008 | 0.265 | 2230.459 | 0.607 | |
| Model 11 (Model 9: (Age→FunctionPC1)) | 1 | 0.95 | 0.971 | 0.296 | 0.054 | 14.084 | 2244.278 | 0.243 | |
| Model 12 (Model 9: (ClimatePC1→FunctionPC1&Age→FunctionPC1)) | 2 | 0.947 | 0.967 | 0.216 | 0.064 | 15.951 | 2244.145 | 0.135 | |
| numDF | denDF | F Value | p Value | Remark | |
|---|---|---|---|---|---|
| (Intercept) | 1 | 12 | 4757.35 | p < 0.001 | *** |
| StructurePC1 | 1 | 12 | 132.45 | p < 0.001 | *** |
| Age | 1 | 12 | 89.44 | p < 0.001 | *** |
| Age: StructurePC1 | 1 | 12 | 15.79 | 0.0018 | ** |
| FunctionPC1 | 1 | 12 | 15.14 | 0.0021 | ** |
| DiversityPC1 | 1 | 12 | 12.98 | 0.0036 | ** |
| ClimatePC1 | 1 | 12 | 10.97 | 0.0062 | ** |
| DiversityPC1: ClimatePC1 | 1 | 12 | 8.38 | 0.0134 | * |
| Age: StructurePC1: FunctionPC1: ClimatePC1 | 1 | 12 | 8.09 | 0.0148 | * |
| Age: DiversityPC1 | 1 | 12 | 7.04 | 0.0211 | * |
| Age: ClimatePC1 | 1 | 12 | 6.25 | 0.0279 | * |
| DiversityPC1: StructurePC1 | 1 | 12 | 5.24 | 0.0410 | * |
| numDF | denDF | F Value | p Value | Remark | |
|---|---|---|---|---|---|
| (Intercept) | 1 | 35 | 2356.02 | p < 0.001 | *** |
| Age | 1 | 35 | 219.37 | p < 0.001 | *** |
| DiversityPC1 | 1 | 35 | 58.66 | p < 0.001 | *** |
| StructurePC1 | 1 | 35 | 33.64 | p < 0.001 | *** |
| Age: DiversityPC1 | 1 | 35 | 27.01 | p < 0.001 | *** |
| ClimatePC1 | 1 | 35 | 14.22 | 0.0006 | *** |
| FunctionPC1: ClimatePC1 | 1 | 35 | 4.59 | 0.0392 | ** |
| numDF | denDF | F Value | p Value | Remark | |
|---|---|---|---|---|---|
| (Intercept) | 1 | 114 | 2221.85 | p < 0.001 | *** |
| Age | 1 | 114 | 440.65 | p < 0.001 | *** |
| DiversityPC1 | 1 | 114 | 66.17 | p < 0.001 | *** |
| Age: DiversityPC1 | 1 | 114 | 55.77 | p < 0.001 | *** |
| StructurePC1 | 1 | 114 | 33.42 | p < 0.001 | *** |
| Age: StructurePC1 | 1 | 114 | 16.39 | p < 0.001 | *** |
| StructurePC1: ClimatePC1 | 1 | 114 | 11.09 | 0.0012 | ** |
| Age: DiversityPC1: StructurePC1: ClimatePC1 | 1 | 114 | 11.08 | 0.0012 | ** |
| StructurePC1: FunctionPC1 | 1 | 114 | 10.26 | 0.0018 | ** |
| Age: ClimatePC1 | 1 | 114 | 7.32 | 0.0079 | ** |
| Age: DiversityPC1: StructurePC1 | 1 | 114 | 6.73 | 0.0107 | * |
| Age: DiversityPC1: ClimatePC1 | 1 | 114 | 6.27 | 0.0137 | * |
| ClimatePC1 | 1 | 114 | 6.00 | 0.0158 | * |
| FunctionPC1 | 1 | 114 | 5.27 | 0.0235 | * |
| Age: FunctionPC1 | 1 | 114 | 4.20 | 0.0427 | * |
| Age: StructurePC1: FunctionPC1: ClimatePC1 | 1 | 114 | 4.10 | 0.0452 | * |
Disclaimer/Publisher’s Note: The statements, opinions and data contained in all publications are solely those of the individual author(s) and contributor(s) and not of MDPI and/or the editor(s). MDPI and/or the editor(s) disclaim responsibility for any injury to people or property resulting from any ideas, methods, instructions or products referred to in the content. |
© 2023 by the authors. Licensee MDPI, Basel, Switzerland. This article is an open access article distributed under the terms and conditions of the Creative Commons Attribution (CC BY) license (https://creativecommons.org/licenses/by/4.0/).
Share and Cite
Wang, G.; Xie, B.; Lv, Y.; Yin, J.; Zhou, Y.; Xu, L.; Shi, Y. Interaction Effect of Stand Age and Diversity on Aboveground Wood Carbon Accumulation in Subtropical Mixed Forests of the Zhejiang Province (China). Forests 2023, 14, 262. https://doi.org/10.3390/f14020262
Wang G, Xie B, Lv Y, Yin J, Zhou Y, Xu L, Shi Y. Interaction Effect of Stand Age and Diversity on Aboveground Wood Carbon Accumulation in Subtropical Mixed Forests of the Zhejiang Province (China). Forests. 2023; 14(2):262. https://doi.org/10.3390/f14020262
Chicago/Turabian StyleWang, Gang, Binglou Xie, Yulong Lv, Jiayang Yin, Yufeng Zhou, Lin Xu, and Yongjun Shi. 2023. "Interaction Effect of Stand Age and Diversity on Aboveground Wood Carbon Accumulation in Subtropical Mixed Forests of the Zhejiang Province (China)" Forests 14, no. 2: 262. https://doi.org/10.3390/f14020262
APA StyleWang, G., Xie, B., Lv, Y., Yin, J., Zhou, Y., Xu, L., & Shi, Y. (2023). Interaction Effect of Stand Age and Diversity on Aboveground Wood Carbon Accumulation in Subtropical Mixed Forests of the Zhejiang Province (China). Forests, 14(2), 262. https://doi.org/10.3390/f14020262
