The Effects of Sudden Freezing on the Biochemical Status of Bamboo Leaves: A Case Study on Nine Species on a Subtropical Plateau
Abstract
:1. Introduction
2. Materials and Methods
2.1. Plant Materials
2.2. Moisture Content Determination
2.3. Determination of Soluble Sugars, Starch, and Proline
2.4. Determination of Physiological Changes in the Antioxidant Defense System
2.5. Data Analysis
3. Results
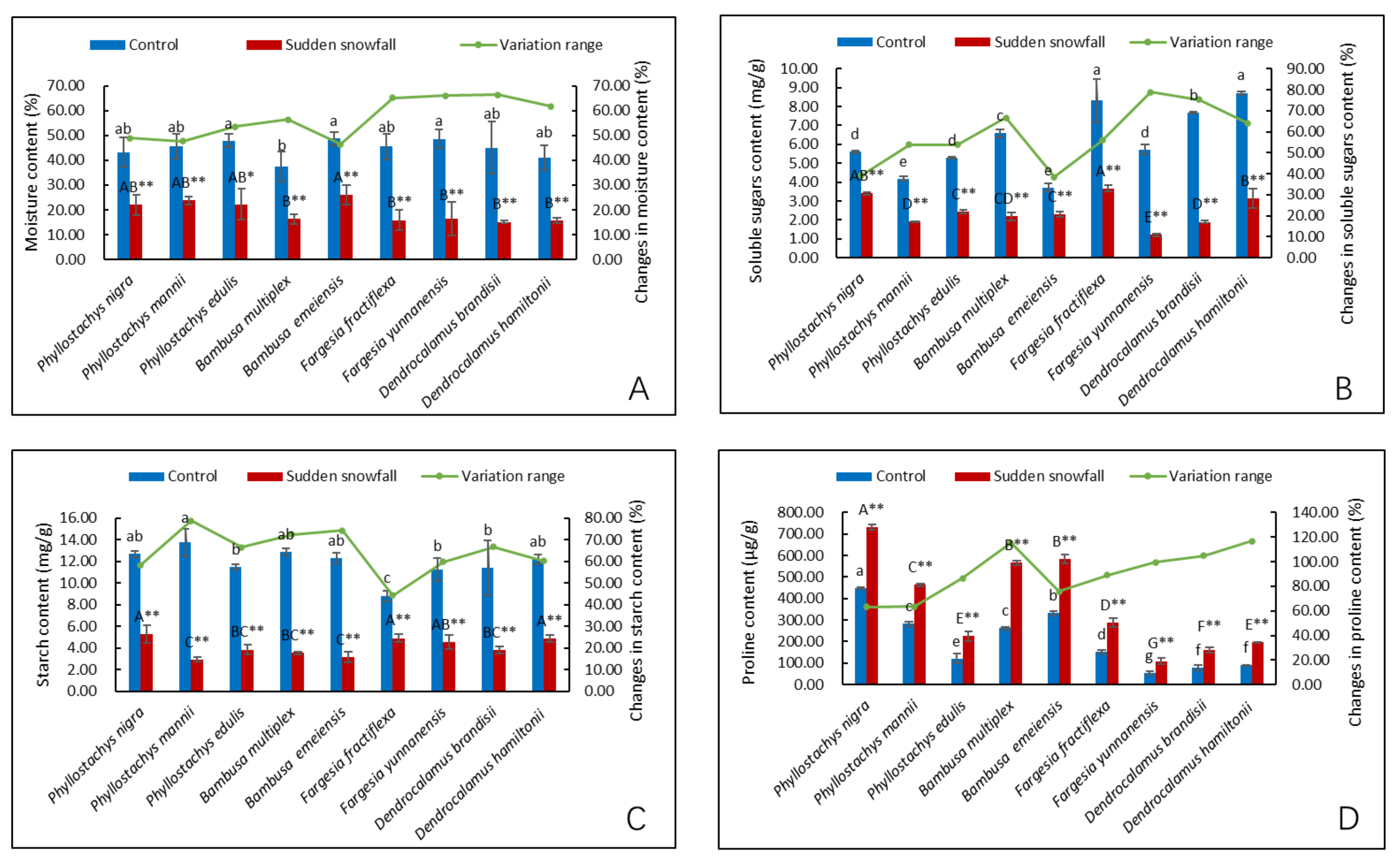
3.1. Impact of Sudden Snowfall on Moisture Content and Osmotic Regulation in the Leaves of Different Bamboo Types
3.2. Impact of Sudden Snowfall on the MDA and H2O2 Content and on the Enzymatic Activities of SOD, POD, and CAT in the Leaves of Different Bamboo Types
3.3. Effects of Sudden Snowfall on the AsA–GSH System in the Leaves of Different Bamboo Species
4. Discussion
4.1. Effects of Sudden Snowfall on Osmotic Regulation in the Leaves of Different Bamboos
4.2. Effects of Sudden Snowfall on the Leaves of Different Bamboo Species in Terms of H2O2 and MDA Accumulation and SOD, POD, and CAT Activities
4.3. Effect of Sudden Snowfall on the AsA–GSH System in the Leaves of Different Bamboo Species
5. Conclusions
Author Contributions
Funding
Data Availability Statement
Conflicts of Interest
Abbreviations
References
- Xu, J. The Physiological Studies on Cold Resistance of Four Species Urban Ornamental Bamboos such as Bambusa multiplex cv. sliverstripe. Master’s Thesis, Sichuan Agricultural University, Chengdu, China, 2010. [Google Scholar]
- Sun, Z.J.; Fei, B.H. Opportunities and challenges for the development of bamboo industry in China. World Bamboo Ratt. 2019, 1, 1–5. [Google Scholar]
- Luo, Y.; Tang, H.R.; Zhang, Y. Effect of low temperature stress on activities of SOD and enzymes of Ascorbate-Glutathione cycle. Acta Hort. Sin. 2007, 6, 1405–1410. [Google Scholar]
- Huang, Y.C.; Huang, L.L. A survey and study on bamboo cold damage. J. Southwest For. Univ. 1993, 4, 285–288. [Google Scholar]
- Wu, J.L. Collection of sympodial bamboos and evaluation of their cold resistance in Dahu Bamboo Garden. J. Bamboo Res. 2008, 1, 19–26. [Google Scholar]
- Hu, S.L.; Cao, Y.; Duan, N.; Ren, P.; Li, Y.; Chen, Q.B. Analysis of grey correlation and cluster on cold-tolerance of different bamboo varieties. J. Fujian Coll. For. 2010, 4, 327–332. [Google Scholar]
- Liu, G.H.; Lin, S.Y.; Wang, F.S.; Ding, Y.L. The response of physiological and biochemical indices of four Dwarf bamboos to low temperature. J. Bamboo Res. 2011, 4, 6–10. [Google Scholar]
- Teng, S.Y. The Cold Resistance Research of Hunan’s Sympodial Ornamental Bamboo. Master’s Thesis, Hunan Agricultural University, Changsha, China, 2013. [Google Scholar]
- Gao, P.G. Physiological Response of Six Dwarf Ornamental Bamboo Species under Low Temperature Stress. Master’s Thesis, Sichuan Agricultural University, Chengdu, China, 2014. [Google Scholar]
- Zhang, T.Y.; Liu, Q. The effects of extreme winter temperatures on frost damage of garden plants in Kunming, Yunnan. China Hort. Dig. 2014, 93–94, 186. [Google Scholar]
- Yi, T.P.; Shi, J.Y.; Ma, L.S.; Wang, H.T.; Yang, L. Iconographia Bambusoidearum Sinicarum; Science Press: Beijing, China, 2008; pp. 126, 168, 192–193, 197, 327, 334, 336, 415. [Google Scholar]
- Committee of Flora of China, CAS. Flora of China (FOC); Science Press: Beijing, China, 1996; Volume 9, Part 1, pp. 281, 291. [Google Scholar]
- Qi, J.Q.; Hu, Y.; Xie, J.L.; Huang, X.Y.; Luo, H.; Chen, S.M. Anatomical properties of three-year old Neosinocalamus affiniss stalk at different heights. J. Northwest A&F Univ. (Nat. Sci. Ed.) 2014, 2, 187–192. [Google Scholar]
- Glassop, D.; Roessner, U.; Bacic, A.; Bonnett, B.D. Changes in the sugarcane metabolome with stem development. Are they related to sucrose accumulation? Plant Cell Physiol. 2007, 4, 573–584. [Google Scholar] [CrossRef]
- Dubois, M.; Gilles, K.A.; Hamilton, J.K.; Rebers, P.A.; Smith, F. Colorimetric method for determination of sugars and related substances. Anal. Chem. 1956, 28, 350–356. [Google Scholar] [CrossRef]
- Wang, J.Y.; Ao, H.; Zhang, J.; Qu, G.J. Plant Physiology and Biochemical Experimental Techniques and Principles; Northeast Forest University Press: Harbin, China, 2003; pp. 133–135. [Google Scholar]
- Cai, Q.S. Plant Physiology Experiment; China Agriculture University Press: Beijing, China, 2013; pp. 175–177. [Google Scholar]
- Lin, Z.F.; Li, S.S.; Lin, G.Z.; Guo, J.Y. Relationship between H2O2 accumulation and membrane lipid peroxidation in senescent leaves and chloroplasts. Acta Phytopathol. Sin. 1988, 1, 16–22. [Google Scholar]
- Chen, J.X.; Wang, X.F. Plant Physiology Experiment Guidance; South China University of Technology Press: Guangzhou, China, 2006; pp. 119–120. [Google Scholar]
- Gao, J.F. Plant Physiology Experiment Guidance; Higher Education Press: Beijing, China, 2006; pp. 217–219. [Google Scholar]
- Li, H.S. Experimental Principles and Techniques of Plant Physiology and Biochemistry; Higher Education Press: Beijing, China, 2000; pp. 165–167. [Google Scholar]
- Kampfenkel, K.; Vanmontagu, M.; Inze, D. Extraction and determination of Ascorbate and dehydroascorbate from plant tissue. Anal. Biochem. 1995, 225, 165–167. [Google Scholar] [CrossRef] [PubMed]
- Griffith, O.W. Determination of glutathione and glutathione disulfide using glutathione reductase and 2-vinylpyridine. Anal. Biochem. 1980, 106, 207–212. [Google Scholar] [CrossRef] [PubMed]
- Nakano, Y.; Asada, K. Hydrogen peroxide is scavenged by ascorbate-specific peroxidase in spinach chloroplasts. Plant Cell Physiol. 1981, 22, 867–880. [Google Scholar]
- Hossain, M.A.; Asada, K. Purification of dehydroascorbate reductase from spinach and its characterization as a thiol enzyme. Plant Cell Physiol. 1984, 25, 85–92. [Google Scholar]
- Krivosheeva, A.; Tao, D.L.; Ottander, C.; Wingsle, G.; Dube, S.L.; Oquis, G. Cold acclimation and photoinhibition of photosynthesis in Scots pine. Planta 1996, 200, 296–305. [Google Scholar] [CrossRef]
- Meng, Q.R. Study on the Physiological Mechanism of Frost Damage in Apricot Flower Organs. Ph.D. Thesis, Hebei Agriculture University, Baoding, China, 2009. [Google Scholar]
- Grace, S.C.; Logan, B.A. Acclimation of foliar antioxidant systems to growth irradiance in three broad-leaved evergreen species. Plant Physiol. 1996, 112, 1631–1640. [Google Scholar] [CrossRef]
- Bandurska, H.; Niedziela, J.; Pietrowska-Borek, M.; Nuc, K.; Chadzinikolau, T.; Radzikowska, D. Regulation of proline biosynthesis and resistance to drought stress in two barley (Hordeum vulgare L.) genotypes of different origin. Plant Physiol. Biochem. 2017, 118, 427–437. [Google Scholar] [CrossRef]
- Zhao, T.H.; Sun, J.W.; Fu, Y. Advance of research on metabolism of plant reactive oxygen species and exogenous regulation under abiotic stresses. Crop J. 2008, 3, 10–13. [Google Scholar]
- Sun, Q.P.; Xu, H.Y.; Zhang, F.W.; Yin, G.T.; Zhang, Y.F. Effects of low temperature stress on some physiological changes of Acacia auriculaeformis and A. mangium. For. Res. 2002, 1, 34–40. [Google Scholar]
- Huang, W.C.; Fan, Y.B.; Wang, Y.C. Low temperature stress and maize seedings: Effects on antioxidant enzyme system and osmotic regulation. Chin. Agric. Sci. Bull. 2018, 24, 6–12. [Google Scholar]
- Gill, S.S.; Tuteja, N. Reactive oxygen species and antioxidant machinery in abiotic stress tolerance in crop plants. Plant Physiol. Biochem. 2010, 12, 909–930. [Google Scholar] [CrossRef] [PubMed]
- He, H.Y.; Tian, L.P.; Xue, L. Research progress on physiology and biochemistry of plant cold hardiness. Tianjin Agric. Sci. 2007, 2, 10–13. [Google Scholar]
- Zhang, J. Response Mechanisms of Sedum spp. to Waterlogging Stress. Ph.D. Thesis, Beijing Forestry University, Beijing, China, 2019. [Google Scholar]
- Liu, H.C.; Zhu, K.Y.; Zhou, J.H.; Zou, Q.C. Primary study on leaf moisture content and low temperature tolerance of evergreen hydrophtic plant iris hexagonus hybrid. Jiangsu Agric. Sci. 2010, 1, 182–183. [Google Scholar]
- Wang, T.; Wang, X.N.; Wang, M.F.; Sun, Y.L.; Li, Z.F.; Fu, L.S. Moisture content changes and cold resistance identification by winter wheat varieties at low temperature. Crop J. 2015, 1, 61–66. [Google Scholar]
- Hajihashemi, S.; Brestic, M.; Landi, M.; Skalicky, M. Resistance of fritillaria imperialis to freezing stress through gene expression, osmotic adjustment and antioxidants. Sci. Rep. 2020, 1, 10427. [Google Scholar] [CrossRef] [PubMed]
- Kang, G.Z.; Yue, C.F.; Peng, H.F.; Han, Q.X.; Li, G.Z.; Xu, W.; Liu, G.Q.; Guo, T.C. Effects of freezing stress anti-chilling contents in wheat leaves. J. Henan Agric. Sci. 2011, 12, 56–60. [Google Scholar]
- Wang, Y.F. Comparative Study on Heat Resistance and Cold Resistance of Three Species of Chaenomeles. Master’s Thesis, Henan Agriculture University, Zhengzhou, China, 2018. [Google Scholar]
- Husen, A.; Iqbal, M.; Sohrab, S.S.; Ansari, M.K.A. Salicylic acid alleviates salinity-caused damage to foliar functions, plant growth and antioxidant system in Ethiopian mustard (Brassica carinata A. Br.). Agric. Food Secur. 2018, 1, 1–14. [Google Scholar] [CrossRef]
- Huang, X.L.; Luo, C.; Song, L.S. Influence of low temperature stress on the physiological and biochemical indices of cold-resistance on 9 hedge in Guiyang. Guangdong Agric. Sci. 2012, 2, 47–50, 59. [Google Scholar]
- Shan, X.; Qin, W.B.; Zhang, Z.C.; Yao, Y.M.; Xiao, Y.; Dai, Z.L. Effects of low temperature stress on leaf ASA-GSH cycle metabolism in different varieties Brassica oleracea L. J. South. Agric. 2018, 49, 2230–2235. [Google Scholar]
- Wu, S.; Jia, Y.L.; Zhi, F.J. Comprehensive evaluation of cold resistance of walnut branches under low temperature stress. For. Ecol. Sci. 2020, 3, 314–319. [Google Scholar]
- Xu, X.Y.; Xie, G.S.; Li, H.; Zhang, J.J.; Xu, X.L.; Qian, R.; Liang, G.H.; Liu, J.H. Differences in oxidative stress, antioxidant systems, and microscopic analysis between regenerating callus-derived protoplasts and recalcitrant leaf mesophyll-derived protoplasts of Citrus reticulata. Plant Cell Tissue Organ Cult. (PCTOC) 2013, 114, 161–169. [Google Scholar] [CrossRef]
- Tang, J.; Wang, S.Q.; Hu, K.D.; Huang, Z.Q.; Li, Y.H.; Han, Z.; Chen, Z.; Hu, L.; Yao, G.; Zhang, H. Antioxidative capacity is highly associated with the storage property of tuberous roots in different sweetpotato cultivars. Sci. Rep. 2019, 1, 11141. [Google Scholar] [CrossRef] [PubMed]
- Morales, M.; Munné-Bosch, S. Malondialdehyde: Facts and artifacts. Plant Physiol. 2019, 3, 1246–1250. [Google Scholar] [CrossRef] [PubMed]
- Alché, J.D.D. A concise appraisal of lipid oxidation and lipoxidation in higher plants. Redox Biol. 2019, 23, 101136. [Google Scholar] [CrossRef] [PubMed]
- Zhu, C.Y. Effect of Low Temperature Stress on Physiology and Photosynthetic Characteristics of Fraxinus Mandschurica Seedlings. Master’s Thesis, Shenyang Agriculture University, Shenyang, China, 2016. [Google Scholar]
- Liu, Y.F.; Li, T.L.; Gao, X.Q. Active oxygen metabolism and Ascorbate-Glutathione cycle of tomato leaves under low nocturnal temperature. Acta Bot. Boreal.-Occident. Sin. 2011, 4, 0707–0714. [Google Scholar]
- Liu, J.Y.; Yao, K.Y.; Feng, Y.F.; Wang, X.J.; Yao, Y.D. The Effect of low temperature on membrane lipid peroxidation and enzymes activities in cedrus deodora (Roxb.). J. Shanxi Agric. Univ. 2004, 4, 396–400. [Google Scholar]
- Xiang, K.; Xu, Y.; Wang, X.L.; Li, G.T.; Zhang, M.Y. Effects of low temperature stress on reactive oxygen species metabolism and AsA-GSH cycle in walnut branches. China Fruits 2013, 47–50. [Google Scholar] [CrossRef]
- Yang, Q.H.; Zheng, C.S. Effects of exogenous acetylsalicylic acid and calcium chloride on AsA-GSH cycle in chrysanthemum leaves under stress of low temperature and poor light. J. Shandong Agric. Univ. (Nat. Sci. Ed.) 2018, 3, 495–499. [Google Scholar]
- Nagalakshmi, N.; Prasad, M.N.V. Responses of glutathione cycle enzymes and glutathione metabolism to copper stress in Scenedesmus bijugatus. Plant Sci. 2001, 2, 291–299. [Google Scholar] [CrossRef]
- Wang, F.; Wang, Q.; Zhao, X.Y. Research progress of phenotype and physiological response mechanisms of plants under low temperature stress. Mol. Plant Breed. 2019, 15, 5144–5153. [Google Scholar]
- Noctor, G.; Foyer, C.H. Ascorbate and glutathione: Keeping active oxygen under control. Annu. Rev. Plant Biol. 1998, 49, 249–279. [Google Scholar] [CrossRef] [PubMed]
- Chen, C. Relationship between Cold Resistance and the Saccharic Metabolism and Antioxidant Activity of Winter Wheat at Low Temperature. Master’s Thesis, Northeast Agriculture University Harbin, Harbin, China, 2014. [Google Scholar]
- Li, Y.L.; Liu, Y.F.; Zhang, J.G. Advances in the research on the AsA-GSH cycle in horticultural crops. Front. Agric. China 2010, 4, 84–90. [Google Scholar] [CrossRef]
- Wu, X.X.; Zhang, S.M.; Yang, Z.F.; Zhu, Z.W.; Zhang, A.D.; Shang, J.; Tian, S.B.; Zha, D.S. Effects of short low and high temperature stress on ascorbic acid metabolism system in squash seedlings leaves. J. Shanghai Agric. 2020, 1, 53–58. [Google Scholar]
- Han, M.; Cao, B.L.; Liu, S.S.; Xu, K. Effects of rootstock and scion interactions on Ascorbate-Glutathione cycle in tomato seedlings under low temperature stress. J. Hort. 2019, 1, 65–73. [Google Scholar]
- Srivalli, B.; Sharma, G.; Chopra, R.K. Antioxidative defense system in an upland rice cultivar subjected to increasing intensity of water stress followed by recovery. Physiol. Plantarum. 2003, 4, 503–512. [Google Scholar] [CrossRef]
- Foyer, C.H.; Noctor, G. Ascorbate and glutathione: The heart of the redox hub. Plant Physiol. 2011, 1, 2–18. [Google Scholar] [CrossRef] [PubMed]
- Sofo, A.; Scopa, A.; Nuzzaci, M.; Vitti, A. Ascorbate peroxidase and catalase activities and their genetic regulation in plants subjected to drought and salinity stresses. Int. J. Mol. Sci. 2015, 6, 13561–13578. [Google Scholar] [CrossRef]
- Creissen, G.P.; Broadbent, P.; Kular, B.; Reynolds, H.; Wellburn, A.R.; Mullineaux, P.M. Manipulation of glutathione reductase in transgenic plants: Implications for plants’ responses to environmental stress. Proc. R. Soc. Edinb. Sect. B Biol. Sci. 1994, 102, 167–175. [Google Scholar] [CrossRef]
- Wu, Y.F.; Li, J.; Yu, L.X.; Wang, S.S.; Lv, Z.; Hao, L.; Zhai, J.Y.; Lin, S.Y.; Meng, Y.; Cao, Z.H. Overwintering performance of bamboo leaves, and establishment of mathematical model for the distribution and introduction prediction of bamboos. Front. Plant Sci. 2023, 14, 1255033. [Google Scholar] [CrossRef]
- Hasanuzzaman, M.; Bhuyan, M.H.M.B.; Zulfiqar, F.; Raza, A.; Mohsin, S.M.; Mahmud, J.A.; Fujita, M.; Fotopoulos, V. Reactive oxygen species and antioxidant defense in plants under abiotic stress: Revisiting the crucial role of a universal defense regulator. Antioxidants 2020, 8, 681. [Google Scholar] [CrossRef]





Disclaimer/Publisher’s Note: The statements, opinions and data contained in all publications are solely those of the individual author(s) and contributor(s) and not of MDPI and/or the editor(s). MDPI and/or the editor(s) disclaim responsibility for any injury to people or property resulting from any ideas, methods, instructions or products referred to in the content. |
© 2023 by the authors. Licensee MDPI, Basel, Switzerland. This article is an open access article distributed under the terms and conditions of the Creative Commons Attribution (CC BY) license (https://creativecommons.org/licenses/by/4.0/).
Share and Cite
Wang, S.; Yan, Y.; Wu, Y.; Zhou, L.; Liu, J.; Yang, D.; Li, J.; Wang, S. The Effects of Sudden Freezing on the Biochemical Status of Bamboo Leaves: A Case Study on Nine Species on a Subtropical Plateau. Forests 2023, 14, 2289. https://doi.org/10.3390/f14122289
Wang S, Yan Y, Wu Y, Zhou L, Liu J, Yang D, Li J, Wang S. The Effects of Sudden Freezing on the Biochemical Status of Bamboo Leaves: A Case Study on Nine Species on a Subtropical Plateau. Forests. 2023; 14(12):2289. https://doi.org/10.3390/f14122289
Chicago/Turabian StyleWang, Sushuang, Yingdan Yan, Yufang Wu, Li Zhou, Jiaxin Liu, Dejia Yang, Juan Li, and Shuguang Wang. 2023. "The Effects of Sudden Freezing on the Biochemical Status of Bamboo Leaves: A Case Study on Nine Species on a Subtropical Plateau" Forests 14, no. 12: 2289. https://doi.org/10.3390/f14122289
APA StyleWang, S., Yan, Y., Wu, Y., Zhou, L., Liu, J., Yang, D., Li, J., & Wang, S. (2023). The Effects of Sudden Freezing on the Biochemical Status of Bamboo Leaves: A Case Study on Nine Species on a Subtropical Plateau. Forests, 14(12), 2289. https://doi.org/10.3390/f14122289
