Chemical Thinning and Fisheye Clip for Managing Light Intensity in the Understory of Forest Restoration
Abstract
1. Introduction
2. Materials and Methods
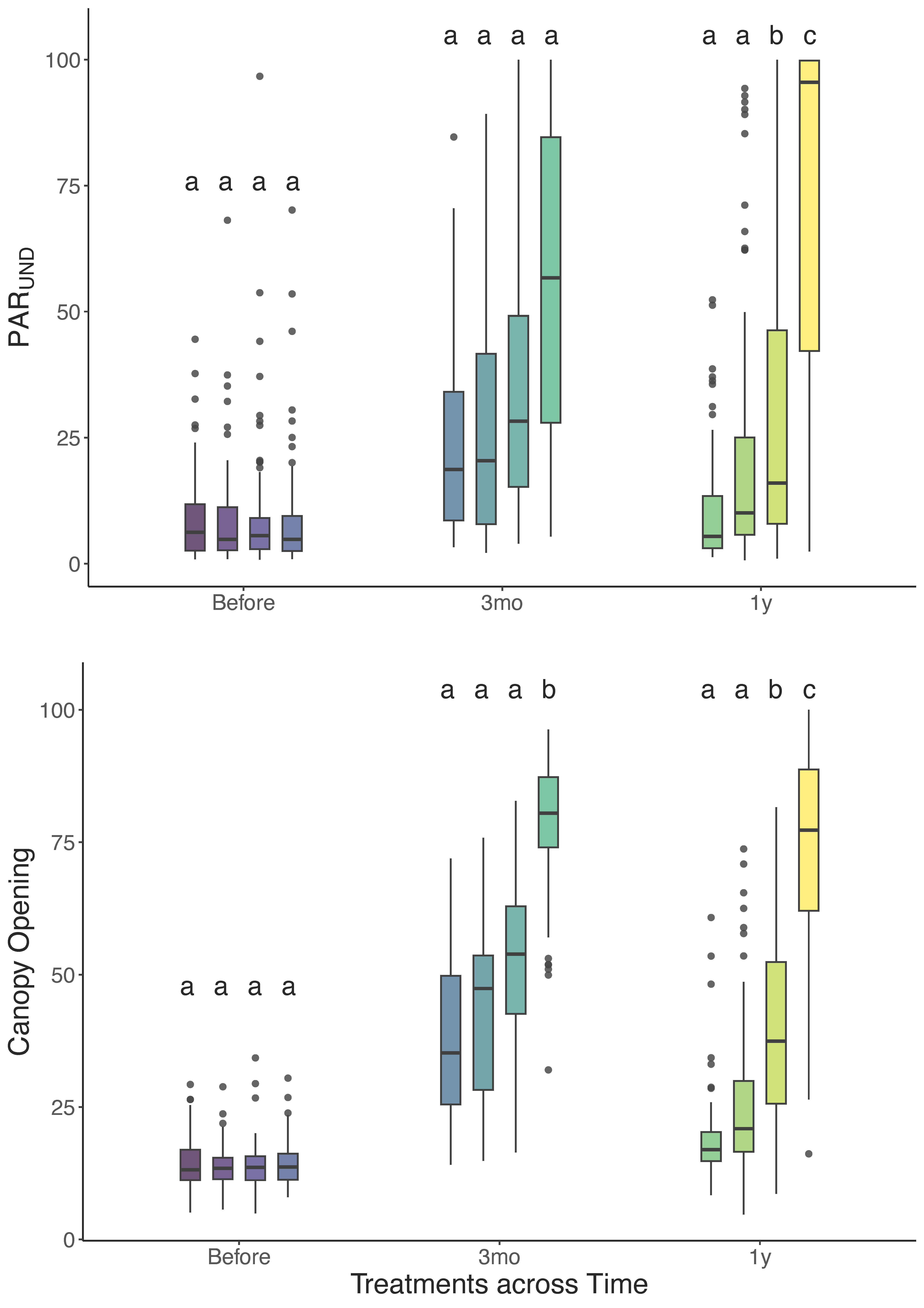
3. Results
4. Discussion
5. Conclusions
Supplementary Materials
Author Contributions
Funding
Data Availability Statement
Acknowledgments
Conflicts of Interest
References
- Chazdon, R.L.; Brancalion, P.H.S.; Lamb, D.; Laestadius, L.; Calmon, M.; Kumar, C. A policy-driven knowledge agenda for global forest and landscape restoration. Conserv. Lett. 2017, 10, 125–132. [Google Scholar] [CrossRef]
- Guariguata, M.R.; Balvanera, P. Tropical forest service flows: Improving our understanding of the biophysical dimension of ecosystem services. For. Ecol. Manag. 2009, 258, 1825–1829. [Google Scholar] [CrossRef]
- Kapos, V. Seeing the forest through the trees. Science 2017, 355, 347–349. [Google Scholar] [CrossRef]
- Keenan, R.J.; Reams, G.A.; Achard, F.; Freitas, J.V.; Grainger, A.; Lindquist, E. Dynamics of global forest area: Results from the FAO Global Forest Resources Assessment 2015. For. Ecol. Manag. 2015, 352, 9–20. [Google Scholar] [CrossRef]
- Gibson LLee, T.M.; Koh, L.P.; Brook, M.W.; Gardner, T.A.; Barlow, J.; Peres, C.A.; Bradshaw, C.J.A.; Laurence, W.F.; Lovejoy, T.E.; Sodhi, N.S. Primary forests are irreplaceable for sustaining tropical biodiversity. Nature 2011, 478, 378–381. [Google Scholar] [CrossRef] [PubMed]
- Palma, A.C.; Laurance, S.G.W. A review of the use of direct seeding and seedling plantings in restoration: What do we know and where should we go? Appl. Veg. Sci. 2015, 18, 561–568. [Google Scholar] [CrossRef]
- Elliot, S.; Tucker, N.I.J.; Shannon, D.P.; Tiansawat, P. The framework species method: Harnessing natural regeneration to restore tropical forest ecosystems. Phil. Trans. Roy. Soc. B 2022, 378, 20210073. [Google Scholar] [CrossRef]
- Rodrigues, R.R.; Lima, R.A.F.; Gandolfi, S.; Nave, A.G. On the conservation of high diversity forests 30 years of experience in the Brazilian Atlantic Forest. Biol. Conserv. 2009, 142, 1242–1251. [Google Scholar] [CrossRef]
- Almeida, C.; Viani, R.A.G. Selection of shade trees in forest restoration plantings should be based on crown tree architecture alone. Rest Ecol. 2019, 27, 832–839. [Google Scholar] [CrossRef]
- Dwyer, J.M.; Fensham, R.; Buckley, Y.M. Restoration thinning accelerates structural development and carbon sequestration in an endangered Australian ecosystem. J. Appl. Ecol. 2010, 47, 681–691. [Google Scholar] [CrossRef]
- Vargas RAllen, E.B.; Allen, M.F. Effects of vegetation thinning on above- and belowground carbon in a seasonally dry tropical forest in Mexico. Biotropica 2009, 42, 302–311. [Google Scholar] [CrossRef]
- Ding, Y.; Zang, R. Effects of thinning on the demography and functional community structure of a secondary tropical lowland rain forest. J. Environ. Manag. 2021, 279, 111805. [Google Scholar] [CrossRef] [PubMed]
- Dey, D.C.; Kabrick, J.M.; Schweitzer, C.J. Silviculture to restore Oak savannas and woodlands. J. For. 2016, 115, 202–211. [Google Scholar] [CrossRef]
- Putz, F.E.; Sist, P.; Fredericksen, T.; Dyktra, D. Reduced impact logging: Challenges and opportunities. For. Ecol. Manag. 2008, 256, 1427–1433. [Google Scholar] [CrossRef]
- Ameray, A.; Bergeron, Y.; Valeria, O.; Girona, M.M.; Cavard, X. Forest carbon management: A review of silvicultural practices and management strategies across boreal, temperate and tropical forests. Curr. For. Rep. 2021, 7, 245–266. [Google Scholar] [CrossRef]
- Holl, K.D.; Reid, J.L.; Chaves-Fallas, J.M.; Oviedo-Brenes, F.; Zahawi, R.A. Local tropical forest restoration strategies affect tree recruitment more strongly than does landscape forest cover. J. App. Ecol. 2017, 54, 1091–1099. [Google Scholar] [CrossRef]
- Lohbeck, M.; Poorter, L.; Marínez-Ramos, M.; Rodriguez-Velásquez, J.; van Breugel, M.; Bongers, F. Changing drivers of species dominance during tropical forest succession. Func. Ecol. 2013, 28, 1052–1058. [Google Scholar] [CrossRef]
- Haughian, S. Short-term effects of alternative thinning treatments on the richness, abundance and composition of epixylic bryophytes, lichens, and vascular plants in conifer plantations at microhabitat and stand scales. For. Ecol. Manag. 2018, 415, 106–117. [Google Scholar] [CrossRef]
- Lin, N.; Deng, N.; Lu, D.; Xie, H.; Feng, M.; Chen, S. Short-term effects of thinning on tree growth and soil nutrients in the Middle-aged Chinese Fir (Cunninghamia lanceolata (Lamb.) Hook.) Plantations. Forests 2023, 14, 74. [Google Scholar] [CrossRef]
- Peñas-Claros, M.; Fredericksen, T.S.; Alarcón, A.; Blate, G.M.; Choque, U.; Leaño, C.; Licona, J.C.; Mostacedo, B.; Pariona, W.; Villegas, Z.; et al. Beyond reduced-impact logging: Silvicultural treatments to increase growth rates of tropical trees. For. Ecol. Manag. 2008, 256, 1458–1467. [Google Scholar] [CrossRef]
- Swinfield, T.; Afriandi, R.; Antoni, F.; Harrison, R.D. Accelerating tropical forest restoration through the selective removal of pioneer species. For. Ecol. Manag. 2016, 381, 209–216. [Google Scholar] [CrossRef]
- Oliveira, C.D.C.; Durigan, G.; Putz, F.E. Thinning temporarily stimulates tree regeneration in a restored tropical forest. Ecol. Eng. 2021, 171, 106390. [Google Scholar] [CrossRef]
- Aronson, J.; Durigan, G.; Brancalion, P.H.S. Conceitos e Definições Correlatos à Ciência e à Prática da Restauração Ecológica; IF Série Registros: São Paulo, Brazil, 2011; 38p. [Google Scholar]
- Brancalion, P.H.S.; Viani, R.A.G.; Strassburg, B.B.N.; Rodrigues, R.R. Finding the money for tropical forest restoration. Unasylva 2012, 239, 41–50. [Google Scholar]
- Wright, S.J.; Kitajima, K.; Kraft, N.J.B.; Reich, P.B.; Wright, I.J.; Bunker, D.E.; Condit, R.; Dalling, J.W.; Davies, S.J.; Díaz, S.; et al. Functional traits and the growth–mortality trade-off in tropical trees. Ecology 2010, 91, 3664–3674. [Google Scholar] [CrossRef] [PubMed]
- Engelbrecht, B.M.J.; Herz, H.M. Evaluation of different methods to estimate understory light conditions in tropical forests. J. Trop. Ecol. 2001, 17, 207–224. Available online: http://www.jstor.org/stable/3068642 (accessed on 10 September 2023). [CrossRef]
- Zhang, X.; Chen, L.; Wang, Y.; Jiang, P.; Hu, Y.; Ouyang, S.; Wu, H.; Lei, P.; Kuzyakov, Y.; Xiang, W. Plantations thinning: A meta-analysis of consequences for soil properties and microbial functions. Sci. Total Envioron. 2023, 15, 162894. [Google Scholar] [CrossRef] [PubMed]
- Mcivor, I.; van den Dijssel, M. Killing Old Popular Trees Using Chemicals. Plant and Food Research Gen. Tech. Rep. The New Zeland Institute Palmerston North. 2017. Available online: http://www.poplarandwillow.org.nz/documents/killing-old-poplar-trees-using-chemicals.pdf (accessed on 16 December 2021).
- Tubby, K.V.; Willoughby, I.H.; Forster, J. The efficacy of chemical thinning treatments on Pinus sylvestris and Larix kaempferi and subsequent incidence and potential impact of Heterobasidion annosum infection in standing trees. Int. J. For. Res. 2017, 90, 728–736. [Google Scholar] [CrossRef]
- Oliveira, C.D.C.; Melo, A.C.G.; Durigan, G. Thinning enhances success of enrichment planting with selected tree species under a pure stand of Leucaena leucocephala. Rest Ecol. 2023, e13985. [Google Scholar] [CrossRef]
- Willoughby, I.H.; Stokes, V.J.; Connolly, T. Using Ecoplugs containing glyphosate can be effective method of killing standing trees. Int. J. For. Res. 2017, 90, 719–727. [Google Scholar] [CrossRef][Green Version]
- Mendes, J.C.T.; Seixas, F. Impacts of logging on the structure of the native understory vegetation in an area of legal reserve. Sci. For. 2017, 45, 685–695. [Google Scholar] [CrossRef]
- Gourlet-Fleury, S.; Mortier, F.; Fayolle, A.; Baya, F.; Quédraogo, D.; Bénédet, F.; Picard, N. Tropical forest recovery from logging: A 24-year silvicultural experiment from Central Africa. Phil. Trans. Roy. Soc. B 2013, 368, 20120302. [Google Scholar] [CrossRef] [PubMed]
- Bazzaz, F.A. The physiological ecology of plant succession. Ann. Rev. Ecol. Syst. 1979, 10, 351–371. [Google Scholar] [CrossRef]
- Swaine, M.D.; Whitmore, T.C. On the definition of ecological species groups in tropical rain forests. Vegetatio 1988, 75, 81–86. [Google Scholar] [CrossRef]
- Monte, M.A.; Reis, M.D.G.F.; Reis, G.G.; Leite, H.G.; Stocks, J.J. Métodos indiretos de estimação da cobertura de dossel em povoamentos de clone de eucalipto. Pesqui. Agropecu. Bras. 2007, 42, 769–775. [Google Scholar] [CrossRef]
- Bianchi, S.; Cahalan, C.; Hale, S.; Gibbons, J.M. Rapid assessment of forest canopy and light regime using smartphone hemispherical photography. Ecol. Evol. 2017, 7, 10556–10566. [Google Scholar] [CrossRef]
- Francone, C.; Pagani, V.; Foi, M.; Cappelli, G.; Confalonieri, R. Comparison of leaf area index estimates by ceptometer and PocketLAI smart app in canopies with different structures. Field Crops Res. 2014, 155, 38–40. [Google Scholar] [CrossRef]
- Duguid, M.C.; Ashton, M.S. A meta-analysis of the effect of forest management for timber on understory of plant species diversity in temperate forests. For. Ecol. Manag. 2013, 303, 81–90. [Google Scholar] [CrossRef]
- Nave, L.E.; Vance, E.D.; Swanston, C.W.; Curtis, P.S. Harvest impacts on soil carbono storage in temperate forests. For. Ecol. Manag. 2010, 259, 857–866. [Google Scholar] [CrossRef]
- CCA/UFSCar. Climatological Data. 2015. Available online: https://www.cca.ufscar.br/ptbr/servicos/dados-climatologicos (accessed on 16 December 2021).
- Oliveira-Filho, A.T.; Fontes, M.A. Patterns of floristic differentiation among Atlantic Forests in Southeastern Brazil and the influence of climate. Biotropica 2000, 32, 793–810. [Google Scholar] [CrossRef]
- IBGE. Manual Técnico da Vegetação Brasileira, Instituto Brasileiro de Geografia e Estatística—IBGE. 2012. Available online: https://biblioteca.ibge.gov.br/index.php/biblioteca-catalogo?view=detalhes&id=263011 (accessed on 10 September 2023).
- Onofre, F.F. Restauração da Mata Atlântica em Antigas Unidades de Produção Florestal com Eucalyptus Saligna (Smith). no Parque das Neblinas. Master’s Thesis, University of São Paulo, Bertioga, SP, Brazil, 2009. [Google Scholar]
- Weidlich, E.V.A.; Flórido, F.G.; Sorrini, T.S.; Brancalion, P.H.S. Controlling invasive plant species in ecological restoration: A global review. J. Appl. Ecol. 2020, 57, 1806–1817. [Google Scholar] [CrossRef]
- Hakamada, R.; Giunti-Neto, C.; Lemos, C.C.Z.; Silva, S.R.; Otto, M.S.G.; Hall, K.B.; Stape, J.L. Validation of an efficient visual method for estimating leaf area index in clonal Eucalyptus plantations. For. Sci. 2016, 78, 275–281. [Google Scholar] [CrossRef]
- Dias, D.M.; Pagotto, M.A.; Pereira, T.C.; Ribeiro, A.S. Estrutura arbórea e sazonalidade da cobertura do dossel em vegetação florestada e aberta no Parque Nacional Serra de Itabaiana, Sergipe, Brasil. Sci. Flo. 2017, 27, 719–729. [Google Scholar] [CrossRef]
- Garcia, L.C.; Rezende, M.Q.; Pimenta, M.A.; Machado, R.M.; Lemos-Filho, J.P. Heterogeneidade do dossel e quantidade de luz no recrutamento do sub-bosque de uma mata ciliar no Alto São Francisco, Minas Gerais: Análise através de fotos hemisféricas. Rev. Bras. Biociências 2007, 5, 99–101. [Google Scholar]
- Frazer, G.W.; Canham, C.D.; Lertzman, K.P. Gap Light Analyzer (GLA): Imaging software to extract canopy structure and gap light transmission indices from true-colour fisheye photographs. In User’s Manual and Program Documentation, Version 2.0; Simon Fraser University: Burnaby, BC, Canada; Institute of Ecosystem Studies: Millbrook, NY, USA, 1999. [Google Scholar]
- Schiavo, B.N.V. Métodos para Estimativa do Índice de área Foliar em um Fragmento de Floresta Ombrófila Mista Montana no Estado do Paraná. Master’s Thesis, Federal University of Paraná, Curitiba, PR, Brazil, 2016; 122p. [Google Scholar]
- Bates, D.; Mächler, M.; Bolker, B.M.; Walker, S.C. Fitting linear mixed-effects models using lme4. J. Stats. Soft. 2015, 67, 1–48. [Google Scholar] [CrossRef]
- Fox, J.; Weisberg, S. An R Companion to Applied Regression, 3rd ed.; Sage: Thousand Oaks, CA, USA, 2019; Available online: https://socialsciences.mcmaster.ca/jfox/Books/Companion/ (accessed on 10 September 2023).
- Lenth, R. Emmeans: Estimated Marginal Means, Aka Least-Squares Means. R Package Version 1.8.6. 2023. Available online: https://CRAN.R-project.org/package=emmeans (accessed on 10 September 2023).
- R Core Team. R: A Language and Environment for Statistical Computing; R Foundation for Statistical Computing: Vienna, Austria, 2023; Available online: www.R-project.org/ (accessed on 10 September 2023).
- Hu, J.; Herbohn, J.; Chazdon, R.; Baynes, J.; Wills, J.; Meadows, J.; Sohel, M.S. Recovery of species composition over 46 years in a logged Australian tropical forest following different intensity silvicultural treatments. For. Ecol. Manag. 2018, 409, 660–666. [Google Scholar] [CrossRef]
- Rozendaal, D.M.A.; Bongers, F.; Aide, T.M.; Alvarez-Dávila, E.; Poorter, L. Biodiversity recovery of Neotropical secondary forests. Sci. Adv. 2019, 5, eaau3114. [Google Scholar] [CrossRef]
- Mesquita, R.C.G.; Ickes, K.; Ganade, G.; Williamson, G.B. Alternative successional pathways in the Amazon Basin. J. Ecol. 2001, 89, 528–537. [Google Scholar] [CrossRef]
- Cerullo, G.R.; Edwards, D.P. Actively restoring resilience in selectively logged tropical forests. J. App. Ecol. 2019, 56, 107–118. [Google Scholar] [CrossRef]
- Gandolfi, S.; Joly, C.A.; Leitão-Filho, H.F. “Gaps of deciduousness”: Cyclical gaps in tropical forests. Sci. Agric. 2009, 66, 280–284. [Google Scholar] [CrossRef]
- McKinney, M.L.; Lockwood, J.L. Biotic homogenization: A few winners replacing many losers in the next mass extinction. Trends Ecol. Evol. 1999, 14, 450–453. [Google Scholar] [CrossRef]
- Holl, K.D. Restoring tropical forests from the bottom-up. Science 2017, 355, 455–456. [Google Scholar] [CrossRef]
- Jonckheere, I.; Fleck, S.; Nackaerts, K.; Muys, B.; Coppin, P.; Weiss, M.; Baret, F. Review of methods for in situ leaf area index determinations: Part I. Theories, sensors and hemispherical photography. Agric. For. Meteorol. 2004, 121, 19–35. [Google Scholar] [CrossRef]
- Chianucci, F.; Cutini, A. Estimation of canopy properties in deciduous forests with digital hemispherical and cover photography. Agric. For. Meteo. 2013, 168, 130–139. [Google Scholar] [CrossRef]
- Orlando, F.; Movedi, E.; Paleari, L.; Gilardelli, C.; Foi, M.; DellÓro, M.; Confalonieri, R. Paulo. Estimating leaf area index in tree species using the PocketLAI smart app. App. Veg. Sci. 2015, 18, 716–723. [Google Scholar] [CrossRef]
- Tichy, L. Field test of canopy cover estimation by hemispherical photographs taken with a smartphone. J. Veg. Sci. 2016, 27, 427–435. [Google Scholar] [CrossRef]
- Latawiec, A.E.; Strassburg, B.B.N.; Brancalion, P.H.S.; Rodrigues, R.R.; Gardner, T. Creating space for large-scale restoration in tropical agricultural landscapes. Front. Ecol. Environ. 2015, 13, 211–218. [Google Scholar] [CrossRef]


| Species | Family |
|---|---|
| Fast-growing trees—planted in January 2014 | |
| Acnistus arborescens (L.) Schltdl. | Solanaceae |
| Apeiba tibourbou Aubl. | Malvaceae |
| Croton floribundus Spreng. | Euphorbiaceae |
| Guazuma ulmifolia Lam. | Malvaceae |
| Heliocarpus popayanensis Kunth. | Malvaceae |
| Inga vera Willd. | Fabaceae |
| Senna alata (L.) Roxb. | Fabaceae |
| Senna multijuga (Rich.) H.S.Irwin & Barneby | Fabaceae |
| Solanum granuloso-leprosum Dunal | Solanaceae |
| Trema micranthum (L.) Blum | Cannabaceae |
| Timber species—planted in Oct/Nov 2015 in the understory of fast-growing trees | |
| Anadenanthera colubrina (Vell.) Brenan | Fabaceae |
| Astronium graveolens Jacq. | Anacardiaceae |
| Balfourodendron ridelianum (Engler) Engler | Rutaceae |
| Cariniana estrellensis (Raddi) Kuntze | Lecythidaceae |
| Cariniana legalis (Mart.) Kuntze | Lecythidaceae |
| Centrolobium tomentosum Guillen. ex Benth | Fabaceae |
| Cordia trichotoma (Vell.) Arrabida ex Steudel | Boraginaceae |
| Handroanthus heptaphyllus Mattos | Bignoniaceae |
| Parapiptadenia rigida (Benth.) Brenan | Fabaceae |
| Peltophorum dubium (Spreng.) Taub. | Fabaceae |
| Zeyheria tuberculosa (Vell.) Bureau ex Verl. | Bignoniaceae |
| Species | Trees Submitted to Thinning | Frequency of Resprouting (%) |
|---|---|---|
| Acnistus arborescens (L.) Schltdl. | 57 | 50.88 b |
| Croton floribundus Spreng. | 88 | 64.77 a |
| Croton urucurana Baill. | 31 | 9.68 c |
| Guazuma ulmifolia Lam. | 97 | 82.47 a |
| Heliocarpus popayanensis Kunth. | 55 | 27.27 bc |
| Inga vera Willd. | 26 | 38.46 b |
| Senna multijuga (Rich.) H.S.Irwin & Barneby | 60 | 33.33 b |
| Solanum granuloso-leprosum Dunal | 165 | 24.85 bc |
| Trema micrantha (L.) Blum | 9 | 44.44 b |
| Alltogether | 588 | 44.05 |
Disclaimer/Publisher’s Note: The statements, opinions and data contained in all publications are solely those of the individual author(s) and contributor(s) and not of MDPI and/or the editor(s). MDPI and/or the editor(s) disclaim responsibility for any injury to people or property resulting from any ideas, methods, instructions or products referred to in the content. |
© 2023 by the authors. Licensee MDPI, Basel, Switzerland. This article is an open access article distributed under the terms and conditions of the Creative Commons Attribution (CC BY) license (https://creativecommons.org/licenses/by/4.0/).
Share and Cite
Barros, A.J.; Loiola, P.d.P.; Viani, R.A.G. Chemical Thinning and Fisheye Clip for Managing Light Intensity in the Understory of Forest Restoration. Forests 2023, 14, 2140. https://doi.org/10.3390/f14112140
Barros AJ, Loiola PdP, Viani RAG. Chemical Thinning and Fisheye Clip for Managing Light Intensity in the Understory of Forest Restoration. Forests. 2023; 14(11):2140. https://doi.org/10.3390/f14112140
Chicago/Turabian StyleBarros, André Junqueira, Priscilla de Paula Loiola, and Ricardo Augusto Gorne Viani. 2023. "Chemical Thinning and Fisheye Clip for Managing Light Intensity in the Understory of Forest Restoration" Forests 14, no. 11: 2140. https://doi.org/10.3390/f14112140
APA StyleBarros, A. J., Loiola, P. d. P., & Viani, R. A. G. (2023). Chemical Thinning and Fisheye Clip for Managing Light Intensity in the Understory of Forest Restoration. Forests, 14(11), 2140. https://doi.org/10.3390/f14112140

