Impact of Environmental Conditions on Seed Germination of Glossy Buckthorn (Frangula alnus (Mill)) in Eastern Canada
Abstract
:1. Introduction
2. Materials and Methods
2.1. Species and Study Area
2.2. Seed Collection and Treatment
2.3. Stratification
2.4. Germination in a Range of Temperature
2.5. Darkness and Scarification
2.6. Statistical Analysis
3. Results
3.1. Seed Viability
3.2. Stratification
3.3. Temperature
3.4. Dark and Light
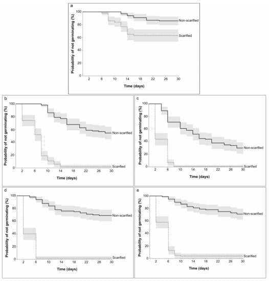
3.5. Scarification
4. Discussion
4.1. Breaking Dormancy and Germination Pattern
4.2. Effects of Light and Scarification on Germination
4.3. Spread and Invasion Strategies
5. Conclusions
Author Contributions
Funding
Data Availability Statement
Acknowledgments
Conflicts of Interest
References
- Fenner, M.K.; Thompson, K. The Ecology of Seeds; Cambridge University Press: Cambridge, UK, 2005; p. 276. [Google Scholar]
- Gioria, M.; Pyšek, P. Early bird catches the worm: Germination as a critical step in plant invasion. Biol. Invasions 2017, 19, 1055–1080. [Google Scholar] [CrossRef]
- Donohue, K.; De Casas, R.R.; Burghardt, L.; Kovach, K.; Willis, C.G. Germination, Postgermination Adaptation, and Species Ecological Ranges. Annu. Rev. Ecol. Evol. Syst. 2010, 41, 293–319. [Google Scholar] [CrossRef]
- Chauhan, B.S.; Johnson, D.E. Chapter 6—The Role of Seed Ecology in Improving Weed Management Strategies in the Tropics. In Advances in Agronomy; Sparks, D.L., Ed.; Elsevier Academic Press: Amsterdam, The Netherlands, 2010; Volume 105, pp. 221–262. [Google Scholar]
- Brownsey, R.N.; Kyser, G.B.; DiTomaso, J.M. Seed and Germination Biology of Dittrichia graveolens (Stinkwort). Invasive Plant Sci. Manag. 2013, 6, 371–380. [Google Scholar] [CrossRef]
- Bhatt, A.; Chen, X.; Pompelli, M.F.; Jamal, A.; Mancinelli, R.; Radicetti, E. Characterization of Invasiveness, Thermotolerance and Light Requirement of Nine Invasive Species in China. Plants 2023, 12, 1192. [Google Scholar] [CrossRef]
- Baskin, C.C.; Baskin, J.M. Seeds: Ecology, Biogeography, and Evolution of Dormancy and Germination, 2nd ed.; Academic Press: San Diego, CA, USA, 2014; p. 680. [Google Scholar]
- Vleeshouwers, L.M.; Bouwmeester, H.J.; Karssen, C.M. Redefining Seed Dormancy: An Attempt to Integrate Physiology and Ecology. J. Ecol. 1995, 83, 1031–1037. [Google Scholar] [CrossRef]
- Walck, J.L.; Hidayati, S.N.; Dixon, K.W.; Thompson, K.; Poschlod, P. Climate change and plant regeneration from seed. Glob. Change Biol. 2011, 17, 2145–2161. [Google Scholar] [CrossRef]
- Benech-Arnold, R.L.; Sánchez, R.A.; Forcella, F.; Kruk, B.C.; Ghersa, C.M. Environmental control of dormancy in weed seed banks in soil. Field Crops Res. 2000, 67, 105–122. [Google Scholar] [CrossRef]
- Takaki, M.; Gama, L.H.P. The role of the seed coat in phytochrome-controlled seed germination in Lactuca sativa L. cv. Grand Rapids. Seed Sci. Technol. 1998, 26, 355–362. [Google Scholar]
- Matus-Cádiz, M.A.; Hucl, P. Rapid and Effective Germination Methods for Overcoming Seed Dormancy in Annual Canarygrass. Crop Sci. 2005, 45, 1696–1703. [Google Scholar] [CrossRef]
- Vilela, A.E.; Ravetta, D.A. The effect of seed scarification and soil-media on germination, growth, storage, and survival of seedlings of five species of Prosopis L. (Mimosaceae). J. Arid Environ. 2001, 48, 171–184. [Google Scholar] [CrossRef]
- Rees, M. Seed Dormancy. In Plant Ecology; John Wiley & Sons, Ltd.: Hoboken, NJ, USA, 1996; pp. 214–238. [Google Scholar]
- Mooney, H.A.; Simpson, B.B.; Solbrig, O.T. Mesquite, Its Biology in Two Desert Ecosystems; Halsted Press: Sydney, Australia, 1977; pp. 26–43. [Google Scholar]
- Catling, P.M.; Porebski, Z.S. The history of invasion and current status of glossy buckthorn, Rhamnus frangula, in southern Ontario. Can. Field Nat. 1994, 108, 305–310. [Google Scholar]
- Converse, C.K. Element Stewardship Abstract for Rhamnus cathartica, Rhamnus frangula (syn. Frangula alnus); The Nature Conservancy: Arlington, VA, USA, 1984. [Google Scholar]
- Godwin, H. Frangula alnus Miller. J. Ecol. 1943, 31, 77–92. [Google Scholar] [CrossRef]
- Fagan, M.E.; Peart, D.R. Impact of the invasive shrub glossy buckthorn (Rhamnus frangula L.) on juvenile recruitment by canopy trees. For. Ecol. Manag. 2004, 194, 95–107. [Google Scholar] [CrossRef]
- Frappier, B.; Eckert, R.T.; Lee, T.D. Potential impacts of the invasive exotic shrub Rhamnus frangula L. (glossy buckthorn) on forests of southern New Hampshire. Northeast. Nat. 2003, 10, 277–296. [Google Scholar] [CrossRef]
- Fiedler, A.K.; Landis, D.A.; Arduser, M. Rapid Shift in Pollinator Communities Following Invasive Species Removal. Restor. Ecol. 2012, 20, 593–602. [Google Scholar] [CrossRef]
- Fiedler, A.K.; Landis, D.A. Biotic and Abiotic Conditions in Michigan Prairie Fen Invaded by Glossy Buckthorn (Frangula alnus). Nat. Areas J. 2012, 32, 41–53. [Google Scholar] [CrossRef]
- Stokdyk, J.P.; Herrman, K.S. Effects of Frangula alnus on soil microbial communities and biogeochemical processes in Wisconsin forests. Plant Soil 2016, 409, 65–75. [Google Scholar] [CrossRef]
- Stokdyk, J.P.; Herrman, K.S. Short-Term Impacts of Frangula alnus Litter on Forest Soil Properties. Water Air Soil Pollut. 2014, 225, 2000. [Google Scholar] [CrossRef]
- Cunard, C.; Lee, T.D. Is patience a virtue? Succession, light, and the death of invasive glossy buckthorn (Frangula alnus). Biol. Invasions 2009, 11, 577–586. [Google Scholar] [CrossRef]
- Lanzer, N.B.; Lee, T.D.; Ducey, M.J.; Eisenhaure, S.E. Sapling white pine (Pinus strobus L.) exhibits growth response following selective release from competition with glossy buckthorn (Frangula alnus P. Mill) and associated vegetation. For. Ecol. Manag. 2017, 404, 280–288. [Google Scholar] [CrossRef]
- Lee, T.D.; Eisenhaure, S.E.; Gaudreau, I.P. Pre-logging Treatment of Invasive Glossy Buckthorn (Frangula alnus Mill.) Promotes Regeneration of Eastern White Pine (Pinus strobus L.). Forests 2017, 8, 16. [Google Scholar] [CrossRef]
- Hamelin, C.; Truax, B.; Gagnon, D. Invasive glossy buckthorn impedes growth of red oak and sugar maple under-planted in a mature hybrid poplar plantation. New For. 2016, 47, 897–911. [Google Scholar] [CrossRef]
- Environnement Canada. Normales et Moyennes Climatiques de la Région de l’Estrie; Environnement Canada: Ottawa, ON, Canada, 2023. [Google Scholar]
- Thomsen, K.; Diklev, S. Laboratory Manual for Basic Tree Seed Studies; DANIDA Forest Seed Centre: Humlebaek, Denmark, 2000; p. 31. [Google Scholar]
- Cavieres, L.A.; Arroyo, M.T.K. Seed germination response to cold stratification period and thermal regime in Phacelia secunda (Hydrophyllaceae)—Altitudinal variation in the mediterranean Andes of central Chile. Plant Ecol. 2000, 149, 1–8. [Google Scholar] [CrossRef]
- Mazliak, P.; Côme, D. Germination. In Physiologie Végétale II: Croissance et Développement; Hermann: Paris, France, 1982; p. 476. [Google Scholar]
- McNair, J.N.; Sunkara, A.; Frobish, D. How to analyse seed germination data using statistical time-to-event analysis: Non-parametric and semi-parametric methods. Seed Sci. Res. 2012, 22, 77–95. [Google Scholar] [CrossRef]
- Romano, A.; Stevanato, P. Germination Data Analysis by Time-to-Event Approaches. Plants 2020, 9, 617. [Google Scholar] [CrossRef]
- Klein, J.P.; Moeschberger, M.L. Survival Analysis: Techniques for Censored and Truncated Data, 2nd ed.; Springer: New York, NY, USA, 2003. [Google Scholar]
- Kaplan, E.L.; Meier, P. Nonparametric Estimation from Incomplete Observations. J. Am. Stat. Assoc. 1958, 53, 457–481. [Google Scholar] [CrossRef]
- Hess, K.R. Graphical methods for assessing violations of the proportional hazards assumption in cox regression. Stat. Med. 1995, 14, 1707–1723. [Google Scholar] [CrossRef]
- Hill, T.; Lewicki, P.; Lewicki, P. Statistics: Methods and Applications: A Comprehensive Reference for Science, Industry, and Data Mining; StatSoft, Inc.: Tulsa, OK, USA, 2006; p. 854. [Google Scholar]
- J ones, M.P.; Crowley, J. A general class of nonparametric tests for survival analysis. Biometrics 1989, 45, 157–170. [Google Scholar] [CrossRef]
- Nikolaeva, M.; Razumova, M.; Gladkova, V. Spravochnik po Prorashchivaniyu Pokoyashchikhsya Semyan; Nauka: Leningrad, Russia, 1985; p. 400. [Google Scholar]
- Rosbakh, S.; Baskin, C.C.; Baskin, J.M. Nikolaeva et al.’s reference book on seed dormancy and germination. Ecology 2020, 101, e03049. [Google Scholar] [CrossRef]
- Nielsen, K.K. Dormancy in seeds from different positions on individual plants. Acta Hortic. 1988, 226, 255–262. [Google Scholar] [CrossRef]
- Eisenhaure, S.E.; McCarthy, H.C.; O’Del, J.N.; Giguere, H.; Symonds, C.J.; Lee, T.D. Effects of turf, leaf litter, and soil compaction on emergence and establishment of invasive glossy buckthorn (Frangula alnus). For. Ecol. Manag. 2021, 484, 118933. [Google Scholar] [CrossRef]
- Baskin, J.M.; Baskin, C.C.; Spooner, D.M. Role of temperature, light and date: Seeds were exhumed from soil on germination of four wetland perennials. Aquat. Bot. 1989, 35, 387–394. [Google Scholar] [CrossRef]
- Yin, L.; Wang, C.; Chen, Y.; Yu, C.; Cheng, Y.; Li, W. Cold stratification, light and high seed density enhance the germination of Ottelia alismoides. Aquat. Bot. 2009, 90, 85–88. [Google Scholar] [CrossRef]
- Pyšek, P.; Richardson, D.M. Traits Associated with Invasiveness in Alien Plants: Where Do we Stand. In Biological Invasions; Nentwig, W., Ed.; Ecological Studies; Springer: Berlin/Heidelberg, Germany, 2007; pp. 97–125. [Google Scholar]
- Gioria, M.; Jarošík, V.; Pyšek, P. Impact of invasions by alien plants on soil seed bank communities: Emerging patterns. Perspect. Plant Ecol. Evol. Syst. 2014, 16, 132–142. [Google Scholar] [CrossRef]
- Gioria, M.; Pyšek, P.; Osborne, B.A. Timing is everything: Does early and late germination favor invasions by herbaceous alien plants? J. Plant Ecol. 2016, 11, 4–16. [Google Scholar] [CrossRef]
- Gioria, M.; Pyšek, P. The legacy of plant invasions: Changes in the soil seed bank of invaded plant communities. Bioscience 2016, 66, 40–53. [Google Scholar] [CrossRef]
- Gioria, M.; Pyšek, P.; Moravcova, L. Soil seed banks in plant invasions: Promoting species invasiveness and long-term impact on plant community dynamics. Preslia 2012, 84, 327–350. [Google Scholar]
- Thompson, K.; Grime, J.P. Seasonal Variation in the Seed Banks of Herbaceous Species in Ten Contrasting Habitats. J. Ecol. 1979, 67, 893–921. [Google Scholar] [CrossRef]
- Grime, J.P.; Mason, G.; Curtis, A.V.; Rodman, J.; Band, S.R. A Comparative Study of Germination Characteristics in a Local Flora. J. Ecol. 1981, 69, 1017–1059. [Google Scholar] [CrossRef]
- Gioria, M.; Osborne, B.A. Resource competition in plant invasions: Emerging patterns and research needs. Front. Plant Sci. 2014, 5, 501. [Google Scholar] [CrossRef]
- Harper, J.L. Population Biology of Plants; Academic Press: London, UK, 1977; p. 932. [Google Scholar]
- Bush, E.; Lemmen, D.S. Canada’s Changing Climate Report; Government of Canada: Ottawa, ON, Canada, 2019; pp. 1–444. [Google Scholar]
- Dukes, J.S.; Pontius, J.; Orwig, D.; Garnas, J.R.; Rodgers, V.L.; Brazee, N.; Cooke, B.; Theoharides, K.A.; Stange, E.E.; Harrington, R.; et al. Responses of insect pests, pathogens, and invasive plant species to climate change in the forests of northeastern North America: What can we predict? Can. J. For. Res. 2009, 39, 231–248. [Google Scholar] [CrossRef]





| Stratification (in Weeks) | Hazard Ratio | χ2 | p |
|---|---|---|---|
| 4/8 | 0.24 | 24.081 | <0.0001 |
| 4/12 | 0.11 | 86.076 | <0.0001 |
| 4/16 | 0.12 | 78.235 | <0.0001 |
| 4/20 | 0.10 | 89.914 | <0.0001 |
| 8/4 | 4.13 | 24.081 | <0.0001 |
| 8/12 | 0.32 | 31.496 | <0.0001 |
| 8/16 | 0.38 | 22.809 | <0.0001 |
| 8/20 | 0.29 | 35.92 | <0.0001 |
| 12/4 | 8.99 | 86.076 | <0.0001 |
| 12/8 | 3.11 | 31.496 | <0.0001 |
| 12/16 | 1.23 | 1.339 | 0.247 |
| 12/20 | 0.98 | 0.016 | 0.90 |
| 16/4 | 8.24 | 78.235 | <0.0001 |
| 16/8 | 2.63 | 22.809 | <0.0001 |
| 16/12 | 0.81 | 1.339 | 0.247 |
| 16/20 | 0.77 | 2.091 | 0.148 |
| 20/4 | 9.57 | 89.914 | <0.0001 |
| 20/8 | 3.40 | 35.92 | <0.0001 |
| 20/12 | 1.02 | 0.016 | 0.9 |
| 20/16 | 1.30 | 2.091 | 0.148 |
| Temperature (°C) | Hazard Ratio | χ2 | p |
|---|---|---|---|
| 12/14 | 0.37 | 11.233 | <0.0001 |
| 12/16 | 0.27 | 24.269 | <0.0001 |
| 12/18 | 0.23 | 34.155 | <0.0001 |
| 12/20 | 0.14 | 71.335 | <0.0001 |
| 12/24 | 0.40 | 9.411 | 0.002 |
| 12/28 | 0.44 | 7.247 | 0.007 |
| 14/12 | 2.68 | 11.233 | <0.0001 |
| 14/16 | 0.67 | 2.84 | 0.092 |
| 14/18 | 0.56 | 6.955 | 0.0084 |
| 14/20 | 0.31 | 31.929 | <0.0001 |
| 14/24 | 1.03 | 0.014 | 0.906 |
| 14/28 | 1.15 | 0.315 | 0.575 |
| 16/12 | 3.75 | 24.269 | <0.0001 |
| 16/14 | 1.48 | 2.84 | 0.092 |
| 16/18 | 0.82 | 0.924 | 0.336 |
| 16/20 | 0.44 | 17.173 | <0.0001 |
| 16/24 | 1.49 | 2.819 | 0.093 |
| 16/28 | 1.67 | 4.622 | 0.032 |
| 18/12 | 4.36 | 34.155 | <0.0001 |
| 18/14 | 1.79 | 6.955 | 0.008 |
| 18/16 | 1.22 | 0.924 | 0.336 |
| 18/20 | 0.54 | 10.451 | 0.001 |
| 18/24 | 1.85 | 7.503 | 0.006 |
| 18/28 | 2.08 | 10.360 | 0.001 |
| 20/12 | 7.09 | 71.335 | <0.0001 |
| 20/14 | 3.23 | 31.929 | <0.0001 |
| 20/16 | 2.27 | 17.173 | <0.0001 |
| 20/18 | 1.85 | 10.451 | 0.001 |
| 20/24 | 3.16 | 30.399 | <0.0001 |
| 20/28 | 3.55 | 35.836 | <0.0001 |
| 24/12 | 2.53 | 9.411 | 0.002 |
| 24/14 | 0.97 | 0.014 | 0.906 |
| 24/16 | 0.67 | 2.819 | 0.093 |
| 24/18 | 0.54 | 7.503 | 0.006 |
| 24/20 | 0.32 | 30.399 | <0.0001 |
| 24/28 | 1.11 | 0.152 | 0.696 |
| 28/12 | 2.29 | 7.247 | 0.007 |
| 28/14 | 0.87 | 0.315 | 0.575 |
| 28/16 | 0.60 | 4.622 | 0.032 |
| 28/18 | 0.48 | 10.360 | 0.001 |
| 28/20 | 0.28 | 35.836 | <0.0001 |
| 28/24 | 0.90 | 0.152 | 0.696 |
| 20 °C | 24 °C | 28 °C | ||||
|---|---|---|---|---|---|---|
| Test | χ2 | p | χ2 | p | χ2 | p |
| M-H Log-rank | 9.071 | 0.0026 | 7.239 | 0.0071 | 16.069 | <0.0001 |
| Gehan–Wilcoxon | 12.765 | 0.0004 | 7.341 | 0.0067 | 15.791 | <0.0001 |
| Tarone–Ware | 10.961 | 0.0009 | 7.301 | 0.0069 | 15.946 | <0.0001 |
| Peto–Peto | 12.993 | 0.0003 | 7.362 | 0.0067 | 15.957 | <0.0001 |
| Mod. Peto–Peto | 13.015 | 0.0003 | 7.363 | 0.0067 | 15.955 | <0.0001 |
| Fleming–Harrington (0.5, 0.5) | 1.944 | 0.1632 | 5.39 | 0.0203 | 14.821 | <0.0001 |
| Fleming–Harrington (1, 1) | 1.078 | 0.2993 | 4.304 | 0.038 | 13.138 | 0.0003 |
| Variables | βi | SE of βi | Exp. | Wald z-Value | p-Value |
|---|---|---|---|---|---|
| Darkness only | −0.540 | 0.181 | 0.582 | −2.980 | 0.0029 |
| Darkness at 24 °C | −1.172 | 0.216 | 0.309 | −5.424 | <0.0001 |
| Darkness at 28 °C | −1.277 | 0.221 | 0.278 | −5.771 | <0.0001 |
| 12 °C | 16 °C | 20 °C | 24 °C | 28 °C | ||||||
|---|---|---|---|---|---|---|---|---|---|---|
| Test | χ2 | p | χ2 | p | χ2 | p | χ2 | p | χ2 | p |
| M-H Log-rank | 16.006 | 0.0001 | 161.643 | <0.0001 | 112.018 | <0.0001 | 170.058 | <0.0001 | 156.755 | <0.0001 |
| Gehan–Wilcoxon | 18.193 | <0.0001 | 150.4 | <0.0001 | 109.967 | <0.0001 | 161.982 | <0.0001 | 148.234 | <0.0001 |
| Tarone–Ware | 17.134 | <0.0001 | 157.764 | <0.0001 | 112.335 | <0.0001 | 167.813 | <0.0001 | 153.987 | <0.0001 |
| Peto–Peto | 17.815 | <0.0001 | 147.166 | <0.0001 | 98.938 | <0.0001 | 156.836 | <0.0001 | 142.576 | <0.0001 |
| Mod. Peto–Peto | 17.827 | <0.0001 | 147.05 | <0.0001 | 98.892 | <0.0001 | 156.784 | <0.0001 | 142.501 | <0.0001 |
| Fleming–Harrington (0.5, 0.5) | 5.876 | 0.0154 | 132.22 | <0.0001 | 41.124 | <0.0001 | 85.62 | <0.0001 | 105.207 | <0.0001 |
| Fleming–Harrington (1, 1) | 2.273 | 0.1316 | 125.769 | <0.0001 | 43.762 | <0.0001 | 84.446 | <0.0001 | 102.722 | <0.0001 |
| Variables | βi | SE of βi | Exp. | Wald z-Value | p-Value | |
|---|---|---|---|---|---|---|
| Scarification | 2.184 | 0.167 | 8.882 | 13.085 | <0.0001 | |
| Temperature | ||||||
| No-scarified | 12 °C | −2.047 | 0.293 | 0.129 | −6.987 | <0.0001 |
| 16 °C | −0.743 | 0.191 | 0.475 | −3.888 | 0.0001 | |
| 24 °C | −1.117 | 0.216 | 0.327 | −5.173 | <0.0001 | |
| 28 °C | −1.216 | 0.221 | 0.296 | −5.504 | <0.0001 | |
| Scarified | 12 °C | −1.0384 | 0.355 | 0.354 | −2.927 | 0.003 |
| 16 °C | −0.173 | 0.240 | 0.840 | −0.721 | 0.470 | |
| 24 °C | 1.159 | 0.258 | 3.186 | 4.479 | <0.0001 | |
| 28 °C | 0.796 | 0.263 | 2.218 | 3.023 | 0.0025 |
Disclaimer/Publisher’s Note: The statements, opinions and data contained in all publications are solely those of the individual author(s) and contributor(s) and not of MDPI and/or the editor(s). MDPI and/or the editor(s) disclaim responsibility for any injury to people or property resulting from any ideas, methods, instructions or products referred to in the content. |
© 2023 by the authors. Licensee MDPI, Basel, Switzerland. This article is an open access article distributed under the terms and conditions of the Creative Commons Attribution (CC BY) license (https://creativecommons.org/licenses/by/4.0/).
Share and Cite
Custodio, T.; Houle, D.; Girard, F. Impact of Environmental Conditions on Seed Germination of Glossy Buckthorn (Frangula alnus (Mill)) in Eastern Canada. Forests 2023, 14, 1999. https://doi.org/10.3390/f14101999
Custodio T, Houle D, Girard F. Impact of Environmental Conditions on Seed Germination of Glossy Buckthorn (Frangula alnus (Mill)) in Eastern Canada. Forests. 2023; 14(10):1999. https://doi.org/10.3390/f14101999
Chicago/Turabian StyleCustodio, Tiana, Daniel Houle, and Francois Girard. 2023. "Impact of Environmental Conditions on Seed Germination of Glossy Buckthorn (Frangula alnus (Mill)) in Eastern Canada" Forests 14, no. 10: 1999. https://doi.org/10.3390/f14101999
APA StyleCustodio, T., Houle, D., & Girard, F. (2023). Impact of Environmental Conditions on Seed Germination of Glossy Buckthorn (Frangula alnus (Mill)) in Eastern Canada. Forests, 14(10), 1999. https://doi.org/10.3390/f14101999
