Modeling and Mapping of Forest Fire Occurrence in the Lower Silesian Voivodeship of Poland Based on Machine Learning Methods
Abstract
1. Introduction
2. Materials and Methods
2.1. Study Area
2.2. Data Collection
2.2.1. Dependent Variable
2.2.2. Independent Variables (Predictors)
2.3. Variable Selection
2.4. Model Training, Validation, and Testing
2.5. Evaluation of Variable Importance
2.6. Mapping the Probability of Forest Fire Occurrence
3. Results
3.1. Contributions of Variables to Forest Fire Occurence
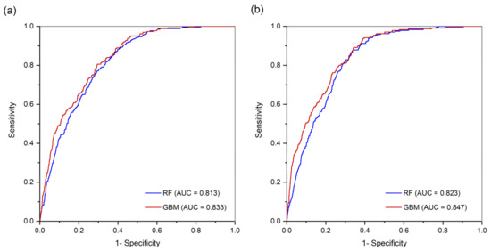
3.2. Model Evaluation
3.3. Spatial Modeling of the Probability of Fire Occurrence
3.4. Model Validation
4. Discussion
5. Conclusions
Author Contributions
Funding
Data Availability Statement
Conflicts of Interest
Appendix A
| Variable | Code | Unit | Source | Tolerance | VIF |
|---|---|---|---|---|---|
| Vegetation | |||||
| Broad-leaved forest | BF | m2 | CORINE 2018 | 0.437 | 2.287 |
| Coniferous forest | CF | m2 | 0.407 | 2.458 | |
| Mixed forest | MF | m2 | 0.468 | 2.137 | |
| Transitional woodland–shrub | TWS | m2 | 0.779 | 1.284 | |
| Leaf litter ground floor | Cov_1 | m2 | Polish State Forest Information System (SILP) | 0.629 | 1.589 |
| Heavily turfed ground floor | Cov_5 | m2 | 0.568 | 1.761 | |
| Heavily weedy ground floor | Cov_6 | m2 | 0.645 | 1.551 | |
| Herbaceous ground floor | Cov_8 | m2 | 0.632 | 1.582 | |
| Fresh broadleaved and mixed broadleaved sites | Hab_4 | m2 | 0.713 | 1.402 | |
| Oaks, including red oak, common oak and pedunculate oak, black locust, bird cherry, hornbeam, sorb, ash, maple, sycamore, elm, linden, black walnut | Spec_2 | m2 | 0.485 | 2.062 | |
| Birch, aspen, poplar, willow, goat willow | Spec_4 | m2 | 0.688 | 1.454 | |
| Alder, gray alder | Spec_6 | m2 | 0.715 | 1.398 | |
| Norway spruce | Spec_7 | m2 | 0.277 | 3.605 | |
| Anthropogenic | |||||
| Distance to buildings | DisBld | m | OpenStreetMap | 0.434 | 2.306 |
| Distance to road B level | DisRo_B | m | 0.742 | 1.349 | |
| Distance to road C level | DisRo_C | m | 0.625 | 1.601 | |
| Distance to rail | DisRa | m | 0.864 | 1.157 | |
| Distance to agricultural land | DisAgL | m | CORINE 2018 | 0.442 | 2.263 |
| Total inhabitants | TotIn | N | Statistics PolandDB | 0.419 | 2.385 |
| Population density | PopD | N/km2 | 0.189 | 5.287 | |
| Population density in cities | PopD_C | N/km2 | 0.232 | 4.307 | |
| Unemployment rate | UR | % | 0.459 | 2.179 | |
| Mean salary | MS | PLN | 0.734 | 1.362 | |
| Tourists’ accommodation | TouAcc | N/1000 | 0.624 | 1.602 | |
| Number of illegal landfills | NoIL | N/km2 | 0.484 | 2.065 | |
| Local road density in grid | LRoD | km/km2 | 0.524 | 1.907 | |
| Regional road density in grid | RRoD | km/km2 | 0.656 | 1.525 | |
| Path density in grid | PathD | km/km2 | 0.478 | 2.092 | |
| Topographic | |||||
| Distance to water | DisW | m | OpenStreetMap | 0.672 | 1.488 |
| Aspect | A | Degrees | DEM | 0.895 | 1.117 |
| Elevation | E | m | 0.183 | 5.45 | |
| Average solar radiation | A_SR | W/m2 | 0.779 | 1.284 | |
| Topographic wetness index | TWI | 0.899 | 1.112 | ||
| Climatic | |||||
| Precipitation during fire season | PrecSe | WorldClim | 0.463 | 2.159 | |
| Precipitation in driest quarter | PrecDQ | 0.531 | 1.884 | ||
| Mean value of rainfall at 1 p.m. calculated on the basis of data from March to September (2010–2020) | Rain_13 | Meteorological stations/measurement points (State Forests) | 0.217 | 4.603 | |
| Mean value of forest moisture humidity at 1 p.m. calculated on the basis of data from March to September (2010–2020) | FCH_13 | 0.236 | 4.229 |

References
- Kastridis, A.; Stathis, D.; Sapountzis, M.; Theodosiou, G. Insect Outbreak and Long-Term Post-fire Effects on Soil Erosion in Mediterranean Suburban Forest. Land 2022, 11, 911. [Google Scholar] [CrossRef]
- Nelson, A.R.; Narrowe, A.B.; Rhoades, C.C.; Fegel, T.S.; Daly, R.A.; Roth, H.K.; Chu, R.K.; Amundson, K.K.; Young, R.B.; Steindorff, A.S.; et al. Wildfire-Dependent Changes in Soil Microbiome Diversity and Function. Nat. Microbiol. 2022, 7, 1419–1430. [Google Scholar] [CrossRef]
- Pereira, J.M.C.; Oom, D.; Silva, P.C.; Benali, A. Wild, Tamed, and Domesticated: Three Fire Macroregimes for Global Pyrogeography in the Anthropocene. Ecol. Appl. 2022, 32, e2588. [Google Scholar] [CrossRef]
- Senf, C.; Seidl, R. Storm and Fire Disturbances in Europe: Distribution and Trends. Glob. Chang. Biol. 2021, 27, 3605–3619. [Google Scholar] [CrossRef] [PubMed]
- San-Miguel-Ayanz, J.; Durrant, T.; Boca, R.; Maianti, P.; Liberta’, P.; Artes Vivancos, T.; Jacome Felix Oom, D.P.; Branco, A.; de Rigo, D.; Ferrari, D.; et al. Forest Fires in Europe, Middle East and North Africa 2020; European Commission’s Joint Research Centre: Ispra, Italy, 2021; Volume 174. [Google Scholar] [CrossRef]
- Mattioli, W.; Ferrara, C.; Lombardo, E.; Barbati, A.; Salvati, L.; Tomao, A. Estimating Wildfire Suppression Costs: A Systematic Review. Int. For. Rev. 2022, 24, 15–29. [Google Scholar] [CrossRef]
- Karlikowski, T.; Łonkiewicz, B. Badania i Ustalenie Kryteriów Oceny Zagrożenia Pożarowego Lasu w Oparciu o Warunki Meteorologiczne i Skład Gatunkowy Drzewostanu; Raport IBL; IBL: Warszawa, Poland, 1975. [Google Scholar]
- Santorski, Z. Regionalization of Forest Fire Danger in Poland. Ph.D. Thesis, Forest Research Institute, Warsaw, Poland, 1994. [Google Scholar]
- Szczygieł, R.; Kwiatkowski, M.; Kołakowski, B.; Piwnicki, J. Dynamic Forest Fire Risk Evaluation in Poland. Folia For. Pol. A 2020, 62, 139–144. [Google Scholar] [CrossRef]
- Vasilakos, C.; Kalabokidis, K.; Hatzopoulos, J.; Matsinos, I. Identifying Wildland Fire Ignition Factors through Sensitivity Analysis of a Neural Network. Nat. Hazards 2009, 50, 125–143. [Google Scholar] [CrossRef]
- Cortez, P.; Morais, A.; Data Mining, A. Approach to Predict Forest Fires Using Meteorological Data. New Trends in Artificial Intelligence. In Proceedings of the 13th EPIA 2007–Portuguese Conference on Artificial Intelligence, Guimarães, Portugal, 3–7 December 2017; pp. 512–523. [Google Scholar]
- Little, J.K.; Prior, L.D.; Williamson, G.J.; Williams, S.E.; Bowman, D.M.J.S. Fire Weather Risk Differs across Rain Forest-Savanna Boundaries in the Humid Tropics of North-Eastern Australia: Fire Weather Across a Rain Forest Boundary. Austral Ecol. 2012, 37, 915–925. [Google Scholar] [CrossRef]
- Singh, M.; Huang, Z. Analysis of Forest Fire Dynamics, Distribution and Main Drivers in the Atlantic Forest. Sustainability 2022, 14, 992. [Google Scholar] [CrossRef]
- Mohammadpour, P.; Viegas, D.X.; Viegas, C. Vegetation Mapping with Random Forest Using Sentinel 2 and GLCM Texture Feature—A Case Study for Lousã Region, Portugal. Remote Sens. 2022, 14, 4585. [Google Scholar] [CrossRef]
- Rabiei, J.; Khademi, M.S.; Bagherpour, S.; Ebadi, N.; Karimi, A.; Ostad-Ali-Askari, K. Investigation of Fire Risk Zones Using Heat–Humidity Time Series Data and Vegetation. Appl. Water Sci. 2022, 12, 216. [Google Scholar] [CrossRef]
- Li, R.; Fu, Y.; Bergeron, Y.; Valeria, O.; Chavardès, R.D.; Hu, J.; Wang, Y.; Duan, J.; Li, D.; Cheng, Y. Assessing Forest Fire Properties in Northeastern Asia and Southern China with Satellite Microwave Emissivity Difference Vegetation Index (EDVI). ISPRS J. Photogramm. Remote Sens. 2022, 183, 54–65. [Google Scholar] [CrossRef]
- Rodrigues Silva, F.G.; Santos, A.R.; Fiedler, N.C.; Paes, J.B.; Alexandre, R.S.; Guerra Filho, P.A.; Silva, R.G.; Moura, M.M.; Silva, E.F.; Silva, S.F.; et al. Geotechnology Applied to Analysis of Vegetation Dynamics and Occurrence of Forest Fires on Indigenous Lands in Cerrado-Amazonia Ecotone. Sustainability 2022, 14, 6919. [Google Scholar] [CrossRef]
- Guo, F.; Su, Z.; Wang, G.; Sun, L.; Lin, F.; Liu, A. Wildfire Ignition in the Forests of Southeast China: Identifying Drivers and Spatial Distribution to Predict Wildfire Likelihood. Appl. Geogr. 2016, 66, 12–21. [Google Scholar] [CrossRef]
- Pinto, G.A.S.J.; Rousseu, F.; Niklasson, M.; Drobyshev, I. Effects of Human-Related and Biotic Landscape Features on the Occurrence and Size of Modern Forest Fires in Sweden. Agric. For. Meteorol. 2020, 291, 108084. [Google Scholar] [CrossRef]
- Arndt, N.; Vacik, H.; Koch, V.; Arpaci, A.; Gossow, H. Modeling Human-Caused Forest Fire Ignition for Assessing Forest Fire Danger in Austria. iForest 2013, 6, 315–325. [Google Scholar] [CrossRef]
- Su, Z.; Tigabu, M.; Cao, Q.; Wang, G.; Hu, H.; Guo, F. Comparative Analysis of Spatial Variation in Forest Fire Drivers between Boreal and Subtropical Ecosystems in China. For. Ecol. Manag. 2019, 454, 117669. [Google Scholar] [CrossRef]
- Nasiri, V.; Sadeghi, S.M.M.; Bagherabadi, R.; Moradi, F.; Deljouei, A.; Borz, S.A. Modeling Wildfire Risk in Western Iran Based on the Integration of AHP and GIS. Environ. Monit. Assess. 2022, 194, 644. [Google Scholar] [CrossRef]
- Si, L.; Shu, L.; Wang, M.; Zhao, F.; Chen, F.; Li, W.; Li, W. Study on Forest Fire Danger Prediction in Plateau Mountainous Forest Area. Nat. Hazards Res. 2022, 2, 25–32. [Google Scholar] [CrossRef]
- Dhar, T.; Bhatta, B.; Aravindan, S. Forest Fire Occurrence, Distribution and Risk Mapping Using Geoinformation Technology: A Case Study in the Sub-tropical Forest of the Meghalaya, India. Remote Sens. Appl. 2023, 29, 100883. [Google Scholar] [CrossRef]
- Li, W.; Xu, Q.; Yi, J.; Liu, J. Predictive Model of Spatial Scale of Forest Fire Driving Factors: A Case Study of Yunnan Province, China. Sci. Rep. 2022, 12, 19029. [Google Scholar] [CrossRef] [PubMed]
- Camia, A.; Amatulli, G. Weather Factors and Fire Danger in the Mediterranean. In Earth Observation of Wildland Fires in Mediterranean Ecosystems; Chuvieco, E., Ed.; Springer: Berlin/Heidelberg, Germany, 2009. [Google Scholar] [CrossRef]
- Fujioka, F.M.; Gill, A.M.; Viegas, D.X.; Wotton, B.M. Chapter 21. Fire Danger and Fire Behavior Modeling Systems in Australia, Europe, and North America. In Developments in Environmental Science; Elsevier: Amsterdam, The Netherlands, 2008; Volume 8, pp. 471–497. [Google Scholar] [CrossRef]
- Catry, F.X.; Rego, F.C.; Bação, F.L.; Moreira, F. Modeling and Mapping Wildfire Ignition Risk in Portugal. Int. J. Wildland Fire 2009, 18, 921–931. [Google Scholar] [CrossRef]
- Andrews, P.L.; Loftsgaarden, D.O.; Bradshaw, L.S. Evaluation of Fire Danger Rating Indexes Using Logistic Regression and Percentile Analysis. Int. J. Wildland Fire 2003, 12, 213–226. [Google Scholar] [CrossRef]
- Zhang, Z.X.; Zhang, H.Y.; Zhou, D.W. Using GIS Spatial Analysis and Logistic Regression to Predict the Probabilities of Human-Caused Grassland Fires. J. Arid Environ. 2010, 74, 386–393. [Google Scholar] [CrossRef]
- Nuthammachot, N.; Stratoulias, D. A GIS- and AHP-Based Approach to Map Fire Risk: A Case Study of Kuan Kreng Peat Swamp Forest, Thailand. Geocarto Int. 2021, 36, 212–225. [Google Scholar] [CrossRef]
- Novo, A.; Fariñas-Álvarez, N.; Martínez-Sánchez, J.; González-Jorge, H.; Fernández-Alonso, J.M.; Lorenzo, H. Mapping Forest Fire Risk—A Case Study in Galicia (Spain). Remote Sens. 2020, 12, 3705. [Google Scholar] [CrossRef]
- Eskandari, S.; Miesel, J.R. Comparison of the Fuzzy AHP Method, the Spatial Correlation Method, and the Dong Model to Predict the Fire High-Risk Areas in Hyrcanian Forests of Iran. Geom. Nat. Hazards Risk 2017, 8, 933–949. [Google Scholar] [CrossRef]
- Jain, P.; Coogan, S.C.P.; Subramanian, S.G.; Crowley, M.; Taylor, S.; Flannigan, M.D. A Review of Machine Learning Applications in Wildfire Science and Management. Environ. Rev. 2020, 28, 478–505. [Google Scholar] [CrossRef]
- Breiman, L. Statistical Modeling: The Two Cultures. Stat. Sci. 2001, 16, 199–215. [Google Scholar] [CrossRef]
- Ghorbanzadeh, O.; Valizadeh Kamran, K.V.; Blaschke, T.; Aryal, J.; Naboureh, A.; Einali, J.; Bian, J. Spatial Prediction of Wildfire Susceptibility Using Field Survey GPS Data and Machine Learning Approaches. Fire 2019, 2, 43. [Google Scholar] [CrossRef]
- Gigović, L.; Pourghasemi, H.R.; Drobnjak, S.; Bai, S. Testing a New Ensemble Model Based on SVM and Random Forest in Forest Fire Susceptibility Assessment and Its Mapping in Serbia’s Tara National Park. Forests 2019, 10, 408. [Google Scholar] [CrossRef]
- Janiec, P.; Gadal, S. A Comparison of Two Machine Learning Classification Methods for Remote Sensing Predictive Modeling of the Forest Fire in the North-Eastern Siberia. Remote Sens. 2020, 12, 4157. [Google Scholar] [CrossRef]
- Xu, Z.; Liu, D.; Yan, L. Temperature-Based Fire Frequency Analysis Using Machine Learning: A Case of Changsha, China. Clim. Risk Manag. 2021, 31, 100276. [Google Scholar] [CrossRef]
- Achu, A.L.; Thomas, J.; Aju, C.D.; Gopinath, G.; Kumar, S.; Reghunath, R. Machine-Learning Modelling of Fire Susceptibility in a Forest-Agriculture Mosaic Landscape of Southern India. Ecol. Inform. 2021, 64, 101348. [Google Scholar] [CrossRef]
- Banerjee, P. MODIS-FIRMS and Ground-Truthing-Based Wildfire Likelihood Mapping of Sikkim Himalaya Using Machine Learning Algorithms. Nat. Hazards 2022, 110, 899–935. [Google Scholar] [CrossRef]
- Vilar del Hoyo, L.; Martín Isabel, M.P.; Martínez Vega, F.J. Logistic Regression Models for Human-Caused Wildfire Risk Estimation: Analysing the Effect of the Spatial Accuracy in Fire Occurrence Data. Eur. J. For. Res. 2011, 130, 983–996. [Google Scholar] [CrossRef]
- Jafari Goldarag, Y.; Mohammadzadeh, A.; Ardakani, A.S. Fire Risk Assessment Using Neural Network and Logistic Regression. J. Indian Soc. Remote Sens. 2016, 44, 885–894. [Google Scholar] [CrossRef]
- Mohammadi, F.; Bavaghar, M.P.; Shabanian, N. Forest Fire Risk Zone Modeling Using Logistic Regression and GIS: An Iranian Case Study. Small-Scale For. 2014, 13, 117–125. [Google Scholar] [CrossRef]
- Milanović, S.; Marković, N.; Pamučar, D.; Gigović, L.; Kostić, P.; Milanović, S.D. Forest Fire Probability Mapping in Eastern Serbia: Logistic Regression versus Random Forest Method. Forests 2021, 12, 5. [Google Scholar] [CrossRef]
- Sivrikaya, F.; Küçük, Ö. Modeling Forest Fire Risk Based on GIS-Based Analytical Hierarchy Process and Statistical Analysis in Mediterranean Region. Ecol. Inform. 2022, 68, 101537. [Google Scholar] [CrossRef]
- Pourghasemi, H.; Beheshtirad, M.; Pradhan, B. A Comparative Assessment of Prediction Capabilities of Modified Analytical Hierarchy Process (M-AHP) and Mamdani Fuzzy Logic Models Using Netcad-GIS for Forest Fire Susceptibility Mapping. Geomat. Nat. Hazards Risk 2016, 7, 861–885. [Google Scholar] [CrossRef]
- Kayet, N.; Chakrabarty, A.; Pathak, K.; Sahoo, S.; Dutta, T.; Hatai, B.K. Comparative Analysis of Multi-Criteria Probabilistic FR and AHP Models for Forest Fire Risk (FFR) Mapping in Melghat Tiger Reserve (MTR) Forest. J. For. Res. 2020, 31, 565–579. [Google Scholar] [CrossRef]
- Mohajane, M.; Costache, R.; Karimi, F.; Bao Pham, Q.; Essahlaoui, A.; Nguyen, H.; Laneve, G.; Oudija, F. Application of Remote Sensing and Machine Learning Algorithms for Forest Fire Mapping in a Mediterranean Area. Ecol. Indic. 2021, 129, 107869. [Google Scholar] [CrossRef]
- Tariq, A.; Shu, H.; Siddiqui, S.; Munir, I.; Sharifi, A.; Li, Q.; Lu, L. Spatio-Temporal Analysis of Forest Fire Events in the Margalla Hills, Islamabad, Pakistan Using Socio-Economic and Environmental Variable Data with Machine Learning Methods. J. For. Res. 2022, 33, 183–194. [Google Scholar] [CrossRef]
- Shao, Y.; Feng, Z.; Sun, L.; Yang, X.; Li, Y.; Xu, B.; Chen, Y. Mapping China’s Forest Fire Risks with Machine Learning. Forests 2022, 13, 856. [Google Scholar] [CrossRef]
- Raduła, M.W.; Szymura, T.H.; Szymura, M.; Swacha, G. Macroecological Drivers of Vascular Plant Species Composition in Semi-natural Grasslands: A Regional Study from Lower Silesia (Poland). Sci. Total Environ. 2022, 833, 155151. [Google Scholar] [CrossRef]
- Karger, D.N.; Conrad, O.; Böhner, J.; Kawohl, T.; Kreft, H.; Soria-Auza, R.W.; Zimmermann, N.E.; Linder, H.P.; Kessler, M. Climatologies at High Resolution for the Earth’s Land Surface Areas. Sci. Data 2017, 4, 170122. [Google Scholar] [CrossRef]
- Milewski, W. Forests in POLAND 2018; The State Forests Information Centre: Warsaw, Poland, 2018; ISBN 978-83-65659-40-8. [Google Scholar]
- Carmo, M.; Moreira, F.; Casimiro, P.; Vaz, P. Land Use and Topography Influences on Wildfire Occurrence in Northern Portugal. Landsc. Urban Plan. 2011, 100, 169–176. [Google Scholar] [CrossRef]
- Konkathi, P.; Shetty, A.; Kolluru, V.; Yathish, P.H.; Pruthviraj, U. Static Fire Risk Index for the Forest Resources of Karnataka. In Proceedings of the IGARSS 2019–2019 IEEE International Geoscience and Remote Sensing Symposium, Yokohama, Japan, 28 July–2 August 2019; pp. 6716–6719. [Google Scholar] [CrossRef]
- Ye, T.; Wang, Y.; Guo, Z.; Li, Y. Factor Contribution to Fire Occurrence, Size, and Burn Probability in a Subtropical Coniferous Forest in East China. PLoS ONE 2017, 12, e0172110. [Google Scholar] [CrossRef]
- Jaafari, A.; Gholami, D.M.; Zenner, E.K. A Bayesian Modeling of Wildfire Probability in the Zagros Mountains, Iran. Ecol. Inform. 2017, 39, 32–44. [Google Scholar] [CrossRef]
- Guo, F.; Wang, G.; Su, Z.; Liang, H.; Wang, W.; Lin, F.; Liu, A. What Drives Forest Fire in Fujian, China? Evidence from Logistic Regression and Random Forests. Int. J. Wildland Fire 2016, 25, 505–519. [Google Scholar] [CrossRef]
- Nhongo, E.J.S.; Fontana, D.C.; Guasselli, L.A.; Bremm, C. Probabilistic Modelling of Wildfire Occurrence Based on Logistic Regression, Niassa Reserve, Mozambique. Geom. Nat. Hazards Risk 2019, 10, 1772–1792. [Google Scholar] [CrossRef]
- Ciesielski, M.; Bałazy, R.; Borkowski, B.; Szczęsny, W.; Zasada, M.; Kaczmarowski, J.; Kwiatkowski, M.; Szczygieł, R.; Milanović, S. Contribution of Anthropogenic, Vegetation, and Topographic Features to Forest Fire Occurrence in Poland. iForest 2022, 15, 307–314. [Google Scholar] [CrossRef]
- Kolecka, N.; Kozak, J. Assessment of the Accuracy of SRTM C- and X-Band High Mountain Elevation Data: A Case Study of the Polish Tatra Mountains. Pure Appl. Geophys. 2014, 171, 897–912. [Google Scholar] [CrossRef]
- Oliver, M.A.; Webster, R. Kriging: A Method of Interpolation for Geographical Information Systems. Int. J. Geogr. Inf. Syst. 1990, 4, 313–332. [Google Scholar] [CrossRef]
- Midi, H.; Sarkar, S.K.; Rana, S. Collinearity Diagnostics of Binary Logistic Regression Model. J. Interdiscip. Math. 2010, 13, 253–267. [Google Scholar] [CrossRef]
- Kuhn, M.; Johnson, K. Data Preprocessing. In Applied Predictive Modeling; Springer: New York, NY, USA, 2013; pp. 27–59. [Google Scholar] [CrossRef]
- Hall, P.; Kurka, M.; Bartz, A. Using H2O Driverless Ai; H2O.ai, Inc.: Mountain View, CA, USA, 2022; pp. 1–136. [Google Scholar]
- Hosmer, D.W.; Lemeshow, S.; Sturdivant, R.X. Applied Logistic Regression, 3rd ed.; Wiley: Hoboken, NJ, USA, 2013; ISBN 9781118548387. [Google Scholar]
- López-Ratón, M.; Rodríguez-Álvarez, M.X.; Suárez, C.C.; Sampedro, F.G. OptimalCutpoints: An R Package for Selecting Optimal Cutpoints in Diagnostic Tests. J. Stat. Softw. 2014, 61, 1–36. [Google Scholar] [CrossRef]
- Goksuluk, D.; Korkmaz, S.; Zararsiz, G.; Karaagaoglu, A. easyROC: An Interactive Web-Tool for ROC Curve Analysis Using R Language Environment. R J. 2016, 8, 213–230. [Google Scholar] [CrossRef]
- Romero, R.; Mestre, A.; Botey, R. A New Calibration for Fire Weather Index in Spain (AEMET). In Advanced Forest Fire Research; Imprensa da Universidade de Coimbra: Coimbra, Portugal, 2014; pp. 1044–1053. [Google Scholar] [CrossRef]
- Austin, P.C.; Steyerberg, E.W. Events per Variable (EPV) and the Relative Performance of Different Strategies for Estimating the Out-of-Sample Validity of Logistic Regression Models. Stat. Methods Med. Res. 2017, 26, 796–808. [Google Scholar] [CrossRef]
- Bujang, M.A.; Sa’at, N.; Sidik, T.M.I.T.A.B.; Joo, L.C. Sample Size Guidelines for Logistic Regression from Observational Studies with Large Population: Emphasis on the Accuracy between Statistics and Parameters Based on Real Life Clinical Data. Malays. J. Med. Sci. 2018, 25, 122–130. [Google Scholar] [CrossRef]
- Varner, J.M.; Kane, J.M.; Kreye, J.K.; Engber, E. The Flammability of Forest and Woodland Litter: A Synthesis. Curr. For. Rep. 2015, 1, 91–99. [Google Scholar] [CrossRef]
- Xanthopoulos, G.; Calfapietra, C.; Fernandes, P. Fire Hazard and Flammability of European Forest Types. In Post-Fire Management and Restoration of Southern European Forests. Managing Forest Ecosystems; Moreira, F., Arianoutsou, M., Corona, P., De las Heras, J., Eds.; Springer: Dordrecht, The Netherlands, 2012; Volume 24. [Google Scholar] [CrossRef]
- Galiana-Martin, L.; Herrero, G.; Solana, J. A Wildland-Urban Interface Typology for Forest Fire Risk Management in Mediterranean Areas. Landsc. Res. 2011, 36, 151–171. [Google Scholar] [CrossRef]
- Chappaz, F.; Ganteaume, A. Role of Land-Cover and WUI Types on Spatio-temporal Dynamics of Fires in the French Mediterranean Area. Risk Anal. 2022, 2022, 1–26. [Google Scholar] [CrossRef] [PubMed]
- Fox, D.M.; Martin, N.; Carrega, P.; Andrieu, J.; Adnès, C.; Emsellem, K.; Ganga, O.; Moebius, F.; Tortorollo, N.; Fox, E.A. Increases in Fire Risk Due to Warmer Summer Temperatures and Wildland Urban Interface Changes Do Not Necessarily Lead to More Fires. Appl. Geogr. 2015, 56, 1–12. [Google Scholar] [CrossRef]
- Molina, J.R.; Ortega, M.; Rodríguez, Y.; Silva, F.F. Fire Ignition Patterns to Manage Prescribed Fire Behavior: Application to Mediterranean Pine Forests. J. Environ. Manag. 2022, 302, 114052. [Google Scholar] [CrossRef]
- Benali, A.; Sá, A.C.L.; Ervilha, A.R.; Trigo, R.M.; Fernandes, P.M.; Pereira, J.M.C. Fire Spread Predictions: Sweeping Uncertainty under the Rug. Sci. Total Environ. 2017, 592, 187–196. [Google Scholar] [CrossRef]
- Atchley, A.L.; Linn, R.; Jonko, A.; Hoffman, C.; Hyman, J.D.; Pimont, F.; Sieg, C.; Middleton, R.S. Effects of Fuel Spatial Distribution on Wildland Fire Behaviour. Int. J. Wildland Fire 2021, 30, 179–189. [Google Scholar] [CrossRef]
- Clements, C.B.; Lareau, N.P.; Seto, D.; Contezac, J.; Davis, B.; Teske, C.; Zajkowski, T.J.; Hudak, A.T.; Bright, B.C.; Dickinson, M.B.; et al. Fire Weather Conditions and Fire—Atmosphere Interactions Observed during Low-Intensity Prescribed Fires—RxCADRE 2012. Int. J. Wildland Fire 2016, 25, 90–101. [Google Scholar] [CrossRef]
- Anderson, H.E. Forest Fuel Ignitibility. Fire Technol. 1970, 6, 312–319. [Google Scholar] [CrossRef]
- Hilton, J.E.; Miller, C.; Sullivan, A.L.; Rucinski, C. Effects of Spatial and Temporal Variation in Environmental Conditions on Simulation of Wildfire Spread. Environ. Modell. Softw. 2015, 67, 118–127. [Google Scholar] [CrossRef]
- Balzter, H.; Gerard, F.; George, C.; Weedon, G.; Grey, W.; Combal, B.; Bartholomé, E.; Bartalev, S.; Los, S. Coupling of Vegetation Growing Season Anomalies and Fire Activity with Hemispheric and Regional-Scale Climate Patterns in Central and East Siberia. J. Clim. 2007, 20, 3713–3729. [Google Scholar] [CrossRef]
- Amiro, B.D.; Stocks, B.J.; Alexander, M.E.; Flannigan, M.D.; Wotton, B.M. Fire, Climate Change, Carbon and Fuel Management in the Canadian Boreal Forest. Int. J. Wildland Fire 2001, 10, 405–413. [Google Scholar] [CrossRef]
- Satir, O.; Berberoglu, S.; Donmez, C. Mapping Regional Forest Fire Probability Using Artificial Neural Network Model in a Mediterranean Forest Ecosystem. Geomat. Nat. Hazards Risk 2016, 7, 1645–1658. [Google Scholar] [CrossRef]
- Leuenberger, M.; Parente, J.; Tonini, M.; Pereira, M.G.; Kanevski, M. Wildfire Susceptibility Mapping: Deterministic vs. Stochastic Approaches. Environ. Modell. Softw. 2018, 101, 194–203. [Google Scholar] [CrossRef]
- Cao, Y.; Wang, M.; Liu, K. Wildfire Susceptibility Assessment in Southern China: A Comparison of Multiple Methods. Int. J. Disaster Risk Sci. 2017, 8, 164–181. [Google Scholar] [CrossRef]
- Trucchia, A.; Meschi, G.; Fiorucci, P.; Gollini, A.; Negro, D. Defining Wildfire Susceptibility Maps in Italy for Understanding Seasonal Wildfire Regimes at the National Level. Fire 2022, 5, 30. [Google Scholar] [CrossRef]
- Nguyen, Q.-H.; Nguyen, H.-D.; Le, D.T.; Bui, Q.-T. Fine-Tuning LightGBM Using an Artificial Ecosystem-Based Optimizer for Forest Fire Analysis. Forest Sci. 2022, 2022, fxac039. [Google Scholar] [CrossRef]
- Mansoor, S.; Farooq, I.; Kachroo, M.M.; Mahmoud, A.E.D.; Fawzy, M.; Popescu, S.M.; Alyemeni, M.N.; Sonne, C.; Rinklebe, J.; Ahmad, P. Elevation in Wildfire Frequencies with Respect to the Climate Change. J. Environ. Manag. 2022, 301, 113769. [Google Scholar] [CrossRef]
- Ruiz González, A.D.; Vega Hidalgo, J.A.; Álvarez González, J.G. Construction of Empirical Models for Predicting Pinus sp. Dead Fine Fuel Moisture in NW Spain. I: Response to Changes in Temperature and Relative Humidity. Int. J. Wildland Fire 2009, 18, 71–83. [Google Scholar] [CrossRef]
- Matthews, S. A Process-Based Model of Fine Fuel Moisture. Int. J. Wildland Fire 2006, 15, 155–168. [Google Scholar] [CrossRef]
- Aragão, L.E.O.C.; Malhi, Y.; Roman-Cuesta, R.M.; Saatchi, S.; Anderson, L.O.; Shimabukuro, Y.E. Spatial Patterns and Fire Response of Recent Amazonian Droughts. Geophys. Res. Lett. 2007, 34, L07701. [Google Scholar] [CrossRef]
- Chuvieco, E.; Aguado, I.; Dimitrakopoulos, A.P. Conversion of Fuel Moisture Content Values to Ignition Potential for Integrated Fire Danger Assessment. Can. J. For. Res. 2004, 34, 2284–2293. [Google Scholar] [CrossRef]
- Chang, Y.; He, H.S.; Hu, Y.; Bu, R.; Li, X. Historic and Current Fire Regimes in the Great Xing’an Mountains, Northeastern China: Implications for Long-Term Forest Management. For. Ecol. Manag. 2008, 254, 445–453. [Google Scholar] [CrossRef]
- Khabarov, N.; Krasovskii, A.; Obersteiner, M.; Swart, R.; Dosio, A.; San-Miguel-Ayanz, J.; Durrant, T.; Camia, A.; Migliavacca, M. Forest Fires and Adaptation Options in Europe. Reg. Environ. Chang. 2016, 16, 21–30. [Google Scholar] [CrossRef]
- Agee, J.K.; Skinner, C.N. Basic Principles of Forest Fuel Reduction Treatments. For. Ecol. Manag. 2005, 211, 83–96. [Google Scholar] [CrossRef]
- Agee, J.K.; Bahro, B.; Finney, M.A.; Omi, P.N.; Sapsis, D.B.; Skinner, C.N.; van Wagtendonk, J.W.; Phillip Weatherspoon, C. The Use of Shaded Fuelbreaks in Landscape Fire Management. For. Ecol. Manag. 2000, 127, 55–66. [Google Scholar] [CrossRef]
- Kolanek, A.; Szymanowski, M.; Raczyk, A. Human Activity Affects Forest Fires: The Impact of Anthropogenic Factors on the Density of Forest Fires in Poland. Forests 2021, 12, 728. [Google Scholar] [CrossRef]
- Hysa, A.; Spalevic, V.; Dudic, B.; Roșca, S.; Kuriqi, A.; Bilașco, Ș.; Sestras, P. Utilizing the Available Open-Source Remotely Sensed Data in Assessing the Wildfire Ignition and Spread Capacities of Vegetated Surfaces in Romania. Remote Sens. 2021, 13, 2737. [Google Scholar] [CrossRef]







| Variable Description | Code | Unit | GBM Relative Importance | RF Relative Importance |
|---|---|---|---|---|
| Vegetation | ||||
| Coniferous forest | CF | m2 | 1.000 | 0.416 |
| Mixed forest | MF | m2 | 0.222 | |
| Transitional woodland–shrub | TWS | m2 | 0.009 | |
| Leaf litter ground floor | Cov_1 | m2 | 0.627 | 0.325 |
| Heavily turfed ground floor | Cov_5 | m2 | 0.388 | 0.866 |
| Heavily weedy ground floor | Cov_6 | m2 | 0.007 | |
| Herbaceous ground floor | Cov_8 | m2 | 0.314 | |
| Fresh broadleaved and mixed broadleaved sites | Hab_4 | m2 | 0.297 | 0.331 |
| Oaks, including red oak, common oak and pedunculate oak, black locust, bird cherry, hornbeam, sorb, ash, maple, sycamore, elm, linden, black walnut | Spec_2 | m2 | 0.448 | 0.222 |
| Birch, aspen, poplar, willow, goat willow | Spec_4 | m2 | 0.711 | 0.104 |
| Alder, gray alder | Spec_6 | m2 | ||
| Norway spruce | Spec_7 | m2 | 0.350 | 0.486 |
| Anthropogenic | ||||
| Distance to Buildings | DisBld | m | 0.478 | 0.022 |
| Distance to Road B level | DisRo_B | m | 0.494 | 0.032 |
| Distance to road C level | DisRo_C | m | 0.558 | 0.247 |
| Distance to rail | DisRa | m | 0.536 | 0.395 |
| Distance to agricultural land | DisAgL | m | 0.686 | 1.000 |
| Total inhabitants | TotIn | N | 0.037 | |
| Population density | PopD | N/km2 | 0.251 | |
| Population density in cities | PopD_C | N/km2 | 0.050 | |
| Unemployment rate | UR | % | 0.347 | 0.278 |
| Mean salary | MS | PLN | 0.191 | |
| Tourists’ accommodation | TouAcc | N/1000 | 0.317 | |
| Number of illegal landfills | NoIL | N/km2 | 0.162 | |
| Local road density in grid | LRoD | km/km2 | 0.380 | 0.161 |
| Regional road density in grid | RRoD | km/km2 | 0.244 | 0.063 |
| Path density in grid | PathD | km/km2 | 0.091 | |
| Topographic | ||||
| Distance to water | DisW | m | 0.502 | |
| Aspect | A | Degrees | 0.156 | |
| Elevation | E | m | 0.421 | 0.332 |
| Average solar radiation | A_SR | W/m2 | 0.523 | 0.220 |
| Topographic wetness index | TWI | 0.425 | 0.111 | |
| Climatic | ||||
| Precipitation season | PrecSe | 0.444 | 0.464 | |
| Precipitation in driest quarter | PrecDQ | 0.383 | 0.237 | |
| Mean value of rainfall at 1 p.m. calculated on the basis of data from March to September (2010–2020) | Rain_13 | 0.412 | 0.345 | |
| Mean value of forest moisture humidity at 1 p.m. calculated on the basis of data from March to September (2010–2020) | FCH_13 | 0.343 | 0.202 | |
| Forest Fire Probability Percentile | Forest Fire Probability Class | GBM | RF |
|---|---|---|---|
| 0–40 | Very low | 13 | 35 |
| 41–65 | Low | 100 | 196 |
| 66–85 | Moderate | 224 | 460 |
| 86–95 | High | 550 | 487 |
| 96–100 | Very high | 793 | 502 |
| Model | Cutoff | Predicted | Acc | Prec | |||
|---|---|---|---|---|---|---|---|
| 0 | 1 | (%) | (%) | ||||
| GBM | 0.1326 | Observed | 0 | 14,987 | 2600 | 85.22 | 85.25 |
| 1 | 248 | 1433 | |||||
| RF | 0.1357 | Observed | 0 | 13,685 | 3902 | 77.81 | 77.81 |
| 1 | 373 | 1308 | |||||
Disclaimer/Publisher’s Note: The statements, opinions and data contained in all publications are solely those of the individual author(s) and contributor(s) and not of MDPI and/or the editor(s). MDPI and/or the editor(s) disclaim responsibility for any injury to people or property resulting from any ideas, methods, instructions or products referred to in the content. |
© 2022 by the authors. Licensee MDPI, Basel, Switzerland. This article is an open access article distributed under the terms and conditions of the Creative Commons Attribution (CC BY) license (https://creativecommons.org/licenses/by/4.0/).
Share and Cite
Milanović, S.; Kaczmarowski, J.; Ciesielski, M.; Trailović, Z.; Mielcarek, M.; Szczygieł, R.; Kwiatkowski, M.; Bałazy, R.; Zasada, M.; Milanović, S.D. Modeling and Mapping of Forest Fire Occurrence in the Lower Silesian Voivodeship of Poland Based on Machine Learning Methods. Forests 2023, 14, 46. https://doi.org/10.3390/f14010046
Milanović S, Kaczmarowski J, Ciesielski M, Trailović Z, Mielcarek M, Szczygieł R, Kwiatkowski M, Bałazy R, Zasada M, Milanović SD. Modeling and Mapping of Forest Fire Occurrence in the Lower Silesian Voivodeship of Poland Based on Machine Learning Methods. Forests. 2023; 14(1):46. https://doi.org/10.3390/f14010046
Chicago/Turabian StyleMilanović, Slobodan, Jan Kaczmarowski, Mariusz Ciesielski, Zoran Trailović, Miłosz Mielcarek, Ryszard Szczygieł, Mirosław Kwiatkowski, Radomir Bałazy, Michał Zasada, and Sladjan D. Milanović. 2023. "Modeling and Mapping of Forest Fire Occurrence in the Lower Silesian Voivodeship of Poland Based on Machine Learning Methods" Forests 14, no. 1: 46. https://doi.org/10.3390/f14010046
APA StyleMilanović, S., Kaczmarowski, J., Ciesielski, M., Trailović, Z., Mielcarek, M., Szczygieł, R., Kwiatkowski, M., Bałazy, R., Zasada, M., & Milanović, S. D. (2023). Modeling and Mapping of Forest Fire Occurrence in the Lower Silesian Voivodeship of Poland Based on Machine Learning Methods. Forests, 14(1), 46. https://doi.org/10.3390/f14010046

