Ortet Age Effect, Anatomy and Physiology of Adventitious Rooting in Tilia mandshurica Softwood Cuttings
Abstract
1. Introduction
2. Materials and Methods
2.1. Plant Materials
2.2. Experimental Design
2.3. Adventitious Root Growth Measurement
2.4. Anatomical Analysis
2.5. Organic Nutrient Measurements
2.6. Enzyme Activity Measurements
2.7. Endogenous Hormone Measurements
2.8. Statistical Analysis
3. Results
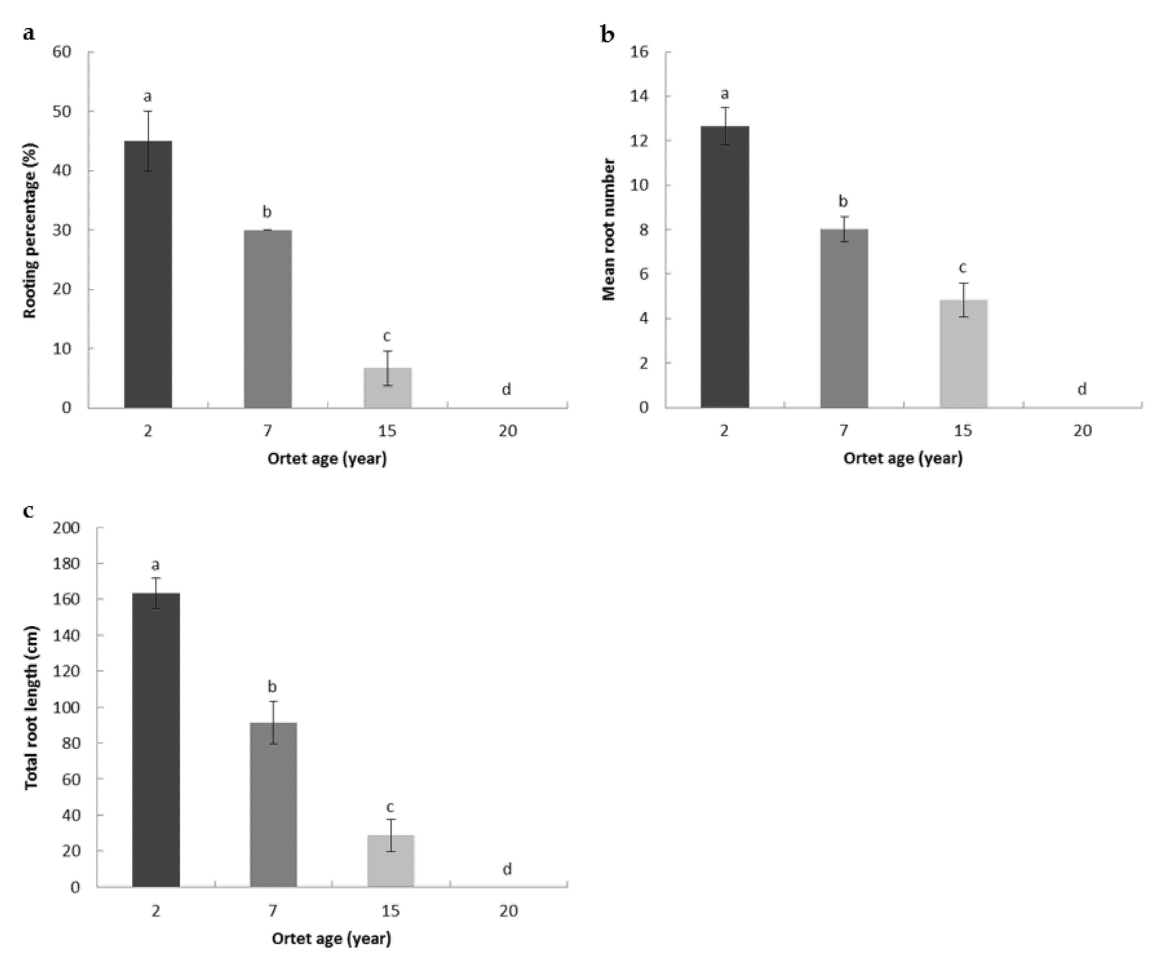
3.1. Adventitious Rooting in Cuttings from Ortets of Different Ages
3.2. Phenotypic and Anatomical Changes in Adventitious Root Formation
3.3. Organic Nutrient Variations in Adventitious Root Formation
3.4. Enzyme Activity Variations in Adventitious Root Formation
3.5. Endogenous Hormone Variations in Adventitious Root Formation
4. Discussion
4.1. Ortet Age Effect on Adventitious Rooting
4.2. Initiation of Root Primordia in Softwood Cuttings
4.3. Effects of Organic Nutrients on Adventitious Rooting
4.4. Effects of Enzyme Activities on Adventitious Rooting
4.5. Effects of Endogenous Hormones on Adventitious Rooting
Author Contributions
Funding
Institutional Review Board Statement
Informed Consent Statement
Data Availability Statement
Acknowledgments
Conflicts of Interest
References
- Tang, Y.; Zhuge, R. Geographical distribution of Tilia Linn. J. Syst. Evol. 1996, 34, 254–264. [Google Scholar]
- Yoon, T.S.; Lim, J.Y.; Kim, J.J. Growth of Mandshurian linden (Tilia mandshurica Pupr. et Max.) seedlings as affected by container types and volumes. J. Bio. Environ. Control 2005, 14, 238–243. [Google Scholar]
- Kim, T.D.; Kim, N.H.; Park, E.J.; Lee, N.N. High-frequency regeneration of plants in vitro from seedling-derived apical bud explants of Tilia mandshurica Rupr. & Maxim. J. Plant Biotechnol. 2021, 48, 54–61. [Google Scholar]
- Zhao, X.Y.; Zheng, H.Q.; Li, S.W.; Yang, C.P.; Jiang, J.; Liu, G.F. The rooting of poplar cuttings: A review. New For. 2014, 45, 21–34. [Google Scholar] [CrossRef]
- Stuepp, C.A.; Wendling, I.; Trueman, S.J.; Koehler, H.S.; Zuffellato-Ribas, K.C. The use of auxin quantification for understanding clonal tree propagation. Forests 2017, 8, 27. [Google Scholar] [CrossRef]
- Stevens, M.E.; Pijut, P.M. Origin of adventitious roots in black walnut (Juglans nigra) softwood cuttings rooted under optimized conditions in a fog chamber. New For. 2017, 48, 685–697. [Google Scholar] [CrossRef]
- Patel, K.D.; Butani, A.M.; Thummar, B.V.; Purohit, H.P.; Trambadiya, R.D. Response of different media and iba on rooting and survival percentage of hardwood cutting in pomegranate (Punicagranatum L.) CV. Bhagwa. J. Pharmacogn. Phytochem. 2020, 9, 322–329. [Google Scholar]
- Singh, K.K. Propagation of citrus species through cutting: A review. J. Med. Plants Stud. 2018, 6, 167–172. [Google Scholar]
- Druege, U.; Hilo, A.; Pérez-Pérez, J.M.; Klopotek, Y.; Acosta, M.; Shahinnia, F.; Zerche, S.; Franken, P.; Hajirezaei, M.R. Molecular and physiological control of adventitious rooting in cuttings: Phytohormone action meets resource allocation. Ann. Bot.-Lond. 2019, 123, 929–949. [Google Scholar] [CrossRef]
- Magherin, R.; Nin, S. Propagation of selected Tilia spp. by seed and semihardwood cuttings. Adv. Hortic. Sci. 1994, 8, 91–96. [Google Scholar]
- Yang, L.X.; Wang, H.N.; Shen, H.L. Reproduction techniques for hardwood cutting of Tilia amurensis. Adv. Mater. Res. 2011, 183−185, 1672–1676. [Google Scholar] [CrossRef]
- Ivanova, V.; Panchev, V.; Panayotov, N. Vegetative propagation of Tilia sp. using semi-hardwood cuttings. Agro-knowl. J. 2016, 17, 133–141. [Google Scholar] [CrossRef][Green Version]
- Amini, A.; Kouchaksaraei, M.T.; Hosseini, S.M.; Yousefzadeh, H. Influence of hormones of IAA, IBA, and NAA on improvement of rooting and early growth of Tilia rubra subsp. caucasica form angulata (Rupr.) V. Engler. Ecopersia 2019, 7, 169–174. [Google Scholar]
- Kang, J.J.; Zhao, W.Z.; Zhao, M.; Li, G.Y.; Zhang, J.Q.; Zhang, Z.S. The type, position and age effect on the cutting reproduction of Picea crassifolia and its rooting mechanism in the Qilian Mountains. J. For. Res. 2015, 26, 993–1002. [Google Scholar] [CrossRef]
- Chang, Q.S.; Zhang, L.X.; Hou, X.G.; Wang, Z.; Wang, N.; Gong, M.G.; Zhang, Q.M.; Chen, H.; Shi, Z.Q.; Deng, C.C. The anatomical, physiological, and molecular analysis of a chlorophyll-deficient mutant in tree peony (Paeonia suffruticosa). Photosynthetica 2019, 57, 724–730. [Google Scholar] [CrossRef]
- Zhang, Z.J.; Huang, R.F. Analysis of malondialdehyde, chlorophyll proline, soluble sugar, and glutathione content in Arabidopsis seedling. Bio-Protocol 2013, 3, e817. [Google Scholar] [CrossRef]
- Mailafia, S.; Ajogi, I.; Nok, A.J. Quantification of total soluble protein concentration in aeromonaspecies by spectrophotometric methods. Niger. Vet. J. 2009, 30, 60–64. [Google Scholar]
- Zhu, Y.C.; Liao, W.B. The metabolic constituent and rooting-related enzymes responses of marigold explants to hydrogen gas during adventitious root development. Theor. Exp. Plant Phys. 2017, 29, 77–85. [Google Scholar] [CrossRef]
- Zeng, H.; Yang, W.H.; Lu, C.Z.; Lin, W.Q.; Zou, M.H.; Zhang, H.Z.; Wan, J.F.; Huang, X.M. Effect of CPPU on carbohydrate and endogenous hormone levels in young macadamia fruit. PLoS ONE 2016, 11, e0158705. [Google Scholar] [CrossRef]
- Ambebe, T.F.; Akenji, M.J.; Mogho, N.M.T. Growth responses of branch cuttings of Cordia africana to physiological age. J. Hortic. For. 2017, 9, 91–97. [Google Scholar]
- Díaz-Sala, C. Direct reprogramming of adult somatic cells toward adventitious root formation in forest tree species: The effect of the juvenile–adult transition. Front. Plant Sci. 2014, 5, 310. [Google Scholar] [CrossRef] [PubMed]
- Bannoud, F.; Bellini, C. Adventitious rooting in Populus species: Update and perspectives. Front. Plant Sci. 2021, 12, 668837. [Google Scholar] [CrossRef]
- Amri, E.; Lyaruu, H.V.M.; Nyomora, A.S.; Kanyeka, Z.L. Vegetative propagation of African Blackwood (Dalbergia melanoxylon Guill. & Perr.): Effects of age of donor plant, IBA treatment and cutting position on rooting ability of stem cuttings. New For. 2010, 39, 183–194. [Google Scholar]
- Rasmussen, A.; Hunt, M.A. Ageing delays the cellular stages of adventitious root formation in pine. Aust. For. 2010, 73, 41–46. [Google Scholar] [CrossRef]
- Browne, R.D.; Davidson, C.G.; Steeves, T.A.; Dunstan, D.I. Effects of ortet age on adventitious rooting of jack pine (Pinus banksiana) long-shoot cuttings. Can. J. For. Res. 1997, 27, 91–96. [Google Scholar] [CrossRef]
- Husen, A. Changes of soluble sugars and enzymatic activities during adventitious rooting in cuttings of Grewia optiva as affected by age of donor plants and auxin treatments. Am. J. Plant Physiol. 2012, 7, 1–16. [Google Scholar] [CrossRef]
- Mao, J.P.; Zhang, D.; Meng, Y.; Li, K.; Wang, H.; Han, M.Y. Inhibition of adventitious root development in apple rootstocks by cytokinin is based on its suppression of adventitious root primordia formation. Physiol. Plant. 2019, 166, 663–676. [Google Scholar] [CrossRef]
- Schuler, J.L.; McCarthy, W. Development of eastern cottonwood cuttings as modified by cutting length and surface area available for rooting. New For. 2015, 46, 547–559. [Google Scholar] [CrossRef]
- Bai, T.H.; Dong, Z.D.; Zheng, X.B.; Song, S.W.; Jiao, J.; Wang, M.M.; Song, C.H. Auxin and its interaction with ethylene control adventitious root formation and development in apple rootstock. Front. Plant Sci. 2020, 11, 574881. [Google Scholar] [CrossRef]
- Tang, Z.; Du, W.; Du, X.L.; Ban, Y.Y.; Cheng, J.L. iTRAQ protein profiling of adventitious root formation in mulberry hardwood cuttings. J. Plant Growth Regul. 2016, 35, 618–631. [Google Scholar] [CrossRef]
- Stevens, M.E.; Woeste, K.E.; Pijut, P.M. Localized gene expression changes during adventitious root formation in black walnut (Juglans nigra L.). Tree Physiol. 2018, 38, 877–894. [Google Scholar] [CrossRef]
- Liu, Y.Q.; Yang, J.M.; Peng, W.X.; Liang, H.Y.; Lu, X.S.; Zhang, G.Y. The anatomical study on the rooting of the green shoot cutting propagation of two kinds of Tilia. J. Agric. Univ. Hebei 2004, 27, 33–37. [Google Scholar]
- Li, H.Y.; Liu, T.; Zhang, H.X.; Yang, X.Y.; Yang, S. Research progress in rooting mechanism of plant cuttings. World For. Res. 2014, 27, 23–28. [Google Scholar]
- Sun, X.L.; Yang, C.T.; Hu, Y.N.; Zou, X.H. Rooting mechanism of plant cuttings: A Review. J. Agric. 2021, 11, 33–40. [Google Scholar]
- Rapaka, V.K.; Bessler, B.; Schreiner, M.; Druege, U. Interplay between initial carbohydrate availability, current photosynthesis, and adventitious root formation in Pelargonium cuttings. Plant Sci. 2005, 168, 1547–1560. [Google Scholar] [CrossRef]
- Tahir, M.M.; Chen, S.Y.; Ma, X.Y.; Li, S.H.; Zhang, X.Y.; Shao, Y.; Shalmani, A.; Zhao, C.Q.; Bao, L.; Zhang, D. Transcriptome analysis reveals the promotive effect of potassium by hormones and sugar signaling pathways during adventitious roots formation in the apple rootstock. Plant Physiol. Bioch. 2021, 165, 123–136. [Google Scholar] [CrossRef]
- Druege, U.; Zerche, S.; Kadner, R. Nitrogen and storage-affected carbohydrate partitioning in high-light-adapted Pelargonium cuttings in relation to survival and adventitious root formation under low light. Ann. Bot.-Lond. 2004, 94, 831–842. [Google Scholar] [CrossRef]
- Adjei, M.O.; Xiang, Y.X.; He, Y.H.; Zhou, X.Z.X.; Mao, M.Q.; Liu, J.W.; Hu, H.; Luo, J.H.; Zhang, H.L.; Feng, L.J.; et al. Adventitious root primordia formation and development in the stem of Ananas comosus var. bracteatus slip. Plant Signal. Behav. 2021, 16, 1949147. [Google Scholar] [CrossRef]
- Almeida, M.R.D.; Aumond, M.; Costa, C.T.D.; Schwambach, J.; Ruedell, C.M.; Correa, L.R.; Fett-Neto, A.G. Environmental control of adventitious rooting in Eucalyptus and Populus cuttings. Trees 2017, 31, 1377–1390. [Google Scholar] [CrossRef]
- Hou, J.W.; Guo, S.J.; Wang, G.Y. Effects of in vitro subculture on the physiological characteristics of adventitious root formation in microshoots of Castanea mollissima cv. ‘yanshanhong’. J. For. Res. 2010, 21, 155–160. [Google Scholar] [CrossRef]
- Yan, S.P.; Yang, R.H.; Wang, F.; Sun, L.N.; Song, X.S. Effect of auxins and associated metabolic changes on cuttings of hybrid aspen. Forests 2017, 8, 117. [Google Scholar] [CrossRef]
- Shang, C.Q.; Yang, H.L.; Ma, S.; Shen, Q.D.; Liu, L.; Hou, C.X.; Cao, X.; Cheng, J.L. Physiological and transcriptomic changes during the early phases of adventitious root formation in mulberry stem hardwood cuttings. Inter. J. Mol. Sci. 2019, 20, 3707. [Google Scholar] [CrossRef]
- Li, S.W.; Xue, L.G.; Xu, S.J.; Feng, H.Y.; An, L.Z. Mediators, genes and signaling in adventitious rooting. Bot. Rev. 2009, 75, 230–247. [Google Scholar] [CrossRef]
- Meng, X.Y.; Wang, Z.; He, S.L.; Shi, L.Y.; Song, Y.L.; Lou, X.Y.; He, D. Endogenous hormone levels and activities of IAA-modifying enzymes during adventitious rooting of tree peony cuttings and grafted scions. Hortic. Environ. Biotechnol. 2019, 60, 187–197. [Google Scholar] [CrossRef]
- Wang, Y.; Khan, M.A.; Zhu, Z.L.; Hai, T.M.; Sang, Z.Y.; Jia, Z.K.; Ma, L.Y. Histological, morpho-physiological, and biochemical changes during adventitious rooting induced by exogenous auxin in Magnolia wufengensis cuttings. Forests 2022, 13, 925. [Google Scholar] [CrossRef]
- Lv, G.X.; Qing, J.; Du, H.Y.; Du, Q.X.; Meng, Y.D.; He, F.; Liu, P.F.; Du, L.Y.; Wang, L. Comparing rooting ability and physiological changes of two Eucommia ulmoides improved varieties. Forests 2021, 12, 1267. [Google Scholar] [CrossRef]
- Druege, U.; Franken, P.; Hajirezaei, M.R. Plant hormone homeostasis, signaling, and function during adventitious root formation in cuttings. Front. Plant Sci. 2016, 7, 381. [Google Scholar] [CrossRef]
- Pacurar, D.I.; Perrone, I.; Bellini, C. Auxin is a central player in the hormone cross-talks that control adventitious rooting. Physiol. Plant. 2014, 151, 83–96. [Google Scholar] [CrossRef]
- Lu, N.; Dai, L.; Luo, Z.J.; Wang, S.M.; Wen, Y.Z.; Duan, H.J.; Hou, R.X.; Sun, Y.H.; Li, Y. Characterization of the transcriptome and gene expression of tetraploid black locust cuttings in response to etiolation. Genes 2017, 8, 345. [Google Scholar] [CrossRef] [PubMed]
- Justamante, M.S.; Acosta-Motos, J.R.; Cano, A.; Villanova, J.; Birlanga, V.; Albacete, A.; Cano, E.Á.; Acosta, M.; Pérez-Pérez, J.M. Integration of phenotype and hormone data during adventitious rooting in carnation (Dianthus caryophyllus L.) stem cuttings. Plants 2019, 8, 226. [Google Scholar] [CrossRef]
- Zhang, X.Y.; Tahir, M.M.; Li, S.H.; Mao, J.P.; Nawaz, M.A.; Liu, Y.; Li, K.; Xing, L.B.; Niu, J.X.; Zhang, D. Transcriptome analysis reveals the inhibitory nature of high nitrate during adventitious roots formation in the apple rootstock. Physiol. Plant. 2021, 173, 867–882. [Google Scholar] [CrossRef] [PubMed]
- Pan, R.; Liu, Y.; Buitrago, S.; Jiang, W.; Gao, H.R.; Han, H.; Wu, C.; Wang, Y.L.; Zhang, W.Y.; Yang, X.S. Adventitious root formation is dynamically regulated by various hormones in leaf-vegetable sweetpotato cuttings. J. Plant Physiol. 2020, 253, 153267. [Google Scholar] [CrossRef] [PubMed]
- Liu, H.; Gao, Y.; Song, X.B.; Ma, Q.G.; Zhang, J.P.; Pei, D. A novel rejuvenation approach to induce endohormones and improve rhizogenesis in mature Juglans tree. Plant Methods 2018, 14, 13. [Google Scholar] [CrossRef]
- Negishi, N.; Nakahama, K.; Urata, N.; Kojima, M.; Sakakibara, H.; Kawaoka, A. Hormone level analysis on adventitious root formation in Eucalyptus globulus. New For. 2014, 45, 577–587. [Google Scholar] [CrossRef]
- Shao, F.X.; Wang, S.; Huang, W.; Liu, Z.M. Effects of IBA on the rooting of branch cuttings of Chinese jujube (Zizyphus jujuba Mill.) and changes to nutrients and endogenous hormones. J. For. Res. 2018, 29, 1557–1567. [Google Scholar] [CrossRef]
- Shi, F.H.; Zhao, R.; Luo, S.; Zheng, C.; Shen, Y.B. Study on plant hormone changes in soft cuttings of Tilia miqueliana during rooting. J. Cent. South Univ. For. Technol. 2019, 39, 21–26. [Google Scholar]






| Dependent Variable | Source | Sum of Squares | Degree of Freedom | Mean Square | F |
|---|---|---|---|---|---|
| Rooting percentage | Block | 0.003 | 2 | 0.001 | 1.004 |
| Ortet age | 0.974 | 3 | 0.325 | 231.262 ** | |
| Error | 0.008 | 6 | 0.001 | ||
| Total | 0.985 | 11 | |||
| Mean root number | Block | 0.482 | 2 | 0.241 | 0.532 |
| Ortet age | 256.057 | 3 | 85.352 | 188.392 ** | |
| Error | 2.718 | 6 | 0.453 | ||
| Total | 259.257 | 11 | |||
| Total root length | Block | 208.620 | 2 | 104.310 | 1.619 |
| Ortet age | 47,369.459 | 3 | 15,789.820 | 245.085 ** | |
| Error | 386.555 | 6 | 64.426 | ||
| Total | 47,964.634 | 11 |
Publisher’s Note: MDPI stays neutral with regard to jurisdictional claims in published maps and institutional affiliations. |
© 2022 by the authors. Licensee MDPI, Basel, Switzerland. This article is an open access article distributed under the terms and conditions of the Creative Commons Attribution (CC BY) license (https://creativecommons.org/licenses/by/4.0/).
Share and Cite
Mu, H.; Jin, X.; Ma, X.; Zhao, A.; Gao, Y.; Lin, L. Ortet Age Effect, Anatomy and Physiology of Adventitious Rooting in Tilia mandshurica Softwood Cuttings. Forests 2022, 13, 1427. https://doi.org/10.3390/f13091427
Mu H, Jin X, Ma X, Zhao A, Gao Y, Lin L. Ortet Age Effect, Anatomy and Physiology of Adventitious Rooting in Tilia mandshurica Softwood Cuttings. Forests. 2022; 13(9):1427. https://doi.org/10.3390/f13091427
Chicago/Turabian StyleMu, Huaizhi, Xuhong Jin, Xinyu Ma, Anqi Zhao, Yuting Gao, and Lin Lin. 2022. "Ortet Age Effect, Anatomy and Physiology of Adventitious Rooting in Tilia mandshurica Softwood Cuttings" Forests 13, no. 9: 1427. https://doi.org/10.3390/f13091427
APA StyleMu, H., Jin, X., Ma, X., Zhao, A., Gao, Y., & Lin, L. (2022). Ortet Age Effect, Anatomy and Physiology of Adventitious Rooting in Tilia mandshurica Softwood Cuttings. Forests, 13(9), 1427. https://doi.org/10.3390/f13091427
